支撑裂缝煤粉动态运移沉积可视化模拟试验研究

李小刚1,陈 浩1,熊俊雅1,李 宇2,胡 洋3,刘建升4

(1.西南石油大学 油气藏地质及开发工程国家重点实验室,四川 成都 610500;2.中海油能源发展股份有限公司工程技术分公司,天津 600452; 3.中国石油川庆钻探工程有限公司井下作业分公司,四川 成都 610051;4.中国石油长庆油田分公司第三采油厂,宁夏 银川 750006)

摘 要:针对支撑裂缝中煤粉动态运移沉积过程及沉积堵塞后煤粉分布特征不明的问题,应用自主研制的煤粉动态运移沉积可视化模拟装置开展煤粉动态运移沉积模拟试验。基于试验特征图像抽提和图像像素点灰度等级识别,建立关于可视化裂缝平板长度和高度的灰度矩阵并对特征图像进行二值化处理;在二值化处理图像上划分网格,用每个网格中灰度等级为0的像素点数量(煤粉量)与网格中总像素点的比值Rc来表征煤粉沉积对支撑裂缝流动通道的影响。对比分析了不同排量、不同排驱时间煤粉在支撑裂缝不同位置处的运移、沉积、堵塞特征。试验结果表明:煤粉运移沉积主要在堆积孔隙相互连通形成的流动通道中进行,由于受重力影响,较多的煤粉沉积在支撑裂缝下缘;煤粉运移进入支撑裂缝后,将经历孔隙表面吸附、架桥堵塞孔隙吼道、滤饼堵塞流动通道3个阶段;煤粉从聚集区往裂缝出口方向运移并沿运移路径不断沉积,若不堵塞流动通道则会达到运移沉积平衡状态;煤粉沉积未造成流动通道堵塞时主要呈现出“指状沉积特征”,造成流动通道堵塞时主要呈现出“块状沉积特征”;随试验排量的增加“指状沉积特征”向“块状沉积特征”蜕化;当煤粉浓度一定且有外来煤粉持续补充时,随着排量的增加煤粉造成流动通道堵塞的几率增加且堵塞的时间提前;在排液量较大的排采初期,需要适当的控制排量减小煤粉沉积堵塞对流动通道的伤害。

关键词:支撑裂缝;可视化模拟;煤粉运移;煤粉沉积;煤层增透

0 引 言

煤层气是我国非常规天然气重要的组成部分之一[1-2]。由于煤岩具有低强度、低弹性模量、高泊松比的特性[3],受地质构造作用和储层改造措施影响容易产生大量煤粉[4-5]。排水采气是开采煤层气的重要措施,其原理是通过排出煤层中的水来降低储层压力,促进煤层气的解吸[6]。排水采气过程中煤粉易随地层水由聚集区运移至支撑裂缝。由于煤粉具有比重小、疏水性强的特点,随地层水运移的过程中容易成团聚集,在孔隙和吼道中产生沉积,堵塞流动通道损害支撑裂缝的渗透率[7-11],从而降低煤层气井产量。

目前,煤粉运移沉积的室内试验装置主要包含API导流仪、岩心驱替装置、透明软管模型等。运用API导流仪的试验研究方法主要是将一定目数的支撑剂与煤粉混合铺置或分段铺置在导流室中,通过导流室出口端排出煤粉的质量来表征煤粉的运移沉积,采用煤粉对导流能力的损害来评价煤粉对支撑裂缝的伤害,再现了煤粉在支撑剂充填层中静止-运移-沉积的过程[12-15],但是不能直观的观测到导流室“黑箱”中煤粉在运移沉积后的重分布情况。运用岩心驱替装置的试验研究方法主要是将煤岩岩心进行人工剖缝,通过含煤粉颗粒的煤层水注入前后渗透率的变化表征煤粉运移沉积对支撑裂缝渗透率的损害,研究煤粉沉积对支撑裂缝渗透率的影响[16-17],该装置很难实现支撑剂充填状态下的煤粉运移沉积模拟。采用透明软管模型进行多相流条件下的煤粉运移试验可实现煤粉颗粒从启动到运移的动态过程可视化模拟[18-19],但是装置的流场与支撑裂缝内的流场不一致,煤粉运移沉积规律也有所不同。基于导流仪和岩心驱替装置等仪器进行的煤粉运移沉积模拟试验可以得出煤粉运移的临界流速条件、煤粉产出量与流速的关系等规律,但无法解释煤粉运移沉积的过程及支撑裂缝中煤粉运移沉积后的分布特征。

