采矿科学与工程

煤层群开采遗留煤柱效应及跨掘巷道围岩控制研究

金珠鹏1,杨增强2,3,刘国栋4,5,李丰硕2

(1.黑龙江科技大学 矿业工程学院,黑龙江 哈尔滨 150027;2.江苏建筑职业技术学院 交通工程学院,江苏 徐州 221116;3.徐州矿务集团有限公司,江苏 徐州 221018;4.中煤科工开采研究院有限公司,北京 100013;5.天地科技股份有限公司开采设计事业部,北京 100013)

摘 要:针对采区边界遗留煤柱下侧跨掘巷道存在特殊破坏段问题,以灵新煤矿沿空侧051606回风平巷为背景,采用现场调研、理论分析、数值模拟及工业性试验的综合分析方法,通过研究巷道特殊破坏段现场矿压显现情况,基于半平面体理论建立的遗留煤柱效应影响力学模型以及跨掘巷道和回采期间精细化数值模拟,确定了巷道特殊破坏段的修复支护设计方案。研究结果表明:遗留煤柱效应影响下跨掘巷道围岩在遗留煤柱中轴线正下方主要受垂直应力影响,此处垂直应力大小为13.0~15.0 MPa,而在遗留煤柱两侧边缘位置下方主要受剪切应力集中影响,此处剪切应力大小为-6.5~-5.0 MPa和5.0~7.0 MPa;051606回风平巷跨掘期间顶板位置处最大垂直应力为14.4 MPa,底板位置处最大垂直应力为13.6 MPa,顶板位置处最大剪切应力为6.5 MPa,底板位置处最大剪切应力为5.3 MPa,且最大垂直应力位于遗留煤柱中轴线正下方,最大剪切应力位于遗留煤柱两侧边缘位置下方;051606工作面回采期间对于巷道特殊破坏段围岩的扰动影响分为无应力影响段(距遗留煤柱边缘大于16 m),超前应力影响段(距遗留煤柱边缘0~16 m)和叠加应力影响段(距遗留煤柱中轴线0~17.5 m)3个阶段,且受回采扰动影响护巷煤柱和顶板靠近护巷煤柱侧偏应力集中程度较高,煤岩体更易变形发生非对称性破坏;巷道特殊破坏段采用非对称锚索桁架支护系统修复后,后续051606工作面回采期间矿压监测到顶底板收敛量为143 mm,两帮收敛量为109 mm,较巷道原始断面尺寸收敛率分别为4.3%和2.2%,整体控制在5%以内,能够很好地满足行人、通风等需求。

关键词:遗留煤柱;跨掘巷道;特殊破坏段;非对称支护;煤层群

0 引 言

我国煤炭资源地质赋存形式多样,同一井田范围内甚至存在上下空间中多层可采煤炭资源的情况,即煤层群地质赋存形式。根据煤层群内各煤层之间的距离大小,又可划分为单一煤层和近距离煤层开采情况[1-3],而近距离煤层开采期间上下采掘作业时常会相互影响,进而造成后续煤层开采矿压显现不断。

近距离煤层群上行开采或下行开采常被用作煤与瓦斯突出的根本防治技术,众多学者也针对性地进行了一系列相关研究[4-7]。近年来,关于近距离煤层群开采期间应力状态及其对于强矿压防治方面的研究也日益增多,王洛锋等[8]基于物理相似材料模拟的方法对强冲击厚煤层开采上、下解放层的卸压效果进行了研究,明确了相应的工作面合理布置方式;王寅等[9]通过对煤层上行开采覆岩运移破断机理分析,得到了覆岩结构失稳判据;江丽丽等[10]对于上行开采解放层时应力叠加效应影响进行了分析,明确了解放层工作面的合理布置方式;彭高友等[11]对近距离煤层群采动力学行为进行了探索,推导出了距离采煤工作面不同距离时巷道围岩变形速度预测公式。总体来说,对于煤层群开采在煤与瓦斯突出方面的研究已经日臻成熟,但随着煤层开采深度的逐年递增,关于煤层群开采期间强矿压频发问题的研究成为当下的难点之一。

