
随着我国矿井开采深度和强度的不断增加,由复杂应力条件下造成的巷道围岩破坏愈加严重,由此造成的巷道大变形、冒顶、冲击破坏等灾害事故频发,严重威胁着矿井的安全高效生产,特别是近几年,在河南义马、甘肃华亭、陕西彬长等矿区,已有十多个特厚煤层(煤层厚度8~50 m)回采巷道频繁发生严重冲击破坏和支护困难的问题[1-2]。大量现场实践和理论研究均表明,巷道围岩变形破坏的实质是巷道围岩塑性区的形成和扩展,巷道围岩的破坏模式和程度取决于塑性区的形态特征和尺寸大小。因此,研究巷道围岩变形破坏也就可以转化为研究巷道围岩塑性区的形态特征及演化规律[3]。
国内外学者对巷道围岩塑性区的研究开始于20世纪30年代。KASTNER等[4]研究了双向等压条件下圆形巷道塑性区形态,于学馥[5-7]认为巷道塑性破坏区是椭圆形的,并提出了“轴变论”的观点。董方庭等[8]提出了巷道围岩松动圈支护理论,认为围岩松动圈是围岩应力超过围岩强度时所产生的破坏区。随着煤炭开采深度的不断增加,有学者研究发现深部岩体会产生破坏区域和未破坏区域交替出现的现象,将其称为围岩分区裂化现象[9-10]。
20世纪80年代,马念杰[11]、侯朝炯[12]采用数值模拟方法分析非等压条件下巷道围岩塑性区特征,发现巷道围岩塑性区存在“*”形分布特征,并初步探讨了该塑性区形态出现的条件。赵志强[3]重新推导了非等压条件下圆形巷道围岩的塑性区边界方程,将计算得出的非均匀塑性区称为蝶形塑性区,并深入研究了塑性区的形态特征和分布规律。近年来,马念杰团队[13-15]经过不断的研究,将“蝶形塑性区理论”应用于巷道支护设计、瓦斯抽采钻孔布置等方面。
千秋矿位于河南义马煤田中部,并且频繁发生巷道冲击破坏,仅21141工作面回采期间就有24次冲击破坏事件发生在运输巷,占千秋矿统计事件总数的58.5%[16]。掌握厚煤层回采巷道塑性区形态特征及演化规律,可以为煤岩动力灾害防控、巷道支护设计等提供理论依据。基于此,笔者以千秋矿21141工作面运输巷为背景,研究特厚煤层回采巷道塑性区的形态特征及演化规律,为该条件下的巷道围岩破坏机理研究奠定基础。
义马煤田是我国典型的冲击灾害多发区域,其典型特征是煤层上覆岩层为厚度几十至数百米的砾岩,成分以石英岩、石英砂岩为主。千秋矿主采二煤,平均厚度25.2 m,煤层平均倾角12°。二煤上方岩层依次为泥岩、砾岩、粉砂岩、细砂岩互层(厚度约205 m)以及砾岩(厚度约407 m)。
千秋矿21141工作面运输巷发生冲击破坏事故的次数最多。该工作面平均埋深为684 m,倾向长度和走向长度分别为130 m和1 484.7 m,直接底为泥岩(厚度6.2 m),基本底为细砂岩。21141工作面运输巷实际掘进时留有厚度约为2 m的底煤,为半圆拱形巷道,断面尺寸宽×高为6 317 mm×3 800 mm,采用锚网索喷+36U型钢马蹄形全封闭可缩性支架支护。采用放顶煤采煤法,自然垮落法管理顶板。
煤层开采会引起顶板垮落并造成围岩应力的重新分布,从而导致回采巷道围岩区域应力环境产生变化,使得巷道围岩最大主应力方向发生偏转,有时最大主应力与竖直方向会产生夹角,而位于采空区周边的回采巷道在上覆岩层传递的倾斜方向作用力影响下(图1),回采巷道围岩出现非均匀破坏[16-17]。

图1 回采巷道围岩应力环境
Fig.1 Stress environment of mining roadway surrounding rock
处于非均质且各向异性岩体中的回采巷道,从巷道掘进到其服务的工作面回采结束,依次会受到掘进扰动、本工作面采动影响,有时还会受到邻近工作面开采形成的叠加应力场的作用。
为了分析特厚煤层回采巷道围岩塑性区的形态特征,在巷道所处区域取5倍巷道半径作为分离体,建立非等压应力场中圆形巷道围岩力学模型(图2)。分离体的边界条件为:内部几何边界为半径为a的圆形,P1与P3分别为作用在模型边界竖直方向和水平方向上的载荷。由于与原岩应力相比巷道支护力很小,所以内部应力边界忽略不计。

