自移轨道式液压支架既定轨迹转向路径分析

李国华,张 宏,陈 有,张志宏,付 政,孙小娟

(太原科技大学 机械工程学院,山西 太原 030024)

摘 要:为解决煤矿巷道设备列车转向难的问题,设计了1种适用于巷道弯道转向的交替循环自移轨道式液压支架,探讨了自移轨道式液压支架弯道转向工作原理,通过对该型支架本身原地旋转掉转车头和在狭窄巷道内带动设备列车转弯2种工况的定性分析,建立了转向物理模型计算公式,研究了转向油缸工作循环自移轨道式液压支架关键点的运动位置变化情况;为使设备列车按照既定轨迹强制转向,在巷道底板安装了地锚,构建了支架轨道、设备列车与地锚的碰撞运动状态表达式;应用ADAMS对自移轨道式液压支架转弯两种工况的运动特性进行了虚拟仿真试验。研究结果表明:转向油缸工作状态的改变引起了旋转基点的变化,支架原地旋转时以基点C为圆心,以AB两点与C点之间的距离为半径在底板形成半圆轨迹,支架原地旋转只需保持转向油缸的行程一致,即可实现支架原地旋转;而带动设备列车转弯过程中,需要在每一步转向步进中改变转向油缸和步进油缸的活塞杆伸缩行程,来微调自移轨道式液压支架的方向,B点轨迹的曲率半径约为1 000 mm,设备列车与地锚相碰撞时平均碰撞力约为60 000 N,平均速度约为450 mm/s。支架转向轨迹路线的研究为煤矿综采工作面设备列车弯道快速转向提供了有效的解决思路和方法。

关键词:液压支架;自移轨道;转向;碰撞;轨迹路线

0 引 言

煤矿巷道中设备列车转向一直是综采设备运输的主要难题之一。巷道内地质条件复杂,环境恶劣,巷道狭窄,设备众多、繁重,设备列车从一个工作面转到下个工作面时,掉转车头及在巷道中转弯困难,需耗费大量人力物力,严重影响煤矿的生产效率以及危害工人的生命安全[1-3]。目前,国内各大煤矿企业针对设备列车回撤转向开展了较多的研究,何威杰[3]采用阶梯式布置方式对设备列车巷进行优化来提高煤矿资源的回收率;杨德[4]从单通道设计,选择从机尾向机头顺序双掩护撤架法的回撤方法,在通道内支设垛式支架将综采工作面的设备回撤,实现了快速搬家;石涛[5]在回撤通道中采用电液控制的垛式支架代替木垛在综采快速搬家面形成端头三角区支护,保证工人安全;董浩等[6]采用无轨胶轮辅助运输配合辅助多巷道回撤工艺对综采面设备回撤,提高了设备回撤速度;王臻[7]通过对工作面设备列车回撤通道布置方案分析,减少巷道的掘进工程,加快回撤速度;姚世林[8]研制了一种综采拆除面回撤通道无轨活动式液压支架滑行板,有效解决了支架在转弯时耕地严重、向巷道下帮倾斜等难题;马守富[9]利用原有废弃空巷作为回撤巷道,采用下行回撤技术,解决了大倾角上行回撤绞车及钢丝绳能力不足等问题;唐中亮等[10]通过对工作面的回撤条件、关键技术等方面的分析,制定合理的技术方案,保证了整个回撤过程中的安全;塔山矿利用大型液压支架回撤吊车,简化了设备回撤系统,完成了支架安全快速回撤机械化工序,解决了8107综放工作面液压支架回撤难题[11];倪先杰等[12]通过优化铺网、回风巷道维护等工艺,实现了工作面高效回撤;文献[13-17]选择不同的参数作为约束条件对四连杆机构进行优化,使得支架受力合理,增强了稳定性。上述研究为支架的弯道转向提供了一定的解决思路。

因此,笔者根据巷道实际情况,设计了一种自移轨道式液压支架,该型液压支架在巷道转向时不需借助其他辅助巷道以及垛式支架,依靠自身的转向机构即可完成巷道转弯,为综采工作面设备列车的快速转弯提供了有效的解决方法。

