
少人无人化是煤炭企业安全、高产高效开采的趋势[1-3]。目前以机代人部分实现了煤矿开采、运输、安检等作业[4-6],在安检方面,巡检机器人以轮式、履带式、工字钢轨道式为主,在空间有限、设备多的巷道环境里轮式、履带式受限多控制难,工字钢轨道式铺设回收繁杂,使得以机代人适用于局部小范围巡检,从一定角度上限制了无人化常态化生产[7-9]。因此,针对复杂工况的巷道,选择或设计便于装卸、易于行走的巡检设备来协助或替代工人完成巡检具有重要意义。为选择或设计出易应用于巷道的巡检设备,对目前井下特种巡检机器人的行走方式及功能进行以下分析:目前煤矿井下巡检方式分人工点检和安装固定摄像头定点监测。周期性重复工作易使巡检工产生疲惫感,难以评价其巡检结果;在粉尘、潮湿、高瓦斯的井下工作对人身安全存在威胁;人工定点监测的结果也不具有实时性和及时性。安装固定摄像头定点监测投入大,且不利于后期监控环境的更换。在煤矿巡检机器人的研究中,国内外学者进行了不同的研究。许旺等[10]设计了一种轮式移动机器人平台,可完成机器人加减速、转向、启停等功能,实现了巡检平台的移动,扩宽了巡检范围,实现井下数据自动采集,初步解放了人力。井下凹凸的地面环境使得四轮式机器人不具备良好的越障能力。针对该类问题RONG X等[13],郗艳梅等[12]设计了一种双关节履带构成行走机构的履带式巡检机器人,采用双履带行走机构有助于机器人克服煤矿井下的不平坦地面环境,具有很好的机动性。王志同等[13]设计了一款履带式机器人以解决工作行程及通信距离受限的问题,并对井下受灾信息进行巡检。该机器人有完整的控制通信及采集系统,且可自主延长通信距离和无信号自动撤回功能。为提高履带式机器人的转弯角度,左敏等[14]设计了一种小轮式巡检机器人。将摄像头安装于轮式机器人上从而解决固定摄像机安装造成的监控范围受限问题。轮式、履带式移动机器人皆在巷道地面上行走,对非结构环境适应性要求高。可提高对非结构环境的适应性。秦玉鑫等[15]设计了一种单轨吊工字钢轨道的巡检机器人,将轨道脱离巷道地面,很好地规避了非结构环境的影响,提高了机器人运动稳定性;工字钢轨道降低了控制系统开发难度;其巡检范围受工字钢轨道铺设限制,轨道铺设的长短决定了该机器人作业范围;工字钢轨道设计决定了前期轨道铺设及后期轨道撤出作业繁重,人员、时间、资金投入大。郑兴等[16]设计了一种基于工字钢轨道的双级式信息探测巡检机器人,当煤矿灾害发生时进行该机器人巡检采集灾害数据。具有工字钢轨道运行的优缺点外,该机器人解决了受限空间下无线通信不畅和中继设备安防间隔不确定的问题。针对工字钢轨道突出的问题,陆文涛等[17]设计了一种移动式柔性轨道的带式输送机巡检机器人,将机器人装置通过抱索器固连于钢丝绳,在钢丝绳的带动下往返运动。其降低控制系统开发难度,规避了非结构环境的影响,具有很好的运动效果。钢丝绳作为驱动带动机器人运动涉及钢丝绳驱动盘设计、安装、行程规划等问题,限制了机器人工作场所的变更。为保留柔轨道设计的优点,解决移动柔性轨道缺点,文献[18-21]设计了一种固定柔性轨道式的巡检机器人。利用钢丝绳作为固定轨道,机器人工作于钢丝绳上进行巡检,其安装更加灵巧多变,而且前期固定钢丝绳锚杆及后期锚杆回收等都相对方便经济[22-23]。
在前人研究基础上,设计出巷道固定柔性轨道式巡检机器人,详细设计了各模块结构;根据柔性轨道行走特点分析了不同走轮驱动轮情况下机器人的驱动能力,并建立多轮牵引力数学模型;分析了不同安装方式下机器人行走稳定性。采用柔性绳索进行悬空轨道铺设可灵活布控以降低人员资金投入,对中小矿山实现智能化巡检具有一定的实用性。
整体结构分为驱动模块、功能单元、自平稳模块、充电模块。驱动模块实现机器人在柔性轨道上运动;搭载模块搭载必要的控制硬件及选择的传感单元,为机器人的在线控制及多数据采集提供安装平台;充电模块实现机器人在缺电情况下的自主充电。机器人整体结构如图1所示。