为了更好的揭示支撑裂缝中煤粉动态运移沉积过程及分布特征和模拟支撑裂缝中流场,在前人研究的基础上采用自主研发的煤粉动态运移沉积可视化模拟装置,开展煤粉运移沉积试验。研究不同排量、不同排驱时间煤粉在支撑裂缝不同位置处的运移、沉积、堵塞特征。

1 试验装置及表征方法

1.1 试验装置

试验装置采用自主设计的煤粉动态运移沉积可视化模拟装置(图1),该装置可灵活改变注入端和流出端的位置,实现不同粒径、不同比例、不同压力下的携煤粉液注入和支撑裂缝中煤粉运移沉积过程的可视化模拟。其主要部件包括平流泵、搅拌器、可视化裂缝平板、夹持器、收集器等。为便于观测试验现象,采用超白玻璃板模拟裂缝壁面。平流泵中泵出的模拟地层水进入到搅拌器后,在搅拌器叶片旋转作用下与煤粉形成均匀携煤粉液从出口端流出,进入到预先铺置有支撑剂的可视化裂缝平板,模拟煤层气井排采过程中煤粉随地层水运移进入支撑裂缝中产生沉积堵塞的过程。

图1 煤粉动态运移沉积可视化模拟装置
Fig.1 Visual simulation device for dynamic coal powder migration and deposition

图2 可视化裂缝平板
Figure.2 Visualized tablet

1.2 试验方法

具体试验方法如下:

①按照煤粉液浓度设计预先配置煤粉液体系;②将配置好的煤粉液倒入煤粉搅拌装置中,开启搅拌器持续搅拌,使煤粉充分分散于液体中;③将支撑剂均匀铺置在可视化裂缝平板中并用夹持器固定可视化裂缝平板;④依次连接平流泵、搅拌器、可视化裂缝平板、收集器;⑤设置泵送参数,检查装置密封性并排空后开始试验;⑥试验开始后,用高速摄像机记录不同时间的煤粉运移沉积现象;⑦试验结束后,抽提不同时刻的试验特征现象进行图像处理和数据分析。

1.3 表征方法

煤粉运移沉积是一个相互联系的动态过程。煤粉随地层水运移从聚集区进入相邻支撑裂缝后,一部分煤粉因流速降低或被微孔隙俘获产生沉积;另一部分随液流继续往井筒方向运移[20-21]。煤粉沉积是煤粉运移停止后的现象,沉积造成的直接影响是堵塞流动通道,因此可以通过煤粉沉积量反映煤粉的运移沉积特征。通过试验特征图像抽提和像素点灰度等级识别建立了关于可视化裂缝平板长度和高度的灰度矩阵。将灰度等级大于等于51的像素点灰度等级替换为255(白色,即表示支撑剂和未被煤粉充填的孔隙);将灰度等级小于51的像素点灰度等级替换为0(黑色,即表示沉积的煤粉)得到二值化处理后的图像(图3)。

图3 试验特征图像二值化处理示意
Fig.3 Schematic diagrram of experimental feature image and binarization processing

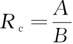
在二值化处理图像的基础上,沿可视化裂缝平板长度方向划分网格。单个网格长度为20个像素点,总计221个网格。用每一个网格中灰度等级为0的像素点总数量(煤粉量)与网格中总像素点数量的比值建立煤粉占比参数Rc来表征煤粉沉积量(煤粉占比为二值化抽象处理后的一个像素比值,是一个做近似研究的研究对象):

