不同升温速率下烟煤的低温氧化放热特性研究

张嬿妮1,2,3,王安鹏1,3,侯云超1,3,舒 盼1,3,杨晶晶1,3,李乐乐1,3

(1.西安科技大学 安全科学与工程学院,陕西 西安 710054;2.国土资源部煤炭资源勘查与综合利用重点实验室,陕西 西安 710054;3.西安科技大学 陕西煤炭火灾防治重点实验室,陕西 西安 710054)

摘 要:煤自燃是威胁开采、储存和利用过程的重要因素之一,而煤在低温阶段的氧化放热反应也是导致煤自燃的主要因素。为了研究烟煤在低温条件下的放热特性,选取3种不同变质程度的烟煤进行研究,煤样分别为曹家滩(CJT)的长焰煤、大佛寺(DFS)的不黏煤和东滩(DT)的气煤。采用微量热仪(C80)实时监测煤样在30~300 ℃温度区间内升温过程中的热流变化,从而探究不同烟煤低温氧化过程的热流变化规律以及放热情况,得到低温氧化过程的分段热流特征以及相应的数学模型。为了进一步研究升温速率对烟煤放热特性的影响,试验分别设置在0.2、0.4和0.6 ℃/min的不同升温速率下进行,通过热流模型和热量公式建立判定自燃倾向性的指数γ,从而分析不同升温速率对烟煤低温氧化过程放热特性和煤自燃倾向性的影响规律。结果表明:烟煤低温氧化分为了吸热、缓慢放热、加速放热和快速放热4个阶段,随着升温速率的升高,特征温度点有着向后推移的趋势,放热量呈现减小的趋势,3个放热阶段的放热量占比没有明显变化,约为1%、30%、70%。并且发现升温速率越低,活化能值越小,煤自燃倾向性指数γ值变大。通过研究烟煤的放热特性和不同升温速率对烟煤放热特性的影响,能够对烟煤氧化放热情况有着更清晰的认识,从而针对性的研究防灭火材料,对煤自燃的预防和治理作出相应的贡献。

关键词:煤自燃;烟煤;微量热仪;低温氧化;升温速率;放热特性;自燃倾向性

0 引 言

煤自燃是由于煤与空气接触,并发生氧化反应放出热量,从而使温度逐渐升高而达到着火点,导致了煤炭自燃。为了有效地预防煤自燃现象的发生,对煤炭低温条件下氧化放热反应的研究显得尤为重要,烟煤作为世界上储量丰富且用途广泛的煤种[1],在开采、储存、运输和利用过程中都会伴随着煤自燃的风险[2-3],因此烟煤自燃过程中的放热特性应值得人们关注。

在研究煤自燃的过程中,国内外学者对热解过程做出了大量的研究[4-5]。部分学者对煤热解过程进行了分段研究,WANG等[6]对5种不同的煤的热解特性进行了研究,根据失重和热流的特点分为了4个阶段:干燥和脱水阶段,脱气阶段,热解阶段,缩聚阶段。低温氧化过程作为煤自燃中重要的一环[7],部分学者在较高的升温速率下讨论了煤的放热特征[8]。本文将对这一过程在低升温速率下进行整体和分段研究,从而对烟煤自燃有进一步的认识。

国内外许多学者在研究升温速率对煤自燃的影响方面做了一些研究[9-10]。部分学者采用热重等分析方法研究不同升温速率的煤自燃过程的放热特征[11]。朱红青等[12]研究了升温速率对表观活化能的影响,另有学者采用基于Arrhenius公式得出的煤自燃基本动力学方程,来分析煤绝热氧化过程[13-14]。玄伟伟等[15]利用篮热法测定不同煤种的自燃倾向性,有学者基于绝热氧化试验,提出了多种判断煤自燃倾向性的方法[16-18]

