采煤机滚筒高度测量传感器工作环境磁场仿真与屏蔽研究

李 曼1,2,郑思雨1,刘浩东1,王志鹏1

(1.西安科技大学 机械工程学院,陕西 西安 710054;2.陕西省矿山机电装备智能监测重点实验室,陕西 西安 710054)

摘 要:为实现煤矿井下综采工作面复杂电磁环境下采煤机滚筒高度的测量,保证工况条件下传感器的可靠性,在分析滚筒式采煤机摇臂结构和工作原理的基础上,利用TLE5012B磁敏感角度传感元件设计了采煤机滚筒高度传感器。传感器通过安装于摇臂销轴处的摇杆—旋转装置获取摇臂摆角,由角度计算获得采煤机滚筒高度。依据现有煤矿井下工况条件、设备分布以及传感器安装位置,分析确定滚筒高度传感器在井下工作环境中的主要磁场干扰源为采煤机的截割电机、破碎电机、牵引电机以及采煤机供电电缆和巷道铺设电缆。采用SolidWorks三维建模软件,以Eickhoff公司的SL1000型采煤机为参照,建立相关电缆、电动机、采煤机摇臂及周边部分等干扰源模型。采用COMSOL Multiphysics仿真软件,求解各干扰源模型的磁场分布,并对采煤机滚筒高度传感器工作位置的磁场环境进行了定量分析。仿真结果表明:截割电机及巷道铺设电缆处的磁感应强度较大,是影响传感器工作的主要电磁干扰源。采煤机摇臂及周边部位和传感器安装部位的磁感应强度为1~4 T,超出了TLE5012B的30~50 mT正常工作范围。为减小电磁干扰对传感器的影响,基于低频磁屏蔽原理及传感器结构,以硅钢片为屏蔽材料设计了磁屏蔽装置,该装置可有效屏蔽99%的磁场干扰,屏蔽后传感器周围磁感应强度为10~45 mT。

关键词:传感器;滚筒高度;电磁干扰;磁屏蔽;采煤机

0 引 言

传感器是煤矿开采智能控制系统中的首要环节,全面、实时、准确的感知设备的位姿和工作状态是实现智能控制的关键,也是煤矿智能化开采的关键技术[1-3]。传感器的可靠性及抗干扰能力的好坏决定了智能开采控制的准确性,而电磁干扰是影响传感器正常工作的主要干扰源之一[4]。煤矿井下空间相对封闭,大功率机电设备众多且布置集中,巷道或工作面截面狭长的空间中密布着各种金属管线,使综采工作面的电磁环境变得十分复杂[5]。因此对井下工作面传感器的抗电磁干扰能力提出了更高的要求。针对井下电磁干扰问题,文献[6-7]对煤矿综采工作面及采煤机产生的电磁干扰情况进行了研究,研究表明电机及变频器附近干扰严重;文献[8-9]分析了井下电磁干扰的来源及传播路径,提出了预防或抑制电磁干扰的一些措施,其中磁屏蔽是抑制电磁干扰最有效的方法;文献[10]介绍了磁屏蔽的基本理论,建立仿真模型对不同条件下的屏蔽效果进行分析;文献[11]通过对低频磁屏蔽的理论研究,设计了一套磁屏蔽体,并对不同磁场干扰的屏蔽效能进行了讨论。针对复杂电磁环境下传感器抗干扰的研究;文献[12]进行了PCB电磁兼容设计并通过计算、仿真和试验完成了巨磁阻电流传感器屏蔽系统的设计,抗干扰测试结果表明所设计的传感器具备抵抗强电磁干扰的能力;文献[13]分析了影响矿用压力传感器测量准确度的煤矿井下主要电磁干扰源,对传感器进行电磁兼容设计,以提高其抗干扰能力。随着传感器在煤矿开采智能化中重要性的大幅提升,煤矿井下复杂电磁环境下传感器抗干扰问题受到广泛关注,但迄今为止,针对这一问题的研究还不够系统、深入和全面,尤其是采煤工作面区域的电磁环境研究更为缺乏[6]

基于TLE5012B磁敏感元件设计了采煤机滚筒高度传感器,针对传感器安装位置,分析了其工作环境的磁场干扰源,建立了采煤机、电缆和电动机等相关干扰源模型。采用COMSOL Multiphysics软件仿真分析了传感器周围的磁场环境。针对磁场特点和传感器结构,设计了磁屏蔽装置。