图1 柔性轨道式巡检机器人整体结构
Fig.1 Overall structure of flexible track-type inspection robot
驱动模块由驱动轴固定架、驱动轴、齿形轮、驱动轮、预紧轮、越障引导块、预紧轮固定仓组成。如图2所示,驱动轴固定架采用U型结构设计,为柔性轨道固定节点预留越障空间;齿形轮固定于驱动轴,与内部防爆步进电机通过齿形带连接;驱动轮固定于驱动轴;预紧轮通过支撑架固连于直线滑槽,随越障引导块做直线运动;越障引导块通过固定板固连于直线滑槽;直线滑槽结构通过弹簧复位;弹簧由弹簧引导轴决定其移动方向;弹簧引导轴安装于预紧轮固定仓;预紧轮固定仓通过螺栓安装于顶层搭载板。

图2 驱动模块结构
Fig.2 Structure of drive module
功能单元由底部支撑架、保护外壳、防爆电池安装盒、图像采集处理开发板安装盒、运动控制器安装盒、位姿检测单元安装盒、充电公头、充电公头防护罩、瓦斯采集单元安装盒、摄像头安装盒、无线通信模块安装盒组成。底部支撑架由厚10 mm钢板组成,通过螺栓安装于顶层搭载板;保护外壳由厚2 mm钢板组成,通过螺栓连接安装于顶层搭载板;防爆电池安装盒由厚2 mm钢板组成,内部容纳48 V 20 AH防爆电池;图像采集处理开发板安装盒由厚2 mm钢板组成,通过螺栓安装于防爆电池安装盒顶部,内部安装尺寸170mm×170 mm×20 mm的英伟达Jetson TX2开发板;运动控制器安装盒、位姿检测单元安装盒统一由120 mm×180 mm×105 mm钢板组成的容纳盒组成。容纳盒内部分为2层,第1层空间为170 mm×32 mm×115 mm,安装位姿检测单元,第2层空间为170 mm×60 mm×115 mm,安装运动控制器。整体模块装配如图3所示。

图3 内部功能模块结构
Fig.3 Internal functional module structure
充电公头采用V型设计,在V型尖口处经圆角处理安装橡胶片,在V型外侧安装正负极铁片,充电公头通过螺栓安装于顶层搭载板;充电公头防护罩分为2部分,各由2 mm钢板组成,防护罩顶部通过螺栓安装于直线导轨滑块顶部,直线导轨通过螺栓安装于顶层搭载板;2个防护罩内测由弹簧连接实现防护罩闭合,外侧由绳连接,通过外部带动绳直线移动实现防护罩打开。机器人充电公头装配如图4所示。

图4 充电公头装配
Fig.4 Assembly of charging male head
检测单元安装盒由厚2 mm钢板组成,内部安装尺寸为110 mm×85 mm×44 mm的甲烷温湿度三合一传感器、氧气传感器、一氧化碳传感器、位姿传感器。安装盒通过螺栓安装于保护外壳,防爆摄像头安装通过螺栓连接安装于保护外壳底部。
充电模块由离线控制柜、防爆腔、充电母头、充电公头防护罩打开触发爪组成。充电母头采用V型设计,在V型内部安装正负极铁片,充电母头通过螺栓连接安装于防爆腔内;充电公头防护罩打开触发爪通过螺栓连接安装于充电母头。充电模块结构如图6所示。

图5 充电母头结构
Fig.5 Structure of charging mother head

图6 离线控制柜内部结构
Fig.6 Internal structure of off-line control cabinet
机器人的行走能力与牵引力及附着力有关,而附着力与材料有关。为保证机器人良好的行走能力,需对其牵引力及附着力进行计算。
依据滚动摩擦理论,机器人在巡检过程中机体受空气阻力PW、爬坡阻力PG和轮轨摩擦阻力Pf影响,机器人通过悬挂轮在轨道上滚动前进,牵引力需克服所受阻力,即PW+PG+Pf;为保证轮轨间不出现打滑现象,牵引力Pq需小于或等于驱动轮的附着力Pφ,驱动轮受力分析如图7所示,车体前进的牵引力存在条件为[25]:

图7 驱动轮受力分析
Fig.7 Force wheel analysis
(Pf+Pw+PG)≤Pq≤Pφ
式中,Pf为轮轨摩擦阻力;Pw为空气阻力;PG为爬坡阻力;Pq为牵引力;Pφ为轮轨附着力。
2.2.1 水平柔性轨道
1)单轮单驱式行走受力分析如图8所示。单轮单驱式机器人通过一个轮悬挂于轨道,该悬挂轮即为驱动轮。机体总重作用于驱动轮,驱动轮需克服轮轨摩擦阻力,当轨道为水平轨道时,无爬坡角,无爬坡阻力。此时对单轮单驱式机器人驱动轮进行受力分析:

图8 单轮受力分析
Fig.8 Single wheel force analysis

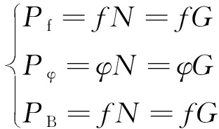
其中,PB为驱动轮需克服的驱动阻力;f为轮轨间的滚动阻力系数;N为轨道对轮的支撑力;G为机体重力;φ为轮轨附着系数。单轮机器人运动过程中会绕绳摆动及沿运动方向上摆动,因此有必要分析多轮方式来限制机器人摆动。
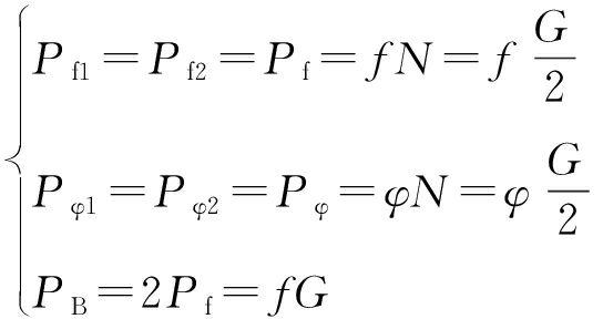
2)双轮单驱式行走。单轨道下的双轮单驱机器人在运动过程中会绕绳旋转,该旋转需外部调节机构及对应的控制算法实现防摆增稳控制,导致结构尺寸增大,质量增加。因此采用双轨单驱方式。双轨道方式的机器人行走布置如图9所示。

图9 双轮单驱受力
Fig.9 Two-wheel single-drive force
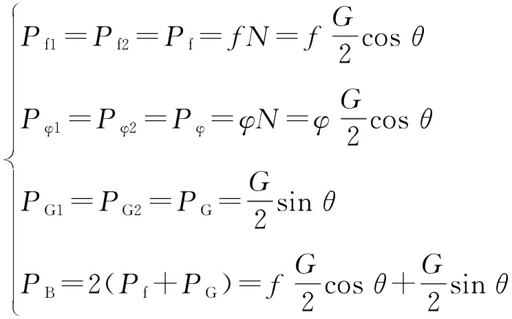
机器人总重力均匀分配到2个驱动轮,但单驱轮需要克服的滚动阻力仍为总滚动摩擦阻力。计算得:

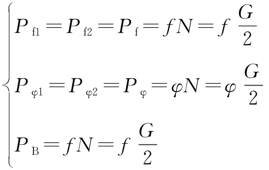
3)双轮双驱式行走示意如图10所示。对每个悬挂轮受力分析,计算摩擦阻力、附着力和驱动阻力得:


图10 双轮双驱受力
Fig.10 Two-wheel double-drive force
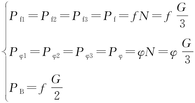
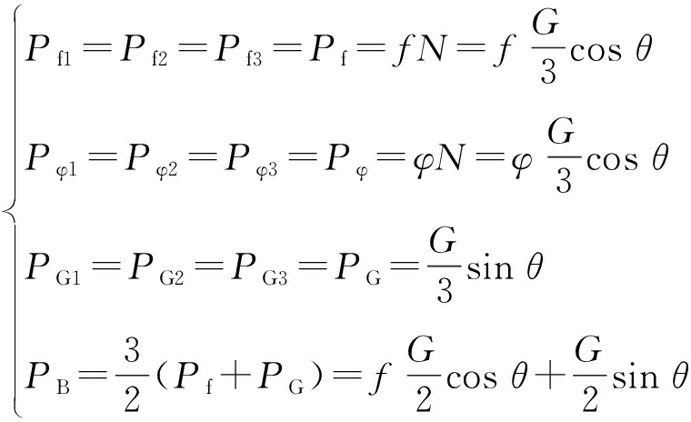
4)三轮单驱式行走。为进一步增加机器人运动稳定性,在双轨下研究三轮布置方法的可行性。可分为三轮单驱、三轮双驱及三轮三驱。为降低机器人总尺寸及总质量,此处就三轮单驱及三轮双驱进行分析。三轮单驱及一个车轮做驱动轮,其余两轮做从动轮,总重力分配到每个轮上,受力如图11所示。