本文将会在较低升温速率的条件下研究升温速率对烟煤的放热特性的影响,并讨论表观活化能和自燃倾向性指标γ随升温速率的变化规律,从而研究升温速率对烟煤自燃倾向性的影响规律。笔者主要研究烟煤低温氧化过程的整体以及分段放热特征,并通过不同升温速率的实验探讨升温速率对烟煤低温氧化过程和煤自燃倾向性的影响规律,从而对煤自燃有更清晰的认识,并有利于防灭火材料的开发与研究。

1 试 验

1.1 试验煤样

本研究选取了来自不同地区不同变质程度的烟煤,分别为曹家滩(CJT)的长焰煤、大佛寺(DFS)的不黏煤和东滩(DT)的气煤,对煤样进行工业分析和元素分析,结果见表1。

表1 煤样分析

Table 1 Coal sample analysis

煤样工业分析/%MadAadVdafFCad元素分析/%w(C)w(H)w(O)w(N)w(S)CJT12.156.8233.6747.3672.34.4721.351.330.56DFS6.196.8326.0460.9476.043.9519.250.680.09DT2.827.8534.8254.5163.693.8230.751.020.072

1.2 试验方法

为了精确地监测烟煤低温氧化过程的热流变化规律,本研究选取了微量热仪(C80)进行试验,该仪器采用三维传感器测量,具有较高的精度[19]

从不同地区取回密封包装好的大块煤样并取中心部位进行破碎,筛选出粒度为80~140目(0.106~0.180 mm)的煤样作为研究对象,分别称取1.6 g的煤样量作为试验样本。将试验温度设置为30~300 ℃,空气流量设置为100 mL/min,升温速率设置为0.2 ℃/min,可以得到3种煤样升温速率为0.2 ℃/min下的热流曲线。通过热流曲线研究不同变质程度烟煤的低温氧化规律,并对煤低温氧化过程的热力学进行研究。

重复以上的试验步骤,将升温速率设置为0.4 ℃/min和0.6 ℃/min,得到相应升温速率下的热流曲线,从而研究不同升温速率对烟煤低温氧化规律的影响。

2 煤样低温氧化热流变化规律

2.1 煤样低温氧化热流变化整体特征

对不同烟煤在升温速率为0.2 ℃/min下的试验测试可以得到如图1所示的热流曲线图。

图1 升温速率0.2 ℃/min下的热流曲线
Fig.1 Heat flux curve at 0.2 ℃/min heating rate

通过对试验数据的观察发现,不同种类的烟煤在低温氧化过程中的热流值具有相同的变化趋势。在升温的初始阶段热流值降低,这是由于在煤低温氧化初期,水分发生蒸发,会吸收热量,而放出的热量是由煤物理吸附作用所产生的,放热相对较小,因此这个阶段的热流值为负值。到达最低热流值之后,煤样热流开始上升,这是由于随着温度的升高,化学吸附作用逐渐增强,其放出的热量要大于物理吸附作用,所以热流值逐渐上升。之后由于发生氧化作用的原因而导致热流增长速率逐渐加快,当温度到达250 ℃左右时,热流值达到最高值,在氧化过程中,各个官能团的消耗与形成影响了热流的走势[20]

图2 不同烟煤的热流和加速度曲线
Fig.2 Heat flow and acceleration curves of different
bituminous coals

对于不同的烟煤,它们的不同升温速率下热流变化曲线规律相同,如图2所示。随着升温速率的增加,热流到达最低值时的温度点也随之向后推移,这是由于升温速率较高时,煤样周围与中心温差较大且经历的时间较短,从而导致煤样反应不充分而造成的结果。之后在接近150 ℃时,由于高升温速率的热流加速度大于低升温速率的热流加速度,因此热流值逐渐超过低升温速率下的热流值。