1 自移轨道式液压支架转向工作原理

图1所示为自移轨道式液压支架转向机构布置图,转向机构分为前、后转向机构,转向机构包括转向压紧千斤顶、转向箱体、转向油缸,转向箱体布置在支架底座的左右轨道之间;转向压紧千斤顶以对称方式安装在支架底座的前后端的两侧,通过滑板与转向箱体连接;转向油缸与底座、转向箱体通过耳板和销轴铰接,转向油缸与底座存在一定的倾斜角度。A为轨道前端点,B点为轨道后端点,C为自移轨道式液压支架中心点,D为后转向箱体的中心点,K为两轨道之间的宽度距离,L为两转向油缸之间的距离,a为后转向油缸与轨道后端距离,b为前转向油缸与轨道前端距离,d为后转向箱体中心与轨道后端距离,f为后转向油缸与后转向箱体中心距离。

图1 前、后转向机构布置
Fig.1 Arrangement of front and rear steering mechanism

该型支架转向时,前后转向压紧千斤顶同时向下伸出,将转向箱体压紧在地面,转向油缸活塞杆伸出,推动支架转动一定的角度,然后转向油缸活塞杆缩回,转向压紧千斤顶活塞杆缩回,完成了一次转向。重复交替循环,完成支架所需的转向角度。

支架迈步前进时,首先抬底千斤顶活塞杆带动滚轮伸出,滚轮将轨道压在地面上,并将支架前端提起一定的高度;随后,步进油缸活塞杆伸出,推动支架向前移动,滚轮在轨道上滚动相应的距离;然后,抬底千斤顶活塞杆带动滚轮离开轨道;最后,步进油缸活塞杆缩回带动轨道向前移动相同距离;至此自移轨道式液压支架移动了一个步长。重复交替循环实现迈步前进。

自移轨道式液压支架在弯道转向时需要转向结构和步进结构共同配合完成,以带动整个设备列车实现转向和迈步前进。

2 转向物理模型理论计算

自移轨道式液压支架在牵引设备列车时主要有两种情况需解决,一种是在一个工作面工作完之后,自移轨道式液压支架本身需要掉转车头方向,带动设备列车到下一个工作面,即自移轨道式液压支架本身原地旋转;另一种是自移轨道式液压支架带动设备列车在巷道内转弯,转到另一巷道内。

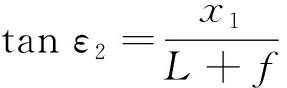
转向油缸工作循环与水平面的关系如图2、图3所示,转向压紧千斤顶没有将转向箱体下压时,前、后转向油缸与水平面的夹角分别为α1β1;当转向压紧千斤顶工作将转向箱体下压h高度时,两转向油缸与水平面的夹角分别为α2β2,两转向油缸工作的伸缩行程为l

图2 前转向油缸工作循环与水平面的关系
Fig.2 Relationship between working cycle of front steering cylinder and horizontal plane

图3 后转向油缸工作循环与水平面的关系
Fig.3 Relationship between working cycle of rear steering cylinder and horizontal plane

自移轨道式液压支架本身原地旋转,以C点为基点,前、后转向油缸的活塞杆同时反方向伸出,推动支架转动,实现原地旋转,故:

自移轨道式液压支架前、后转向油缸的横向位移x1x2为:

(1)

AB两点的位移为:

(2)

自移轨道式液压支架原地旋转的角度:

(3)

式中:ε1ε2为原地旋转和带动设备列车在每次转过的角度。

自移轨道式液压支架带动设备列车在巷道内转弯时,以D点为基点,后转向油缸不工作,由前转向油缸推动自移轨道式液压支架前端转动,故:

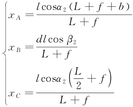
自移轨道式液压支架前转向油缸的横向位移x1为:

lcos α2=x1

(4)

故,ABC三点的位移XAXBXC为:

(5)

自移轨道式液压支架巷道弯道转过的角度:

(6)