因此,笔者结合上述相关学者在煤层群开采期间矿压方面的研究基础,基于灵新煤矿受遗留煤柱效应影响下跨掘巷道的特殊工程背景,采用现场调研统计、半平面体理论分析、数值模拟精细化研究及矿压监测验证等手段,尝试从巷道围岩非对称性控制的角度实现围岩稳定性控制的目的,进而为具有类似工程地质条件的巷道围岩控制提供新的方向。

1 工程地质概况

宁夏银川市磁窑堡镇境内的灵新煤矿隶属于神华宁煤集团公司,其整合后的核定年生产能力达390 Mt。该矿井目前开采至五采区南翼三段的051606工作面,工作面主采16号煤层平均厚度为3.3 m,平均倾角为10°,平均埋深为360 m,属于近水平浅埋煤层开采。051606工作面上方19.2~21.5 m位置处为15号煤层采空区,但有开采遗留煤柱体的存在。051606工作面一侧为已回采结束的051604采空区,其与051606工作面之间留设有宽20 m的区段保护煤柱,而沿空侧的051606回风平巷刚好从上方宽35 m的采区边界遗留煤柱下方跨掘穿过,这也导致051606回风平巷受上方采区边界遗留煤柱影响而存在特殊巷道段矿压显现剧烈难题。关于051606工作面采掘空间布置情况以及051606回风平巷特殊段围岩现场破坏情况分别如图1、图2所示。

图1 051606工作面采掘空间布置情况
Fig.1 Driving and mining space layout of No.051606 working face

图2 051606回风平巷破坏实例
Fig.2 Failure example of No.051606 tailentry

2 遗留煤柱效应影响机理

从图1中可知,051606回风平巷跨掘期间依次从051504采空区、宽35 m采区边界遗留煤柱和W1415采空区下方穿过,基于此沿051606回风平巷掘进方向做剖面,并根据半平面体理论[12]建立遗留煤柱影响范围内底板内任意一点的受力模型,如图3所示。

γH0—W1415和051504采空区覆岩平均容重和平均埋深;
λ0—采空区卸压保护范围应力集中系数;λ1H1—遗留煤柱
应力集中系数和平均埋深;M—底板煤岩体内任意一点;
δxδyτxyM点受到的水平应力、垂直应力和剪切应力
图3 遗留煤柱影响范围内底板受力分析
Fig.3 Stress analysis of floor within influence range
of residual coal pillar

基于相关文献研究可知,遗留煤柱边缘位置处由于矸石承载能力极小,可近似假定为0。随着远离遗留煤柱边缘,采空区矸石承载能力随着压实程度的增加而逐渐增大,最终在遗留煤柱埋深的0.12~0.30倍位置处恢复至原岩应力状态[13]。考虑到W1415和051504采空区的平均埋深为340 m,计算得知其对应的0.12~0.30倍位置处为40.8~102.0 m,在此取均值为71.4 m,因此将遗留煤柱两侧对底板的卸压保护影响范围均取值为71.4 m。同时为便于计算将卸压保护范围内底板受到的承载压应力平均化,均取值为λ0γH0,遗留煤柱对于底板的承载压应力平均值为λ1γH1

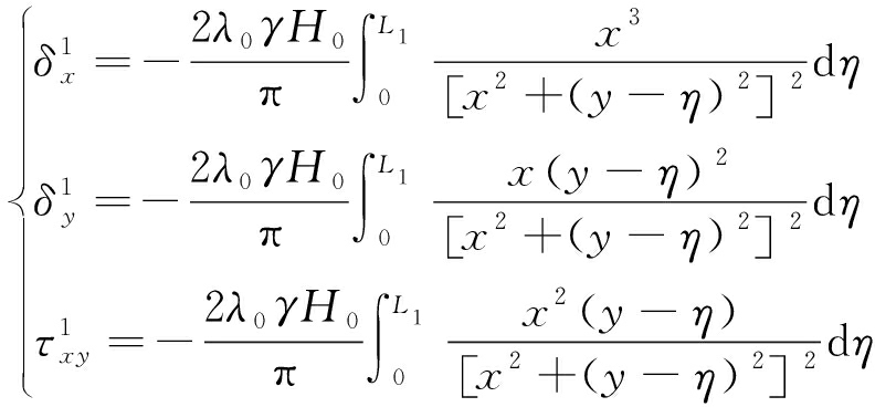
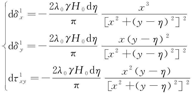
由图3可知,以底板煤岩体内任意一点M的受力情况进行分析。首先以051504采空区卸压保护影响范围(宽度L1)为研究对象,在其对应宽度的影响范围内截取任意微小单元长度dη,则该微小单元区间内的均布载荷q1(η)大小为:

q1(η)=λ0γH0dη

(1)