图2 非等压应力场中圆形巷道力学模型
Fig.2 Mechanical model of circular roadway in inhomogeneous stress field
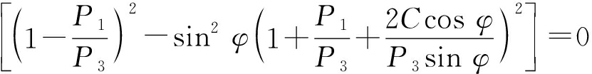
非等压应力场条件下圆形巷道围岩塑性区的边界方程[3,7]为:
![]()
![]()
![]()
![]()
![]()
![]()
(1)
式中:C、φ分别为煤体的黏聚力与内摩擦角;r、θ分别为极坐标。
可以得出,巷道围岩的力学性质(C、φ)及其所处的应力环境(双向载荷比值P1/P3)决定了回采巷道塑性区边界范围。因此,在围岩力学性质一定的条件下,巷道围岩塑性区的形态特征及范围取决于巷道双向载荷比值P1/P3的大小。
当围岩的力学性质相同时,在不同应力条件下,巷道围岩塑性区会呈现出不同的形态特征。在均质条件下,采用理论计算和数值模拟得出的圆形巷道围岩塑性区形态特征如图2所示。由图2可得,在相同双向载荷比值条件下,采用上述2种方法得出的圆形巷道围岩塑性区形态特征基本一致。当双向载荷比值P1/P3=1时,巷道围岩塑性区边界呈规则的圆形,如图3a所示。双向载荷比值P1/P3增加到1.5时,塑性区边界呈椭圆形,并且长轴和P3方向一致,如图3b所示。当双向载荷比值P1/P3达到2.5时,塑性区边界轮廓呈蝶形,塑性区最大尺寸在P1和P3夹角的平分线附近,如图3c所示。

图3 不同双向载荷比值下均质圆形巷道围岩塑性 区理论计算和数值模拟形态特征
Fig.3 Morphological feature of plastic zone of homogeneous circular roadway under different load ratios by theoretical calculation and numerical simulation
已有研究表明[3],蝶形塑性区对巷道围岩最大边界载荷的变化具有方向性。当巷道围岩最大边界载荷的方向发生变化时,塑性区蝶叶位置会随之偏转,如图4所示(图中红色为塑性区)。

图4 蝶形塑性区的方向性
Fig.4 Directivity of butterfly shape plastic zone
结合千秋矿21141工作面煤层顶底板条件,建立大尺寸数值计算模型(图5),长×宽×高为1 000 m×1 550 m×950 m。模型中煤层倾角为12°,沿x轴和y轴正方向分别为工作面的倾向和推进方向。根据地应力测量结果,千秋矿最大水平主应力、最小水平主应力和垂直主应力分别为19.5、10.0、17.9 MPa[18];模型边界条件为:四周均固定水平方向位移,底面固定垂直和水平方向位移,上部为自由面,模型仅受重力作用。数值计算基于Mohr-Coulomb破坏准则。模拟煤层开采过程实行分步开挖,工作面开挖顺序依次为21101工作面、21121工作面、21181工作面、21201工作面和21141工作面(图6),岩石物理力学参数见表1。现场调研发现,在工作面推进400 m时,巷道冲击破坏事故较为严重,因此,在进行数值计算时,21141工作面开挖长度为400 m。

图5 数值计算模型
Fig.5 Numerical calculation model

图6 工作面开挖顺序示意
Fig.6 Numerical simulation on working face mining sequence
表1 各岩层物理力学参数
Table 1 Physical and mechanical parameters of rock strata

岩性密度/(kg·m-3)抗拉强度/MPa体积模量/GPa剪切模量/GPa黏聚力/MPa内摩擦角/(°)砾岩2 6803.598.359.5613.529.6泥岩2 5502.618.177.685.326.5二煤1 4000.752.461.773.025.1细砂岩2 7205.568.659.5616.532.8
由于义马煤田煤层顶板广泛分布着砾岩,该岩层厚度大、完整性好且抗变形能力强,煤层开采后不易破断垮落,从而导致大面积悬顶。这不仅造成采空区周边煤体出现应力集中,而且还使得采空区顶板容易积聚弹性能。已有研究表明,千秋矿煤层顶板砾岩厚度约为600 m,工作面开采后地表沉降量均较小,平均值分别为1.54 m和0.34[19]。因此,在进行数值模拟时,没有考虑工作面开挖后采空区垮落岩体力学特性对采动应力场的影响。
煤层的采出必然造成煤壁前方产生应力集中,即形成支承压力。相较于分层开采,特厚煤层采用放顶煤开采对采场围岩的扰动影响范围更大,超前支承压力峰值位置前移,且应力集中系数较高,可达2.0~3.5[20-21],如图7所示。