3 设备列车转向碰撞模型

本文所研究设备列车转弯所处的空间环境狭窄,巷道宽度基本为X(3.6~4.0 m),巷道转弯处的角度为90°,为了使设备列车按照既定轨迹强制转向,在巷道底板安装了地锚,并将地锚布置在半径为R(10 m)的圆弧上,圆弧与巷道转弯处相切,每个地锚的前后距离为t(0.8 m),呈等距排布。设备列车主要由平板车组成,可以装运材料、泵站、变压器等,本文简称为1号车、2号车、3号车等,布置如图4所示。

图4 设备列车巷道转向布置示意
Fig.4 Schematic of turning arrangement of equipment train

自移轨道式液压支架带动设备列车在巷道转弯时,设备列车会与地面上的地锚发生碰撞,考虑设备列车碰撞的一般性,以一节设备列车与单个地锚碰撞为例,假定在很小范围的碰撞,忽略其他非碰撞区域的结构性能变化,设备列车与地锚都是刚体,碰撞瞬间冲击力在两者之间同步传递[18]

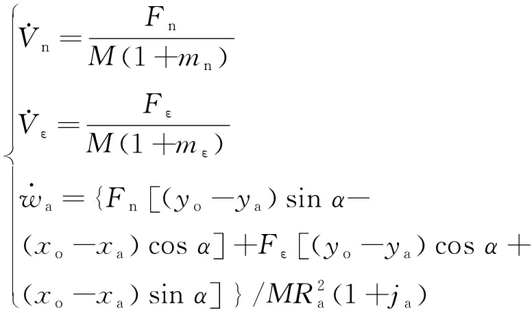
假定设备列车的切向前进速度Vε,法向横移速度Vn,设备列车的质量为M,碰撞点O的坐标为(xo,yo),设备列车的重心坐标为(xa,ya);如图所示,以地桩的重心为坐标原点,设备列车与地锚法向碰撞力Fn,切向碰撞力Fε,设备列车前进方向与x轴的夹角为α,因为设备列车侧面为平面,所以列车前进方向与碰撞点处的切向方向相同,如图5所示。

图5 设备列车碰撞
Fig.5 Collision of equipment train

在碰撞力F作用下,设备列车的运动方程可表达为:

(7)

式中,分别为法向、切向线加速度;为绕重心的角加速度;mn为法向运动的附加质量系数;mε为切向附加质量系数;ja为绕重心转动的附加惯性矩系数;Ra为绕重心的惯性半径。

则设备列车的运动加速度为:

(8)

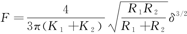
根据Hertz接触碰撞理论[19-20],可知碰撞力F为:

(9)

式中,K1K2分别为两物体的接触刚度;R1R2分别为两物体碰撞处的曲率半径;δ为变形量。

由于地锚始终是静止状态,故碰撞前后的速度始终为0,碰撞开始(t=0),设备列车的速度为:

(10)

碰撞后(t=T),地锚与设备列车相互黏在一起,成静止状态,不产生相互作用力,故:

VT=0

(11)

由冲量定理可知设备列车与地锚相互作用的时间为:

FΔt=MV0-MVT

(12)

(13)

4 交替循环自移轨道式液压支架设计及虚拟试验

4.1 液压支架三维模型

根据转向机构以及设备列车碰撞模型的计算分析,设计了如图6所示的自移轨道式液压支架,其主要组成部分为:步进结构、举升撑顶结构、防侧倾结构以及转向结构。步进结构包括底座、左右轨道、步进油缸、抬底千斤顶;举升撑顶结构安装在底座上,包括前连杆、后连杆、掩护梁、顶梁以及双伸缩立柱,各部件之间使用销轴铰接;转向结构安装在支架的前后两端,分为前转向和后转向机构,前、后转向机构各有1个转向箱体、2个转向压紧千斤顶以及1个转向油缸。

图6 自移轨道式液压支架
Fig.6 Self-moving orbit hydraulic support

4.2 虚拟试验运动轨迹分析讨论

将支架和设备列车三维模型导入ADAMS进行仿真,通过仿真分析得到如下2组自移轨道式液压支架关键点的路径轨迹图。图7所示为支架原地旋转AC两点所形成的路线轨迹。图8所示为支架带动设备列车在直角巷道内转弯AB两点的路线轨迹。

图7 自移轨道式液压支架原地旋转
Fig.7 In-situ rotation of self-moving rail type hydraulic support

