
我国煤炭资源丰富,目前是世界第一采煤大国,但煤炭开采过程中资源损失率较高。据不完全统计,我国因留煤柱而造成的煤炭资源损失率为30%~40%[1]。煤炭开采过程留设大煤柱不仅造成煤炭资源的浪费,而且因留煤柱而产生的应力集中区,给邻近工作面的开采以及巷道围岩控制等产生不利的影响[2-4]。沿空留巷技术是一种无煤柱开采技术,不仅可以有效提高煤炭采出率,延长矿井服务年限,而且每个工作面可以少掘一条巷道,有效缓解采掘接替紧张的问题。沿空留巷技术可以消除应力集中的煤柱和孤岛工作面,减少冲击矿压的发生。同时,工作面可以实现Y型通风,减少瓦斯积聚等[5-8]。我国自20世纪50年代开始研究和应用沿空留巷技术,在巷旁支护结构形式、巷旁充填材料等方面取得了显著进展,已在埋深较浅的薄及中厚煤层矿井中成功应用[9]。先后形成了矸石墙、密集支柱、木垛、矸石带以及巷旁充填(矸石充填、高水充填、膏体充填等)等多种形式的巷旁支护结构[10]。提出了木棚、工字钢梯形棚架、U型钢可缩性棚架、锚杆支护以及锚梁网索联合支护等巷内支护形式[11-12]。随着浅部煤炭资源日益枯竭,煤炭深井开采越来越多,在深部复杂条件下进行沿空留巷仍存在一些困难,例如,沿空巷道剧烈的矿压变化、巷道围岩大变形,实体煤帮易冲击,以及留巷采空区漏风和瓦斯积聚等问题。这些因素是制约沿空留巷技术在煤炭深井开采进程中的重要原因[13]。
因此,从国家能源储备和煤矿自身的可持续发展2方面来看,深入研究和实践深井工作面沿空留巷围岩控制原理与技术具有重要的战略价值与实际意义。笔者以新巨龙深井矸石充填开采工作面沿空留巷为工程背景,探讨深井矸石充填工作面矿压显现规律与留巷原理,并提出深井矸石充填工作面沿空留巷支护技术。
深井工作面埋深大、地应力高,回采时矿压显现剧烈是造成沿空留巷困难的主要原因。如何缓解剧烈的矿压显现和控制沿空留巷围岩稳定是深井工作面沿空留巷必须解决的关键问题。深井工作面矿压显现剧烈的根源在于高地应力和采动引起的剧烈覆岩运动。采场地应力是由工作面埋深和长期的地质演变决定的,大范围解除采场地应力比较困难。但是,通过控制和利用覆岩破断、移动形成的覆岩结构,可实现工作面侧向沿空留巷局部区域的应力卸载,为沿空留巷创造低应力的力学环境。同时,通过合理的技术手段控制采场覆岩剧烈移动,减轻应力扰动,从而实现深井沿空留巷围岩的稳定。
采场覆岩移动规律与岩层结构、岩性和采场回采空间密切相关。采场空间由工作面长度和采高2个维度组成。工作面长度对侧向支承压力峰值的影响有限[14]。但是,工作面采高越高,上覆岩层垮落、破断和下沉范围越大,应力调整过程中形成的侧向支承压力就越大[15]。因此,采用矸石对深井工作面后方采空区进行充填,减小工作面等效采高是缓解深井综采工作面剧烈矿压显现的有效途径[16-17]。图1为新巨龙煤矿1302N-1矸石充填工作面液压支架阻力1个月的变化情况。该工作面埋深767~806 m,煤层平均厚度3.2 m,平均倾角11°,工作面倾斜长度94 m,采用矸石充填综合机械化采煤。1302N-1工作面共66台液压支架,从回风平巷到运输平巷0~66依次编号后划分为3个区域,取每个区域内液压支架工作阻力平均值。

图1 液压支架平均工作阻力
Fig.1 Average working resistance of hydraulic support