图11 三轮单驱受力
Fig.11 Three-wheel single-drive force
三轮单驱即机体通过三个悬挂轮悬挂于轨道上,其中一个悬挂轮做驱动轮,其余2个悬挂轮作从动轮,机体总重分配到每个轮上。对悬挂轮进行受力分析得:

式中,Pf1、Pf2、Pf3为轮轨摩擦阻力在各轮上的分力;Pφ1、Pφ2、Pφ3为空气阻力在各轮的分力。
5)三轮双驱式行走。与三轮单驱不同的是,三轮双驱下总摩擦阻力由两个驱动轮承担,从而增大了牵引力的选择范围,受力分析如图12所示。计算如下:


图12 三轮双驱受力
Fig.12 Three-wheeled double-drive force
2.2.2 爬坡能力分析
规定爬坡角度为θ,分别一定坡度角轨道下单轮单驱、双轮单驱、双轮双驱、三轮单驱及三轮三驱的机器人爬坡能力进行计算。在斜坡上,轮受到的不仅有来自轨道的摩擦阻力,还有重力在运动方向的分力。因此在忽略空气阻力的情况下,牵引力需克服摩擦阻力及爬坡阻力。根据轮的数量及驱动轮的数量计算得到的驱动力牵引力如下:
1)单轮单驱式行走。单轮单驱下机器人总质量全附加于驱动轮上,驱动轮需克服总摩擦阻力,同时需承担总质量在运动方向的分力。受力如图13所示,计算其摩擦阻力及附着力如下:

图13 单轮单驱受力
Fig.13 Single wheel single drive force

2)双轮单驱式行走。双轮驱动下机器人总摩擦阻力及总爬坡阻力均分到2个驱动轮,降低单轮驱动的压力,计算摩擦阻力、爬坡阻力及附着力如下:


图14 双轮单驱受力
Fig.14 Two-wheel single-drive force

图15 双轮双驱受力
Fig.15 Two-wheel double-drive force
3)双轮双驱式行走。为利用双轮的稳定效果并达到驱动的能力,双轮双驱计算摩擦阻力、爬坡阻力及附着力如下:

4)三轮单驱式行走受力分析如图16所示。在三轮单驱方式下对驱动模块进行受力分析,计算摩擦阻力、爬坡阻力及附着力如下:

图16 三轮单驱受力
Fig.16 Three-wheel single-drive force

5)三轮双驱式行走受力分析如图17所示。在忽略巷道空气阻力的情况下,通过归纳总结上述分析过程,得到机器人悬挂轮、驱动轮与牵引力关系数学模型如图17所示:

图17 三轮双驱受力
Fig.17 Three-wheel double-drive force

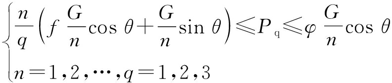
在忽略巷道空气阻力的情况下,通过归纳总结上述分析过程,得到机器人悬挂轮、驱动轮与牵引力关系数学模型如下所示:

其中,n为悬挂轮个数;q为驱动轮个数;Pq为机器人驱动轮输出的牵引力,与电机输出转矩Me关系如下:
式中:i为传动比;η为传动效率;Me电机输出输出转矩;R为悬挂轮半径。
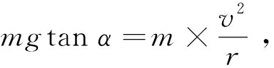
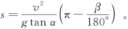
规定两柔性轨道连接面与水平夹角为α,转弯半径r,转弯速度v。在转弯时巡检机器人重力及轨道对轮支撑力的合力构成机器人转弯的向心力F=mgtan α,根据向心力公式
可知,为使机器人转弯时轮轨之间无侧向力,需满足
可得v2=grtan α。根据弧长公式可知s=rϑ,得转弯角ϑ
设转弯处巷道夹角β,则机器人转弯角ϑ=180°-β,由此可设计的机器人转弯弧长![]()