1 采煤机滚筒高度的测量原理与传感器结构

1.1 滚筒高度测量原理

滚筒式采煤机摇臂通过销轴与机身铰接,滚筒安装在摇臂上,采煤机在工作过程中,通过调高油缸调节摇臂摆角实现滚筒高度的改变,其结构如图1所示。

图1 采煤机结构
Fig.1 Structure of shearer

由图1可知,滚筒高度H

Η=Η1+R+Η2=Lsin θ+R+Η2

(1)

其中:R为滚筒半径,mm;L为摇臂销轴中心与滚筒中心的距离,mm; H1为与滚筒中心垂直距离,mm; H2为与截割地面的垂直距离,mm。R,L,H2均为采煤机固定参数,如果测得到摇臂摆角θ,即可求得滚筒高度H[14]

1.2 传感器结构与安装方法

采煤机滚筒高度传感器中摇臂摆角的获取选用基于巨磁阻效应的集成化角度敏感元件TLE5012B。TLE5012B通过其外部平行磁场旋转角度的变化实现角度测量[15]。测量采煤机摇臂摆角,需要将摇臂摆角转换为外部磁场的旋转角度,设计一种摇杆-旋转装置。摇杆-旋转装置安装在采煤机销轴处,如图2所示。传感器底座固定于采煤机侧身,摇杆连接器固定在摇臂上,摇杆随摇臂同步摆动。

图2 传感器安装示意
Fig.2 Sensor installation

摇杆-旋转装置由底座、旋转轴、摇杆、连接器和外壳构成,其结构如图3所示。其中圆柱型底座固定在采煤机机身上,底座侧面留有开口,作为满足摇杆摆动的活动槽。磁铁装在旋转轴顶端,摇杆一端通过连接器固定在采煤机摇臂上,另一端穿过底座的活动槽与顶端装有磁铁的旋转轴固定在一起,摇杆与采煤机摇臂同步摆动,并将采煤机摇臂摆动的角度转换为旋转轴的转动。以旋转轴顶部磁铁作为磁阻传感芯片外加磁场,将安装有TLE5012B磁敏感应芯片的PCB板固定在磁铁正上方,磁铁中心与TLE5012B中心的磁敏感应区域相对。

图3 摇杆-旋转装置示意
Fig.3 Schematic of rocker-rotating device

2 滚筒高度传感器的工作环境磁场仿真

2.1 滚筒高度传感器工作环境中的电磁干扰源

煤矿井下空间相对封闭、电气设备众多,这些设备运行形成了各类电磁干扰源。从煤矿自身的系统分析,电磁干扰的来源有内部和外部2个方面。内部干扰源主要来自环境温度对设备内部元件产生的影响。外部的干扰源主要表现在以下4个方面:① 煤矿井下电力电缆造成的干扰。在电缆中突然接入大功率设备,会引起电压波动,形成高次分量频谱,造成具有起伏性、周期性的脉冲电磁干扰。② 变频装置和外部大功率设备造成的电磁耦合效应产生的电磁干扰。③ 井下大型电器设备启停时引起的电源干扰。④ 外部电源漏电引起的电磁干扰。从本传感器的安装位置来考虑,主要干扰源有:采煤机的截割电机、破碎电机、牵引电机以及采煤机供电电缆和巷道铺设电缆。

2.2 传感器工作环境磁场仿真模型

采用SolidWorks软件按照模型的复杂程度依次进行建模。模型包括电缆、电机及采煤机。

1)仿真模型以Eickhoff公司的SL1000型采煤机为参照,根据其主要外形尺寸及功能部件绘制采煤机简化模型。采煤机机身长度为7 530 mm,摇臂长度为3 717 mm,滚筒直径为3 500 mm。

2)矿用高压电缆模型。矿用高压电缆模型有2种:采煤机自身供电的工频电缆和巷道中铺设的工频电缆。2种电缆结构相同,主要包含导电芯线、橡胶绝缘层、屏蔽层和外部保护材料。由于电缆中铜屏蔽层对磁场无效,所以模型中不设置铜屏蔽层。由于负载不同,2类电缆的尺寸也有所差异,其中采煤机供电电缆电压为3 300 V,电缆直径为45 mm,导线截面直径为25 mm;巷道铺设电缆电压为6 000 V,电缆直径为91.5 mm,导线截面直径为50 mm,电缆模型如图4所示。