可以看出3个区域内液压支架工作阻力均在支架额定工作阻力范围内,没有出现应力剧增的情况。说明矸石充填能有效缓解深井工作面剧烈的矿压显现。深井工作面采用矸石充填采空区,不仅能够缓解剧烈的矿压显现,而且能够消化井下矸石,是减少矸石提升成本和地表矸石污染的重要技术手段。
采空区顶板沉降规律直接影响沿空留巷围岩的稳定。矸石充填工作面顶板沉降一方面受开挖空间和基本顶岩层的控制,另一方面受充填矸石和直接顶垮落矸石承载特性的影响。图2为1302N-1矸石充填工作面采空区顶板沉降特征曲线。

图2 采空区顶板沉降特征
Fig.2 Characteristic of roof subsidence in goaf
从顶板沉降整体趋势来看,深井矸石充填工作面采空区覆岩呈阶梯式下沉。在顶板进入采空区40 m处和80 m处,顶板沉降速度均有突然增大。顶板最大沉降位移接近1 m。说明采空区覆岩发生了分次垮落的,基本顶垮落步距约40 m。但是相对于3.2 m的采高,不到1 m的沉降值说明充填矸石有效限制了采空区覆岩的破断、下沉。图3为1302N-1矸石充填工作面采空区矸石承载力特征曲线。

图3 采空区矸石承载特征
Fig.3 Characteristic bearing capacity of gangue
可以看出,采空区矸石承受的载荷呈“S型”增长。测点进入采空区后初期承受的载荷较小,随后逐渐增大,最后持续稳定。说明采空区矸石在初期承载能力较小,矸石处于调整、滑移阶段。随着工作面推进,顶板持续下沉,矸石承载能力快速增加。采空区矸石进入压实承载阶段。当顶板沉降到一定程度后,矸石承受的载荷趋于稳定。此时,采空区矸石处于稳定承载阶段。在矸石稳定承载阶段,新的承载结构逐渐形成,采空区覆岩达到新的平衡。受到采空区充填矸石的限制,基本顶下沉量减小,基本顶之上覆岩的破断、运动受到限制,并逐渐稳定。
深井工作面煤体采出后形成的自由空间由采空区上方岩层垮落充填。因此,传统垮落法开采时,采空区会形成垮落带、断裂带和弯曲下沉带“三带”覆岩移动特征。在大采高、强采动条件下,覆岩移动异常活跃,留巷围岩在应力扰动反复作用下产生弱化。如果采用矸石及时充填采空区,在充填矸石充实率较高、接顶较好时,采空区覆岩顶板仅具有断裂带和弯曲下沉带“两带”分布特征,充填矸石将替代原覆岩垮落带[18]。非密实充填则减小了等效采高,使得垮落带和断裂带范围减小。
深井矸石充填工作面沿空留巷是利用矸石充填采空区后上覆岩层不发生剧烈破断、运动。但是,充填矸石增阻慢、压缩变形量大,充填高度和夯实程度难以保证矸石密实充填。因此,采空区矸石充填为非密实充填,当工作面推进距离达到基本顶极限跨距后,基本顶发生破断、回转和触矸。同时,引起基本顶控制的上覆岩层同步下沉。基本顶垮落后,在采空区侧向形成“悬臂梁”结构,其“悬臂”长度随着垮冒岩层高度的增加而增加。上覆岩层每一次垮落产生的应力扰动对沿空留巷围岩的稳定产生影响。上部跨落岩层距离煤层越远,该岩层垮落造成的扰动影响逐渐减小。基本顶岩层破断产生的厚大岩块在回转、下沉过程中相互挤压、咬合,再次形成相对稳定的“砌体结构”[19-20]。沿空留巷围岩稳定性主要受基本顶破断、运动形成的这种覆岩结构控制。基本顶破断和再次形成的覆岩结构如图4所示。

图4 顶板破断结构模型
Fig.4 Broken structure model of roof
基本顶破断后形成的覆岩结构中,回转下沉的三角块体和侧向悬臂梁对沿空留巷围岩稳定性影响最大。三角块体决定了基本顶覆岩结构的稳定。侧向基本顶悬臂梁之下则是应力卸载区,这是进行深井高应力条件下沿空留巷的力学基础。建立基本顶破断后再次形成的力学结构模型如图5所示。