图18 转弯受力分析
Fig.18 Analysis of bending force
该防爆机器人尺寸360 mm×240 mm×260 mm,总质量20 kg,驱动轮半径R为0.035 m。
轮轨材料选钢丝绳-橡胶,查询手册得,钢-橡胶间的滚动摩擦因数为0.65~0.80,取均值为0.73得出钢-橡胶间的滚动阻力系数f=0.21,钢-橡胶间的静摩擦因数为0.9。估算得出钢-橡胶的附着力Pφ=0.9 N,忽略空气阻力,分别计算水平与爬坡牵引力见表1、表2。
表1 水平轨道上不同行走轮及驱动轮下牵引力存在情况
Table 1 Traction force of different traveling wheels and driving wheels on horizontal track

悬挂轮数量/个驱动轮数量/个驱动阻力/N附着力/N牵引力存在性1142156存在214278存在222178存在314252存在322152存在331452存在414239不存在422139存在431439存在4410.539存在
表2 25°爬坡角度下不同行走轮及驱动轮 牵引力存在情况
Table 2 Existence of traction force of different walking wheels and driving wheels at 25 °climbing angle

悬挂轮数量/个驱动轮数量/个驱动阻力/N附着力/N牵引力存在性11121.6141.4存在21121.670.7不存在2260.870.7存在31121.647.1不存在3260.847.1不存在3340.547.1存在41121.635.3不存在4260.835.3不存在4340.535.3不存在4430.435.3存在
由表1和表2可以看出,为保证机器人良好的行走及爬坡能力,选择双轮双驱的行走方式。
规定转弯半径23 cm,转弯角60°,转弯速度0.2 m/s,关节不转动,最大质量20 kg,仿真时间20 s。顶板左顶点为观察摆动轨迹点;顶板左顶点及后驱动支架左顶点为观察摆动在X方向上的分量点。对机体施加1 N侧向力,其作用点在顶板右侧面中点,垂直右侧顶板面,垂直角30°;规定运动方向为X轴,沿驱动轴为Y方向建立右手直角笛卡尔坐标系,对异侧异轴驱动轮安装方式及异侧同轴驱动轮安装方式进行仿真分析,分析结果如图19—图25所示。

图19 异侧异轴安装示意
Fig.19 Installation of different side and different shaft

图20 起步摆动轨迹起步X分量
Fig.20 Starting swing trajectory start X component

图21 开始转弯X分量
Fig.21 Start turning X component

图22 转弯结束X分量
Fig.22 Turning end X component

图23 异侧同轴安装示意
Fig.23 Installation of different side coaxial

图24 X分量运动轨迹
Fig.24 X component motion trajectory

图25 Y分量运动轨迹
Fig.25 Y component motion trajectory
1)异侧异轴驱动轮安装。由图可知,在1 N的侧向外力下,在起步阶段和转弯阶段,都存在摆动情况。由于物体放置位置未与地面水平,导致机体地面之间由倾斜引起起步阶段的摆动,在无任何调节下该摆动在2 s左右自动消除。由于轨道安装,使机体在转弯处有远离轨道的运动,使得机体在转弯处远离轨道,远离距离为8~10 mm,在此过程中机器人进入转弯阶段,逐步产生3~5 mm的摆动。在整个运动中其摆动主要以绕X轴旋转为主。
2)异侧同轴驱动轮安装。异侧同轴驱动轮安装下,当机体安放位置合理会消除起步因机体安放引起的摆动;由于电机驱动使异侧同轴安装方式的摆动主要绕Y轴旋转,且贯穿于整个运动过程;1 N的侧向力下其转弯摆动幅值约为6 mm。

图26 Z分量运动轨迹
Fig.26 Z component motion trajectory
简化模型得实物图27以观察异侧异轴及同侧异轴驱动轮安装的摆动效果。实物图保留机器人机身、驱动、控制、电源和通信模块实现机器人的摆角数据采集、无线数据传输及驱动控制。

图27 巡检机器人实物
Fig.27 Inspection robot physical
考虑同侧异轴安装与异侧异轴安装机身以绕X轴旋转为主,因此选择绕X轴旋转角分析2种安装方式下机身在Y轴上的摆动情况。同侧异轴安装机身摆角如图28所示,异侧异轴安装机身摆角如图29所示。

图28 同侧异轴安装机身摆角
Fig.28 Pendulum angle of fuselage mounted on ipsilateral shaft

图29 异侧异轴安装机身摆角
Fig.29 Swing angle diagram of hetero-axis mounting fuselage
根据机器人所处轨道形式的不同,2种安装方式及水平面上机器人静止时所测机身绕X轴初始旋转角如下:

与水平面夹角/(°)113.82同侧异轴安装角80.86异侧异轴安装角184.00
同侧异轴和异侧异轴2种安装方式机身绕X轴摆动规律基本一致,初始角80.86°下前者在[76.56°,82.38°]内变化,最大摆角值为5.82°;初始角184.00°下后者在[182.25°,184.25°]内变化,最大摆角值为2°,可知异侧异轴安装降低了机身在Y轴上的摆动幅值。
1)井下轮式、履带式巡检机器人运动受限于非结构环境,工字钢轨道式巡检场地更换不灵活,固定柔性轨道式巡检机器人采用柔性悬索作为轨道,可方便灵活搭建拆卸,适应性强。
2)设计出质量为20 kg、尺寸为360 mm×240 mm×260 mm的模块化装卸防爆机器人结构。
3) 建立多轮驱动力数学模型,得出双轮双驱具有良好的行走能力及爬坡能力,20 kg机器人自重下坡度角可达25°。
4)对同侧异轴及异侧异轴驱动安装进行摆角检测试验,异侧异轴的安装方式较同侧异轴安装摆角减小3.82°。
5) 对异侧异轴安装及异侧同轴驱动轮安装方式进行仿真,发现两者均不能放消除机器人运动过程中的摆动。
试验中发现异侧安装并不能消除机器人摆动。因此,在巷道固定柔性轨道悬线式巡检机器人设计中,机器人的防摆增稳实时控制需进一步研究。
[1] 王国法,庞义辉,任怀伟,等.煤炭安全高效综采理论、技术与装备的创新和实践[J].煤炭学报,2018,43(4):903-913.
WANG Guofa,PANG Yihui,REN Huaiwei,et al. Innovation and practice of coal safety and high efficiency fully mechanized mining theory,technology and equipment[J]. Journal of China Coal Society,2018,43(4):903-913.
[2] 王金华,汪有刚,傅俊皓.数字矿山关键技术研究与示范[J].煤炭学报,2016,41(6):1323-1331.
WANG Jinhua,WANG Yougang,FU Junhao. Research and demonstration of key technologies in digital mines [J]. Journal of China Coal Society,2016,41(6):1323-1331.
[3] 王国法,徐亚军,张金虎,等.煤矿智能化开采新进展[J].煤炭科学技术,2021,49(1):1-10.
WANG Guofa,XU Yajun,ZHANG Jinghu,et al.New development of intelligent mining in coal mines[J]. Coal Science and Technology, 2021, 49(1): 1-10.
[4] 郝 勇,袁 智. 综采工作面自动巡检机器人系统设计[J]. 煤炭科学技术, 2020, 48(8):145-149.
HAO Yong,YUAN Zhi. Design of automatic inspection robot system for fully-mechanized coal mining face[J]. Coal Science and Technology, 2020, 48(8):145-149.
[5] 索智文.煤矿综采工作面无人化开采技术研究[J].工矿自动化,2017,43(1):22-26.
SUO Zhiwen. Research on unmanned mining technology in fully mechanized coal mining face[J].Industry and Mining Automation,2017,43(1):22-26.
[6] 王存飞,荣 耀.透明工作面的概念、架构与关键技术[J].煤炭科学技术,2019,47(7):156-163.
WANG Cunfei,RONG Yao. Concept,structure and key technologies of transparent working face[J]. Coal Science and Technology,2019,47(7):156-163.
[7] 王国庆,许红盛,王恺睿.煤矿机器人研究现状与发展趋势[J].煤炭科学技术,2014,42(2):73-77.
WANG Guoqing,XU Hongsheng,WANG Kairui. Research status and development trend of coal mine robot[J]. Coal Science and Technology,2014,42(2):73-77.
[8] 苏学成,樊炳辉,李贻斌,等.试论煤矿机器人的研究与开发[J].机器人,1995(2):123-127.
SU Xuecheng,FAN Binghui,LI Yibin,et al. On the research and development of coal mine robot[J]. Robot,1995(2):123-127.
[9] 苏学成,李贻斌,樊炳辉,等.煤矿井下机器人结构与控制的若干问题[J].煤炭学报,1995,21(5):514-518.
SU Xuecheng,LI Yibin,FAN Binghui,et al. Some problems in structure and control of robot in coal mine[J]. Journal of China Coal Society,1995,21(5):514-518.
[10] 许 旺,贾瑞清,江 涛,等.薄煤层综采工作面安全监测移动机器人的研究[J].矿山机械,2010,38(20):18-21.
XU Wang,JIA Ruiqing,JIANG Tao,et al. Research on mobile robot for safety monitoring of fully mechanized mining face in thin coal seam[J]. Mining Machinery,2010,38(20):18-21.
