湿式旋流抽尘净化器的除尘机理研究

胡 斐1,胡胜勇1,高 扬1,王和堂2,冯国瑞3,刘长河4,李继华4

(1.太原理工大学 安全与应急管理工程学院,山西 太原 030024;2.中国矿业大学 安全工程学院,江苏 徐州 221116;3.太原理工大学矿业工程学院,山西 太原 030024;4.山东新阳光环保设备股份有限公司,山东 邹城 273500)

摘 要:为解决现有湿式除尘器普遍存在的喷嘴易堵塞、滤网需频繁拆卸清洗、维护量大、设备尺寸过大导致安装空间有限等问题,自主研发了一种湿式旋流抽尘净化器,该设备主要由进水管、新型叶轮、锥形后盘、防水电机、旋流叶片、脱水筒组成,按功能分为进水布水、混合旋流和脱水排污3个单元。基于常见除尘器的3种叶轮特点,设计出一种有锥形后盘的新型叶轮。新型叶轮在防水电机带动下产生的高负压吸入含尘气流,同时将进水管出水吸至叶轮锥形后盘上形成水膜,实现第1次捕捉抽入粉尘;水流进入叶片间的动态文丘里通道后在机械作用下被充分破碎,在动态文丘里原理作用下完成第2次捕捉粉尘;经旋流叶片上形成的水膜实现第3次捕捉粉尘,并在离心力的作用下实现第1次脱水,以螺旋轨迹运移的含污气流经导流后通过脱水筒完成第2次脱水;第1次脱水与第2次脱水后汇聚到净化器内壁上的污水在风流与重力的双重作用下积聚到净化器内壁底部的排污槽处,从排污槽排出。通过三重粉尘捕捉与双重脱水作用,实现了高效抽尘、净尘、脱水的一体化。在山西某选煤厂精煤2次脱水与运输车间的现场应用结果表明,除尘前车间内全尘和呼尘浓度分别为87.7~118.7 mg/m3 和59.8~79.2 mg/m3,除尘后下降为2.9~3.2 mg/m3和2.0~2.2 mg/m3,全尘除尘效率达到96.3%以上。

关键词:粉尘;湿式除尘;旋流;风机;抽尘净化器

0 引 言

《国家职业病防治规划(2016—2020年)》明确提出:要加强高危粉尘等职业病危害源头治理[1]。以煤工尘肺为主的职业安全健康问题严重制约“健康中国”发展[2]。《煤矿安全生产“十三五”规划》提出:加速淘汰煤矿职业危害防治落后工艺、材料和设备,组织并研发预防控制典型职业病危害作业的关键技术与装备[3]。粉尘不仅污染作业场所环境而且严重威胁职工身心健康和企业的安全生产[4]。2019年全国共报告各类职业病新病例19 428例,其中职业性尘肺病15 898例[5],占各类职业病新病例比例为81.8%。全国每年因尘肺病造成的直接经济损失达80多亿元,间接损失更是难以计算[6],粉尘防治理论技术的发展仍有较大提升空间[7]。因此亟需加大除尘装备的设计研究工作,其中,湿式除尘器由于除尘效率较高,在我国得到广泛应用,是研究的重点之一。

国内外学者在湿式除尘技术研发方面开展了大量研究。陈虎等[8]研制了一种基于经纬振弦过滤栅捕尘技术采用旋流器加过滤板式气水分离装置的矿用湿式除尘风机。王文学[9]设计了一种自动控制的矿用湿式除尘风机系统,实现了风机风量的自动控制和水系统除尘器进排水量的自动控制。王海桥等[10]基于螺旋通道的离心力除尘和水膜捕尘机理,设计了一种矿用湿式多通道轴向离心除尘装置。李迁威等[11]研发了一种喷淋水浴除尘器,数值分析了不同进气结构下除尘器内部流场变化规律,实验研究了处理风量、水位高度和喷淋等因素对工作阻力、除尘效率和排放浓度的影响。宋智瀛等[12]基于碰撞-拦截-沉降模型,将喷嘴与蜂窝扰流滤芯相结合,提出了一种适用于井下综采工作面的新型湿式蜂窝滤芯除尘器。邓有凡等[13]研究了湿式除尘器滤网、脱水器对除尘效率的影响并对喷雾、过滤、脱水三个单元进行了优化。李小川等[14]研究了节流型自激式水幕除尘器液相调节作用下除尘器的阻力特性,为除尘器的整体设计提供了参考。陈景序等[15]提出了一种涡旋风幕与高压喷雾相结合的掘进断面气动涡旋雾化装置。李新宇等[16]研制出一种采用高速对旋滤筒的效率高、用水少的新型矿用湿式除尘器。李炎等[17]提出了一种中心流场湿式除尘器,通过在筒体内设置导流百叶窗来减轻内涡旋,降低了除尘器压力损失。LEE等[18]为解决湿式除尘器易堵塞与结垢的问题,研发了一种由旋流器和全冲击锥板式组成的新型旋流除尘器。ARYA等[19]提出了一种矿用涡锥湿式除尘器,以降低维护量。

