冲击荷载下聚丙烯纤维水泥砂浆力学特性研究

沈文峰1,王 亮1,2,徐 颖1,孙 蕾1

(1.安徽理工大学 土木建筑学院,安徽 淮南 232001;2.淮北矿业股份有限公司,安徽 淮北 235000)

摘 要:为研究掺入聚丙烯纤维(polypropylene fiber,PPF)的喷射砂浆,在加固矿井的应用中发生瞬时破坏时对软岩巷道的支护潜力,制备了水灰比为0.3、0.4、0.5并分别以0、1%、1.25%、1.5%的体积分数掺入PPF的水泥砂浆,浇铸成ø50 mm×25 mm的圆柱体试件。采用ø50 mm的分离式霍普金森压杆(Split Hopkinson Pressure Bar, SHPB)对上述试件分别以0.25、0.35、0.45 MPa三种加载气压进行冲击压缩试验。通过对比分析,在冲击荷载作用下,不同水灰比和不同PPF体积掺量的砂浆试件的动态力学性能,分别研究水灰比和PPF体积掺量对喷射砂浆的抗冲击载荷的影响。试验结果表明,典型试件的破坏特征具有应变率效应,试件破碎块度随应变率的增大而减小;PPF增强砂浆动态应力-应变曲线可分为弹性阶段、裂隙扩张阶段、塑性变形阶段和破坏阶段,随着应变率的提高,塑性变形阶段相应有所加强;相同PPF体积掺量时,较高孔隙率的高水灰比的砂浆试件有利于吸收应力波能量而表现出更好的抗冲击性能;当PPF体积掺量为1.25%时,均匀分布在砂浆内部的纤维改变应力传播路径,缓解应力集中现象,通过桥接和加筋作用使喷射砂浆具有更好的变形协调能力,而且在当前掺量的PPF增强砂浆的动态抗压强度和极限韧性最高,具有更好抵抗瞬时荷载破坏的能力。以上试验结果对调控砂浆配比、增强消波吸能能力有一定参考价值。

关键词:矿井加固;分离式霍普金森压杆;水灰比;破碎破裂;应变率效应;冲击荷载

0 引 言

煤炭以其经济性、高效性,长久以来,在我国能源体系中都占据着主导地位,社会经济需求和能源格局决定其在长时间内难以被其他能源取代[1]。随着开采深度向千米级扩展,复杂的地质条件和应力环境使处于“三高一强”环境下的岩体易受掘进或开采扰动而失稳[2],导致岩体内积聚的巨大能量急速猛烈地释放,造成煤岩体结构破坏,产生安全隐患,影响生产效益。煤矿开采过程中监控预测难、信息传输不透明,开采环境因冲击地压、煤与瓦斯等突出问题而更加恶劣[3], 马头门、箕斗硐室、巷道等部位在复杂的地应力作用下存在鼓起、开裂等破坏危险。断层的构造应力致使煤体变形和岩层积聚弹性能产生高静载集中,开采矿压超出直接顶和基本顶范围,岩层破裂瞬间释放高能量形成动载扰动,在矿井支护薄弱区易发生冲击破坏[4-5]。为保证生命财产安全,对矿井薄弱区进行支护十分重要,喷射混凝土砂浆、锚喷及锚喷网支护技术成熟稳定,具有可靠性和经济性等优点,广泛应用于结构初期或永久支护和结构加固之中[6-7]。矿井在运营过程中,易受到岩层围压、高压渗水和腐蚀侵入等作用,支护衬砌结构常会发生开裂、渗水、腐蚀等现象,降低结构承载能力,影响可靠性和耐久性。掺入纤维可以有效改善水泥基材料的脆性和韧性,然而对这类材料的动态性能研究多集中在碳纤维和钢纤维水泥基材料中[8]。聚丙烯纤维(PPF)具有优良的抗轴拉、抗剪切、抗腐蚀和阻裂等性能[9-10],掺入适量PPF的喷射砂浆表现出更加优异的力学性能和耐久性能,降低材料的脆性。PPF在水泥浆体中呈三维乱向分布,提高喷射砂浆的工作性能,改善应力传递路径,缓解应力集中现象;与此同时,当裂缝出现时,PPF能够传递开裂应力,增加侧向约束,延缓裂缝扩展,使基体产生更多裂缝以吸收更多能量,从而提高抗冲击性能。罗洪林等[11]将不同长径比的PPF掺入砂浆,研究发现纤维存在最佳长径比,弯曲型分布的纤维有利于增强与砂浆间的摩擦力。徐虎[12]研究发现在砂浆中掺入PPF可以提高砂浆的抗拉强度、抗裂性能和抗断裂能力,在高应力状态下提升锚杆的锚固效果和耐久性。胡金生等[13-14]对掺入PPF的砂浆进行SHPB试验,得出PPF可以改善砂浆的脆性破坏特征,并增强其韧性的结论。目前研究聚焦于纤维品种与掺量对砂浆的抗冲击性能影响[8,13-14],PPF在砂浆中会填充孔隙,挤压甚至堵塞毛细管,减少初凝阶段水分流失和泌水引起的微裂缝和塑性收缩,而水泥含量增加会导致压缩和破碎模量增加,不同水灰比和水泥含量不仅关系到喷射锚固砂浆的阻裂性、孔隙率、耐久性和强度,同时影响PPF的阻裂增韧效果和纵波传播路径。