图8 自移轨道式液压支架带动设备列车直角转弯
Fig.8 Self-moving rail type hydraulic support drives equipment train to quarter turn

图7中横移代表支架左右朝向坐标,纵移代表支架前后朝向坐标;图7a为A点原地旋转时在地面形成的轨迹路线,以旋转基点C为圆心,半径为AC两点之间距离的轨迹半圆,约为2 700 mm;B点轨迹与A点相似,也是以旋转基点C为圆心,以BC两点之间的距离为半径,因在原地旋转时B点的旋转方向与A点相反,故两者的半圆开口方向相反。图7b中C点路线轨迹是半径约为30 mm的轨迹半圆,说明原地旋转时C点的位置每次都会有所变化,只是变化的幅度较小。

图8中横移x代表支架在原直行巷道中的坐标,纵移y代表支架在转弯直角中的坐标;图8a是A点轨迹路线,因A点在支架前端,距离旋转基点D最远以及支架在转弯过程中需要靠步进油缸改变行程来调节支架方向,故每次转向油缸工作之后A点的偏转幅度较大,所以其轨迹路线曲折程度最大;图8b是B点的轨迹路线,从图中也可看出B点的转弯曲率半径约为1 000 mm,轨迹路线与弯道形似;C点位于支架中心位置,形状与B点轨迹相似。

对比自移轨道式液压支架原地旋转和带动设备列车转弯的两组轨迹路线图可知,原地旋转时,前、后转向油缸及每次工步的行程都相同,所以ABC三点的轨迹路线都是光滑的曲线;而带动设备列车转弯时,只有前转向油缸工作推动支架旋转,可通过改变每次前转向油缸和步进油缸工作的行程调节支架方向,使其更好地带动设备列车通过弯道。

图9为2号设备列车与地锚相碰撞时的碰撞力变化情况,1、3号车与地锚相碰撞时,因其他外界因素的影响导致碰撞力不稳定,偏差较大,不能很好反映列车与地锚的碰撞情况;从图中可以看出两者相碰撞的时间很短只有0.6 s左右;相碰撞时力瞬间上升到最高120 000 N,随着碰撞时间的推移碰撞力逐渐下降,平均碰撞力为60 000 N左右。

图9 设备列车与地锚碰撞力
Fig.9 Collision force between equipment train and ground anchor

图10为2号设备列车与地锚碰撞时对应的列车速度变化情况,设备列车与地锚碰撞平均速度约450 mm/s,两者分离之后,列车速度有一瞬间达到最高650 mm/s,列车也依然向前行驶了一段距离。

图10 设备列车碰撞速度
Fig.10 Equipment train collision speed

5 结 论

1)设计了一种交替循环自移轨道式液压支架,通过仿真试验,说明该支架能够实现设备列车在巷道内的弯道转向,具有重要的实际意义。

2)支架原地旋转只需保持转向油缸的行程一致,即可实现支架原地旋转;带动设备列车转弯过程中,需要在每一步转向步进中改变转向油缸和步进油缸的活塞杆伸缩行程来,微调自移轨道式液压支架的方向,使其能安全的通过弯道。

3)该型液压支架带动设备列车按照既定轨迹强制转弯可通过支架轨道、设备列车与巷道底板地锚碰撞实现,与地锚的平均碰撞力约为60 000 N,平均速度约为450 mm/s。

参考文献(References):

[1] 元瑞斌.移动设备列车在综采工作面的应用[J].能源与节能,2016(7):120-122.

YUAN Ruibin.Application of mobile equipment train in fully mechanized coal mining face[J].Energy and Energy Conservation,2016(7):120-122.

[2] 尚国银.设备列车弯道设计在综采工作面布置中的应用[J].煤炭技术,2015,34(6):26-28.

SHANG Guoyin.Application of train curve design in layout of equipment in fully mechanized mining face[J].Coal Technology,2015,34(6):26-28.

[3] 何威杰.高产高效综采面设备列车的优化布置[J].陕西煤炭,2018,37(4):98-100.

HE Weijie.Optimal layout of equipment train in high yield and high efficiency fully mechanized mining face [J].Shaanxi Coal,2018,37(4):98-100.