该均布载荷q1(η)对底板煤岩体中任意一点M产生的应力影响如下:

(2)

式中:分别为在均布载荷q1(η)作用下任意一点M受到的水平应力、垂直应力和剪切应力大小,MPa;xy为相对于图3所示坐标系中任意一点M的横坐标和纵坐标值,m。

对式(2)进一步积分可得整个宽度L1影响范围内均布载荷对底板煤岩体内任意一点M产生的应力影响如式(3):

(3)

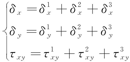
同理,以遗留煤柱(宽度L2)和W1415采空区(宽度L3)影响范围内为研究对象,同样在其对应宽度的影响范围内截取任意微小单元长度dη,基于式(2)和式(3),可以相应得到其对底板煤岩体中任意一点M产生的应力影响,最后根据应力叠加原理可以计算出受051504采空区(宽度L1)和W1415采空区(宽度L3)卸压保护影响以及遗留煤柱(宽度L2)影响时底板煤岩体内任意一点M的最终受力情况,如式(4):

(4)

式中:分别为宽度Li影响范围对于底板煤岩体内任意一点M的应力影响(水平应力,垂直应力,剪应力),MPa;i分别取值为1,2,3。

结合现场工程地质条件,可知γ取值为2.5×104 kN/m3λ0取值为0.6,λ1取值为1.8,H0取值为340 m, H1同样取值为340 m,L1L2L3分别取值为71.4、35、71.4 m。联立式(1)—式(4)并应用Matlab软件解算可得遗留煤柱效应影响下底板煤岩体内任意一点M的水平应力、垂直应力和剪切应力,如图4所示。

L1,L3—采空区宽度;L2—煤柱宽度
图4 遗留煤柱效应影响下底板应力分布
Fig.4 Stress distribution of floor under residual coal pillar effect

由图4a可知,水平应力集中区主要位于遗留煤柱正下方,但其影响深度范围较小,对于下方间距20 m位置处的16号煤层开采影响甚微(此处水平应力集中小于2 MPa),因此推断遗留煤柱效应影响下水平应力集中并不会对16号煤层采掘造成影响;由图4b可知,垂直应力集中区同样主要位于遗留煤柱正下方,但其影响深度范围较大,对于下方间距20 m位置处的16号煤层开采影响较大(此处垂直应力集中在13~15 MPa),因此推断遗留煤柱效应影响下垂直应力集中会对16号煤层采掘造成严重影响;由图4c可知,剪切应力集中区主要位于遗留煤柱两侧边缘位置下方,且其影响深度范围很大,对于下方间距20 m位置处的16号煤层开采影响很大(此处剪切应力集中在-5~-6.5 MPa和5~7 MPa)。

综上分析可知,051606回风平巷跨掘期间其围岩将在遗留煤柱中轴线正下方主要受垂直应力集中影响,而以剪切应力集中影响为辅;而当051606回风平巷跨掘至遗留煤柱两侧边缘位置下方时主要受剪切应力集中影响,而以垂直应力集中影响为辅。可见,051606回风平巷跨掘期间受遗留煤柱效应影响而存在一定区间的特殊破坏段。

3 跨掘巷道数值模拟

3.1 三维数值模型的建立

由图1所示051606工作面采掘空间布置情况,应用FLAC3D软件建立三维数值模型,如图5所示。

图5 三维数值模型的建立
Fig.5 Establishment of a FLAC3D numerical model

图5中所示三维数值模型尺寸为:长×宽×高=150 m×200 m×65 m,模型底面采用固定位移约束,模型四周采用水平位移约束,模型上表面距离地表平均埋深为320 m。取覆岩平均容重为2.5×104 kN/m3,则可计算得到上表面施加的等效载荷为8.0 MPa,重力加速度取值为10 m/s2。所建三维数值模型中采空区矸石选用Double-Yield本构模型,其余煤岩体均选用Mohr-Column本构模型[14]。关于采空区矸石物理力学参数的确定,可依据Salamon经验公式[15]计算得到其压实过程中的应力-应变关系,并选用Double-Yield本构模型建立1 m×1 m×1 m的子单元模型,通过试错法对该子单元模型的体积模量、剪切模量、内摩擦角和剪胀角进行修正(在此根据相关文献研究[16]取矸石初始密度为1 000 kg/m3)。当数值模拟得到的应力-应变曲线与理论计算得到的应力-应变曲线吻合度较高时(图6),即确定了三维数值模型中采空区矸石的物理力学参数,见表1。