(1)

式中:Rc为网格中煤粉占比参数;A为网格中像素值为0的像素点数量;B为单个网格长度范围内总像素点数量。

抽提不同网格中的煤粉占比参数建立参数曲线。随排驱时间增加,某一位置处煤粉占比参数曲线逐渐重合而其余位置曲线差距越来越大则表明该处煤粉沉积达到平衡;所有网格中煤粉占比参数曲线重合则表明煤粉沉积堵塞流动通道,迫使携煤粉液停止流动。对比分析不同试验排量、不同排驱时间、模拟裂缝不同位置处的煤粉沉积占比参数曲线可以反映出不同试验条件下煤粉运移和沉积特征。

图4 不同排驱时间煤粉占比参数曲线示意
Fig.4 Coal powder proportion parameter curves at different time

2 运移沉积试验结果及分析

为了探究支撑裂缝中不同排量、不同排驱时间、不同位置处煤粉运移,沉积及堵塞特征,试验设计3种不同试验排量下、四种不同排驱时间总计12组试验。试验材料主要包含石英砂和煤粉。石英砂选择煤层气压裂现场常用的16~20目(0.85~1.18 mm)白色石英砂,铺砂浓度为1 g/cm2。根据山西省沁水盆地煤层气井排采情况统计及前人研究成果[22-24],现场气井产出的煤粉粒径范围在0.1~150 μm,煤粉质量分数在0.64%~3.71%,故选用粒径小于125 μm的煤粉用于试验并确定煤粉液质量分数为1%。选用加入1%煤粉分散剂的蒸馏水溶液作为模拟地层水。具体试验方案见表1。

表1 支撑裂缝煤粉动态运移沉积可视化试验方案
Table 1 Visualization experiment scheme for coal powder migration and deposition in proppant fracture

试验序号煤粉质量分数/%支撑剂粒径/mm煤粉粒径/mm泵注排量/(mL·min-1)排驱时间/min111.18~0.850>0.12541211.18~0.850>0.125410311.18~0.850>0.125420411.18~0.850>0.125440511.18~0.850>0.12571611.18~0.850>0.125710711.18~0.850>0.125720811.18~0.850>0.125740911.18~0.850>0.1251011011.18~0.850>0.12510101111.18~0.850>0.12510201211.18~0.850>0.1251040

分别以4、7、10 mL/min的排量进行试验,试验特征图像及处理结果如图5—图7所示(每个小图中右侧为注入端,左侧为流出端)。由图可知,煤粉随液流运移进入可视化裂缝平板后,受重力影响主要向裂缝底部运移沉积,沉积现象明显。煤粉在注入端沿平板高度方向均有沉积分布,表明试验装置缝口效应对试验影响不明显,试验效果较好。

图5 泵注排量4 mL/min煤粉运移沉积
Fig.5 Coal powder migration and deposition image when pumping displacement is 4 mL/min

图6 泵注排量7 mL/min煤粉运移沉积
Fig.6 Coal powder migration and deposition image when pumping displacement is 7 mL/min

图7 泵注排量10 mL/min煤粉运移沉积
Fig.7 Coal powder migration and deposition image when pumping displacement is 10 mL/min

2.1 煤粉运移沉积特征

泵注排量为4 mL/min时,沿可视化裂缝平板方向煤粉占比参数曲线如图8所示。由图可知,排驱时间1 min时Rc参数从注入端到流出端逐渐减小,表明煤粉主要在入口位置处聚集沉积,且呈现入口到出口沉积量逐渐减少的趋势;排驱时间10、20、40 min时Rc曲线逐渐上升并在入口位置附近逐渐重合,表明随排驱时间的增加相同位置处的煤粉沉积量逐渐增加,在注入端煤粉沉积量逐渐趋于稳定。