图4 电缆模型
Fig.4 Cable model

3)电机部分主要考虑截割电机、牵引电机以及破碎电机。这3类电机均属于三相异步电机,其功率大小有所不同。3类电机的相关参数见表1。

表1 三类电机相关参数
Table 1 Related parameters of three types of motors

电机类型功率/kW电压/V频率/Hz截割电机2×1 0003 30050破碎电机1×2003 30050牵引电机2×1506901~120

按照3种电机的实际尺寸创建简化模型,模型包含定子、转子、不对称的气隙和电动机外壳4个主要部分,电机模型如图5所示。

图5 电动机模型
Fig.5 Motor model

4)综采工作面环境模型。根据采煤机外形尺寸创建宽3.5 m,高3 m的矩形封闭环境模型,并将内部材料属性定义为空气。以采煤机为定位基准,将建立好的电缆、电动机模型导入到相应的位置,构成采煤机摇臂及周边部分简化模型,如图6所示。

图6 仿真简化模型
Fig.6 Simplified simulation model

2.3 仿真分析

使用COMSOL软件的磁场模块对井下综采工作面的磁场环境进行仿真。将所建电缆、电机模型另存为sat文件后导入COMSOL仿真软件中,设置模型的各项参数值,在模型开发器中添加物理场-磁场,并在稳态研究中添加线圈几何分析,对模型进行定量的计算分析[16]。电缆分为采煤机供电电缆和巷道铺设电缆,主要参数:2种电缆的直径分别为45 mm和91.5 mm;电压分别为3 300 V和6 000 V;导线和保护层的电导率分别为5.9×107 S/m和0;相对磁导率及相对介电常数均为1。以采煤机供电电缆为例,仿真结果如图7所示。

图7 电缆周围磁场分布
Fig.7 Magnetic field distribution around cable

电机分为截割电动机、破碎电动机和牵引电动机,主要参数:3种电动机的电压分别为3 300、3 300和690 V;线圈、定子和转子的相对磁导率分别为1、30、30,电导率分别为5.9×107、0、1.6×106 S/m,相对介电常数均为1。以截割电机为例,仿真结果如图8所示。

图8 电机周围磁场分布
Fig.8 Magnetic field distribution around the motor

采煤机简化仿真模型包含上述2种电缆和3种电动机,宽3.5 m,高3 m的矩形巷道内部材料属性为空气。仿真结果如图9所示,红色流线为磁感应强度分布情况,流线越密,表示磁场越强。由图可知靠近3个电机处磁感应强度较大,其中截割电机功率最大,其周围磁场分布较密集。电缆周围也存在磁场,其中巷道铺设电缆负载最大,其周围的磁场分布较为密集,磁感应强度较大。

图9 采煤机简化模型磁场仿真结果
Fig.9 Simulation results of magnetic field of shearer

在模型开发器中计算仿真结果的派生值,得到仿真模型整体的磁感应强度体最大最小值见表2。

表2 仿真模型整体磁感应强度
Table 2 Overall induction density of simulation model

轴向最大值/T最小值/Tx2.978 6-3.111 3y4.229 9-3.302 4z2.968 9-2.991 8

滚筒高度传感器安装于采煤机摇臂销轴处,其在模型中的坐标(x,y,z)=(-1 500 mm,80 mm,500 mm)。由于磁敏感应芯片检测的是平行磁场,因此垂直于封装表面的磁场BZ对传感器的影响可以忽略。传感器周围的磁感应强度轴向x方向最大值为1.158 5T,最小值为-1.236 0T;y方向最大值为1.208 9T,最小值为-1.322 7T。

3 磁屏蔽装置设计

根据仿真结果,仿真模型整体及传感器周围的磁感应强度为1~4 T,大于TLE5012B的工作磁场范围30~50 mT,为保证滚筒高度传感器在井下正常可靠工作,需采取磁屏蔽措施。

3.1 磁屏蔽原理

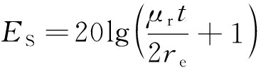
磁屏蔽是利用高磁导率材料中的低磁阻来实现磁通分流,进而减弱屏蔽体内部的磁场[17]。屏蔽体的有效性用磁屏蔽效能(ES)来度量,表示屏蔽体对磁场的衰减程度,屏蔽衰减值越大,屏蔽效果越好。

(2)

式中:B1B2分别为无、有屏蔽时的磁感应强度,T。

磁屏蔽分为3种情况:静磁屏蔽、低频电磁屏蔽和高频电磁屏蔽。井下干扰磁场主要由工频电缆及电机产生,我国电力系统供电电源的频率为低频50 Hz,因此主要考虑低频电磁屏蔽。