[4] 杨 德.综采工作面设备回撤的研究[J].山西煤炭,2015,35(3):70-72.

YANG De.Research on equipment withdrawal in fully mechanized coal face[J].Shanxi Coal,2015,35(3):70-72.

[5] 石 涛.回撤巷道四柱支撑掩护式液压支架的应用[J].煤矿机械,2020,41(5):146-148.

SHI Tao.Application of four-column support shielded hydraulic support for retracing roadway[J].Coal Mine Machinery,2020,41(5):146-148.

[6] 董 浩,李 勇,刘继德.综采工作面设备多通道快速回撤技术[J].煤矿开采,2011,16(6):27-29,96.

DONG Hao,LI Yong,LIU Jide.Fast multi-roadway dismantling technology of full-mechanized mining face [J].Coal Mining Technology,2011,16(6):27-29,96.

[7] 王 臻.综采工作面设备列车回撤方案研究[J].山东煤炭科技,2017(11):28-29,32.

WANG Zhen.A study on the retracement plan of the equipment train of fully mechanized working face [J].Shandong Coal Science and Technology,2017(11):28-29,32.

[8] 姚世林.大倾角综采拆除工作面回撤通道无轨活动式液压支架滑行板研制与应用[J].价值工程,2017,36(10):93-94.

YAO Shilin.Development and application of trackless hydraulic support slide plate in the retrace channel of large-angle fully mechanized mining removal face [J].Value Engineering,2017,36(10):93-94.

[9] 马守富.大倾角综采工作面利用空巷下行回撤技术[J].煤炭科学技术,2018,46(S1):115-118.

MA Shoufu.Technology of downward withdrawals by use of abandoned roadway in large dip angle fully-mechanized coal mining face [J].Coal Science and Technology,2018,46(S1):115-118.

[10] 唐忠亮,黄 凯,沈 蓥.极复杂条件下伪俯斜综采支架回撤技术[J].煤炭科学技术,2015,43(S1):10-12.

TANG Zhongliang,HUANG Kai,SHEN Ying.Technology pseudo-inclined fully-mechanized support withdrawing under complicated conditions[J].Coal Science and Technology,2015,43(S1):10-12.

[11] 杨玉亮,徐祝贺,李永明.特厚煤层综放工作面液压支架回撤工艺研究[J].煤炭科学技术,2016,44(11):51-55.

YANG Yuliang,XU Zhuhe,LI Yongming.Research on hydraulic supports withdrawing technique in fully-mechanized mining face with sublevel caving with extra-thick coal seam[J].Coal Science and Technology,2016,44(11):51-55.

[12] 倪先杰,许东明,年福田,等.复杂条件下回采工作面快速回撤技术[J].煤炭科学技术,2018,46(S2):19-24.

NI Xianjie,XU Dongming,NIAN Futian,et al.Technology of working face retracting rapidly under complicated conditions[J]. Coal Science and Technology,2018,46(S2):19-24.

[13] 郭继圣.综采工作面巷道超前液压支架选型设计及展望[J].煤炭科学技术,2016,44(11):30-35.

GUO Jisheng.Selection design and outlook on advanced hydraulic powered support of gateway in fully-mechanized coal mining face[J].Coal Science and Technology, 2016,44(11):30-35.

[14] 牛清娜,杨立洁,尹冬晨.基于ADAMS的液压支架四连杆机构优化设计[J].煤矿机械,2017,38(3):156-157.

NIU Qingna,YANG Lijie,YIN Dongchen.Optimized design on four linking bar mechanism of hydraulic support based on ADAMS [J]. Coal Mine Machinery,2017,38(3):156-157.

[15] PREBIL I, KRASNA S, CIGLARICI. Synthesis of four-bar me-chanism in a hydraulic support using a global optimization algorithm[J].Structural and Multidisciplinary Optimization,2002,24(3):246-251.

[16] ZHANG Qiang, ZHANG Jixiong, QI Wenyue,et al. Structure optimal design research on backfill hydraulic support[J]. Journal of Central South University,2017,24(7):1637-1646.

[17] 曾庆良,戴汉政,张鑫.基于ADAMS的大倾角液压支架四连杆优化设计[J].煤炭科学技术,2009,37(1):36-38.