图8 排量4 mL/min时煤粉占比
Fig.8 Coal powder proportion parameter curve when pumping displacement is 4 mL/min

泵注排量为7 mL/min时,沿可视化裂缝平板方向Rc如图9所示。由图9可知,煤粉运移沉积与排量为4 mL/min时具有相似的特征,均呈现由注入端向出口端沉积量递减的趋势。随排驱时间增加煤粉沉积量增加,当排驱时间达到20 min时沿模拟裂缝长度2/3区域Rc达0.6以上,表明在局部裂缝中大部分孔隙被煤粉沉积充填。排驱时间20 min沉积曲线与10 min沉积曲线相比虽然整体Rc更高,但在注入端出现部分位置处Rc减少,表明在入口位置处出现煤粉沉积位置的重新分布。排驱时间20 min与40 min煤粉沉积曲线基本重合,表明在排驱时间20 min时由于煤粉沉积造成了堵塞。

图9 排量7 mL/min时煤粉占比
Fig.9 Coal powder proportion parameter curve when pumping displacement is 7 mL/min

泵注排量为10 mL/min时,沿可视化裂缝平板方向煤粉占比参数曲线如图10所示。煤粉运移沉积总体趋势与其他排量条件下相同。煤粉占比曲线图中排驱时间10、20、40 min曲线重合,表明在排驱时间10 min时由于煤粉沉积已经造成了堵塞,与泵注排量7 mL/min相比造成堵塞的时间提前。随排量增加,短时间内进入模拟裂缝的煤粉量增加,煤粉被孔隙俘获或在孔径变化处沉积堵塞的几率更大。

图10 排量10 mL/min时煤粉占比
Fig.10 Coal powder proportion parameter curve when pumping displacement is 10 mL/min

通过对煤粉运移沉积特征分析表明,当煤粉浓度一定且有外来煤粉持续补充时,恒流速条件下随排量增加,煤粉造成支撑裂缝流动通道堵塞的几率增加且时间提前。刘岩、曹立虎等[13-14,25]利用LD-1A导流仪进行的煤粉运移沉积结果表明,随排量的增加,更多的煤粉发生运移,堵塞在支撑裂缝窄口处,降低支撑裂缝渗透率,与本试验模拟结果所得的煤粉沉积堵塞特征趋势相同。在排液量较大的排采初期,需要适当的控制排量减小煤粉沉积堵塞对流动通道的伤害。

2.2 煤粉堵塞特征

支撑剂堆积形成的孔隙彼此相连形成高渗透率的液流通道。携煤粉液进入支撑裂缝时,由于流体流动遵循阻力最小原则会优先选择通过这一部分流动阻力较小的液流通道形成流线。当煤粉沿流线沉积未造成流动通道堵塞时呈现“指状”沉积路径(图11a);当造成流动通道堵塞,携煤粉液无法流动时呈现“块状”沉积路径(图11b)。随着煤粉进一步充填支撑裂缝孔隙,“指状”沉积路径逐渐转化为“块状”沉积路径。

图11 沉积路径特征
Fig.11 Deposition path feature

由2.1节分析结果可知,排量4 mL/min排驱过程未发生流动通道堵塞现象,排量7 mL/min和10 mL/min 在不同的排驱时间节点上发生了流动通道堵塞现象。排量4 mL/min条件下,支撑裂缝中煤粉沉积堵塞特征图像如图12所示。由图12可知,沿流线上煤粉的沉积量比其余流动区域多,呈现出“指状”沉积路径,沉积区域前端(流出端)呈现“指状特征”,在沉积区域后端(注入端)呈现“块状特征”。随排驱时间增加,携煤粉液能沿流动通道流动,“指状”特征沿流动方向发展,最终呈现出“指状”沉积路径。

图12 泵注排量4 mL/min沉积路径
Fig.12 Deposition path when pumping displacement is 4 mL/min