3.2 磁屏蔽装置结构设计及屏蔽材料的选取

结合滚筒高度传感器的结构,磁屏蔽外壳设计成一端有开口的圆柱形壳体,内半径为a,外半径为b,其磁屏蔽效能ES[18]

(3)

式中:为屏蔽壳厚度,mm;μr为屏蔽材料的相对磁导率。

由磁屏蔽的原理可知,磁屏蔽材料的磁导率越高、屏蔽罩越厚,则磁阻Rm越小,磁屏蔽效果越好[19]。钢、硅钢片和铁镍合金等都是常见的铁磁材料,其磁特性见表3。

表3 常用合金的磁特性
Table 3 Magnetic properties of common alloys

材料饱和强度/Gs磁导率/(H·m-1)起始最高相对磁导率铁磁合金8 00060 000400 000铁镍合金15 00012 000150 00020 000~200 000硅钢20 0003 0005 0007 000~10 000

由于材料的磁导率会随着外加磁场强度的增加而升高,达到一定值时,材料就会发生饱和,磁导率急剧下降,从而失去磁屏蔽作用。因此,在强磁场中,磁导率很高的材料没有良好的屏蔽效能[20]。由表4可知,硅钢同时具有适当饱和特性和足够磁导率,适用于强磁环境,而且其稳定性好、成本低,所以本文选择硅钢片作为磁屏蔽壳的材料。根据传感器的结构尺寸,磁屏蔽壳内半径a取100 mm,40 dB的磁屏蔽效能下,屏蔽壳外半径b≈103 mm。磁屏蔽装置外壳如图10所示。

图10 磁屏蔽装置外壳
Fig.10 Magnetic shield enclosure

3.3 磁屏蔽效果

由式(2)计算磁屏蔽效能为40 dB时屏蔽后的采煤机模型和传感器周围磁感应强度,屏蔽前后磁感应强度对比见表4。屏蔽后传感器周围的磁感应强度为10~45 mT,在TLE5012B芯片正常工作时的磁感应强度范围内,达到了屏蔽要求。

表4 屏蔽前后磁感应强度对比
Table 4 Comparison of magnetic induction intensity before and after shielding

项目轴向磁感应强度体最大值/T轴向磁感应强度体最小值/T屏蔽前屏蔽后屏蔽前屏蔽后采煤机传感器采煤机传感器采煤机传感器采煤机传感器x2.978 61.158 50.029 70.011 6-3.111 3-1.236 0-0.031 1-0.012 4y4.229 91.208 90.042 30.012 1-3.302 4-1.322 7-0.033 0-0.013 2

4 结 论

1)以TLE5012B磁敏元件设计角度传感器,易于与微处理器、外围电路集成,实现角度测量的数字化和智能化。基于TLE5012B磁敏元件的采煤机滚筒高度传感器通过获取采煤机摇臂摆角,实现对采煤机截割高度的实时监测。

2)使用COMSOL软件对井下综采工作面环境磁场进行仿真得到:截割电机及巷道铺设电缆附近的磁感应强度较大,仿真模型整体和传感器周围的磁感应强度为1~4 T,大于TLE5012B正常工作的磁感应强度范围30~50 mT。

3)针对传感器周围磁场特点及传感器结构,选取硅钢片作为屏蔽材料,设计了高70 mm、厚3 mm的圆柱形壳体磁屏蔽装置,结果表明该装置可有效屏蔽99%的磁场干扰,屏蔽后传感器周围磁感应强度为10~45 mT,达到了本滚筒高度传感器屏蔽要求。

参考文献(References):

[1] 王国法,刘 峰,庞义辉,等.煤矿智能化:煤炭工业高质量发展的核心技术支撑[J].煤炭学报,2019,44(2):349-357.

WANG Guofa,LIU Feng,PANG Yihui,et al.Coal mine intellectualization:The core technology of high quality development[J].Journal of China Coal Society,2019,44(2):349-357.

[2] 方新秋,梁敏富,李 爽,等.智能工作面多参量精准感知与安全决策关键技术[J].煤炭学报,2020,45(1):493-508.

FANG Xinqiu,LIANG Minfu,LI Shuang,et al.Key technologies of multi-parameter accurate perception and security decision in intelligent working face[J].Journal of China Coal Society,2020,45(1):493-508.