σ1、σ2、σ3—最大、中间、最小主应力;γ—覆岩容重;H—埋深
图7 放顶煤开采工作面前方煤体应力分布
Fig.7 Stress distribution of coal body in front of top-coal caving working face
大量理论研究和工程实践表明,采动应力集中是巷道大变形、冲击破坏、煤与瓦斯突出等灾害的主要诱发因素之一[22-23],并且塑性区形态和巷道所处的应力环境密切相关,因此为获得特厚煤层回采巷道塑性区演化规律,有必要掌握特厚煤层开采引起的采动应力场特征。
21141工作面开挖后,沿运输巷轴向提取工作面前方100 m范围内的最大主应力、最小主应力以及最大主应力与x轴的夹角,如图8所示。

图8 工作面前方主应力、最大主应力与x轴夹角
Fig.8 Principal stress and angle between maximum principal stress and x-axis
根据图8可以看出,工作面前方最大主应力和最小主应力的变化趋势差异较大。随着到工作面距离的增加,最大主应力呈现先急剧增大然后逐渐减小的趋势,并且最大主应力曲线斜率越来越小,最大主应力在距离工作面15 m处达到峰值,为38.03 MPa,而该位置的最小主应力为14.87 MPa,最大主应力是其2.56倍。由于煤层顶板厚度大且抗变形能力强,采空区顶板悬而不沉,造成工作面前方最大主应力明显大于原岩应力。同时,随着到工作面距离的增大,最大主应力方向与x轴夹角也逐渐增大,但是增速逐渐放缓,在距离工作面5 m处夹角为84.12°,距离工作面100 m处增大至89.69°。
为了分析特厚煤层回采巷道塑性区演化规律,根据千秋矿21141工作面运输巷工程地质条件,采用FLAC3D数值模拟软件建立拱形巷道塑性区数值计算模型,尺寸为80 m×80 m×1 m(图9),模型四周均为固定边界,竖直方向和水平方向分别施加边界载荷P1、P3,P1和P3可根据图8确定,模型中煤层倾角为12°。岩石物理力学参数见表1。

图9 拱形巷道数值计算模型
Fig.9 Numerical calculation model of arch roadway
根据工作面前方主应力场分布规律,当21141工作面推进距离分别为400、450、465、485 m时,分别计算同一位置的塑性区特征,据此可以得出回采巷道围岩塑性区的演化规律(图10)。