ZENG Qingliang,DAI Hanzheng,ZHANG Xin.Optimized design on four linking bar of hydraulic powered support for high inclined seam based on ADAMS[J]. Coal Science and Technology,2009,37(1):36-38.

[18] 王 宁.船桥碰撞理论及有限元数值仿真研究[D].重庆:重庆交通大学,2009.

WANG Ning.Ship-bridge collision theory and study on finite element numerical simulation [D].Chongqing:Chongqing Jiaotong University,2009.

[19] 黄书伟.自动武器冲击碰撞动力学精确建模技术[D].太原:中北大学,2018.

HUANG Shuwei,The precise modeling technology for impact collision dynamics of automatic weapons[D].Taiyuan:North University Of China,2018

[20] 赵 洋,华一雄,张执南,等.基于Hertz接触理论的叶片-机匣碰摩模型[J].上海交通大学学报,2019,53(6):660-664.

ZHAO Yang,HUA Yixiong,ZHANG Zhinan,et al.A new Blade-casing rubbing model based on Hertz Contact Theory [J].Journal of Shanghai Jiao Tong University,2019,53(6):660-664.

Analysis of steering path of given trajectory of self-moving orbital hydraulic support

LI Guohua,ZHANG Hong,CHEN You,ZHANG Zhihong,FU Zheng,SUN Xiaojuan

(School of Mechanical Engineering,Taiyuan University of Science and Technology,Taiyuan 030024,China)

Abstract:In order to solve the problem of different steering of trains in the coal mine roadway equipment,an alternate cycle self-moving rail-type hydraulic support suitable for roadway curve steering was designed. The working principle of the self-moving rail-type hydraulic support for turning in corners was discussed; Through the qualitative analysis of the two working conditions of the support itself,rotating the head in place and driving the equipment train to turn in the narrow tunnel,the calculation formula of the steering physical model was established,and the changes of movement position of the key points of the self-moving orbital hydraulic support in the working cycle of the steering cylinder were studied. In order to make the equipment train turn in accordance with the given track,ground anchors were installed on the floor of the roadway,and the collision motion state expression of the support orbit,equipment train and ground anchor were constructed; The virtual simulation test of the kinematic characteristics of the self-moving orbit hydraulic support under two working conditions of turning was carried out by using ADAMS. The research results show that the change of the working state of the steering cylinder causes the change of the rotation base point. When the support rotates in situ,the base point C is taken as the center of the circle,and the distance between points AB and C are taken as the radius to form a semicircle trajectory on the bottom plate. The in-situ rotation only needs to keep the stroke of the steering cylinder consistent to realize the in-situ rotation of the bracket. In the process of driving the equipment train to turn,it is necessary to change the telescopic stroke of the steering cylinder and the piston rod of and the stepping cylinder in each steering step,to fine tune the direction of the self-moving orbit type hydraulic support,the trajectory curvature radius of point B is about 1 000 mm,the average collision force between the equipment train and ground anchor is about 60 000 N,and the average speed is about 450 mm/s. The research on the steering track route of the support provides an effective solution and method for the rapid turning of the equipment train in the fully mechanized working face of coal mine.

Key words:hydraulic support; self-moving orbit; steering; collision; trajectory route

中图分类号:TD525

文献标志码:A

文章编号:0253-2336(2022)08-0220-07

移动扫码阅读

李国华,张 宏,陈 有,等.自移轨道式液压支架既定轨迹转向路径分析[J].煤炭科学技术,2022,50(8):220-226.

LI Guohua,ZHANG Hong,CHEN You,et al.Analysis of steering path of given trajectory of self-moving orbital hydraulic support[J].Coal Science and Technology,2022,50(8):220-226.

收稿日期:2021-12-20

责任编辑:周子博

DOI:10.13199/j.cnki.cst.2020-0963

基金项目:国家自然科学基金资助项目(52075355);山西省自然科学基金资助项目(201701D121069)

作者简介:李国华(1995—),男,江西吉安人,硕士。E-mail:973504807@qq.com

通讯作者:张 宏(1970—),男,山西太原人,教授,博士。E-mail:hexie007@163.com