排量7 mL/min和10 mL/min条件下,支撑裂缝中煤粉沉积堵塞特征图像如图13和图14所示。由图可知,当发生堵塞时会呈现出“块状”沉积路径。发生沉积的区域相对集中于入口区域,沉积区域前端(流出端)和沉积区域后端(注入端)均呈现“块状特征”。随排驱时间的增加,煤粉逐渐堵塞流动通道,“指状特征”向“块状特征”蜕化,最终呈现出“块状”沉积路径。

图13 泵注排量7 mL/min沉积路径
Fig.13 Deposition path when pumping displacement is 7 mL/min

图14 泵注排量10 mL/min沉积路径
Fig.14 Deposition path when pumping displacement is 10 mL/min

当排量为10 mL/min时,在试验开始时刻在入口附近就呈现出近似“块状”沉积路径,表明在试验开始时刻就未建立起足够的有效流动通道,排量越大这种“指状”沉积路径蜕化为“块状”沉积路径的发生时间越提前,现象越明显。

2.3 煤粉运移沉积机理

煤粉运移进入支撑裂缝后,将经历孔隙表面吸附、架桥堵塞孔隙吼道、滤饼堵塞流动通道三个阶段。在孔隙表面吸附阶段,煤粉受支撑剂孔隙的强吸附作用附着于支撑剂颗粒表面减小孔隙可流通体积;在架桥堵塞孔隙吼道阶段煤粉流入孔吼,与被吸附煤粉颗粒形成桥塞堵塞支撑裂缝中的孔隙,使局部位置处的流动通道发生改变;在滤饼堵塞阶段,被煤粉堵塞的孔隙数量进一步增加,孔隙不再连通,煤粉颗粒沉积形成滤饼。

图15 煤粉沉积堵塞示意
Fig.15 Schematic diagram of coal powder deposition and blockage

“指状”沉积路径主要反映煤粉沉积的孔隙吸附阶段,有颗粒受孔隙表面吸附沉积但是不堵塞孔隙;“块状”沉积路径主要反映煤粉沉积的滤饼堵塞流动通道阶段,煤粉颗粒沉积形成滤饼,使孔隙不再连通。煤粉运移沉积路径的不同就是由于煤粉沉积产生堵塞对流动通道的改变所造成的。当排量增加时,单位时间内受液体携带进入模拟裂缝的煤粉增多,煤粉充填支撑裂缝孔隙导致流动通道改变,“指状特征”向“块状特征”蜕化,最终堵塞流动通道。“指状”沉积路径表明煤粉在运移时,产生沉积但不堵塞流动通道,更有利于排水采气。

3 结 论

1)煤粉运移进入支撑裂缝后,将经历孔隙表面吸附、架桥堵塞孔隙吼道、滤饼堵塞流动通道3个阶段。

2)煤粉运移沉积主要沿支撑剂堆积孔隙之间形成的彼此连通的流动通道进行,由于受重力影响较多的煤粉沉积在支撑裂缝下缘。煤粉从聚集区往井底方向运移并沿运移路径不断沉积,若不堵塞流动通道则会达到运移沉积平衡状态。

3)煤粉沉积未造成流动通道堵塞时,主要呈现出“指状沉积特征”;造成流动通道堵塞时,主要呈现出“块状沉积特征”。随排量的增加“指状沉积特征”向“块状沉积特征”蜕化。

4)当煤粉浓度一定且有外来煤粉持续补充时,随着排量的增加单位时间液体携带的煤粉量增加,排量越大煤粉造成流动通道堵塞的几率越大,发生堵塞的时间提前。在排液量较大的排采初期,需要适当的控制排量减小煤粉沉积堵塞对流动通道的伤害。

参考文献(References):

[1] 张新民,赵靖舟,张培河,等. 中国煤层气技术可采资源潜力[M]. 北京:科学出版社,2010:1-7.