在实际应用过程中,由于现场作业环境恶劣、安装空间有限、水质较差,传统湿式除尘器由于使用喷嘴雾化和滤网捕尘的方式,存在喷嘴易堵塞、滤网需频繁拆卸清洗等问题,增加了设备安装、维护量,加大了工人作业强度,降低了企业的使用意愿。

因此,亟需研制一种尺寸小、无喷嘴、无滤网、免维护的新型湿式除尘器。笔者提出了一种利用叶轮雾化代替喷嘴,通过旋流离心脱水的湿式旋流抽尘净化器,以改善现场作业条件,降低工人作业强度,有效助力企业安全生产。

1 新型湿式除尘器设计思路

新型湿式除尘器设计需满足以下条件:不使用喷嘴和滤网、对除尘用水无水质和水压要求,避免喷嘴堵塞和频繁拆卸清洗滤网,降低维护量;减小尺寸,实现抽尘、净尘、脱水三效合一。基本设计思路如下:

①采用普通水管替代喷嘴作为进水口,避免水中杂质堵塞;②采用高速旋转的锥形后盘,使进水管出水形成捕尘水膜;③设计出一种新型叶轮,形成螺旋气流,增加粉尘与水雾接触路径,既能有效抽尘,又能实现对水流的充分破碎雾化;④设置旋流叶片,实现导流和离心脱水的作用;⑤在旋流叶片后设置脱水筒,实现进一步脱水;⑥设置排污槽排出污水,同时利用部分风流冲洗排污槽,避免因污泥淤积堵塞排污槽。

2 湿式旋流除尘器设计

图1为湿式旋流抽尘净化器结构图,它主要由进水管、新型叶轮、锥形后盘、防水电机、旋流叶片、脱水筒组成。净化器长2 100 mm,直径980 mm,其进风口、出风口直径为640 mm,使用直径为800 mm的新型叶轮,防水电机采用YBF3-225S-4的隔爆型三相异步电动机,额定电压、功率和处理风量分别为660/1 140 V,37 kW,530~550 m3/min。

图1 湿式旋流抽尘净化器结构
Fig.1 Structure diagram of wet cyclone scrubber

湿式旋流抽尘净化器原理如图2所示,净化器按照功能分为进水布水单元、混合旋流单元、脱水排污单元。其工作原理是新型叶轮在防水电机带动下产生的高负压吸入含尘气流,同时将进水管出水吸至叶轮前端锥形后盘上形成水膜,一次捕捉吸入粉尘,水流进入叶片间的动态文丘里通道后在机械作用下被充分破碎、雾化成为细微小液滴颗粒,在动态文丘里原理的高速撞击作用下与粉尘颗粒相结合,进行2次粉尘捕捉。通过叶轮产生高负压,将风流直线路径改为绕净化器内壁螺旋轨迹运移的曲线路径,增加粉尘颗粒与液滴颗粒的结合路程与时间,提高捕尘效率,经旋流叶片并在叶片上形成水膜,实现3次粉尘捕捉与一次脱水。以螺旋轨迹运移的含污气流经过脱水筒后,含尘雾滴与气流分离,实现脱水净化后从出风口排出。从脱水筒分离的含尘雾滴汇聚后从排污槽排走。含尘风流进入净化器后,通过三重粉尘捕捉,双重脱水作用,实现了高效除尘和充分脱水。