2.2 煤样低温氧化热流变化分段特征

通过对煤低温氧化过程热流变化的观察和研究,在30~300 ℃,可以找到3个特征温度点,从而将热流曲线分为4个阶段,如图3—5所示。当温度达到50 ℃时,此时加速度为零,放热速率与吸热速率达到一致,此时为第1个特征温度点—初始放热温度点T0,在此之前为低温氧化过程的吸热阶段,由于煤中水分的存在,在温度上升的初期,水分会蒸发产生吸热反应,导致热流值开始呈现下降的趋势,宏观表现为吸热,这也是煤低温氧化过程的一部分,经过T0后放热速率逐渐大于吸热速率,热流曲线因此呈现上升趋势。当热流值逐渐增大,数值为0时达到第2个特征温度点T1,此时为加速放热温度点,T0T1为缓慢放热阶段,经过这个点后热流值呈指数增加。达到200 ℃之后,加速度达到最大值,此时为T2快速放热温度点,T1T2为加速放热阶段,之后加速度变小,热流增长稍微变缓,但热流已经维持在较高的数值,因此T2T3阶段为快速放热阶段。

图3 不同烟煤0.2 ℃/min升温速率下热流的分段特征
Fig.3 Sectional characteristics of heat flow of bituminous coal at different heating rates of 0.2 ℃/min

图4 不同烟煤0.4 ℃/min升温速率下热流的分段特征
Fig.4 Sectional characteristics of heat flow of bituminous coal at different heating rates of 0.4 ℃/min

图5 不同烟煤0.6 ℃/min升温速率下热流的分段特征
Fig.5 Sectional characteristics of heat flow of bituminous coal at different heating rates of 0.6 ℃/min

对3种烟煤不同升温速率的热流和加速度分析,得到各个特征温度点见表2。随着升温速率升高,T0,T1T2三个温度点都向后推移,说明升温速率相对较低时能使煤反应更加充分,从而使特征温度点相较提前,证明在低升温速率更利于热量积聚。

通过对3个烟煤的热流曲线的分析和研究,可以得到烟煤在3种不同升温速率下的热流趋势,如图6所示。发现放热过程的缓慢、加速和快速3个阶段分别满足如下的数学模型:

q=BT-C

(1)

q=DT2-FT+G

(2)

q=-IT2+JT-K

(3)

其中,

T=βt

(4)

表2 特征温度点

Table 2 Characteristic temperature point

煤样升温速率/(℃·min-1)T0/℃T1/℃T2/℃T3/℃CJT0.250.84101.6216.7295.080.465.51112.42222.34293.150.675.39119.13223.16291.21DFS0.254.5105.9220.76294.690.468.74112.83222.23292.750.676.32120224.08290.82DT0.254.21110.29212.4294.840.470.7121.15217.85292.930.677.33129.58219.84291.01

图6 烟煤热流分段趋势拟合
Fig.6 Piecewise trend fitting diagram of bituminous coal heat flow

通过对3种烟煤的计算,不同升温速率下煤低温氧化过程中缓慢放热、加速放热和快速放热3个阶段的数学模型分别为

1)0.2 ℃/min:

(5)

2)0.4 ℃/min:

(6)

3)0.6 ℃/min:

(7)

从不同升温速率的热流数学模型可以看出,在缓慢放热阶段时随着升温速率的增加,B值和C值都逐渐上升,在加速放热阶段中D,FG随着升温速率的增加而上升,快速放热阶段与缓慢和加速阶段呈现出同样的规律,可以得出热流数学模型的参数值随着升温速率的升高而增大。

3 煤样低温氧化热量变化规律

3.1 煤样低温氧化热量变化整体特征

对热流曲线计算和分析可以得到煤样从30~300 ℃的放热量H变化曲线,如图7所示。

图7 不同烟煤0.2 ℃/min升温速率下放热量变化
Fig.7 Variation of heat release capacity of bituminous coal
with different heating rates of 0.2 ℃/min

通过对3种烟煤的观察发现,放热量增长趋势相同,都是由慢到快,这是由于在温度较低时,煤样主要是靠物理吸附和化学吸附产生热量,由吸附而产出的热量相较于氧化反应来说较小,并且在低温度时,炉体开始升温后,并不能迅速使煤样受热均匀,因此导致了煤样放热量增长速率呈现逐渐上升的趋势。由图7可以看出放热量的累积CJT>DFS>DT,从而说明放热量与煤样的变质程度成反比,煤的变质程度越低,放热量越大。