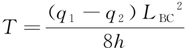
q1—岩块B、C上的载荷集度;q2—采空区矸石支 撑岩块B、C的应力;q3—留巷结构对岩块A的支撑力; qx—侧向基本顶承载的覆岩载荷
图5 顶板二次稳定结构模型
Fig.5 Secondary stable structure model of roof
侧向悬臂梁A的稳定受到岩块B和C所传递的水平推力影响。如果岩块B、C铰接结构不稳定,则岩块A更容易发生断裂和回转,造成留巷围岩失稳。
基本顶破断后岩块B、C可能发生2种失稳形式,即剪切滑移破坏的滑落失稳和挤压破坏的变形失稳。根据三铰拱平衡原理,使岩块B和岩块C保持平衡的水平推力T为:
(1)
式中:q1为岩块B、C上的载荷集度,MPa;q2为采空区矸石支撑岩块B、C的应力,MPa;LBC为跨距,m;h为基本顶厚度,m。
可以看出,基本顶破断结构上部覆岩载荷q1越小,采空区矸石支撑应力q2越大,使岩块B、C达到平衡的水平推力T就越小,基本顶破断结构就越稳定,反之,则越容易失稳。
工作面刚推过时,采空区矸石的支撑作用还很小,岩块内的剪切力达到最大为
(2)
当基本顶岩块刚度较大,没有发生局部挤压破坏时,剪切力小于或等于岩块摩擦力,岩块B、C才能保持稳定,则承载结构保持平衡的条件为:
Rmax≤Ttan φ
(3)
式中,φ为基本顶岩层内摩擦角,(°)。
(4)
根据式(4)可知岩块B、C是否发生滑落失稳,主要由受到基本顶厚度与岩块断裂跨度影响。基本顶厚度越大、跨度越小,基本顶破断结构抗滑落失稳能力越强。
如果岩块在局部应力集中处挤压破坏,则岩块B、C不发生变形失稳的条件[15]为:
(5)
式中:Δ1为岩块B的回转下沉量,m;n为基本顶岩层抗压强度与抗拉强度之比;K=1/2~1/3;K′为基本顶岩层挤压强度与抗压强度之比。
根据式(5)可知,基本顶破断后二次形成的结构稳定性与基本顶厚度、强度以及基本顶下沉量相关,基本顶厚度越大,抗压强度越大,基本顶下沉量越小,基本顶破断结构抗变形失稳能力越强。因此,采空区充填矸石充填高度越高、密实度越好,则基本顶越快触矸,基本顶下沉量越小,基本顶破断后形成的二次结构越稳定。
悬臂梁A上的载荷Fx为
Fx=
qxdx-q3-Ttan θ1
(6)
式中:LA为悬臂梁跨距,m;θ1为B岩块回转角,(°)。
根据式(6)可以看出,在覆岩承载结构保持稳定性的条件下,悬臂梁上的载荷受到上覆岩层的载荷、悬臂梁跨度以及下部直接顶的支撑应力影响。上覆岩层载荷集度越小、悬臂梁跨度越小、基本顶下部岩层支撑应力越大,则悬臂梁越稳定。因此,通常采用定向爆破切顶和密集刚性支柱切顶等方式进行切顶减小悬臂梁跨度。同时,增加巷旁结构的刚度和强度来保持直接顶对基本顶的支撑应力,从而实现悬臂梁A的稳定。
工作面推过后,采空区上覆岩层自下而上发生破断、垮落。在采空区四周边界,形成“悬臂梁”式覆岩结构。上覆岩层载荷向采空区四周边界转移,形成超前支承压力和侧向支承压力。在垂直方向上,侧向边界上的“悬臂梁”覆岩结构承载了上覆岩层转移的大部分载荷,并通过直接顶传递至沿空巷道围岩。在水平方向上,侧向支撑压力峰值向侧向实体煤深部转移。采空区侧向形成倒梯形承载区或楔形承载区[21],如图6所示。

图6 沿空留巷围岩承载结构
Fig.6 Bearing structure of surrounding rock of gob-side entry retaining