因此,在前人研究基础上[15]进一步调控砂浆的配比,通过破碎特征和动态抗压强度、极限韧性等动态力学特性研究在冲击压缩作用下纤维增强喷射锚固砂浆的变形破坏规律,为矿井掘进和支护提供理论支撑。

1 SHPB单轴冲击试验方案

1.1 试件材料

胶凝材料:海螺牌P·O 42.5 普通硅酸盐水泥;细骨料:淮河河砂,颗粒级配属一区天然砂,含泥量、有害物质含量、坚固性和表观密度等参数符合GB/14684—2011要求,细度模数为2.56;拌合水取自淮南自来水,并添加聚羧酸高效液态减水剂(减水率20%)保证不同水灰比的新拌砂浆流动度相似;试验试件尺寸为ø50 mm×25 mm,为在砂浆中获得较好的分散性和摩擦力,试验选用9 mm 束状单丝聚丙烯纤维(PPF),物理参数见表1。

表1 聚丙烯纤维物理力学性能
Table 1 Physical and mechanical properties of PPF

密度/(g·cm-3)抗拉强度/MPa弹性模量/GPa直径/μm拉伸极限/%0.94864.825±515

1.2 试件制备

试件长径比取0.5[16],以减少摩擦效应和惯性效应的不利影响。设计考虑了水灰比和4种PPF体积掺量(0、1%、1.25%、1.5%)作为变量,按照表2配合比制作的砂浆装入ø50 mm×25 mm的模具中放在湿度≥95%、温度为(20±2) ℃的养护室中养护1 d后拆模,然后将试件继续在养护室中养护至28 d 取出,使用打磨机将试件两端打磨平整,端面平整度在0.05 mm以内。

表2 PPF增强砂浆配合比
Table 2 Mixing ratio of PPF reinforced mortars

水灰比材料填加量/(kg·m-3)水水泥砂减水剂0.32006671 3334.00.42486191 3331.80.52895781 3330

1.3 SHPB试验装置与实验方法

使用ø50 mm变截面SHPB试验系统对试块进行单轴冲击压缩试验[15],平衡检验如图1所示,基本达到应力平衡条件,符合SHPB的一维应力波假设。由图可知入射波上升沿的时间约为100 μs,可以满足应力波在试件轴向产生4次透射-反射过程,满足应力均匀性要求[17-18]。在0.25 MPa冲击气压下,试件轴向出现贯通裂纹,冲击气压达到0.45 MPa时试件可以完全破碎,确定循环冲击气压的大小为0.25、0.35、0.45 MPa,考察在平均应变率为80~180 s-1范围内动态抗压强度和极限韧性发展,分析各组试件从开始产生裂缝发生破坏到粉碎性破坏的过程,揭示PPF增强砂浆破碎和吸能特征。