[3] 王国法,张德生.煤炭智能化综采技术创新实践与发展展望[J].中国矿业大学学报,2018,47(3):459-467.

WANG Guofa,ZHANG Desheng.Innovation practice and development prospect of intelligent fully mechanized technology for coal mining[J]. Journal of China University of Mining & Technology,2018,47(3):459-467.

[4] 霍大云,孙晨阳,董 军,等.物联网产品应用领域及其传感器环境可靠性评价研究[J].物联网技术,2019,9(5):105-107.

HUO Dayun,SUN Chenyang,DONG Jun,et al.Application fields of IOT products and environmental reliability evaluation of sensors[J].Internet of Things Technology,2019,9(5):105-107.

[5] 辛中华,张晓冬,刘 涛,等.智能化煤矿电磁环境及电磁兼容标准架构[J].煤炭科学技术,2020,48(7):1-7.

XIN Zhonghua,ZHANG Xiaodong,LIU Tao,et al.Intelligent coal mine electromagnetic environment and EMC standard framework[J].Coal Science and Technology,2020,48(7):1-7.

[6] 陈 辉.煤矿综采工作面电磁骚扰的研究[D].徐州:中国矿业大学,2012.

CHEN Hui. Research on electromagnetic disturbance in coal mining face[D]. Xuzhou:China University of Mining and Technology,2012.

[7] 邹哲强,庄 捷,屈世甲.煤矿井下中低频段电磁干扰测量与分析[J].工矿自动化,2013,39(5):1-5.

ZOU Zheqiang,ZHUANG Jie,QU Shijia. Measurement and analysis of electromagnetic interference in the middle and low frequency section of coal mine[J]. Industry and Mining Automation,2013,39 (5):1-5.

[8] 刘旭东.煤矿井下电力电子设备电磁干扰的研究[J].电子制作,2017(6):85-87.

LIU Xudong.Research on electromagnetic interference of underground power electronic equipment[J].Practical Electronics,2017(6):85-87.

[9] 杨嘉如.煤矿井下电子设备电磁干扰的预防[J].中国高新技术企业,2015(31):159-160.

YANG Jiaru.Prevention of electromagnetic interference of underground electronic equipment in coal mine[J].China High Technology Enterprises,2015(31):159-160.

[10] 孙伏洋. 大型磁屏蔽环境的仿真与设计[D].西安:西安理工大学,2018.

SUN Fuyang.Simulation and design of large magnetic shielding environment[D].Xi’an:Xi’an University of Technology,2018.

[11] 李巧燕,王保国,马通边,等.低频高性能屏蔽装置的设计[J].太赫兹科学与电子信息学报,2016,14(4):591-595.

LI Qiaoyan,WANG Baoguo,MA Tongbian,et al.Design of shielding device with low frequency and high performance[J].Information and Electronic Engineering,2016,14(4):591-595.

[12] 王善祥,王中旭,胡 军,等.基于巨磁阻效应的高压宽频大电流传感器及其抗干扰设计[J].高电压技术,2016,42(6):1715-1723.

WANG Shanxiang,WANG Zhongxu,HU Jun,et al.High voltage wide frequency and large current sensor based on giant magnetoresistance effect and its anti-interference design[J].High Voltage Engineering,2016,42(6):1715-1723.

[13] 朱正宪.矿用压力传感器抗干扰研究与设计[J].煤矿机械,2017,38(4):6-8.

ZHU Zhengxian.Anti interference research and design of mine pressure sensor[J].Coal Mine Machinery,2017,38(4):6-8.

[14] 李 曼,王志鹏.基于巨磁阻效应的采煤机摇臂角度传感器设计研究[J].煤炭科学技术,2019,47(4):26-31.

LI Man,WANG Zhipeng. Design and research on angle sensor for shearer rocker based on giant magneto resistance effect[J].Coal Science and Technology,2019,47(4):26-31.

[15] 何喜富.基于iGMR原理角度传感器TLE5012B应用指南[J].单片机与嵌入式系统应用,2015,15(3):74-77.

HE Xifu.Angle sensor based on iGMR principle TLE5012B application guide[J].Microcontrollers & Embedded Systems. 2015,15(3):74-77.

[16] 陈庆东,王俊平.基于COMSOL软件的静磁场仿真与分析[J].大学物理实验,2018,31(2):88-91.

CHEN Qingdong,WANG Junping.Simulation and analysis of static magnetic field based on COMSOL software[J].Physical Experiment of College,2018,31(2):88-91.