在侧向支承力扰动作用下,该承载区岩体逐渐弱化,承载能力逐渐降低,倒梯形承载区范围随着侧向支承压力转移和上覆岩层的破断、垮落而不断增大。在覆岩垮落至主关键层时倒梯形承载区范围达到最大。充填工作面由于等效采高减小,采空区覆岩垮落范围有限,有效缓减小了转移至采空区边界煤体上的力。沿空留巷的倒梯形承载区范围主要为基本顶以下的直接顶围岩。上覆岩层作用力由基本顶传递给直接顶,沿空留巷形成了巷旁支撑结构,直接顶由于不同支撑结构的作用,应力重分布形成“应力双峰”效应[22]。实体煤帮侧围岩承载了大部分上覆岩层载荷,采空区侧巷旁支护体承载了小部分载荷。同时,通过应力传递,沿空巷道底板围岩承受实体煤帮和巷旁支护结构传递下来的非均匀载荷作用。
基于沿空留巷围岩应力分布规律和现场调研发现深井沿空留巷围岩表现出如下特征,如图7所示。

图7 沿空留巷围岩变形特征
Fig.7 Deformation characteristics of surrounding rock in gob-side entry retaining
1)巷道顶板易破碎。巷道直接顶围岩处于“倒梯形承载区”,是传递上覆岩层应力的主要区域。沿空留巷巷道顶板受相邻2个工作面回采扰动影响,顶板围岩急剧弱化,巷道顶板极易破碎、垮落。加之巷道两帮支撑阻力不一致,顶板围岩“易破碎”难以自稳。
2)巷旁支护结构大变形。沿空留巷巷旁支护体在基本顶悬臂之下主要受直接顶重力作用。直接顶上存在一个较小的应力峰值,矸石墙体作为巷旁支护结构时,由于矸石受压缩时具有分级蠕变特性,在受载时累积变形量大。在直接顶载荷作用下,矸石墙在垂直方向被压缩后,在侧向产生较大的鼓帮。
3)实体帮围岩易冲击。在深井工作面沿空巷道实体煤帮,由于埋深大,且受到相邻工作面支承压力叠加作用,实体煤帮围岩内应力集中,即存在一个很大的应力峰值,如果实体煤帮围岩具有冲击倾向性,则沿空巷道实体煤帮区域容易发生冲击地压危险。
4)底板围岩变形非均匀。煤系地层中,煤层底板相对软弱,在高水平应力作用下容易产生底板围岩塑性流动或底板岩层断裂。由于留巷墙帮和实体煤两帮传递到底板的载荷差异较大,这种非均匀应力必然导致沿空留巷巷道底板非均匀的变形,容易形成“压剪流动性”底鼓。
根据前文中深井工作面沿空留巷围岩的应力与变形特征分析,得到深井矸石充填工作面沿空留巷围岩控制基本原理如下:
1)留巷顶板围岩超前支护、强力护表、深部锚固。在工作面回采之前加固沿空巷道顶板围岩,顶板浅表区域强力支护,保持顶板完整。在工作面回采前,对沿空留巷顶板施加初次支护,形成梁式承载结构,使得巷道顶板能够自稳。留巷后进行加强支护,确保沿空巷道顶板在下区段工作面回采期间保持稳定。
2)巷旁支护结构合理宽度、侧向约束、协同承载。在矸石墙宽度合理条件下,控制巷旁矸石墙鼓出,实现柱-墙协同承载。采用矸石墙和柱式支撑结构共同作为巷旁支护结构,在矸石墙堆砌过程中采用穿墙锚杆+金属网+钢带等支护结构约束矸石墙的侧向变形,并通过施加一定的预紧力,提高矸石墙承载能力并尽快承载。在沿空留巷时,顶板载荷首先由立柱支撑,随着矸石墙压缩量增大,其承载能力增加,逐渐达到立柱与矸石墙协同承载。
3)留巷实体煤帮卸荷载、防冲击、控帮鼓。虽然沿空巷道大部分围岩都在基本顶破断形成的大结构下。但在实体煤帮围岩内应力集中,存在峰值应力,在采动影响下容易产生实体煤帮大变形。如果实体煤帮具有冲击倾向性,则需防治实体煤帮的冲击危险。可采用变直径钻孔卸压预防深井沿空留巷煤帮冲击破坏。