[11] RONG X,SONG R,SONG X,et al. Mechanism and explosion-proof design for a coal mine detection robot[J]. Procedia Engineering,2011,15:100-104.
[12] 郗艳梅,石 岩,岳红新.煤矿危险气体探测机器人结构和防爆设计[J].煤炭技术,2016,35(9):260-261.
XI Yanmei,SHI Yan,YUE Hongxin. Structure and explosion-proof design of coal mine hazardous gas detection robot [J]. Coal Technology,2016,35(9):260-261.
[13] 王志同,牛志刚,郭晨星,等.可自动回撤煤矿探测机器人设计[J].工矿自动化,2018,44(5):6-12.
WANG Zhitong,NIU Zhigang,GUO Chenxing,et al. Design of automatic withdrawal coal mine detection robot[J]. Industry and Mine Automation,2018,44(5):6-12.
[14] 左 敏.矿山智能巡检机器人的关键技术[J].金属矿山,2012(7):120-122,140.
ZUO Min. Key Technology of mine intelligent patrol robot[J]. Metal Mine,2012(7):120-122,140.
[15] 秦玉鑫,杜翠洁,王红旗,等.一种新型煤矿灾害信息探测机器人系统设计[J].工矿自动化,2015,41(2):17-20.
QIN Yuxin,DU Cuijie,WANG Hongqi,et al. Design of a new type of coal mine disaster information detection robot system[J]. Industry and Mining Automation,2015,41(2):17-20.
[16] 郑 兴,张高峰,王红旗.煤矿灾害救援双级式信息探测机器人系统研制[J].煤炭科学技术,2017,45(5):58-64,135.
ZHENG Xing,ZHANG Gaofeng,WANG Hongqi. Development of a two-stage information detection robot system for coal mine disaster rescue [J]. Coal Science and Technology,2017,45(5):58-64,135.
[17] 陆文涛,裴文良,张树生,等.矿用带式输送机巡检机器人研究与设计[J].煤矿机械,2015,36(9):18-20.
LU Wentao,PEI Wenliang,ZHANG Shusheng,et al. Research and design of inspection robot for mine belt conveyor[J]. Coal Mine Machinery,2015,36(9):18-20.
[18] 张树生,马静雅,陆文涛,等.矿用带式输送机巡检机器人控制系统设计与实现[J].煤矿机械,2015,36(7):28-30.
ZHANG Shusheng,MA Jingya,LU Wentao,et al. Design and implementation of inspection robot control system for mine belt conveyor[J]. Coal Mine Machinery,2015,36(7):28-30.
[19] 姜俊英,周 展,曹现刚,等.煤矿巷道悬线巡检机器人结构设计及仿真[J].工矿自动化,2018,44(5):76-81.
JIANG Junying,ZHOU Zhan,CAO Xiangang,et al. Structural design and simulation of mine roadway suspension inspection robot[J]. Industry and Mine Automation,2018,44(5):76-81.
[20] 靳子浩. 矿用悬挂式巡检机器人设计[D].西安:西安科技大学,2017.
JIN Zihao. Design of mining hanging inspection robot [D]. Xi’an:Xi’an University of Science and Technology,2017.
[21] 周 展. 矿用悬线巡检机器人控制系统研究[D].西安:西安科技大学,2018.
ZHOU Zhan. Research on the control system of mine suspension line inspection robot [D].Xi’an:Xi’an University of Science and Technology,2018.
[22] GOMATHI V,SOWMYA A S,AVUDAIAMMAL P S,et al. Des-ign of an adaptive coal mine rescue robot using wireless sensor networks[C]// Foundation of Computer Science(FCS),2015:8-11.
[23] 郭茂政.谈绕桩绳索的摩擦力[J].唐山师范学院学报,2003(5):18-19.
GUO Maozheng. Talking about the frictional force of the rope around the pile[J]. Journal of Tangshan Teachers College,2003(5):18-19.