图2 湿式旋流抽尘净化器原理
Fig.2 Principle diagram of wet cyclone scrubber

2.1 新型叶轮设计

叶轮是除尘器最关键的部件,除尘器的种类不同,叶轮的结构也不尽相同。常见除尘器叶轮有3种,按照流面形状流体机械可以划分为流面与转轴近似成同心的圆柱面的轴流式,近似成垂直面的径流式,以及近似成锥面的混流式。轴流式叶轮产生的风流沿轴向运动,具有大流量系数和高效率的特点;而径流式叶轮产生的风流在离心力的作用下沿径向运动,具有高压强系数和大工况范围的特点。混流式叶轮产生的风流运动方向介于轴向与径向之间,比转数和压头介于轴流式与径流式之间,兼具两者的优点[20]

结合径流式与混流式的优点,设计出了一种新型叶轮。图3为新型叶轮结构图,叶轮叶片的旋转面是一个圆柱面,与叶轮组成一个圆柱体,此圆柱体的轴心与转动轴的轴心重合,气流沿径向进入叶片,沿倾斜于轴线45°角的方向排出。既不同于风流沿径向流出的径流式叶轮,也不同于叶片的旋转面为平面且与转动轴垂直、气流沿轴向进入叶片的混流式叶轮。

图3 新型叶轮结构
Fig.3 Structure of new impeller

由气体动力学可知,对于牛顿流体,无黏流动可压缩微分形式的连续方程和动量方程可写为

(1)

(2)

式中:ρ为气体密度,kg/m3;▽为哈密顿算子;V为绝对速度,m/s;p为压力,Pa;g为重力加速度,m/s2ui为气体在x,yz方向上的速度,m/s;xix,yz方向的坐标,m。

叶轮机械中最方便使用的坐标系是旋转相对坐标系。绝对速度V和相对速度W之间的关系有

V=W+ω×r

(3)

(4)

式中:V为绝对速度,m/s;W为相对速度,m/s;r为矢径,m。a为绝对加速度,m/s2ω为角速度,rad/s;下标A和R分别代表绝对坐标系和相对坐标系。

将式(3)、式(4)代入式(1)、式(2),可以推导出相对坐标系下连续方程和动量方程为

(5)

(6)

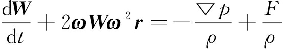
式中:F为体力,N;2ω×W为科里奥利力,N;ω×ω×r为系统旋转产生的离心力,N。

故对于无黏不可压流动,运动方程可以写为

(7)

从上式可以看出,科里奥利力-2ωW方向在垂直于ωW的平面上,因此科里奥利力使垂直于ω平面上的W速度分量的方向发生改变[21],在新型叶轮中科里奥利力方向介于径向与轴向之间方向。因此对新型叶轮而言,科里奥利力对流场分布有较大影响。

对于无黏流动,可压缩流体的动量矩方程为

(8)

(9)

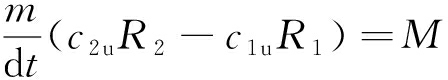
式中:m为流入或流出叶轮的流体质量,kg;M为作用在叶轮内流体上的外力矩,N·m;c1uc2u分别为流体在叶轮进口和出口处的切向分速度,m/s;R1R2分别为叶轮进口和出口处的半径,m。

单位时间内通过叶轮的流体质量为

(10)

式中:Qt为叶轮的理论体积流量,m3/s;γ为流体容重,N/m3

将式(10)代入式(9)可得

(11)

假设叶轮上的轴功率全部传给流体,则理论功率为

Nt=γQtHt=

(12)

又有

(13)

将式(12)、式(13)代入式(11)可得

(14)

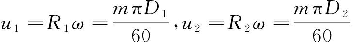
式中:Ht为风机理论压力,Pa;n为转速,r/s;D1D2分别为叶轮进口、出口处直径,m。