图1 SHPB试验平衡检验
Fig.1 SHPB test of balance verify

2 实验结果与分析

2.1 PPF增强砂浆的典型破坏形态

不同冲击气压时试件的典型破坏形态如图2所示。随着冲击气压由0.25 MPa增大至0.45 MPa,试件的破碎程度越来越高,碎块块度平均粒径不断减小,低应变率作用时裂纹呈轴向劈裂破坏,而应变率较高时则是颗粒状粉碎破坏,表现出显著的应变率效应。试件在承受单轴冲击作用时,应力波经过入射杆在试件内部传播,微裂纹、孔隙等微缺陷被激活并发展,裂纹发展所需的能量低于裂纹形成所需的能量,当试件积聚更高的能量,裂纹扩展滞后于能量的积累,初始裂纹相互贯通,同时会产生更多的细小裂纹并参与到破坏过程中,使试件压碎、磨碎;在低应变率下,微裂纹沿着已有的薄弱缺陷开始沿着平行于压应力的方向发展,无需以破裂为更多碎块来消耗能量,表现为碎块的目数增大,破坏碎块尺度趋于变大。冲击载荷作用下,试件损伤和破坏在瞬间完成,单仁亮[19]认为冲击破坏总是有两种及以上破坏形态,主要分为压剪破坏、拉应力破坏、张应变破坏和卸载破坏;陈庆寿等[20]对软、中硬和坚硬3类岩石的动载试验研究,认为破坏模式分为产生裂隙、中等破坏和强烈破碎;赵光明等[21]以混凝土和岩石试件在不同冲击速度下SHPB试验为基础,结合数值模拟将试件破坏有张应力破坏、轴向劈裂拉伸破坏和压碎破坏模式。图2中试件破坏模式并不单一,而是以轴向劈裂拉伸破坏和压剪破坏为主,和岩石类材料不同,没有张应变破坏阶段。

图2 不同冲击气压下试件的典型破碎形态
Fig.2 Typical fractured morphology of specimen under different impact pressure

2.2 应力-应变曲线分析

PPF增强砂浆作用是通过摩擦力与水泥基体结合,不同掺量的纤维增强作用在水灰比研究范围内表现出相似的规律,为便于分析喷射砂浆的冲击破坏破裂特征,选取PPF体积掺量为1%时具有代表性结果。应力应变曲线如图3 所示,表3为PPF增强砂浆的性能参数,试件编号第1个数字表示水灰比,第2个数字表示PPF的体积掺量,第3个数字表示冲击气压。

图3 SHPB试验中的典型动态应力应变曲线
Fig.3 Typical dynamical stress-strain curves

图3a中,随着冲击气压的增大,各组PPF增强砂浆试件的动弹性模量和峰值应力均有提高,而且塑性有相应增强,峰值应力、极限韧性、极限应变均具有显著的应变率效应。由图3a,不同水灰比的PPF增强砂浆的峰值应力、极限应变均随着冲击气压的增大而有所提高。在高应变率冲击下,冲击荷载作用于试件的时间太短,不足以能量累积,而且裂纹扩展滞后于加载速度,导致应力提升,同时更多的裂纹产生导致试件变形增大。部分曲线出现短暂的下凹段是应力跌落现象[15]。各试件应力应变曲线均有相似的特征,为了便于分析PPF增强砂浆内部能量变化,将选取的部分大小形状相近的典型应力应变曲线(图3b)分为弹性阶段(Ⅰ)、裂隙扩张阶段(Ⅱ)、塑性变形阶段(Ⅲ)和破坏阶段(Ⅳ)进行表征。弹性阶段PPF增强砂浆的应力和应变成正相关,外力的能量不断转换为试件的弹性势能;达到弹性极限应力以后, 试件内部微破坏开始发展形成损伤,随后应力随应变增加而缓慢增长进入塑性变形阶段,此时曲线呈上凸特征,在这个阶段,外力的能量被内部结构的改变而耗散;达到屈服应力后,应力随着应变的微小增加而急剧下降,裂纹贯穿试件发生破坏。与刘娟红等[2,22]研究相比,缺少初始压密阶段,这是因为试件在初始阶段承载的应变率较高,内部微裂纹没有足够的反应时间闭合,直接进入弹性阶段(图3b)。