图6 采空区矸石理论计算与数值模拟的应力-应变曲线
Fig.6 Stress-strain curve of theoretical calculation and
numerical simulation for gangue in gob

表1 采空区矸石物理力学参数

Table 1 Physical and mechanical parameters of gangue in gob

岩性密度/(kg·m-3)体积模量/GPa剪切模量/GPa内摩擦角/(°)剪胀角/(°)矸石1 0006.353.741810

三维数值模型中煤岩体的最终物理力学参数赋值情况基于现场取芯并在实验室进行煤岩样力学参数测试的基础上确定,见表2。

表2 煤岩体物理力学参数

Table 2 Physical and mechanical parameters for
coal and rock mass

岩性厚度/m体积模量/GPa剪切模量/GPa黏聚力/MPa内摩擦角/(°)密度/(kg·m-3)粉砂岩3.59.17.87.2342 650细砂岩5.513.310.010.2372 700中砂岩11.012.39.15.2372 34015号煤3.05.02.11.7281 300粉砂岩2.09.17.87.2342 650细砂岩2.013.310.010.2372 700砂质泥岩1.512.510.010.0352 630中砂岩2.512.39.15.2372 340粗砂岩9.09.910.610.8343 050粉砂岩2.09.17.87.2342 650泥岩1.03.26.78.1362 24016号煤3.35.02.11.7281 300细砂岩9.013.310.010.2372 700粉砂岩9.79.17.87.2342 650

3.2 数值模拟结果分析

3.2.1 巷道跨掘期间围岩应力分析

针对051606回风平巷跨掘期间受遗留煤柱效应影响下围岩应力空间分布情况如图7所示。

由图7a和图7b可知,051606回风平巷跨掘期间,其顶板位置处最大垂直应力为14.4 MPa,其底板位置处最大垂直应力为13.6 MPa,且最大垂直应力位于遗留煤柱中轴线的正下方,可见051606回风平巷在遗留煤柱中轴线的正下方受到较高的垂直应力影响;由图7c和图7d可知,051606回风平巷顶板位置处最大剪切应力为6.5 MPa,其底板位置处最大剪切应力为5.3 MPa,且最大剪切应力位于遗留煤柱两侧边缘位置下方,可见051606回风平巷在遗留煤柱两侧边缘位置下方处受到较高的剪切应力影响。

图7 051606回风平巷围岩应力空间分布
Fig.7 Spatial stress nephogram of surrounding rock in No.051606 tailentry

综上分析可知,数值模拟和理论计算结果较一致,这表明当051606回风平巷跨掘至遗留煤柱下方时,当受到较高程度的垂直应力影响时,巷道帮部围岩极易受压产生严重内挤变形;而当受到较高程度的剪切应力影响时,巷道顶板围岩中支护体极易被剪断失效,且顶板岩层在较高的剪切应力作用下容易发生离层破碎现象,进而致使顶板局部漏冒甚至严重时发生冒顶事故。

3.2.2 工作面回采期间围岩应力分析

基于偏应力第二不变量定义可知,其表征了煤岩体受剪切应力及相应畸变量的大小,这能够客观反映煤岩体变形破坏的本质[17-18],在此利用偏应力第二不变量对工作面回采期间围岩的变形破坏特征进行分析。关于偏应力第二不变量可由3个主应力计算得到,如式(5):

(5)

式中:σ1σ2σ3分别为第1、第2和第3主应力,MPa;σp2为偏应力第二不变量,MPa。

051606回风平巷跨掘出后,受遗留煤柱效应影响而致使巷道中特殊破坏段围岩应力环境较差,进而后续受051606工作面回采扰动影响而应力环境进一步恶化。关于051606工作面回采推进至遗留煤柱下方附近时,051606回风平巷顶板位置处围岩的偏应力第二不变量演化,如图8所示。