叶轮的后盘设计成锥形,除辅助形成水膜外,其结构作用有:①可使叶轮重心接近电机转子中心,这样可改善电机两轴承的受力状况;②可减少锥形后盘的厚度,结构强度增加,可以减轻叶轮重量;③离心式叶轮使气流由轴向流动经过减速旋转,变为径向运动,由于这一变化,造成耗能较大,而后盘为锥形的叶轮气流方向沿轴向及径向有所偏斜,所以耗能较小;④由于气流经过叶片时是一种合成运动,因此气流离开叶轮不是水平的径向运动,而是沿叶轮后盘45°角方向的螺旋运动。

2.2 进水布水单元

进水布水单元是设备最前端的结构,图4为锥形后盘工作原理图,水流通过进水管在锥形后盘上形成一层水膜,进行第1次粉尘捕捉。进水管出口就是简单的管状出口,不用安装任何喷嘴或其他辅助结构,因此对进水水压、水质均无要求,从根本上避免了湿式除尘器喷嘴堵塞的问题。水流从进水管排出后在高负压的作用下均匀的在锥形后盘上铺满,形成面积极大的水膜。随风流沿轴向进入净化器的一部分粉尘撞击在水膜上,完成第1次粉尘捕捉。此时,进水管出水流量的增加,对设备除尘净化效率有一定正向作用。然而,一旦设备内部的水膜生成以后,随着出水流量的继续增加,其除尘效率并没有提升反而下降,这是由于设备内部的新型叶轮以及负压空气对水膜的破碎速率并没有增加。同时,入水流量过大会超出脱水筒的容量,造成出口处的尾气带水,这些水滴中会夹带有许多被水滴捕集的粉尘颗粒,造成2次污染。出水流量为1.35 m3/h时除尘效果最佳。

图4 锥形后盘工作原理
Fig.4 Working principle of conical back plate

2.3 混合旋流单元

叶轮每两个叶片之间的空间可看作一个文丘里管,随着叶轮转动,形成动态文丘里通道。动态文丘里原理如图5所示,在叶轮产生的高负压和离心力作用下,含尘气流和锥形后盘上水流进入叶片间的动态文丘里通道,水流被充分破碎,雾化成微小的液滴颗粒,并在动态文丘里原理的作用下被加速,实现水与含尘气流的充分混合。加速运动的液滴颗粒与未被捕捉的粉尘碰撞结合,完成第2次粉尘捕捉。

图5 动态文丘里原理
Fig.5 Schematic diagram of dynamic Venturi

图6为旋流叶片工作原理图,旋流叶片具有导流、捕尘和脱水的三重作用。通过新型叶轮产生的高负压,将风流直线路径改为绕净化器内壁螺旋轨迹运移的曲线路径,增加粉尘颗粒与液滴颗粒的结合路程与时间,提高捕尘效率。经旋流叶片的导流作用,让风流继续保持螺旋轨迹运移。同时含尘液滴在风流的裹挟下,在旋流叶片上再次形成一层水膜,进行第3次粉尘捕捉。水膜在离心力的作用下汇聚到净化器内壁上,完成第1次脱水。

图6 旋流叶片工作原理
Fig.6 Working principle of cyclone vane

2.4 脱水排污单元

图7为脱水筒结构及原理图,通过旋流叶片的导流作用,未完全脱水的含污气流继续沿螺旋轨迹运移,经过脱水筒时,气流中的含尘雾滴在脱水筒内壁汇聚后经脱水槽甩至净化器内壁,使气流与含尘雾滴的分离,实现第2次脱水。经过2次脱水后的净化风流从出风口排出。

图7 脱水筒结构及原理
Fig.7 Structure and schematic diagram of dehydration

图8为排污槽结构及原理图,如图8所示,第1次脱水与第2次脱水后汇聚到净化器内壁上的污水在风流与重力的双重作用下积聚到净化器内壁底部的排污槽处,从排污槽排出。由于排污槽与外界相通,可利用部分风流冲洗排污槽,排污槽中的污水在这部分风流的作用下不断冲刷槽底污泥,能有效避免污泥沉淀堵塞排污槽。排污槽的污水最后从排污口排走。