图8 不同升温速率的放热量
Fig.8 Heat release of different heating rates

煤样不同升温速率的放热量累积变化如图8所示。随着升温速率的增加,放热累积量越少,这是由于到达相同的温度时,低升温速率下的煤样经历的时间更长,同时低升温速率条件下能使煤样外围与中心的温度梯度较小,使煤样反应更加充分。较高升温速率时,温度上升较快,煤氧反应并不完全,从而导致放热量相对较小。

3.2 煤样低温氧化热量变化分段特征

为进一步研究氧化阶段的热量变化情况,因此将升温时的3个放热阶段的放热量和占比进行了计算与分析,如图9所示。通过观察可以发现,3种烟煤的阶段放热量在不同升温速率下都呈阶梯式上升,在第1阶段时放热量很小,只占到了总放热量的1%左右,在第2阶段放热量约占到总放热量的30%,第3阶段约占了总放热量的70%,说明煤样经过缓慢阶段和加速阶段的累积,快速阶段放出了大量的热。对于3种不同的烟煤,DT煤样在第2阶段的放热量要小于CJT和DFS,只占到25%,而在第3阶段的放热量要高于另外两种烟煤,占到70%以上,说明DT煤样的放热较为滞后,从而也说明DT煤样的变质程度要较高于CJT与DFS。3种升温速率对各个阶段的放热量占比影响不大,随着升温速率的增加,各个阶段的放热量并没有明显变化。

图9 阶段放热量
Fig.9 Stage heat release

4 煤样低温氧化的活化能

采用非等温法测试动力学参数[21],动力学方程为

(8)

式中,β为升温速率,℃/min;t为时间,min;α为转化率;m0为煤样初始质量,g;n为反应级数;k(T+273.15)为反应速率常数。

根据Arrhenius方程以及相关公式进行计算得到1/T呈线性关系,利用方程的斜率可以求出煤样在加速放热阶段的活化能E

(9)