由图8可知,在051606工作面回采推进过程中,存在如下规律:

1)受遗留煤柱效应影响,巷道特殊破坏段顶板靠近护巷煤柱侧偏应力较为集中,偏应力高达16 MPa,该部分顶板煤体裂隙发育且较为破碎,顶板靠近实体煤侧偏应力降低至7 MPa,偏应力降低幅度高达56.3%(图8a),顶板偏应力整体呈现非对称分布形式;

2)051606工作面回采推进靠近遗留煤柱边缘侧的动态过程中,当工作面距离遗留煤柱边缘侧24 m和16 m时(图8a、图8b),巷道特殊破坏段顶板偏应力变化不大,判定为工作面距遗留煤柱16 m左右时巷道特殊破坏段开始受工作面回采超前支承应力影响;

3)051606工作面从距遗留煤柱边缘侧16 m推进至0的动态过程中(图8b、图8d),受回采工作面超前支承应力影响,特殊破坏段护巷煤柱内的高偏应力区域大幅增加,直接影响了护巷煤柱的稳定性,从而导致巷道特殊破坏段围岩更加不稳定;

4)051606工作面从遗留煤柱边缘侧推进至靠近遗留煤柱中轴线的过程(图8d、图8f),护巷煤柱内偏应力进一步增大,此时巷道特殊破坏段顶板偏应力最大值由16 MPa增大至22 MPa,顶板偏应力达到最高值。

图8 051606工作面回采期间偏应力第二不变量演化
Fig.8 Second invariant of deviator stress nephogram during No.051606 working face mining period

综上分析可知,根据051606工作面回采期间对于巷道特殊破坏段围岩的偏应力影响情况,可将该回采过程分为3个阶段:无应力影响段(距遗留煤柱边缘大于16 m),超前应力影响段(距遗留煤柱边缘0~16 m)和叠加应力影响段(距遗留煤柱中轴线0~17.5 m)。

4 特殊破坏段围岩控制

4.1 支护方案设计

根据上述理论计算及数值模拟分析可知,当051606回风平巷跨掘至遗留煤柱下方时,高垂直应力将会向围岩两帮转移,进而造成帮部煤体在高集中应力作用下而严重内挤变形,同时顶板在高剪切应力作用下容易致使支护体剪断失效、顶板离层失稳发生冒顶事故;在051606工作面回采期间,受回采扰动影响,巷道特殊破坏段围岩应力环境将进一步恶化,极易诱发强矿压显现。

对于051606回风平巷原本采用如图9a所示的对称支护方式,其中所选用的帮锚杆为ø18 mm×2 000 mm的螺纹钢锚杆,顶锚杆为ø20 mm×2 500 mm的螺纹钢锚杆,顶锚索为ø17.8 mm×6 300 mm的钢绞线(每排2根),锚杆间排距为900 mm×1 000 mm,锚索间排距为1 800 mm×2 000 mm。

图9 051606回风平巷断面支护方式
Fig.9 Section support method of No.051606 tailentry

而对于巷道特殊破坏段围岩修复后采用图9b所示的非对称锚索桁架支护系统,该支护系统中锚索与槽钢托梁耦合,且支护系统整体偏向于煤柱侧布置,能够实现对于051606回风平巷顶板应力环境相对较差的煤柱帮侧进行重点支护。该支护系统通过对偏向煤柱侧的顶板提供水平和垂直方向的挤压应力,实现对于顶板应力环境较差区域煤岩体承载结果的强化效果[19-20]。关于非对称偏移量以槽钢托梁能够覆盖顶板应力环境较差区域为宜。巷道围岩修复后选用的帮锚杆和顶锚杆均改为ø22 mm×2 500 mm的螺纹钢锚杆,顶锚索改用为ø21.6 mm×8 000 mm的钢绞线(每排3根),槽钢托梁为16号,锚杆间排距为900 mm×800 mm,锚索间排距为1 200 mm×1 600 mm。

4.2 矿压观测

通过在遗留煤柱效应影响下的051606回风平巷特殊破坏段中间位置布置测站,并依据十字观测法对051606工作面回采期间特殊破坏段围岩收敛情况进行监测,结果如图10所示。