图8 排污槽结构及原理
Fig.8 Structure and principle diagram of sewage trough

3 现场应用

湿式旋流抽尘净化器在山西某选煤厂的精煤2次脱水与运输车间进行现场应用。图9为现场应用示意,4台离心脱水机配备一台带式输送机,带式输送机安装在离心脱水机下方出口处,并将皮带使用钢板进行半封闭式处理。将湿式旋流抽尘净化器放置在皮带运输机后方的一侧,连接主管道,主管道分出四根支管道连接吸尘罩,并在支管道与吸尘罩连接处设置4个测点。现场应用结果表明,除尘前车间内全尘和呼尘浓度分别为87.7~118.7 mg/m3和59.8~79.2 mg/m3,除尘后下降为2.9~3.2 mg/m3和2.0~2.2 mg/m3,除尘效率达到96.3%以上。

图9 现场应用实物
Fig.9 Physical drawing of field application

4 结 论

1)针对湿式除尘器普遍存在喷嘴易堵塞、滤网需频繁拆卸清洗、维护量大、设备尺寸过大导致安装空间有限等问题,自主研发了一种湿式旋流抽尘净化器,该设备主要由进水管、新型叶轮、锥形后盘、防水电机、旋流叶片、脱水筒组成,按功能分为进水布水、混合旋流和脱水排污3个单元。

2)湿式旋流抽尘净化器的工作原理为新型叶轮在防水电机带动下产生的高负压吸入含尘气流,同时将进水管出水吸至叶轮前端锥形后盘上形成水膜,一次捕捉抽入粉尘;水流进入叶片间的动态文丘里通道后在机械作用下被充分破碎,在动态文丘里原理作用下2次捕捉粉尘,经旋流叶片水膜实现3次捕捉粉尘与一次脱水,以螺旋轨迹运移的含污气流经导流后通过脱水筒完成2次脱水。通过三重粉尘捕捉与双重脱水作用,实现了高效抽尘、净尘、脱水的一体化。

3)在山西某选煤厂精煤2次脱水与运输车间的现场应用结果表明,除尘前车间内全尘和呼尘浓度分别为87.7~118.7 mg/m3和59.8~79.2 mg/m3,除尘后下降为2.9~3.2 mg/m3和2.0~2.2 mg/m3,除尘效率达到96.3%以上。

4)本研究成果为工矿企业在生产作业过程中的粉尘治理问题提供了解决方法,为改善现场作业条件、降低工人作业强度、助力企业安全生产提供新思路,保障了工人的安全健康和企业的可持续发展。

参考文献(References):

[1] 中华人民共和国中央人民政府. 国务院办公厅印发《国家职业病防治规划( 2016-2020年)》[EB/OL]. http:/ /www. gov. cn/xinwen/2017-01/04/content_5156463. htm,2019-12-20.

[2] 袁 亮. 煤矿粉尘防控与职业安全健康科学构想[J]. 煤炭学报,2020,45(1):1-7.

YUAN Liang. Scientific conception of coal mine dust control and occupational safety[J]. Journal of China Coal Society,2020,45(1):1-7.

[3] 国家安全监管总局. 国家煤矿安监局关于印发《煤矿安全生产“十三五”规划》的通知[EB/OL]. https://www. mem. gov. cn/gk/gwgg/agwzlfl/tz_01/201706/t20170612_235201. shtml,2017-06-12.

[4] 李德文,隋金君,刘国庆,等. 中国煤矿粉尘危害防治技术现状及发展方向[J]. 矿业安全与环保,2019,46(6):1-7.

LI Dewen,SUI Jinjun,LIU Guoging,et al. Technical status and development direction of coal mine dust hazard prevention and control technology in China[J]. Mining Safety & Environmental Protection,2019,46(6):1-7.

[5] 中华人民共和国国家卫生健康委员会,2019年我国卫生健康事业发展统计公报[EB/OL]. http://www. nhc. gov. cn/guihuaxxs/s10748/202006/ebeb31f24cc145b198dd730603ec4442.

shtml,2020-06-06.

[6] 张丹丹,刘贝贝.我国矿山职业病的统计与展望分析[J]. 能源与环保,2017,39(9):173-178.

ZHANG Dandan,LIU Beibei. Statistics and prospect of occupational diseases of mine in China[J]. China Energy and Environmental Protection,2017,39(9):173-178.