式中,A为指前因子,s-1E为活化能,kJ/mol;R为气体常数,8.314 J/(mol·K)。

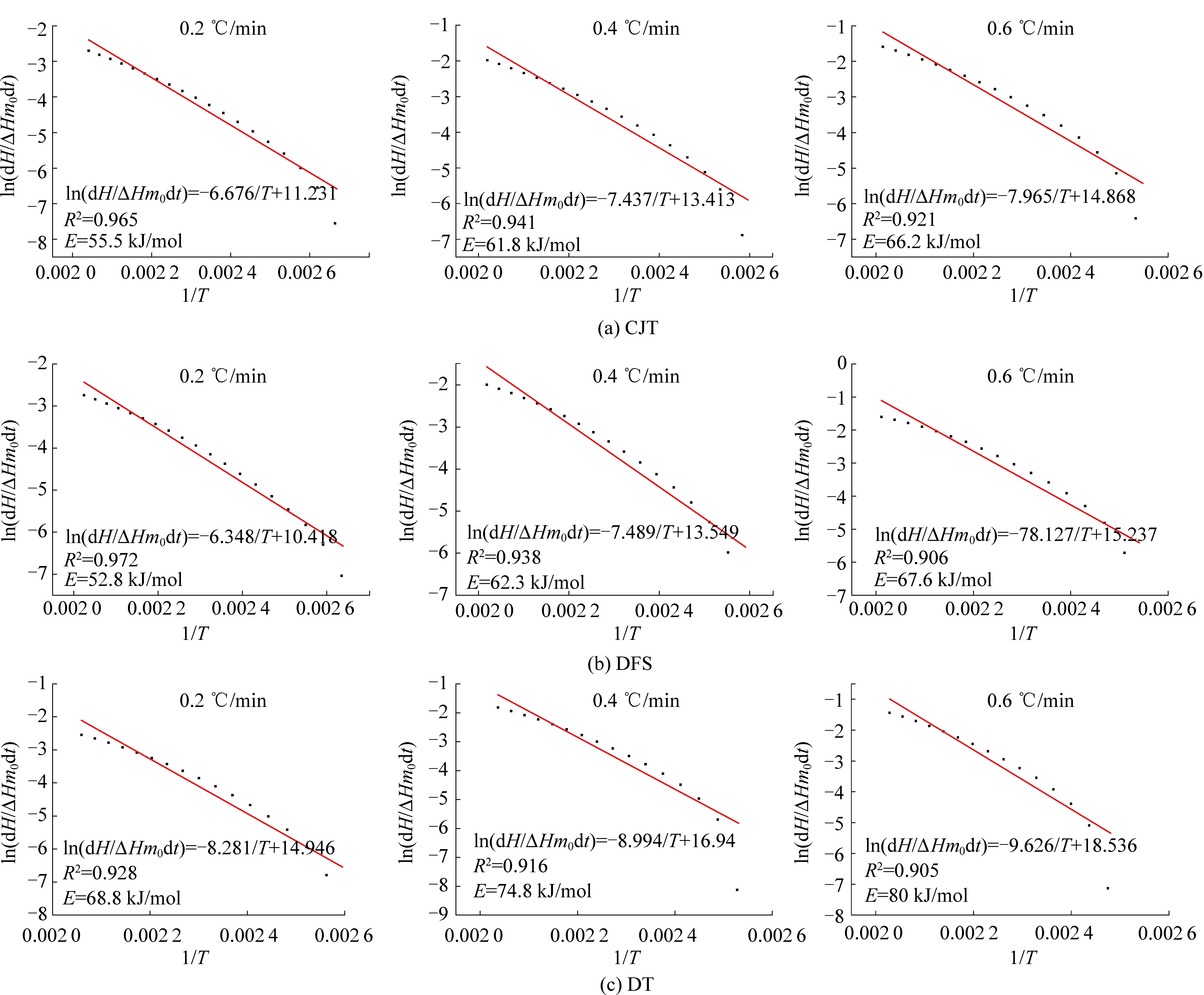
1/T之间的关系如图10所示。

图10 活化能
Fig.10 Activation energy

通过对不同升温速率下烟煤的活化能研究,发现随着升温速率的升高,3种烟煤的活化能值都逐渐升高,在低升温速率的条件下,温度的增长趋势要小于高升温速率下的温度增长趋势,这会使炉壁与炉中心位置的温度梯度较小,高升温速率的温度梯度较大,因此炉体内的煤样还未完全反应就进入了下一个温度段,导致了低升温速率下的煤样相比于高升温速率下的煤样反应较为完全,从而放出了较高的热量,这说明煤在低升温速率下更容易造成热量的积聚,易引发煤自燃,从而验证了活化能的计算结果,升温速率越高,活化能越高,煤样越难反应。因此说明了升温速率较高的煤不容易自燃,升温速率越低,煤的自燃倾向性越高。

5 煤样低温氧化自燃倾向性

为了更好地研究煤自燃倾向性,基于本文低温氧化的实验研究以及热量计算式探寻一种评价煤自燃倾向性的公式。热量公式[22]

H=cm0ΔT

(10)

(11)

式中,q为热流,mW;H为放热量,J/g;c为比热容。

因此由公式可以得到煤低温氧化放热3个阶段的自燃倾向性指数γ

(12)

(13)

(14)

通过公式以及上文的阶段放热量的计算可以得到3个放热阶段自然倾向性γ服从如下规律:

γ1(0.2 ℃/min)>γ1(0.4 ℃/min)>γ1(0.6 ℃/min)

γ2(0.2 ℃/min)>γ2(0.4 ℃/min)>γ2(0.6 ℃/min)

γ3(0.2 ℃/min)>γ3(0.4 ℃/min)>γ3(0.6 ℃/min)

通过计算发现随着升温速率的增加,煤3个放热阶段的自燃倾向性指数γ都呈现降低的趋势,表明升温速率越低,自燃倾向性越高。并且可以得到在低温氧化放热热流数学模型中,随着各个参数数值的增大,煤的自燃倾向性将会降低。由于热流模型中各个参数都由升温速率的数值而确定,因此,此自燃倾向性的判定方法能有效地预测不同升温速率对煤自燃的影响,从而能够有效地预防煤自燃的发生,并针对性地做好防灭火工作。