2.3 水灰比对PPF增强砂浆抗冲击性能的影响

由表3可以看出,PPF掺量相同时,极限韧性和峰值应力均随着水灰比增大呈增长趋势,水灰比为0.5的PPF增强砂浆表现出更佳的抗冲击性能。

表3 PPF增强砂浆的性能参数
Table 3 Performance parameters of PPF reinforced mortars

编号冲击速度/(m·s-1)应变率/s-1极限韧性/(J·cm-3)峰值应力/MPa极限应变0.3-1%-0.25 MPa4.70990.760.244 815.050.020 60.3-1%-0.35 MPa6.622146.930.351 318.830.02350.3-1%-0.45 MPa7.170176.010.478 925.770.025 10.4-1%-0.25 MPa4.60993.430.314 428.520.016 80.4-1%-0.35 MPa6.048126.200.538 330.880.024 30.4-1%-0.45 MPa7.241163.180.571831.220.028 50.5-1%-0.25 MPa5.049106.620.340 627.310.019 20.5-1%-0.35 MPa6.010142.110.661 831.460.028 70.5-1%-0.45 MPa7.465168.290.936 632.780.034 3

高水灰比的砂浆由自干燥而产生的孔隙率较高[23],有助于降低脉冲速度[24],使得其具有更佳的消波吸能机能。掺入适量的PPF后,PPF均匀分布形成乱向支撑与砂浆协同作用,能够缓和裂缝尖端应力集中程度,避免因冲击波阻断导致的局部应力集中现象[25],同时与砂浆间的弯曲摩擦黏结和握裹摩擦黏结起到加筋作用,使内部形成稳定的空间结构,在冲击动载的作用下表现出较好的变形协调性。

为进一步研究水灰比对PPF增强砂浆的抗冲击性能的影响,对3种不同水灰比的PPF增强砂浆极限韧性随应变率变化进行统计整合,如图4所示。

图4 试件极限韧性与水灰比关系
Fig.4 Relationship between ultimate toughness and water cement ratio of specimen

在研究范围内,3种不同水灰比试件的极限韧性与应变率呈现出较强的率相关性,并随着水灰比的增大而增大,低水灰比的PPF增强砂浆的极限韧性较弱,表明其抗冲击荷载效能较低。夏昌敬等[26]对不同孔隙率的岩石进行SHPB试验研究,得出在相同冲击速度下,孔隙率增加会增加反射能,岩石耗散能提高,破坏更加严重,能量耗散与孔隙率密切相关。与准静态加载相比[27],冲击载荷时,加载时间不能满足破坏沿着薄弱路径开展的速度需求[16],强度远大于PPF增强砂浆极限抗压强度的应力波在接触试件端面产生反射能,后应力波穿过试件在入射杆、试件、透射杆之间循环传播,打破试件内部应力平衡,缺陷和微裂纹被激活并得到扩展,同时吸收更多能量,产生大量新裂纹。而低水灰比的PPF增强砂浆具有更高的致密性,应变硬化表现不明显(图3a中水灰比为0.3的砂浆试件的应力应变曲线斜率较低,并伴随着较宽的屈服平台),在塑性变形阶段(Ⅲ)吸能能力较弱,损伤不断积累导致试件组构传递荷载能力降低,更容易发生破坏。