ZHANG Xinmin,ZHAO Jingzhou,ZHANG Peihe,et al. China coalbed gas technically resource potential[M]. Beijing:Science Press,2010:1-7.

[2] 郭 肖. 非常规油气开发教程[M]. 北京:科学出版社,2018:2-3.

GUO Xiao. Unconventional oil and gas development[M]. Beijing:science press,2018:2-3.

[3] 王 喆,徐进学. 煤层气排采技术[M]. 北京:石油工业出版社,2013:54.

WANG Zhe,XU Jinxue. Coalbed methane drainage technology[M]. Beijing:petroleum industry press,2013:54.

[4] 赵俊芳,王生维,秦 义,等. 煤层气井煤粉特征及成因研究[J]. 天然气地球科学,2013,24(6):1316-1319.

ZHAO Junfang,WANG Shengwei,QIN Yi,et al. Characteristics and origin of coal powder in coalbed methane well[J]. Natural Gas Geoscience,2013,24(6):1316-1319.

[5] FUNG L S K,WONG R C K. Modeling of cavity stability and sand production in heavy oil reservoir[J]. Journal of Canadian Petroleum Technology,1996,35(2):47-53.

[6] 李国富,田永东. 煤层气井排水采气机理浅探[J]. 中国煤炭,2002,28(7):33-35.

LI Guofu,TIAN Yongdong. Analysis on production mechanism of CBM well[J]. China Coal,2002,28(7):33-35.

[7] 张卫国,薛卫峰. 低阶煤煤粉在流体中的运移规律[C] // 中国煤炭学会首届煤炭行业青年科学家论坛论文摘要集:中国煤炭学会,2014:24.

ZHANG Weiguo,XUE Weifeng. The migration law of low-order coal in fluid[C]//Abstracts of the forum of young scientists in coal industry of China Coal Society:China Coal Society,2014:24.

[8] 杨 宇,曹 煜,田慧君,等. 压裂中煤粉对煤储层损害机理分析与防控对策[J]. 煤炭科学技术,2015,43(2):84-87.

YANG Yu,CAO Yu,TIAN Huijun,et al. Mechanism analysis of coal fines damaged to coal reservoirs and prevention countermea-sures during fracturing[J]. Coal Science and Technology,2015,43(2):84-87.

[9] LYLEV Lehman,MATTHEW E Blauch,LAVELLE M Robert. Desorption enhancement in fracture-stimulated coalbed methane wells[C]//SPE Eastern Regional Meeting. Society of Petroleum Engineering, 1998.

[10] MaTT Blanch, JIM Weaver, PARKER Mark, et al. New insights into proppant-pack damage due to infiltration of formation fines[C]//1999 SPE Annual Technical Conference and Exhibition:′Drilling and Completion′. Society of Petroleum Engineering,1999.

[11] 韩国庆,高 飞,竺 彪,等. 煤层气井煤粉颗粒表观机械运移规律[J]. 煤炭学报,2013,38(S2):364-369.

HAN Guoqing,GAO Fei,ZHU Biao,et al. Superficial transport mechanisms of coal particles in the coal-bed methane well[J]. Journal of China Coal Society,2013,38(S2):364-369.

[12] 宋 阳. 不同粒径煤粉在支撑裂缝中的运移产出规律研究[J]. 山西建筑,2020,46(14):95-96,145.

SONG Yang. Research on migration and production law of coal powder with different particle size in supporting fracture[J]. Shanxi Architecture,2020,46(14):95-96,145.

[13] 刘 岩,张遂安,曹立虎,等. 煤粉在支撑裂缝中的运移与沉积规律[J]. 煤炭学报,2014,39(7):1333-1337.

LIU Yan,ZHAN Suian,CAO Lihu,et al. Rules of coal powder migration and deposition in the proppant fracture[J]. Journal of China Coal Society,2014,39(7):1333-1337.