由图10可知,受051606工作面回采扰动影响,当工作面回采推进至距遗留煤柱边缘侧18 m时,051606回风平巷特殊破坏段围岩受开采扰动影响而发生变形,且当工作面推进至遗留煤柱下方时围岩变形量加剧,最终在工作面推进至遗留煤柱中轴线正下方时围岩变形量最大。此时顶板和煤柱帮移近量较大,分别为109、68 mm(图10a),而底板和实体煤帮移近量较小,分别为34、41 mm(图10b)。整体上051606回风平巷顶底板收敛量为143 mm,两帮收敛量为109 mm,较巷道原始断面尺寸收敛率分别为4.3%和2.2%,整体控制在5%以内。可见,巷道特殊破坏段围岩采用修复后的非对称锚索桁架支护系统控制效果显著,能够很好地满足行人、通风等需求(图10c)。

图10 现场矿压观测结果
Fig.10 Field pressure observation results

5 结 论

1)基于半平面体理论对遗留煤柱效应影响下底板煤岩体受力情况进行了计算分析,指出15号煤层开采边界遗留煤柱对于下方16号煤层主要以垂直应力和剪切应力扰动为主,且遗留煤柱中轴线正下方主要受垂直应力影响,遗留煤柱两侧边缘位置下方主要受剪切应力集中影响。

2)通过对三维数值模型中采空区选用Double-Yield本构模型和煤岩体选用Mohr-Column本构模型实现了数值模拟的精细化。模拟结果表明051606回风平巷跨掘期间最大垂直应力位于遗留煤柱中轴线正下方,最大剪切应力位于遗留煤柱两侧边缘位置下方;051606工作面回采期间对于巷道特殊破坏段围岩的扰动影响分为无应力影响段、超前应力影响段和叠加应力影响段3个阶段。且跨掘和回采期间巷道特殊破坏段内护巷煤柱和顶板靠近护巷煤柱侧偏应力集中程度较高,围岩易发生非对称变形破坏。

3)针对巷道特殊破坏段存在的非对称变形破坏特征,提出采用非对称锚索桁架支护系统进行修复。后续051606工作面回采期间矿压监测结果指明巷道顶底板和两帮收敛量较巷道原始断面尺寸的收敛率均控制在5%以内,能够很好地满足行人、通风、运输等需求。

参考文献(References):

[1] 谢和平等.中国煤炭科学产能[M].北京:煤炭工业出版社,2014.

[2] 李增学.煤地质学[M].北京:地质出版社,2005.

[3] 张 剑.西山矿区近距离煤层群开采巷道围岩控制技术研究及应用[D].北京:煤炭科学研究总院,2020.

ZHANG Jian.Study and application of roadway surrounding rock control technology to close coal seam group mining in Xishan mining area[D].Beijing:China Coal Research Institute,2020.

[4] 俞启香.矿井瓦斯防治[M].徐州:中国矿业大学出版社,1992.

[5] 程志恒,陈 亮,邹全乐,等.近距离煤层群煤与瓦斯高效共采技术体系:以山西吕梁沙曲矿区为例[J].煤炭科学技术,2021,49(2):122-137.

CHENG Zhiheng, CHEN Liang, ZOU Quanle, et al. Study on high-efficiency co-mining technology system of coal and gas in contiguous seams:a case study of Shaqu Minging Area in Lüliang, Shanxi Province[J].Coal Science and Technology,2021,49(2):122-137.

[6] 袁 亮.淮南矿区的瓦斯治理战略[J].中国煤炭,2003,29(10):29-31.

YUAN Liang.Gas treatment strategy in Huainan mining area[J].China Coal,2003,29(10):29-31.

[7] 张建国.中国平煤神马集团瓦斯综合治理的回顾与展望[J].矿业安全与环保,2013,40(5):82-86.

ZHANG Jianguo.Review and prospect of comprehensive gas prevention and control of China’s flat coal Shenma group[J].Mining Safety & Environmental Protection,2013,29(10):29-31.

[8] 王洛锋,姜福兴,于正兴.深部强冲击厚煤层开采上、下解放层卸压效果相似模拟试验研究[J].岩土工程学报,2009,31(3):442-446.