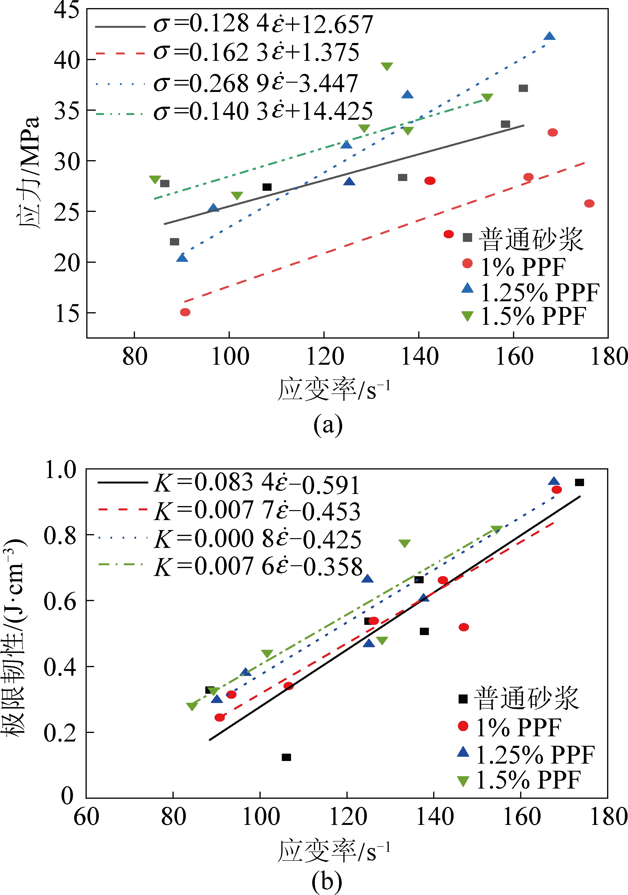
2.4 应变率与动态抗压强度、极限韧性的关系

由以上分析可知,PPF增强砂浆的动态抗压强度、极限韧性与应变率有密切关系,为进一步探求应变率对PPF增强砂浆的增韧效果,建立如图5所示的动态抗压强度、极限韧性与应变率关系。

图5 动态抗压强度、极限韧性与应变率关系
Fig.5 Relationship between dynamic compressive strength, ultimate toughness and strain rate

随着应变率的增加,各组试件的动态抗压强度和极限韧性均呈递增趋势,具有明显的应变率效应,且可近似线性表示。由图5a可发现,PPF增强砂浆的动态抗压强度随着纤维掺量的增加而增大,PPF体积掺量为1.25%时动态抗压强度增长趋势最快,且在高应变率载荷下动态抗压强度最高,说明PPF体积掺量在1.25%时其应变率敏感性强于其他掺量的试件。但是当PPF掺量为1%的砂浆组拟合曲线在普通砂浆组下方,即动态抗压强度有所降低。

由于砂浆体的各向异性,应力波经入射杆传入试件后,在材料的惯性作用下,受力状态已不是标准的一维应力,试件的侧向应变受到限制,使试件近似处于围压状态,而且应变率越高,限制作用越大,因此,动态抗压强度和极限韧性具有明显的应变率相关性。纤维通过握裹摩擦黏聚力和弯曲摩擦黏聚力在砂浆中起到桥接作用,改变裂纹传播路径,增加侧向约束,但PPF与砂浆的偶联会降低界面强度产生削弱减强作用,尤其在较低掺量时(1%),出现动态抗压强度和极限韧性低于普通砂浆的现象。当PPF掺量较低时(1.25%以下),在低应变率下纤维与水泥砂浆结合薄弱处会产生大量微裂纹,降低纤维增韧阻裂效果[8],导致动态抗压强度较低。PPF增强砂浆效果受纤维在砂浆中的黏结效果和纤维数量影响,随着PPF体积掺量增加,更多锚固在砂浆中的PPF会传递开裂应力,增强其与水泥砂浆的界面黏结,动态抗压强度和极限韧性均随之增加。但是,当PPF掺量过大时(1.5%或以上),纤维在砂浆中会因分散不均产生薄弱层,随着应变率的提高,其对砂浆开裂的约束作用逐渐减弱,表现为动态抗压强度降低。综合而言:适当体积掺量(1.25%)的PPF会明显改善水泥砂浆的抗冲击性能,可以起到更好的保护作用,适用于防护结构。

3 结 论

1)冲击压缩试验中,PPF增强砂浆试件破碎块度随应变率增大而减小,有明显的应变率效应,PPF有助于改善裂纹传播路径、延迟并抑制裂纹的形成和扩展,以轴向劈裂拉伸破坏和剪压破坏为主。

2)动态抗压强度和极限韧性均表现出随水灰比和平均应变率的增加而增长,呈线性相关性。

3)掺入PPF可以改善砂浆内部薄弱区,1.5%PPF掺量的试件动态抗压强度的应变率效应更强,且在高应变率作用下抵抗冲击荷载的效果最好。

参考文献(References):

[1] 王国法,赵国瑞,任怀伟.智慧煤矿与智能化开采关键核心技术分析[J].煤炭学报,2019,44(1):34-41.

WANG Guofa, ZHAO Guorui, REN Huaiwei. Analysis on key technologies of intelligent coal mine and intelligent mining[J]. Journal of China Coal Society, 2019,44(1):34-41.