图10 回采巷道塑性区演化规律
Fig.10 Evolution law of mining roadway plastic zone
由图10可得,随着工作面的推进,处于同一位置的巷道围岩塑性区形态特征不断发生变化,其两肩角持续向深部扩展,塑性区由不规则形态逐渐演化为蝶形。当工作面推进400 m时,距离工作面100 m处的巷道塑性区呈对称分布且形态不规则。随着工作面的继续推进,即工作面到该位置的距离不断减小,巷道两肩角的塑性区开始向围岩深部扩展,而顶板和底板塑性区深度变化却不明显,该位置的塑性区形态在工作面推进465 m演化为蝶形。当工作面推进485 m,即该位置到工作面的距离是15 m时,双向载荷比值P1/P3为2.56,塑性区蝶叶尺寸进一步增大,在肩角处向深部扩展,并且蝶叶方向发生了偏转。
工作面推进400 m时,距离工作面80 m处的巷道塑性区的形态和距离为100 m处一样,也呈对称分布且不规则。当工作面推进450 m,即该位置到工作面的距离为30 m时,巷道两肩角处的塑性区深度明显增大,而顶底板塑性区范围变化较小,塑性区形态呈蝶形;当工作面推进465 m,即该位置距离工作面15 m时,塑性区蝶叶尺寸进一步增大,并且发生了偏转。这表明工作面的回采使得回采巷道区域应力场(主应力的大小、方向)发生了改变,回采巷道塑性区的形态特征、最大尺寸及其方向等也随之变化。
1)塑性区形态特征与双向载荷比值有关。当围岩的力学性质相同时,巷道围岩塑性区的形态特征与应力条件密切相关。当双向载荷比值不大时,塑性区形态呈圆形或椭圆形,双向载荷比值达到某一值时,塑性区形态呈蝶形。
2)在采动应力影响下,回采巷道区域主应力场的大小和方向将发生改变。最大主应力沿回采巷道轴向呈先急剧增大后逐渐减小的趋势,并且在距离工作面15 m处达到峰值。随着到工作面距离的增大,最大主应力与x轴夹角逐渐增大并接近于竖直方向,最小主应力则在距离工作面约25 m处达到最大后缓慢减小。
3)工作面前方回采巷道塑性区的形态特征与区域主应力场的大小和方向密切相关。随着工作面的推进,同一位置到工作面的距离逐渐减小,特厚煤层回采巷道塑性区形态由不规则逐渐演化成蝶形,并且塑性区蝶叶位置会随着最大主应力方向的变化而发生偏转。研究成果可为特厚煤层开采方案设计、回采巷道支护参数确定等提供理论依据。
[1] 朱斯陶,姜福兴,王绪友,等. 特厚煤层掘进面围岩能量积聚特征及诱冲机制研究[J]. 岩土工程学报,2019,41(11):2071-2078.
ZHU Sitao,JIANG Fuxing,WANG Xuyou,et al. Energy accumulation characteristics and rockburst mechanism of surrounding rock at heading face of extra-thick coal seam[J].Chinese Journal of Geotechnical Engineering,2019,41(11):2071-2078.
[2] 石必明,牛宜辉,张雷林,等.角联管网瓦斯爆炸超压演化及火焰传播特性研究[J].煤炭科学技术,2021,49(1):257-263.
SHI Biming, NIU Yihui, ZHANG Leilin,et al.Study on methane explosion overpressure evolution law and flame propagation characteristics in diagonal pipe networks[J].Coal Science and Technology,2021,49(1):257-263.
[3] 马 砺,魏 泽,邹 立,等.煤粉自然发火临界参数的影响因素与预测[J].煤炭科学技术,2021,49(4):206-212.
MA Li,WEI Ze,ZOU Li,et al. Influence factors and prediction of critical parameters of spontaneous combustion of pulverized coal[J].Coal Science and Technology,2021,49(4):206-212.
[4] KASTNER H.隧道与坑道静力学[M]. 同济大学,译.上海:上海科学技术出版社,1980.
[5] 于学馥. 轴变论与围岩变形破坏的基本规律[J]. 铀矿冶,1982,1(1):8-17.
YU Xuefu. On the theory of axial variation and basic rules of deformation and fracture of rocks surrounding underground excavations[J]. Uranium Mining and Metallurgy,1982,1(1):8-17.
[6] 于学馥,乔 端. 轴变论和围岩稳定轴比三规律[J]. 有色金属,1981,33 (3):8-15.
YU Xuefu,QIAO Rui. Theory of axial variation and three rules of axial ratio for stabilizing country rock[J].Nonferrous Metals,1981,33 (3):8-15.
[7] 于学馥,郑颖人,刘怀恒,等. 地下工程围岩稳定分析[M]. 北京:煤炭工业出版社,1983.
[8] 董方庭,宋宏伟,郭志宏,等. 巷道围岩松动圈支护理论[J]. 煤炭学报,1994,19 (1):22-31.
DONG Fangting,SONG Hongwei,GUO Zhihong,et al. Support theory of loose circle of roadway surrounding rock[J]. Journal of China Coal Society,1994,19 (1):22-31.
[9] 钱七虎,李树忱. 深部岩体工程围岩分区破裂化现象研究综述[J]. 岩石力学与工程学报,2008,27(6):1278-1284.
QIAN Qihu,LI Shuchen. A review of research on zonal disintegration phenomenon in deep rock mass engineering[J]. Chinese Journal of Rock Mechanics and Engineering,2008,27(6):1278-1284.
[10] 张增誉. 安全型聚氨酯加固材料的制备及防火性能研究[J]. 煤炭科学技术, 2020, 48(12):148-152.
ZHANG Zengyu. Research on preparation and fire resistance performance of safety polyurethane reinforcing material[J]. Coal Science and Technology, 2020, 48(12):148-152.
[11] 马念杰. 回采巷道围岩活动规律及其控制[D]. 徐州:中国矿业大学,1988.
MA Nianjie. Law of surrounding rock movement in mining roadway and its control[D]. Xuzhou:China University of Mining & Technology,1988.