4)留巷底板围岩高应力深部转移。转移峰值应力,减少底板非均匀变形。由于沿空巷道两帮围岩传递下来的应力呈非均匀分布,加上巷道底板围岩强度低,容易造成底板的挤压鼓出破坏。实体煤帮传递的应力明显较大,因此,通过对实体煤帮钻孔,将实体煤帮浅表围岩中的高应力向煤体深部转移,从而减少沿空巷道底板的非均匀鼓出。基于深井矸石充填工作面沿空留巷围岩控制原理可知沿空留巷巷道支护设计时需遵循先固顶→再护帮→后护底的支护原则。
新巨龙2305S-2号矸石充填工作面位于-810水平二采区南翼,工作面走向长度239 m,倾斜长度120 m,埋深920~974 m。2305S-2号充填工作面主采3号煤,3号煤分为3上煤和3下煤,3上煤厚2.3~3.9 m,平均3.06 m。3下煤厚3.0~6.0 m,夹矸厚3.9~19.3 m。3上煤为稳定煤层,倾角7°~10°,平均8°,普氏系数f=1.59。2305S-2号充填工作面采用单一走向长壁综合机械化充填采煤。采用井下煤矸分离系统将煤和矸石分离,矸石通过专用充填液压支架和刮板输送机进入工作面充填采空区。
工作面采用矸石袋垒设隔离墙+钢管混凝土立柱作为巷旁支护结构进行沿空留巷。矸石袋交错垒设,确保袋子之间充分搭茬,保证隔离墙垒设密实。矸石墙厚3.0 m,隔离墙两侧挂设金属网和W钢带,隔离墙内预留长3.5 m锚杆用于锁紧矸石墙。距隔离墙0.5 m处沿巷道走向设置钢管混凝土立柱,立柱间距为2.0 m。采用直径159 mm,壁厚6 mm的无缝钢管,两端封堵后采用抬升灌注法注满水泥,钢管混凝土柱的高度为3.8 m。同时,在支设钢管混凝土立柱时,立柱上方垫设高0.2 m的方木接顶,达到让压的目的,如图8所示。

图8 沿空留巷巷旁支护结构
Fig.8 Side support structure ofgob-side entry retaining
1)沿空巷道巷道超前支护。沿空留巷巷道为2305S-2号工作面下平巷,主要作为进矸、进风,辅助运料、行人,通过沿空留巷作为下区段的回风平巷。巷道净宽4.8 m,净高4.0 m,净断面19.2 m2。顶板和上帮采用锚杆+W钢带+钢筋网支护,下帮采用锚杆+锚带+塑料网支护。锚杆为ø22 mm×2 500 mm无纵筋螺纹钢树脂锚杆。在矸石墙垒设后,在滞后支架尾梁5 m处对预留锚杆进行张拉(张拉力≥20 kN)。在滞后支架尾梁20 m处对锚杆进行二次张拉(张拉力≥50 kN)。强化矸石墙在侧向方向的约束,促使矸石墙尽快承载。
2)沿空留巷帮顶加强支护。进行沿空留巷前,巷道顶板采用ø21.8 mm×6 300 mm高预应力锚索进行加强支护。锚索布置在巷道顶板钢带之间。锚索预紧力应控制在80~100 kN。沿空留巷后,采用注浆锚索进行加强支护,注浆锚索布置在2排超前锚索中部,注浆锚索长度6 300 mm。注浆孔设置在注浆锚索中部,端部采用3根树脂药卷锚固,最小锚固长度不小于1.5 m。注浆锚索安装完毕,根据顶板裂隙发育情况,滞后工作面一定距离(30~50 m)进行注浆,强化顶板围岩。
在矸石墙内离地高度分别为2 m和3 m处安装2个顶板离层仪,监测矸石墙的膨胀变形量。同时,在石墙中安装2个压力盒(1、2号),压力盒间距0.8 m,距底板1.0 m,安装深度1.5 m,对矸石墙体受压压力进行实时监测,如图10所示。

图9 矸石墙膨胀变形
Fig.9 Expansion deformation of gangue wall