[14] 曹立虎,张遂安,张亚丽,等. 煤层气水平井煤粉产出及运移特征[J]. 煤田地质与勘探,2014,42(3):31-35.

CAO Lihu,ZHAN Suian,ZHANG Yali,et al. Investigation of coal powder generation and migration characteristics in coalbed methane horizontal well[J]. Coal Geology & Exploration,2014,42(3):31-35.

[15] 邹雨时,张士诚,张 劲,等. 煤粉对裂缝导流能力的伤害机理[J]. 煤炭学报,2012,37(11):1890-1894.

ZOU Yushi,ZHANG Shicheng,ZHANG Jin,et al. Damage mechanism of powder on fracture conductivity[J]. Journal of China Coal Society,2012,37(11):1890-1894.

[16] 张公社,田文涛,陶 杉,等. 煤层气储层煤粉运移规律实验研究[J]. 石油天然气学报,2011,33(9):105-108,168.

ZHANG Gongshe,TIAN Wentao,TAO Shan,et al. Experimental research of coal grain migration rules of coalbed methane[J]. Journal of Oil and Gas Technology,2011,33(9):105-108,168.

[17] 汤继丹,王 雨,崔金榜,等. 表面活性剂对煤粉分散运移的影响[J]. 油田化学,2014,31(3):443-446.

TANG Jidan,WANG Yu,CUI Jinbang,et al. Effect of surfactant on the dispersion and migration of coal powder[J]. Oilfield Chemistry,2014,31(3):443-446.

[18] 幕 甜,马东民,陈 跃,等. 煤层气井多相流条件下不同粒径煤粉启动-运移规律[J]. 煤炭科学技术,2020,48(5):188-196.

MU Tian,MA Dongmin,CHEN Yue,et al. Start-migration law of coal powder with different particle sizes under multi-phase flow conditions in coalbed methane wells[J]. Coal Science and Technology,2020,48(5):188-196.

[19] 陈文文,王生维,秦 义. 煤层气井煤粉的运移与控制[J]. 煤炭学报,2014,39(S2):416-421.

CHEN Wenwen,WANG Shengwei,QING Yi,et al. Migration and control of coal powder in CBM well[J]. Journal of china coal society,2014,39(S2):416-421.

[20] 李小刚,宋峙潮,陈星宇,等. 煤粉产出运移及防治规律研究进展[J]. 应用化工,2020,49(3):701-704.

LI Xiaogang,SONG Zhichao,CHEN Xingyu,et al. Research progress of pulverized coal output and transport rules and control measures[J]. Applied Chemical Industry,2020,49(3):701-704.

[21] 蒋金龙. 煤粉在压裂支撑缝内的微观运移机理研究[D].成都:西南石油大学,2018.

JIANG Jinlong. Microscopic migration mechanism of coal fines in propped fracture[D]. Chengdu:Southwest Petroleum university,2018.

[22] 李 瑞,王生维,陈立超,等. 煤层气排采过程中煤粉产出量动态变化及影响因素[J]. 煤炭科学技术,2014,42(6):122-125.

LI Rui,WANG Shengwei,CHEN Lichao,et al. Coal powder output dynamic variation and influence factors during coalbed methane drainage[J]. Coal Science and Technology,2014,42(6):122-125.

[23] 魏迎春,曹代勇,袁 远,等. 韩城区块煤层气井产出煤粉特征及主控因素[J]. 煤炭学报,2013,38(8):1424-1429.

WEI Yingchun,CAO Daiyong,YUAN Yuan,et al. Characteristics and controlling factors of pulverized coal during coalbed methane drainage in Hancheng area[J]. Journal of China coal Society,2013,38(8):1424-1429.

[24] NGUYENP D,DUSTERHOFT R G,CLARKSON B. Control of formation fines to provide long-term conductivity in weak,unconsolidated reservoirs[C]//Offshore Technology Conference, Houston, Texas, 2005.