WANG Luofeng,JIANG Fuxing,YU Zhengxing.Similar material simulation experiment on distressing effects of the deep thick coal seam with high burst liability after mining upper and lower protective seans[J].Chinese Journal of Geotechnical Engineering,2009,31(3):442-446.

[9] 王 寅,付兴玉,孔令海,等. 近距离煤层群上行式开采悬空结构稳定性研究[J]. 煤炭科学技术, 2020, 48(12): 95-100.

WANG Yin,FU Xingyu,KONG Linghai,et al. Study on stability of dangling structure in ascending mining contiguous coal seams[J]. Coal Science and Technology, 2020, 48(12): 95-100.

[10] 江丽丽,杨增强,翟春佳,等.上保护层不合理布置对被保护层应力叠加影响效应研究[J].矿业安全与环保,2020,47(2):29-34.

JIANG Lili,YANG Zengqiang,ZHAI Chunjia,et al.Study on the influence of the unreasonable layout of upper protective layer on stress superposition of the protected layer[J].Mining Safety & Environmental Protection,2020,47(2):29-34.

[11] 彭高友,高明忠,吕有厂,等.深部近距离煤层群采动力学行为探索[J].煤炭学报,2019,44(7):1971-1980.

PENG Gaoyou,GAO Mingzhong,LYU Youchang,et al.Investigation on mining mechanics behavior of deep close distance seam group[J].Journal of China Coal Society,2019,44(7):1971-1980.

[12] 刘 畅,杨增强,弓培林,等.工作面过空巷基本顶超前破断压架机理及控制技术研究[J].煤炭学报,2017,42(8):1932-1940.

LIU Chang,YANG Zengqiang,GONG Peilin,et al.Mechanism and control technology of supports crushing induced by main roof’s breaking ahead of workface when crossing abandoned roadway[J].Journal of China Coal Society,2017,42(8):1932-1940.

[13] YANG Zengqiang,LIU Chang,TANG Shichuan,et al.Rock burst mechanism analysis in an advanced segment of gob-side entry under different dip angles of the seam and prevention technology[J].International Journal of Mining Science & Technology,2018,28(6):891-899.

[14] 陈育民,徐鼎平.FLAC/FLAC3D基础与工程实例[M].北京:中国水利水电出版社,2008.

[15] 张自政.沿空留巷充填区域直接顶稳定机理及控制技术研究[D].徐州:中国矿业大学,2016.

ZHANG Zizheng.Investigation on stability mechanism and control techniques of immediate roof above backfill area in gob-side entry retaining[D].Xuzhou:China University of Mining and Technolo-gy,2016.

[16] 杨增强.复杂地质构造区诱发冲击矿压机理及防控研究[D].北京:中国矿业大学(北京),2018.

YANG Zengqiang.Occurrence mechanism of rock burst and its prevention methods under complicated geological conditions[D].Beijing:China University of Mining and Technology(Beijing),2018.

[17] 余伟健,吴根水,袁 超,等.基于偏应力场的巷道围岩破坏特征及工程稳定性控制[J].煤炭学报,2017,42(6):1408-1419.

YU Weijian,WU Genshui,YUAN Chao,et al.Failure characteristics and engineering stability control of roadway surrounding rock based on deviatoric stress field[J].Journal of China Coal Society,2017,42(6):1408-1419.

[18] 何富连,许 磊,吴焕凯,等.大断面切眼顶板偏应力运移及围岩稳定[J].岩土工程学报,2014,36(6):1121-1127.

HE Fulian,XU Lei,WU Huankai,et al.Deviatoricstress transfer and stability of surrounding rock in large-section open-off cut roof[J].Chinese Journal of Geotechnical Engineering,2014,36(6):1121-1127.

[19] 何富连,高 峰,孙运江,等.窄煤柱综放煤巷钢梁桁架非对称支护机理及应用[J].煤炭学报,2015,40(10):2296-2302.

HE Fulian,GAO Feng,SUN Yunjiang,et al.Multiple-cable-girder-truss asymmetric support mechanism and its application in the roadway of fully mechanized top coal caving face with narrow coal pillar[J].Journal of China Coal Society,2015,40(10):2296-2302.

[20] 张 盛,王小良,贾志明,等.非对称支护技术在多层倾斜岩层巷道中的应用研究[J].煤炭科学技术,2018,46(1):74-80,126.