6 结 论

1)烟煤的低温氧化过程分为吸热、缓慢放热、加速放热和快速放热4个阶段。3个放热阶段的热流模型服从q=BT-Cq=DT2-FT+Gq=-IT2+JT-K的规律。

2)烟煤的变质程度越高,低温氧化过程的特征温度点向后推移。随着升温速率的升高,烟煤的特征温度点向后推移,放热阶段热流模型的各个参数同时也增大。

3)烟煤的变质程度升高以及升温速率的增加,放热量都呈现减小的趋势。3个放热阶段的放热量约占总放热量的比值分别为:1%,30%,70%,说明在煤缓慢放热阶段就要采取相应的防灭火措施。

4)随着升温速率的增加,烟煤的活化能变大,热流模型中的各个参数变大,自燃倾向性指数γ随之变小,表明煤的自燃倾向性变低。

参考文献(References):

[1] 朱令起,邵静静,刘 聪,等.指标气体与温度耦合的烟煤自燃预测模型研究[J].煤矿安全,2016,47(1):44-46.

ZHU Lingqi, SHAO Jingjing, LIU Chong, et al. Research on forecasting model of bituminous coal spontaneous combustion combining indicator gases and temperature[J]. Safety in Coal Mines,2016,47(1):44-46.

[2] 孙 越.煤自燃倾向性及测定中的影响因素[J].煤炭与化工,2017,40(8):154-155.

SUN Yue. Tendency of coal spontaneous combustion and the influence factors in its determination[J]. Coal and Chemical Industry,2017,40(8):154-155.

[3] 郭 军,蔡国斌,金 彦,等.煤自燃火灾防治技术研究进展及趋势[J].煤矿安全,2020,51(11):180-184.

GUO Jun, CAI Guobin, JIN Yan, et al. Research progress and trend of coal spontaneous combustion fire prevention technology[J]. Safety in Coal Mines, 2020,51(11):180-184.

[4] LI Jinhu, LI Zenghua, YANG Yongliang, et al. Study on oxidation and gas release of active sites after low-temperature pyrolysis of coal[J]. Fuel,2018,233(12):237-246.

[5] NIU Zhiyuan, LIU Guijian, YIN Hao, et al. Investigation of mechanism and kinetics of non-isothermal low temperature pyrolysis of perhydrous bituminous coal by in-situ FTIR[J]. Fuel,2016,172(5):1-10.

[6] WANG Tao, LI Cheng, ZHOU Binxuan, et al. Experimental investigation of thermal effect in coal pyrolysis process[J]. Fuel Processing Technology,2020,200:106269.

[7] 王玉怀,刘二小,侯 婓.察哈素3号煤低温氧化过程中孔隙特征变化规律研究[J].华北科技学院学报,2017,14(1):17-20.

WANG Yuhuai, LIU Erxiao, HOU Fei. Study on variation law of Chahasu NO.3 coal pore characteristics under low temperature oxidation[J]. Journal of North China Institute of Science and Technology,2017,14(1):17-20.

[8] 董宪伟,艾晴雪,王福生,等.煤氧化阻化过程中的热特性研究[J].中国安全生产科学技术,2016,12(4):70-75.

DONG Xianwei, AI Qingxue, WANG Fusheng, et al. Research on thermal characteristics in the process of coal oxidation inhibition[J]. Journal of Safety Science and Technology,2016,12(4):70-75.

[9] TIAN Bin, QIAO Yingyun, TIAN Yuanyu, et al. Investiga-tion on the effect of particle size and heating rate on pyrolysis characteristics of a bituminous coal by TG-FTIR[J]. Journal of Analytical and Applied Pyrolysis,2016:376-386.

[10] 文 虎,黄 遥,张玉涛,等.氧气体积分数与升温速率对弱黏煤燃烧特性的影响[J].煤炭学报,2017,42(9):2362-2368.