[2] 刘娟红,周昱程,纪洪广.单轴加卸载作用下井壁混凝土能量演化机理[J].煤炭学报,2018,43(12):3364-3370.

LIU Juanhong, ZHOU Yucheng, JI Hongguang. Energy evolution mechanism of shaft wall concrete under uniaxial loading and unloading compression[J]. Journal of China Coal Society, 2018,43(12):3364-3370.

[3] 张平松,许时昂,郭立全,等. 采场围岩变形与破坏监测技术研究进展及展望[J]. 煤炭科学技术, 2020, 48(3):14-48.

ZHANG Pingsong,XU Shiang,GUO Liquan,et al. Review of research on deformation and failure testing technology of surrounding rock in mining face[J]. Coal Science and Technology, 2020, 48(3):14-48.

[4] 窦林名,阚吉亮,李许伟,等. 断顶爆破防治冲击矿压技术体系及效果评价研究[J]. 煤炭科学技术, 2020, 48(1):24-32.

DOU Linming, KAN Jiliang, LI Xuwei, QI Yanjun,et al. Study on prevention technology of rock burst by break-tip blasting and its effect estimation[J]. Coal Science and Technology, 2020, 48(1):24-32.

[5] 张科学,亢 磊,何满潮,等.矿井煤层冲击危险性多层次综合评价研究[J].煤炭科学技术,2020,48(8):82-89.

ZHANG Kexue, KANG Lei, HE Manchao,et al. Research on multi-level comprehensive evaluation of coal seam rockburst risk in underground mine[J]. Coal Science and Technology, 2020,48(8):82-89.

[6] 田迎斌,李学良. 采动区钢筋混凝土灌注桩受力特性分析及抗变形技术[J]. 煤炭科学技术, 2020, 48(10):173-178.

TIAN Yingbin, LI Xueliang. Analysis of mechanical characteristics and anti-deformation design of reinforced concrete cast-in-place pile in mining process[J].Coal Science and Technology, 2020, 48(10):173-178.

[7] LEUNG C K Y, LAI R, LEE A Y F. Properties of wet-mixed fiber reinforced shotcrete and fiber reinforced concrete with similar composition[J]. Cement and Concrete Research 2004, 35(4), 788-795.

[8] 田正宏,江桂林,苏伟豪,等.冲击荷载下纤维砂浆动态受压特性[J].振动与冲击,2018,37(1):90-97.

TIAN Zhenghong, JIANG Guilin, SU Weihao, et al. Dynamic compressive properties of fiber mortar subjected to impact load[J]. Journal of Vibration and Shock, 2018,37(1):90-97.

[9] 张广泰,张路杨,邢国华,等.聚丙烯纤维混凝土梁受剪承载力试验研究[J].湖南大学学报(自然科学版),2020,47(5):70-77.

ZHANG Guangtai, ZHANG Luyang, XING Guohua, et al. Experimental study on shear capacity of polypropylene fiber concrete beams[J]. Journal of Hunan University(Natural Sciences), 2020,47(5):70-77.

[10] 佟 钰,刘 阳,罗 超,等.聚丙烯纤维改性水泥土的力学性能研究[J].沈阳建筑大学学报(自然科学版),2020,36(3):507-513.

TONG Yu, LIU Yang, LUO Chao, et al. Mechanical properties of cement soil enhanced by polypropylene fiber[J]. Journal of Shenyang Jianzhu University(Natural Science), 2020,36(3):507-513.

[11] 罗洪林,杨鼎宜,周兴宇,等.不同长径比聚丙烯纤维增强混凝土的力学特性[J].复合材料学报,2019,36(8):1935-1948.

LUO Honglin, YANG Dingyi, ZHOU Xingyu, et al. Mechanical properties of polypropylene fiber reinforced concrete with different aspect ratios[J]. Acta Materiae Compositae Sinica, 2019,36(8):1935-1948.

[12] 许 虎. 纤维砂浆对预应力锚索锚固性能影响研究[D].重庆:重庆交通大学,2019.

XU Hu. Study on the influence of fiber mortar on the anchoring performance of prestressed anchor cable[D].Chongqing:Chongqing Jiaotong University, 2019.