[7] 程卫民,周 刚,陈连军,等. 我国煤矿粉尘防治理论与技术20年研究进展及展望[J]. 煤炭科学技术,2020,48(2):1-20.

CHEN Weimin,ZHOU Gang,CHEN Lianjun,et al. Research progress and prospect of dust control theory and technology in China’s coal mines in the past 20 years[J]. Coal Science and Technology,2020,48(2):1-20.

[8] 陈 虎,李先保. 矿用湿式除尘风机的研制[J]. 机电工程技术,2015,44(12):50-52.

CHEN Hu,LI Xianbao. The development of the mine wet dust-removal fan[J]. Mechanical & Electrical Engineering Technology,2015,44(12):50-52.

[9] 王文学.一种矿用湿式除尘风机的系统设计[J].价值工程,2014,33(10):50-51.

WANG Wenxue. System design of a wet type dust removal fan for mine[J]. Value Engineering,2014,33(10):50-51.

[10] 王海桥,陈世强,李轶群,等. 矿用湿式多通道轴向离心除尘装置及其优化[J]. 中国安全生产科学技术,2014,10(5):134-141.

WANG Haiqiao,CHEN Shiqiang,LI Yiqun,et al. Design and optimization on a wetted axial multi-channel centrifugal dedusting device[J]. Journal of Safety Science and Technology,2014,10(5):134-141.

[11] 李迁威,陈旺生,李 泽,等. 喷淋水浴除尘器结构优化及性能分析[J]. 煤矿安全,2017,48(10):118-121.

LI Qianwei,CHEN Wangsheng,LI Ze,et al. Structure improvement and performance analysis of spray and immersion dust collector[J]. Safety in Coal Mines,2017,48(10):118-121.

[12] 宋智瀛,李飞航,马 飞,等. 新型矿用湿式除尘器的研究与动态模拟[J]. 中国煤炭,2015,41(10):83-86.

SONG Zhiying,LI Feihang,MA Fei,et al. Study and dynamic simulation on a new type of mine wet scrubber[J]. China Coal,2015,41(10):83-86.

[13] 邓有凡,王伟黎,巫 亮,等. 湿式除尘器优化设计研究[J]. 矿业安全与环保,2016,43(6):25-28.

DENG youfan,WAGN weili,WU liang,et al. Research on optimization design of wet dust collector[J]. Mining Safety & Environmental Protection,2016,43(6):25-28.

[14] 李小川,胡亚非,张 巍,等. 基于液相调节的除尘器阻力特性[J]. 煤炭学报,2013,38(2):336-341.

LI xiaochuan,HU yafei,ZHANG wei,et al. Resistance characteristics of dust separator based on liquid phase adjustment[J]. Journal of China Coal Society,2013,38(2):336-341.

[15] 陈景序,荆德吉,葛少成. 气动涡旋雾幕性能影响因素试验及优化研究[J]. 中国安全科学学报,2019,29(7):123-128.

CHEN Jingxu,JING Deji,GE Shaocheng. Experimental study on factors influencing performance of pneumatic vortex spray curtain and its optimization[J]. China Safety Science Journal,2019,29(7):123-128.

[16] 李新宇,张贺军,张德朝. 新型矿用湿式除尘器的研制及实验研究[J]. 山东煤炭科技,2014,32(9):79-81.

LI Xinyu,ZHANG Hejun,ZHANG Dechao. Development and experimental research of new mining wet dust collector[J]. Shandong Coal Science and Technology,2014,32(9):79-81.

[17] 李 炎,蔡觉先,周鸣镝. 中心流场湿式除尘器的试验研究[J]. 环境工程,2003,31(3):42-44.

LI Yan,CAI Juexian,ZHOU Mingduo. Experimental research on central field wet dust collector[J]. Environmental engineering,2003,31(3):42-44.

[18] LEE B K,JUNG K R,PARK S H. Development and application of a novel swirl cyclone scrubber-(1) Experimental[J]. Journal of Aerosol Science,2008,39(12):1079-1088.

[19] ARYA S,NOVAK T. Numerical Investigation of the Effect of a Novel Wet Scrubber on Dust Reduction in an Underground Coal Mine[J]. Mining,Metallurgy & Exploration,2019(37):129-139.