[12] 田向亮,钟茂华,刘 畅,等.不同阻塞条件下的隧道火灾全尺寸试验研究[J].煤炭科学技术,2021,49(2):93-101.
TIAN Xiangliang,ZHONG Maohua,LIU Chang,et al.Experimental study on safety full-scale of tunnel fire disaster under different blocking conditions[J].Coal Science and Technology,2021,49(2):93-101.
[13] 李永恩,郭晓菲,马念杰,等.孔洞围岩塑性区边界计算的理论研究现状与分析评价[J].煤炭科学技术,2021,49(5):141-150.
LI Yongen, GUO Xiaofei, MA Nianjie,et al.Research status and evaluation of theoretical calculation of plastic zone boundary for hole surrounding rock[J]Coal Science and Technology,2021,49(5):141-150.
[14] 马念杰,李 季,赵希栋,等. 深部煤与瓦斯共采中的优质瓦斯通道及其构建方法[J]. 煤炭学报,2015,40(4):742-748.
MA Nianjie,LI Ji,ZHAO Xidong,et al. High quality gas channel and its construction method applied to coal and gas simultaneous extraction in deep mining[J]. Journal of China Coal Society,2015,40(4):742-748.
[15] 马念杰,郭晓菲,赵希栋,等. 煤与瓦斯共采钻孔增透半径理论分析与应用[J]. 煤炭学报,2016,41(1):120-124.
MA Nianjie,GUO Xiaofei,ZHAO Xidong,et al.Theoretical analysis and application about permeability-increasing radius of drilling for simultaneous exploitation of coal and gas[J]. Journal of China Coal Society,2016,41(1):120-127.
[16] 曹光明,镐 振,刘洪涛,等.巨厚砾岩下回采巷道冲击破坏机理[J].采矿与安全工程学报,2019,36(2):290-297.
CAO Guangming,HAO Zhen,LIU Hongtao,et al.Impact failure mechanism of mining roadway under ultra-thick conglomerate[J]. Journal of Mining and Safety Engineering,2019,36(2):290-297.
[17] 马 砺,李超华,武瑞龙,等. 最低点火温度条件下煤粉自燃特性试验研究[J]. 煤炭科学技术, 2020, 48(2):110-117.
MA Li,LI Chaohua,WU Ruilong,ZOU Li. Experimental study on spontaneous combustion characteristics of pulverized coal under minimum ignition temperature[J]. Coal Science and Technology, 2020, 48(2):110-117.
[18] 张 寅.深部特厚煤层巷道冲击地压机理及防治研究[D].徐州:中国矿业大学,2010.
ZHANG Yin. Mechanism and prevention technology of rock burst for super thick seam roadway in deep ground[D]. Xuzhou:China University of Mining and Technology,2010.
[19] 许胜铭,李松营,李德翔,等. 义马煤田冲击地压发生的地质规律[J]. 煤炭学报,2015,40(9):2015-2020.
XU Shengming,LI Songying,LI Dexiang,et al. Geological laws of rock burst occurrence in Yima coalfield[J]. Journal of China Coal Society,2015,40(9):2015-2020.
[20] 陈忠辉,谢和平,王家臣. 综放开采顶煤三维变形、破坏的数值分析[J]. 岩石力学与工程学报,2002,21(3):309-313.
CHEN Zhonghui,XIE Heping,WANG Jiachen. Numerical simulation on three dimensional deformation and failure of top coal caving[J]. Chinese Journal of Rock Mechanics and Engineering,2002,21(3):309-313.
[21] 谢和平,周宏伟,刘建锋,等. 不同开采条件下采动力学行为研究[J]. 煤炭学报,2011,36(7):1067-1074.
XIE Heping,ZHOU Hongwei,LIU Jianfeng,et al. Mining-induced mechanical behavior in coal seams under different mining layouts[J]. Journal of China Coal Society,2011,36(7):1067-1074.
[22] 刘洪涛,镐 振,吴祥业,等.塑性区瞬时恶性扩张诱发冲击灾害机理[J]. 煤炭学报,2017,42(6):1392-1399.
LIU Hongtao,HAO Zhen,WU Xiangye,et al. Mechanism of blast disaster induced by instantaneous malignant expansion of plastic zone[J]. Journal of China Coal Society,2017,42(6):1392-1399.
[23] 陆菜平,窦林名,曹安业,等. 深部高应力集中区域矿震活动规律研究[J]. 岩石力学与工程学报,2008,27(11):2302-2308.
LU Caiping,DOU Linming,CAO Anye,et al. Research on microseimic activity rules in deep high-stress concentration district[J]. Chinese Journal of Rock Mechanics and Engineering,2008,27(11):2302-2308.