WEN Hu, HUANG Yao, ZHANG Yutao, et al. Effects of oxygen concentration and heating rate on the characteristics of bituminous coal combustion[J]. Journal of China Coal Society,2017,42(9):2362-2368.

[11] 邵 玥,尤 飞,尤明伟,等.升温速率及氧浓度对长焰煤煤氧复合过程特性的影响[J].安全与环境学报,2016,16(5):177-181.

SHAO Yue, YOU Fei, YOU Mingwei, et al. Effect of the oxygen content and heating rate on the oxidation process of the long-flame burning coal[J]. Journal of Safety and Environment,2016,16(5):177-181.

[12] 朱红青,沈 静,张亚光.升温速率和氧浓度对煤表观活化能的影响[J].煤炭科学技术,2015,43(11):49-53.

ZHUHongqing, SHEN Jing, ZHANG Yaguang. Temperature rising rates and oxygen concentrations influerced to apparent activation energy of coal[J]. Coal Science and Technology,2015,43(11):49-53.

[13] 朱红青,刘丹龙,刘建荣.基于Arrhenius方程的煤的绝热氧化过程研究[J].中国安全科学学报,2016,26(7):63-67.

ZHU Hongqing, LIU Danlong, LIU Jianrong. Research on coal adiabatic oxidation based on Arrhenius equation[J]. China Safety Science Journal,2016,26(7):63-67.

[14] 朱红青,王海燕,宋泽阳,等.煤绝热氧化动力学特征参数与变质程度的关系[J].煤炭学报,2014,39(3):498-503.

ZHU Hongqing, WANG Haiyan, SONG Zeyang, et al. The relationship between oxidation kinetics characteristic parameters of coal adiabatic progress and metamorphic degree[J]. Journal of China Coal Society,2014,39(3):498-503.

[15] 玄伟伟,王 倩,张建胜.褐煤自燃倾向测定及其低温氧化反应过程研究[J].煤炭学报,2016,41(10):2460-2465.

XUAN Weiwei, WANG Qian, ZHANG Jiansheng. Spontaneous combustion propensity and low-temperature oxidation process of lignite[J]. Journal of China Coal Society, 2016,41(10):2460-2465.

[16] WANTAEK J, HOKYUNG C, SANGDO K, et al. A comparison of spontaneous combustion susceptibility of coal according to its rank[J]. Korean Journal of Chemical Engineering,2013,30(5):1034-1038.

[17] 王福生,张志明,武建国,等. 煤体结构对自燃倾向性影响研究[J]. 煤炭科学技术, 2020, 48(5): 83-88.

WANG Fusheng,ZHANG Zhiming,WU Jianguo,et al. Study on influence of coal structure on spontaneous combustion tendency[J]. Coal Science and Technology, 2020, 48(5): 83-88.

[18] REN Lifeng, DENG Jun, LI Qinwei, et al. Low-temper-ature exothermic oxidation characteristics and spontaneous combustion risk of pulverised coal[J]. Fuel, 2019, 252:238-245.

[19] 陈 龙,张嬿妮.氧浓度对煤低温氧化热效应影响规律研究[J].中国安全生产科学技术, 2020, 16(6): 49-54.

CHEN Long, ZHANG Yanni. Study on influence laws of oxygen concentration on thermal effect of coal low-temperature oxidation[J]. Journal of Safety Science and Technology,2020,16(6):49-54.

[20] 张嬿妮,刘春辉,宋佳佳,等.长焰煤低温氧化主要官能团迁移规律研究[J].煤炭科学技术,2020,48(3):188-196.

ZHANG Yanni, LIU Chunhui, SONG Jiajia, et al. Study on transfer law of main functional groups in low temperature oxidation of long flame coal[J]. Coal Science and Technology, 2020,48(3):188-196.

[21] 肖 旸,李达江,吕慧菲,等.咪唑类离子液体抑制煤氧化热动力学参数的研究[J].煤炭学报,2019,44(S1):187-194.

XIAO Yang, LI Dajiang, LÜ Huifei, et al. Research on imidazolium ionic liquid inhibiting coal oxidation thermo-kinetics parameters[J]. Journal of China Coal Society, 2019,44(S1):187-194.