[20] 仲志刚,赵 军,赛庆毅,等. 斜流式通风机的研究现状与发展趋势[J]. 机械研究与应用,2010,23(5):5-7.

ZHONG Zhigang,ZHAO Jun,SAI Qingyi,et al. Research on the development of the diagonal-flow fan[J]. Mechanical Research & Application,2010,23(5):5-7.

[21] 杨 策,施 新. 径流式叶轮机械理论及设计[M]. 北京:国防工业出版社,2004:37-44.

YANG Ce,SHI Xin. Theory and design of radial Turbomachinery[M]. Beijing:National Defend Industry Press,2004:37-44

Study on dust removal mechanism of wet cyclone scrubber

HU Fei1,HU Shengyong1,GAO Yang1,WANG Hetang2,FENG Guorui3,LIU Changhe4,LI Jihua4

(1.College of Safety and Emergency Management Engineering,Taiyuan University of Technology,Taiyuan 030024,China;2.School of SafetyEngineering,China University of Mining and Technology,Xuzhou 221116,China;3.College of Mining Engineering,Taiyuan University of Technology,Taiyuan 030024,China;4.Shandong New Sunshine Environmental Protection Equipment Co.Ltd.,Zoucheng 273500,China)

Abstract:In order to solve the common problems of existing wet scrubber such as easy clogging of nozzles, frequent disassembly and cleaning of filters, large amount of maintenance and limited installation space due to large equipment size, a wet cyclone scrubber was independently developed. The equipment mainly consists of water inlet pipe, new impeller, conical back plate, waterproof motor, cyclone vane and dehydrating cylinder. According to the function, it can be divided into three units: inlet water distribution, mixing swirling flow and dewatering blowdown. Based on the characteristics of three kinds of impellers of common dust collectors, a new type of impeller with conical back plate was designed. The high negative pressure generated by the new impeller driven by the waterproof motor inhales the dusty air flow, and at the same time sucks the water from the water inlet pipe to the conical back plate at the front end of the impeller to form a water film, which catches and draws in the dust at one time; after entering the dynamic Venturi channel, it is fully broken under the mechanical action, catches the dust at the second time under the dynamic Venturi principle; the third time is captured by the water film formed on the swirling blades, the secondary dehydration is completed through the dehydrating cylinder after the sewage gas transported by the spiral track flows through the diversion. The sewage that converges on the inner wall of the purifier after the first dehydration and the second dehydration has the dual effect of wind flow and gravity. It accumulates to the sewage tank at the bottom of the inner wall of the purifier and is discharged from the sewage tank. Through triple dust capture and double dehydration, the integration of high efficiency dust extraction, dust purification and dehydration is realized. The results of field application in the secondary dehydration and transportation workshop of clean coal of a coal preparation plant in Shanxi Province show that the concentration of total dust and respirable dust in the workshop before dedusting are 87.7-118.7 mg/m3 and 59.8-79.2 mg/m3 respectively, and the dust concentration after dedusting is reduced to 2.9-3.2 mg/m3 and 2.0-2.2 mg/m3, and the dedusting efficiency is over 96.3%.

Key words:dust; wet dustremoval; cyclone; fan;scrubber

中图分类号:TD714

文献标志码:A

文章编号:0253-2336(2022)08-0118-07

移动扫码阅读

胡 斐,胡胜勇,高 扬,等.湿式旋流抽尘净化器的除尘机理研究[J].煤炭科学技术,2022,50(8):118-124.

HU Fei,HU Shengyong,GAO Yang,et al.Study on dust removal mechanism of wet cyclone scrubber[J].Coal Science and Technology,2022,50(8):118-124.

收稿日期:2021-10-02

责任编辑:常 琛

DOI:10.13199/j.cnki.cst.2020-1486

基金项目:国家自然科学基金资助项目(51874290);山西省高等学校科技成果转化培育资助项目(2020CG008)

作者简介:胡 斐(1997—),男,湖北广水人,硕士研究生。E-mail:562329147@qq.com

通信作者:胡胜勇(1984—),男,湖北随州人,副教授,博士生导师。E-mail:hsyztx@163.com