[17] 黄辉霞.浅析电子设备的电磁屏蔽设计[J].电子测试,2018(23):100-101.

HUANG Huixia.Electromagnetic shielding design of electronic equipment[J].Electronic Test,2018(23):100-101.

[18] GRABCHIKOV S S,TRUKHANOV A V,TRUKHANOV S V,et al. Effectiveness of the magnetostatic shielding by the cylindrical shells[J]. Journal of Magnetism and Magnetic Materials,2016,398.

[19] 郭敬滨,孟佳旭,李醒飞,等.光泵磁力仪磁屏蔽筒的尺寸设计[J].电子测量与仪器学报,2018,32(2):80-85.

GUO Jingbin,MENG Jiaxu,LI Xingfei,et al.Dimension design of magnetic shielding cylinder for optical pumped magnetometer[J].Journal of Electronic Measurement and Instrumentation,2018,32(2):80-85.

[20] 廖桥生.电磁轨道炮膛内强磁场屏蔽与磁保险引信样机设计[D].南京:南京理工大学,2016.

LIAO Qiaosheng.Design of high magnetic field shielding and magnetic safety fuze prototype in electromagnetic track gun bore[D].Nanjing:Nanjing University Of Science And Technology,2016.

Study on magnetic field simulation and shielding design of shearer drum height measurement sensor working environment

LI Man1,2,ZHENG Siyu1,LIU Haodong1,WANG Zhipeng1

(1.School of Mechanical Engineering,Xian University of Science and Technology,Xian 710054,China; 2.Shannxi Key Laboratory of Mine Electromechanical Equiment Intelligent Monitoring,Xian 710054,China)

Abstract:In order to realize the measurement of the height of the shearer drum in the complex electromagnetic environment of the fully mechanized mining face in the coal mine and ensure the reliability of the sensor under the working conditions,on the basis of analyzing the structure and working principle of the rocker arm of the drum shearer,the shearer drum height sensor was designed by using TLE5012B magnetic sensitive angle sensor element. The sensor obtains the swing angle of the rocker arm through the rocker-rotating device installed at the rocker pin shaft,and calculates the height of shearer drum from the angle calculation. According to the existing coal mine underground working conditions,equipment distribution and sensor installation position,the main magnetic field interference sources of drum height sensor in the underground working environment were analyzed and determined to be cutting motor,crushing motor,traction motor of shearer,power supply of the shearer and roadway laying cables. Using Solidworks 3D modeling software and taking Eickhoff’s SL1000 shearer as a reference,the related interference source models such as cables,motors,shearer rocker arms and surrounding parts were established. Based on COMSOL Multiphysics simulation software,the magnetic field distribution of each interference source model was solved,and the magnetic field environment of shearer drum height sensor working position was quantitatively analyzed. The simulation results show that the magnetic induction intensity of the cutting motor and the roadway laying cable is relatively large,which is the main source of electromagnetic interference affecting the work of the sensor. The magnetic induction intensity of shearer rocker arm and its surrounding parts and the sensor installation parts is 1-4 T,which is beyond the normal operating range of 30-50 mT of TLE5012B. In order to reduce the influence of electromagnetic interference on the sensor,based on the principle of low-frequency magnetic shielding and sensor structure,a magnetic shielding device was designed with silicon steel sheet as shielding material. The device can effectively shield 99% of the magnetic field interference,and the magnetic induction intensity around the sensor after shielding is 10-45 mT.

Key words:sensor;drum height; electromagnetic interference; magnetic shielding;shearer

中图分类号:TH712

文献标志码:A

文章编号:0253-2336(2022)08-0204-06

移动扫码阅读

李 曼,郑思雨,刘浩东,等.采煤机滚筒高度测量传感器工作环境磁场仿真与屏蔽研究[J].煤炭科学技术,2022,50(8):204-209.

LI Man,ZHENG Siyu,LIU Haodong,et al.Study on magnetic field simulation and shielding design of shearer drum height measurement sensor working environment[J].Coal Science and Technology,2022,50(8):204-209.

收稿日期:2021-12-14

责任编辑:周子博

DOI:10.13199/j.cnki.cst.2020-1242

基金项目:国家自然科学基金资助项目(51875451);陕西省重点研发计划资助项目(2018GY-039)

作者简介:李 曼(1964—),女,陕西西安人,教授。E-mail:liman10@sina.com