图10 矸石墙承载
Fig.10 Bearing of gangue wall
在离底板2 m处测点的变形量在监测前40 d内缓慢增长,在40 d时突然增大,随后趋于平稳。在离底板3 m处测点的变形量在监测前40 d内快速增长,在监测至40~90 d时变形增长变缓。在监测至90~110 d时变形再次加速增长,随后再次变缓,呈现台阶式增长规律。相比而言,离底板3 m处的变形量更大,且增大趋势更显著。矸石墙内的2个压力测点均表现出了台阶式增长特征,其中,2号测点还出现了应力减小的情况。不同高度的测点变形量差异性较大,说明矸石墙不同高度的膨胀变形不均匀。矸石墙台阶式膨胀变形特征说明矸石墙受力后,墙内矸石发生了破碎、调整,使得矸石墙内应力传递也具有台阶式的变化特征。整体上看矸石墙具有分级承载的特性。因此,需要加强矸石墙侧向约束,优化矸石级配甚至注浆强化以保证矸石墙快速、稳定承载。
在距开切眼前方50 m处的顶板锚索安装传感器,对顶板锚索的应力变化进行监测,结果如图11所示。从矸石墙到实体煤帮的顶板锚索分别编号为1、2、3号对应3个数据传输通道。

图11 锚索锚固力变化
Fig.11 Force changes of anchor cable
根据监测数据,沿空巷道顶板锚索最大作用力分别为221.2、233、233 kN,分别在距工作面19.8、30、42 m时达到最大值,矸石墙侧1号锚索受力达到最大值后急剧下降,顶板中部2号锚索受力达到最大值后持续12 d后开始下降,实体煤侧3号锚索受力达到最大值后保持稳定。说明沿空留巷巷道顶板靠近矸石墙一侧下沉量大,实体煤帮一侧顶板下沉量较小,验证了前文中覆岩顶板的回转下沉规律。由于锚索延伸率不足,在矸石墙一侧的顶板锚索拉断失效。因此,需要进一步限制直接顶在矸石墙一侧的下沉变形,同时,在矸石墙一侧应当选用具有一定延伸率的锚索,实现顶板围岩与锚索支护协同变形和共同承载。
新巨龙2305S-2号矸石充填工作面自开切眼向前推进100 m后,距离开切眼50 m处沿空留巷围岩的变形情况如图12所示。

图12 沿空留巷效果
Fig.12 Effect of gob-side entry retaining
可以看出,采用矸石充填采空区以及“矸石墙+钢管混凝土立柱”作为巷旁支护结构,基本实现了深井矸石充填工作面的沿空留巷目的。沿空留巷巷道的隔离墙与实体煤帮的相对移近量不大,顶板完整性较好,且顶板下沉量不大,但是底鼓量较大,且部分区域硬化后的底板发生破裂。可见,留巷围岩变形量总体上在可控范围内,留巷获得成功,但需要进一步加强底鼓控制。
1)深井综采工作面矸石充填后矿压显现不剧烈,采空区上覆岩层产生阶段性下沉,但是直接顶冒落高度减小。基本顶下沉受限,上部覆岩破断、运动特征不明显。
2)深井矸石充填工作面留巷前采用锚杆+W钢带进行支护,采用矸石墙+钢管混凝土柱作为巷旁支护结构,临时支护采用单体配合铰接顶梁,永久支护采用长锚索+注浆锚索控制顶板实体煤帮,成功实现了深井工作面的沿空留巷。
3)深井沿空留巷矸石墙受载后变形不均匀,矸石墙膨胀变形和承载能力均台阶式增阻特征,在受压承载一定时间后需要强化墙体两侧的约束,以促使矸石墙能够加快承载。
4)沿空留巷巷道顶板下沉不均匀,在矸石墙一侧下沉量大,顶板锚索需具备一定的延伸率,以实现锚索与顶板的协同变形。
[1] 宋振骐. 我国采矿工程学科发展现状及其深层次发展问题的探讨[J]. 隧道与地下工程灾害防治,2019,1(2):7-12.