[22] 李祥春,张梦婷,李忠备,等.气体吸附过程中煤比表面Gibbs函数变化规律[J].煤炭学报,2019,44(2):509-519.

LI Xiangchun, ZHANG Mengting, LI Zhongbei, et al. Variation law of coal specific surface Gibbs function in gas adsorption process[J]. Journal of China Coal Society, 2019,44(2):509-519.

Study on low temperature oxidation heat release characteristics of bituminous coal at different heating rates

ZHANG Yanni1,2,3, WANG Anpeng1,3, HOU Yunchao1,3, SHU Pan1,3, YANG Jingjing1,3, LI Lele1,3

(1.College of Safety Science and Engineering, Xian University of Science and Technology, Xian 710054, China;2.Key Laboratory of Coal ResourcesExploration and Comprehensive Utilization, Ministry of Land and Resources, Xian 710054, China;3.Shaanxi Key Laboratory of Prevention and Control ofCoal Fire, Xian University of Science and Technology, Xian 710054, China)

Abstract:Coal spontaneous combustion is one of the important factors threatening the process of mining, storage and utilization. The oxidation exothermic reaction of coal at low temperature stage is also the main factor leading to coal spontaneous combustion. In order to study the heat release characteristics of bituminous coal at low temperature, three kinds of bituminous coal with different metamorphic degree were selected to study. Caojiatan (CJT) long flame coal, Dafosi (DFS) non caking coal and Dongtan (DT) gas coal were used as the coal samples. The micro calorimeter (C80) was used to monitor the change of heat flow of coal samples in the temperature range of 30~300 ℃, so as to explore the heat flow change law and exothermic situation of different bituminous coal low-temperature oxidation processes, and obtain the staged heat flow of the low-temperature oxidation process. features and corresponding mathematical models. In order to further study the effect of heating rate on the heat release characteristics of bituminous coal, the experiments were conducted at different heating rates of 0.2, 0.4 and 0.6 ℃ / min, respectively. Based on the heat flow model and heat formula, the index γ for judging the spontaneous combustion tendency was established, and the influence of different heating rates on the heat release characteristics and spontaneous combustion tendency of bituminous coal in low temperature oxidation process was analyzed. The results show that the low temperature oxidation of bituminous coal can be divided into four stages: endothermic, slow exothermic, accelerated exothermic and fast exothermic stages. With the increase of heating rate, the characteristic temperature point tends to move backward and the heat release decreases. The proportion of exothermic heat in the three exothermic stages did not change significantly, about 1%, 30%, and 70%. It was found that the lower the heating rate is, the smaller the activation energy value is, and the γ value of coal spontaneous combustion tendency index increases. By studying the heat release characteristics of bituminous coal and the influence of different heating rates on the heat release characteristics of bituminous coal,, this subject can have a clearer understanding of bituminous coal oxidation heat release so as to study fire extinguishing materials, and prevent and control coal spontaneous combustion.

Key words:coal spontaneous combustion; bituminous coal; microcalorimeter; low temperature oxidation; heating rate; exothermic characteristics; spontaneous combustion tendency

移动扫码阅读

张嬿妮,王安鹏,侯云超,等.不同升温速率下烟煤的低温氧化放热特性研究[J].煤炭科学技术,2022,50(9):104-113.

ZHANG Yanni, WANG Anpeng,HOU Yunchao, et al.Study on low temperature oxidation heat release characteristics of bituminous coal at different heating rates[J].Coal Science and Technology,2022,50(9):104-113.

收稿日期:2021-02-04

责任编辑:常 琛

DOI:10.13199/j.cnki.cst.2020-1630

基金项目:国家重点研发计划资助项目(2018YFC0807901);国家自然科学基金资助项目(51674191)

作者简介:张嬿妮(1978—),女,山西阳城人,教授,博士。E-mail:zyn2099@xust.edu.cn

中图分类号:TD752

文献标志码:A

文章编号:0253-2336(2022)09-0104-10