ZHANG Sheng,WANG Xiaoliang,JIA Zhiming,et al.Study on application of asymmetrical support technology to mine roadway with multi layer inclined rock strata[J].Coal Science and Technology,2018,46(1):74-80,126.

Study on effect of residual coal pillar in coal seam group mining and surrounding rock control of cross-excavation roadway

JIN Zhupeng1,YANG Zengqiang2,3,LIU Guodong4,5,LI Fengshuo2

(1.School of Mining Engineering,Heilongjiang Institute of Science and Technology,Harbin 150027,China; 2.School of TransportationEngineering,Jiangsu Vocational Institute of Architectural Technology,Xuzhou 221116,China;3.Xuzhou Coal Mining Group Corp., Ltd.,Xuzhou 221018,China;4.CCTEG Coal Mining Research Institute,Beijing 100083,China;5.Coal Mining and Designing Department,Tiandi Science andTechnology Co., Ltd.,Beijing 100013,China)

Abstract:In view of the problem of special damage section in the cross-excavation roadway at the lower side of the residual coal pillar at the mining area boundary, taking the No.051606 tailentry along the gob-side of Lingxin Coal Mine as the background, the comprehensive analysis method of field investigation, theoretical analysis, numerical simulation and industrial test was adopted to study the on-site rock pressure behavior in the special failure section of the roadway. Based on the mechanical model of the influence of the residual coal pillar effect established by the half plane theory and the fine numerical simulation during the cross excavation and mining period, the repair and support design scheme of the special damaged section of the roadway was comprehensively studied and determined. The research results show that: under the influence of the legacy coal pillar effect, the surrounding rock of the cross-excavation roadway is mainly affected by the vertical stress below the axis of symmetry of the residual coal pillar, where the vertical stress is about 13.0-15.0 MPa. While the shear stress is mainly affected by the shear stress below the edge of the residual coal pillar, and the shear stress is about -6.5--5.0 MPa and 5.0-7.0 MPa; the maximum vertical stress at the roof is 14.4 MPa, the maximum vertical stress at the floor is 13.6 MPa, the maximum shear stress at the roof is 6.5 MPa, and the maximum shear stress at the floor is 5.3 MPa. The maximum vertical stress is directly below the central axis of symmetry of the residual coal pillar, and the maximum shear stress is located below the edge of both sides of the residual coal pillar; the disturbance effect on surrounding rock of special damaged section in No.051606 working face can be divided into non-stress influence section (more than 16 m away from the edge of residual coal pillar) and the advanced stress affected section (0 to 16 m away from the edge of residual coal pillar) and superimposed stress influence section (0 to 17.5 m away from the axis of symmetry of residual coal pillar). Due to the influence of mining disturbance, the concentration degree of deviatoric stress in coal pillar and roof close to the coal pillar is higher, and the surrounding rock is more prone to deformation and asymmetric damage; after the special damaged section of roadway was repaired by asymmetric anchor cable truss support system, the convergence of roof between floor and two ribs were 143 mm and 109 mm respectively, which were 4.3% and 2.2% respectively compared with the original section size of roadway. The overall control was within 5%, which could meet the needs of pedestrians and ventilation.

Key words:residual coal pillar; cross diving roadway; special damaged section; asymmetric support;coal seam group

移动扫码阅读

收稿日期:2021-12-08

责任编辑:朱恩光

DOI:10.13199/j.cnki.cst.2020-1354

基金项目:黑龙江省自然科学基金优秀青年资助项目(YQ2019E033)

作者简介:金珠鹏(1981—),男,辽宁本溪人,副教授,博士。E-mail:842533837@qq.com

通讯作者:杨增强(1987—),男,山西长治人,讲师,博士。E-mail:zengqiang5@126.com

金珠鹏,杨增强,刘国栋,等.煤层群开采遗留煤柱效应及跨掘巷道围岩控制研究[J].煤炭科学技术,2022,50(9):1-9.

JIN Zhupeng,YANG Zengqiang,LIU Guodong,et al.Study on effect of residual coal pillar in coal seam group mining and surrounding rock control of cross-excavation roadway[J].Coal Science and Technology,2022,50(9):1-9.

中图分类号:TD353

文献标志码:A

文章编号:0253-2336(2022)09-0001-09