[13] 蒋国平,浣 石,焦楚杰,等.基于SHPB试验的聚丙烯纤维增强混凝土动态力学性能研究[J].四川大学学报(工程科学版),2009,41(5):82-86.

JIANG Guoping, HUAN Shi, JIAO Chujie, et al. Dynamic performances of polypropylene fiber reinforced concrete Based on SHPB Experiment[J]. Journal of Sichuan University (Engineering Science Edition), 2009,41(5):82-86.

[14] 胡金生,周早生,唐德高,等.聚丙烯纤维增强混凝土分离式Hopkinson压杆压缩试验研究[J].土木工程学报,2004(6):12-15.

HU Jinsheng, ZHOU Zaosheng, TANG Degao, et al. Study of shpb compression experiment for polypropylene fiber reinforced concrete[J]. China Civil Engineering Journal, 2004(6):12-15.

[15] 沈文峰, 王 亮, 孙 蕾,等. 掺加聚丙烯纤维水泥砂浆在冲击荷载下的动态力学特性[J]. 塑料工业, 2020(S1):129-133.

SHEN Wenfeng, WANG Liang, SUN Lei, et al. Dynamicmechanical properties of cement mortar with polypropylene fiber under impact load[J]. China Plastics Industry, 2020(S1):129-133.

[16] 陶俊林,陈裕泽,田常津,等.SHPB系统圆柱形试件的惯性效应分析[J].固体力学学报,2005(1):107-110.

TAO Junlin, CHEN Yuze, TIAN Changjin, et al. Analysis of the inertial effect of the cylindrical specimen in shpb system[J]. Acta Mechanica Solida Sinica, 2005(1):107-110.

[17] YANG L M, SHIM V P W. An analysis of stress uniformity in slpit Hopkinson bar test specimens[J]. International Journal of Impact Engineering,2005,31(2), 129-150.

[18] 王礼立,王永刚.应力波在用SHPB研究材料动态本构特性中的重要作用[J].爆炸与冲击,2005(1):17-25.

WANG Lili, WANG Yonggang. The important role of stress waves in the study on dynamic constitutive behavior of materials by SHPB[J].Explosion and Shock Waves, 2005(1):17-25.

[19] 单仁亮. 岩石冲击破坏力学模型及其随机性的研究[D].北京:中国矿业大学(北京), 1997.

SHAN Ren-liang. Research on the mechnical model and random properties of rock failure under impact loading[D]. Beijing:China University of Mining and Technology(Beijing), 1997.

[20] 陈庆寿,吴煌荣.岩石在动载作用下的破坏与强度[J].地球科学,1987(2):208-216.

CHEN Qingshou, WU Huangrong. Strength and fractures of rocks under dynamic loading[J]. Earth Science, 1987(2):208-216.

[21] 赵光明,马文伟,孟祥瑞.动载作用下岩石类材料破坏模式及能量特性[J].岩土力学,2015,36(12):3598-3605,3624.

ZHAO Guangming, MA Wenwei, MENG Xiangrui. Damage modes and energy characteristics of rock-like materials under dynamic load[J]. Rock and Soil Mechanics, 2015,36(12):3598-3605,3624.

[22] 高 强,汪海波,吕 闹,等.不同冲击速度下硬煤的力学特性试验研究[J].中国安全生产科学技术,2019,15(1):69-74.

GAO Qiang, WANG Haibo, LYU Nao, et al. Experimental study on mechanical characteristics of hard coal under different impact velocities[J]. Journal of Safety Science and Technology, 2019,15(1):69-74.

[23] NEMATOLLAHZADE M, TAJADINI A, AFSHOON I, et al. Influence of different curing conditions and water to cement ratio on properties of self-compacting concretes[J]. Construction and Building Materials, 2020, 237,117570.

[24] RAHMANI E, SHARBATDAR M K, BEYGI M A. A comprehensive investigation into the effect of water to cement ratios and cement contents on the physical and mechanical properties of Roller Compacted Concrete Pavement (RCCP)[J]. Construction and Building Materials, 2020,253,119177.

[25] 陈相宇. 纤维混凝土抗冲击性能的试验研究[D]. 大连:大连理工大学,2010.

CHEN Xiangyu. Experimental research on impact resistance of fibre reinforced concrete[D].Dalian:Dalian University of Technology, 2010.