SONG Zhenqi. Development status of mining engineering discipline in China and discussion on issues of its further[J]. Hazard Control in Tunnelling and Underground Engineering,2019,1(2):7-12.
[2] 何满潮,宋振骐,王 安,等. 长壁开采切顶短壁梁理论及其110工法:第三次矿业科学技术变革[J]. 煤炭科技,2017(1):1-13.
HE Manchao,SONG Zhenqi,WANG An,et al. Theory of longwall mining by using roof cuting shortwall team and 110 method:the third mining science and technology reform[J]. Coal Technology,2017(1):1-13.
[3] 安晓亮. 深井沿空留巷围岩控制技术实践[J]. 煤矿现代化,2018(6):43-45.
AN Xiaoliang. Control technology practice of surrounding rock in deep well gob-stayed roadway[J]. Coal mine modernization,2018(6):43-45.
[4] 高玉兵. 柠条塔煤矿厚煤层110工法关键问题研究 [D]. 北京:中国矿业大学(北京),2018.
GAO Yubing. Study on key issues of 110 mining method used in a thick coal seam:a case study in Ningtiaota Coal Mine[D]. Beijing:China University of Mining & Technology,Beijing,2018.
[5] 华心祝. 我国沿空留巷支护技术发展现状及改进建议[J]. 煤炭科学技术,2006,34(12):78-81.
HUA Xinzhu. Development status and improved proposals on gob-side entry retaining support technology in China[J]. Coal Science and Technology,2006,34(12):78-81.
[6] 张 农,韩昌良,阚甲广,等. 沿空留巷围岩控制理论与实践[J]. 煤炭学报,2014,39(8):1635-1641.
ZHANG Nong,HAN Changliang,KAN Jiaguang,et al. Theory and practice of surrounding rock control for pillarless gob-side entry retaining[J]. Journal of China Coal Society,2014,39(8):1635-1641.
[7] ZHANG Z,YU X,DENG M. Damage evolution of sandy mudstone mechanical properties under mining unloading conditions in gob-side entry retaining[J]. Geotechnical and Geological Engineering,2019(37):3535-3545.
[8] 华心祝,杨 鹏. 深井大断面沿空留巷底板变形动态演化特征研究[J]. 中国矿业大学学报,2018,47(3):494-501.
HUA Xinzhu,YANG Peng. Floor deformation dynamic evolution of gob-side entry retaining with large section in deep mine[J]. Journal of China University of Mining and Technology,2018,47(3):494-501.
[9] 侯公羽,胡 涛,李子祥,等. 切顶高度对巷旁支护沿空留巷稳定性的影响[J]. 采矿与安全工程学报,2019,36(5):924-931.
HOU Gongyu,HU Tao,LI Zixiang,et al. Effect of cutting roof height on the stability of gob-side retaining roadway with roadside support[J]. Journal of Mining and Safety Engineering,2019,36(5):924-931.
[10] HAN C,ZHANG N,XUE J,et al. Multiple and long-term disturbance of gob-side entry retaining by grouped roof collapse and an innovative adaptive technology[J]. Rock Mechanics and Rock Engineering,2018:1-13.