[25] 刘 岩,苏雪峰,张遂安. 煤粉对支撑裂缝导流能力的影响特征及其防控[J]. 煤炭学报,2017,42(3):687-693.

LIU Yan,SU Xuefeng,ZHANG Suian. Influencing characteristics and control of coal powder to proppant fracture conductivity[J]. Journal of China Coal Society,2017,42(3):687-693.

Experimental study on visualization simulation of coal powder dynamic migration and deposition in propped fractures

LI Xiaogang1,CHEN Hao1,XIONG Junya1,LI Yu2,HU Yang3,LIU Jiansheng4

(1.State Key Laboratory of Oil & Gas Reservoir Geology and Exploitation,Southwest Petroleum University,Chengdu 610500,China;2.CNOOCEnerTech-Driling & Production Co.,Tianjin 300452,China;3.Downhole Operation Company,CNPC Chuanqing Drilling Engineering CompanyLimited,Chengdu 610051,China;4.CNPC No.3 Oil Production Plant of Changqing Oilfield Company,Yinchuan 750006,China)

Abstract:In view of the problem that the dynamic migration and deposition process of pulverized coal in propped fractures and the distribution characteristics of pulverized coal after sedimentation are blocked, the self-developed visualization simulation device for dynamic migration and deposition of pulverized coal was used to carry out simulation experiments of dynamic coal migration and deposition. Based on experimental feature image extraction and pixel gray level recognition, a grayscale matrix about the length and height of the visible crack plate is established, and the feature image is binarized. The ration of the number of pixels (the amount of coal powder) in each grid with a gray level of zero to the total pixels in the grid “Rc” is used to characterize the influence of coal powder deposition in the flow channel of propped fractures. The migration, deposition and plugging characteristics of coal powder at different positions of the propped fractures with different displacement and displacement time were compared and analyzed. The test results show that the migration and deposition of pulverized coal is mainly carried out in the flow channels formed by the interconnected accumulation pores. Due to the influence of gravity, more pulverized coal is deposited in the lower edge of the propped fracture. After the coal powder migrates into the proppant fractures, it will go through three stages of adsorption on the pore surface, bridging to block the pore roars, and filter cake to block the flow channel. Coal powder migrates from the accumulation area to the fracture outlet and deposits along the migration path. If the flow channel is not blocked, the migration and deposition equilibrium state will be reached. When coal powder does not block the flow channel, it presents “finger deposition characteristics”, otherwise it presents “massive deposition characteristics”. With the increase of displacement, the “finger deposition characteristics” tend to change to “massive deposition characteristics”. When the concentration of coal powder is constant and foreign coal powder continues to be replenished, the probability of flow channel clogging caused by coal powder increases with the increase of displacement and the blocking time will be advanced. In the early stage of drainage gas recovery, it is necessary to properly control the drainage to reduce the damage to the flow channel caused by the clogging of the pulverized coal deposition.

Key words:propped fracture;visualization simulation;pulverized coal migration;pulverized coal deposition;CBM recovery

中图分类号:TD714

文献标志码:A

文章编号:0253-2336(2022)08-0151-08

移动扫码阅读

李小刚,陈 浩,熊俊雅,等.支撑裂缝煤粉动态运移沉积可视化模拟试验研究[J].煤炭科学技术,2022,50(8):151-158.

LI Xiaogang,CHEN Hao,XIONG Junya,et al.Experimental study on visualization simulation of coal powder dynamic migration and deposition in propped fractures[J].Coal Science and Technology,2022,50(8):151-158.

收稿日期:2021-12-01

责任编辑:黄小雨

DOI:10.13199/j.cnki.cst.2020-1251

基金项目:国家科技重大专项资助项目(2016ZX05044-004-002)

作者简介:李小刚(1981—),男,四川仁寿人,教授,博士。E-mail:swpuadam@126.com

通信作者:陈 浩(1997—),男,四川德阳人,硕士研究生。E-mail:1205169486@qq.com