[26] 夏昌敬,谢和平,鞠 杨,等.冲击载荷下孔隙岩石能量耗散的实验研究[J].工程力学,2006,23(9):1-5.

XIA Changjing, XIE Heping, JU Yang, et al. Experimental study of energy dissipation of porous rock under impact loading[J]. Engineering Mechanics, 2006,23(9):1-5.

[27] 曹 可,王 亮,徐 颖,等.再生细骨料掺量对矿用支护砂浆动态力学性能的影响[J].煤炭科学技术,2021,49(11):112-117.

CAO Ke,WANGLiang,XU Ying,et al.Influence of recycled fine aggregate content on dynamic mechanical properties of mine supporting mortar[J].Coal Science and Technology,2021,49(11):112-117.

Study on mechanical properties of polypropylene fiber cementmortar under impact load

SHEN Wenfeng1, WANG Liang1,2, XU Ying1, SUN Lei1

(1.School of Civil Engineering and Architecture, Anhui University of Science and Technology, Huainan 232001, China; 2.Huaibei Mining Industry Co.,Ltd., Huaibei 235000, China)

Abstract:In order to study the support potential of sprayed mortar mixed with polypropylene fiber (PPF) on the soft rock roadway when the instantaneous failure occurs in the application of reinforcement of the mine, cement mortars with water-cement ratios of 0.3, 0.4, and 0.5 were prepared and mixed with PPF at volume fractions of 0, 1%, 1.25%, and 1.5%, respectively, and were cast into cylindrical specimens of ø50 mm×25 mm. A split Hopkinson pressure bar (SHPB) of ø50 mm was used to conduct shock compression tests on the above-mentioned specimens with three loading pressures of 0.25, 0.35, and 0.45 MPa, respectively. By comparing and analyzing the dynamic mechanical properties of mortar specimens with different water-cement ratios and different PPF volume contents under impact load, the effects of water-cement ratio and PPF volume contents on the impact load of jet mortar were studied respectively. The test results show that the failure characteristics of typical specimens has the strain rate effect and the fragmentation size decreases with the increase of strain rate. The dynamic stress-strain curve of PPF reinforced mortars can be divided into four stages of elastic deformation, crack expansion, plastic deformation and failure. In the stage and failure stage, with the increase of the strain rate, the plastic deformation stage is correspondingly strengthened; when the volume content of PPF is the same, the mortar specimen with higher porosity and high water-cement ratio is beneficial to absorb stress wave energy and show better impact resistance; when the volume content of PPF is 1.25%, the fibers evenly distributed in the mortar change the stress propagation path, relieve the phenomenon of stress concentration, and make the jet mortar have better deformation coordination ability through bridging and reinforcement. Moreover, the dynamic compressive strength and ultimate toughness of the PPF reinforced mortar with the current dosage are the highest, and it has a better ability to resist instantaneous load damage. The above test results have a certain reference value for regulating the mortar ratio and enhancing the ability to absorb waves and absorb energy.

Key words:strengthening mine;Split Hopkinson Pressure Bar(SHPB); water-cement ratio; crushing fracture; strain rate effect;impact load

中图分类号:TU528

文献标志码:A

文章编号:0253-2336(2022)08-0068-07

移动扫码阅读

沈文峰,王 亮,徐 颖,等.冲击荷载下聚丙烯纤维水泥砂浆力学特性研究[J].煤炭科学技术,2022,50(8):68-74.

SHEN Wenfeng, WANG Liang, XU Ying,et al.Study on mechanical properties of polypropylene fiber cement mortar under impact load[J].Coal Science and Technology,2022,50(8):68-74.

收稿日期:2021-12-02

责任编辑:朱恩光

DOI:10.13199/j.cnki.cst.2020-0946

基金项目:安徽省重点研究与开发计划资助项目(201904a07020081);安徽省自然科学基金资助项目(2008085QE244);安徽省高等学校自然科学研究资助项目(KJ2019A0129)

作者简介:沈文峰(1995—),男,江苏徐州人,硕士研究生。E-mail:wenjunsanlilu@163.com

通讯简介:王 亮(1991—),男,安徽淮北人,副教授,博士。E-mail:2018028@aust.edu.cn