[11] WU B,WANG X,BAI J,et al. Study on crack evolution mechanism of roadside backfill body in gob-side entry retaining based on UDEC trigon model[J]. Rock Mechanics and Rock Engineering,2019:1-15.
[12] 张 农,陈 红,陈 瑶. 千米深井高地压软岩巷道沿空留巷工程案例[J].煤炭学报,2015,40(3):494-501.
ZHANG Nong,CHEN Hong,CHEN Yao. An engineering case of gob-side entry retaining in one kilometer-depth soft rock roadway with high ground pressure[J]. Journal of China Coal Society,2015,40(3):494-501.
[13] MA Z,GONG P,FAN J,et al. Coupling mechanism of roof and supporting wall in gob-side entry retaining in fully-mechanized mining with gangue backfilling[J]. Mining Science and Technology (China),2011,21(6):829-833.
[14] YNAG J,HE M,CAO C. Design principles and key technologies of gob-side entry retaining by roof pre-fracturing[J]. Tunnelling and Underground Space Technology,2019,90:309-318.
[15] 姜福兴,王建超,孙广京,等. 深部开采沿空巷道冲击危险性的工程判据[J]. 煤炭学报,2015,40(8):1729-1736.
JIANG Fuxing,WANG Jianchao,SUN Guangjing,et al. Engineering criterion of gob-side entry rock burst hazard in deep mining[J]. Journal of China Coal Society,2015,40(8):1729-1736.
[16] 孙广京,王 平,冯 涛,等. 深井矸石充填综采工作面覆岩活动规律研究[J]. 采矿与安全工程学报,2020,37(3):562-570.
SUN Guangjing,WANG Ping,FENG Tao,et al. Strata movement characteristics of the deep well gangue filling on the fully mechanized mining face[J]. Journal of Mining and Safety Engineering,2020,37(3):562-570.
[17] 孙广京,朱斯陶,姜福兴,等. 深井特厚煤层工作面强烈动压区安全开采技术[J]. 煤炭学报,2015,40(S1):12-18.
SUN Guangjing,ZHU Sitao,JIANG Fuxing,et al. Safe mining technology at strong dynamic pressure area in deep extra-thick coal seam[J]. Journal of China Coal Society,2015,40(S1):12-18.
[18] 张吉雄,张 强,巨 峰,等. 煤矿“采选充+X”绿色化开采技术体系与工程实践[J]. 煤炭学报,2019,44(1):64-73.
ZHANG Jixiong,ZHANG Qiang,JU Feng,et al. Practice and technique of green mining with integration of mining,dressing,backfilling and X in coal resources[J]. Journal of China Coal Society,2019,44(1):64-73.
[19] HAN C,ZHANG N,RAN Z,et al.Superposed disturbance mechanism of sequential overlying strata collapse for gob-side entry retaining and corresponding control strategies[J]. 中南大学学报(英文版),2018,25:2258-2271.
[20] 谢文兵. 综放沿空留巷围岩稳定性影响分析[J]. 岩石力学与工程学报,2004,23(18):3059-3065.
XIE Wenbing. Influence factors on stability of surrounding rocks of gob-side entry retaining in top-coal caving mining face[J]. Chinese Journal of Rock Mechanics and Engineering,2004,23(18):3059-3065.
[21] 韩昌良,张 农,姚亚虎,等.沿空留巷厚层复合顶板传递承载机制[J].岩土力学,2013,34(S1):318-323.
HAN Changliang,ZHANG Nong,YAO Yahu,et al. Transfer bearing mechanism of thick composite roof in gob-side entry retaining[J]. Chinese Journal of Rock Mechanics and Engineering,2013,34(S1):318-323.
[22] 范德源,刘学生,谭云亮,等.深井中等稳定顶板沿空留巷锚注切顶支护技术研究[J].煤炭科学技术,2019,47(1):107-112.
FAN Deyuan,LIU Xuesheng,TAN Yunliang,et al. Research on bolting and cutting support technology for moderately stable roof of gob-side entry retained in deep mine[J]. Coal Science and Technology,2019,47(1):107-112.