
移动扫码阅读
我国西南地区是世界上最大的连片裸露碳酸盐岩分布区,岩溶发育广泛,西南地区也是南方重要的煤炭生产基地,主采的二叠系煤层底板茅口组灰岩中常见充水性溶洞,各溶洞之间在横向上水力联系微弱,通常成串珠状存在,具有相对的独立性。煤矿开采过程中一旦遇到隐伏富水承压溶洞,在采动和溶洞内水压的双重作用下,极易导致煤层底板隔水岩体失稳破坏,产生突水灾害[1-2],目前对煤层底板溶洞突水的相关研究较少,尤其是突水的力学行为研究尚待深入,现有的溶洞突水力学模型多见于隧道施工领域,各学者根据实际工况对溶洞突水系统进行了简化,建立了一些重要的力学模型,如周栋梁等[3]、聂一聪[4]、师海等[5]等将溶洞与隧道间的岩层简化为固支梁模型;臧守杰[6]将其简化为悬臂梁模型;江学良[7]将其简化为简支梁模型;宋战平[8]将其简化为弹性板模型;褚汉东[9]、姜德义等[10]、周辉等[11]将其简化为四周固支的圆形薄板模型;赖永标[12]则将其简化为椭圆形薄板模型。以上研究普遍将隔水岩体与溶洞的组合简化为弹性岩梁或弹性板来进行研究,未能充分考虑溶洞的特殊形态以及由此带来的水压扩散传导导致的底板隔水岩体受力形变区域扩大的特征,在力学模型的概化及适用上有一定缺陷,研究结果不具有普遍性,如果将其简化为厚圆板时,其挠度解析大多采用级数表达式,过于复杂,不方便使用。
因此,综合考虑溶洞形态、岩体受力状态、底板受力形变区域等条件,将溶洞与煤层之间的隔水岩体概化成由无数积分薄圆板构成的圆锥台体,建立了煤层底板溶洞突水的力学模型,在此基础上,进一步借助突变理论,研究了系统发生突变时的地质控制因素,推导了隔水岩层失稳破坏的力学判据,提出了一种更符合实际的煤层底板溶洞突水的分析方法,相关研究成果可以为岩溶地区矿山突水灾害的防治提供理论依据。
据资料统计[8,13-14],西南岩溶地区95%以上溶洞发育的直径在2.0~20.0 m,其中约90%的溶洞跨度小于15 m,此时溶洞的空间形态在断面上表现为圆形或似圆形,而跨度大于15 m时,溶洞断面一般发育为大厅状。通常溶洞的跨度远小于煤层底板的长度,因此,笔者在力学模型的建立中将溶洞顶板简化为圆形断面(图1),同时考虑到由于溶洞内水压力在隔水岩体中传导时向周围扩散,底板岩体受力变形破坏区域通常大于溶洞顶板断面尺寸的现象,笔者将底板隔水岩层、溶洞顶板组成的系统简化为由无数半径递增的薄圆板组合形成的圆锥台体(图2),并在考虑溶洞内水压的传导、隔水岩层受力状态特性的基础上,基于弹性力学理论,作出以下假设:

图1 煤层底板溶洞突水模型概化示意
Fig.1 Schematics of water inrush model of karst cave in coal seam floor

图2 煤层底板溶洞突水力学模型
Fig.2 Mechanical model of water inrush from karst cave in coal seam floor
1)溶洞顶板断面、煤层底板受力区域均视为均匀圆形,且隔水岩层受力区域半径大于溶洞断面半径;将隔水岩体视为均匀、连续的各向同性体,且其内部应力已处于平衡状态;系统岩体为无数周围固支、半径递增、厚度均等的弹性薄圆板构成的圆锥台体,不同半径薄圆板的最大挠度相同。
2)溶洞水压通过前一薄圆板传导至下一薄圆板,在隔水岩体中不断传导、扩散;岩体各部分只在受力区域内变形破坏,其余部分不变形。
3)只考虑隔水岩体在竖直方向受到均布溶洞承压水压力、上覆岩层作用力下产生的剪切破坏;不考虑岩溶水对围岩的各类损伤以及在传导过程中能量的损耗,且在计算合力做功时忽略岩体由于外力挤密产生的微小形变。
如图2所示,溶洞顶板半径为r0,圆锥台体母线与竖直方向的夹角为θ,煤层底板实际受力变形破坏区域半径为R,其中R=dtanθ+r0;上覆岩层作用力为q,包含上覆岩层自重及开采扰动的作用力,溶洞水压力为pw,隔水岩层厚度为d,薄圆板的厚度为t,且t远小于d。且根据弹性力学理论可得,薄圆板的挠曲线方程为:
(1)
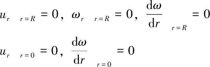
模型的边界条件为:

(2)
式中,r为距受力区域圆心的距离;ω为挠度;ur为径向位移;D为圆板的抗弯刚度,D=Et3/12(1-μ2);E和μ分别为薄圆板的弹性模量与泊松比。
由几何条件可得,圆锥台体内任一位置薄圆板的半径R(t)为:
(3)
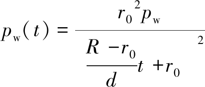
溶洞内水压扩散传导到不同位置薄圆板的压力pw(t)满足:
πR(t)2pw(t)=πr02pw
(4)
将式(3)代入式(4)可得:

(5)
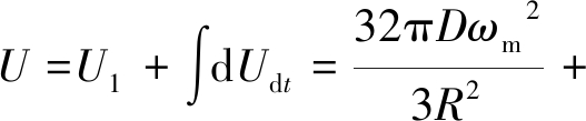
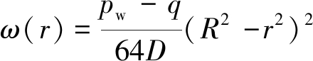
由假设(1)可得薄圆板中心的最大挠度ωm为:
(6)
式中,pw(t) 为不同位置薄圆板的水压力;R为底板变形破坏区域;D为圆板的抗弯刚度。
煤层底板溶洞突水本质上是一种岩体内部的弹性能量从量变积累到质变的突破,是一种动态、非线性、不可逆的演化过程,符合突变理论的描述。突变理论是法国数学家THOM于1972年提出,可以用来描述非线性系统在某些作用力的影响下,从连续渐变转变为状态突变的现象[15]。尖点突变模型[16-19]能适用于岩体失稳破坏的情形,其势函数能用2个控制参数u、v来表示,标准表达式为:
(7)
式中,u,v为控制变量;x为状态变量,对应的平衡位置满足:
Π′(x)=x3+ux+v=0
(8)
式(8)在(x,u,v)空间中构成了一个褶皱曲面,该曲面由上、下、中三叶组成,如图3a所示。状态变量x从小变大对应从下叶发展到中叶,系统从稳定状态转变为稳定临界状态。继续发展则将发生突变现象,跳跃至上叶,系统发生突变失稳破坏,如图3b所示。将平衡曲线投影在u-v平面,可得分叉集,如图3c所示。

图3 尖点突变模型
Fig.3 Cusp catastrophe model
对势函数进行二阶偏导,可得系统的临界稳定方程为:
Π″(x)=3x2+u=0
(9)
联立式(8)消去x,可得分叉集方程为:
4u3+27v2=0
(10)
由以上分析及式(8)可知,当u≤0时系统即产生突变失稳破坏。
通过对上述力学模型的解析,可以构建模型的势函数表达式,将其转化为尖点突变模型中的标准势函数表达式后便可推导突水的力学判据。整个模型系统的势能Π由圆锥台体的变形势能U、外力对其做功W二部分构成,其中系统变形势能包括隔水岩层的弯曲变形势能U1以及中面应变势能U2,外力做功为合力在轴向上做功W1、径向上做功W2之和,即:
Π=U-W
(11)
其中,U=U1+U2,W=W1+W2
(12)
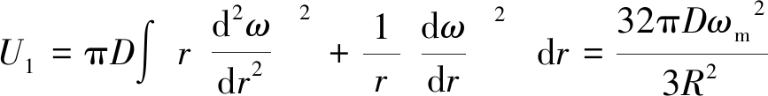
隔水岩层弯曲变形势能U1为:
(13)
中面应变势能U2为无数个厚度为dt的薄圆板单元的应变势能Udt在轴向积分而得,即:
(14)
其中,![]()
(15)
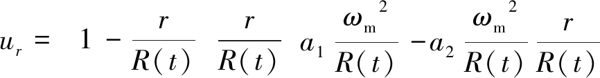
其中由边界条件式可将ur用级数形式表示为:
(16)
忽略高阶无穷量取级数表达式前两项得到:
(17)
根据弹性力学中的变分法[20]可得:
(18)
式中,a1,a2为变分常数。
将式(18)代入式(17)可得:
(19)
将ur代入式(15)可得:
(20)
圆锥台体的变形势能U为:
![]()
![]()
![]()
(21)
外力做功为W为:
W=W1+W2=∬[pw(t)-q]ωrdθdr+
∬[pw(t)-q]urrdθdω
(22)
其中,为避免积分过程中出现高阶小量,将pw(t)做近似处理,当t=d时,有

(23)
代入式(22)积分可得:
(24)
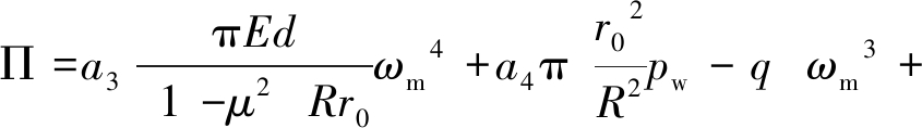
将式(21),式(24)代入式(11)可得模型的系统势能Π表达式为:
(25)
式中,a3,a4为变分常数。
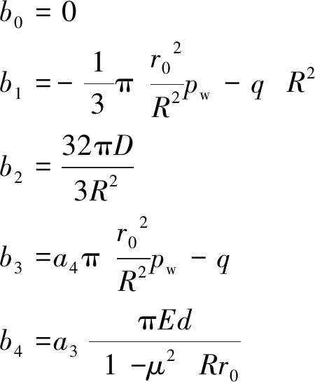
依据文献[21]对模型的系统势能Π表达式进行变量代换如下:
令,

(26)
则,
Π=b4ωm4+b3ωm3+b2ωm2+b1ωm+b0
(27)
令,
(28)
式(27)按以下矩阵进行变换

(29)
式中,B、b0、b1、b2、b3、b4、c0、c1、c2、c4为参数,用于变量代换。
可得:
Π=c0+c1x+c2x2+c4x4
(30)
令
(31)
则有
(32)
由
可得此系统平衡曲面方程:
Π′(x)=x3+ux+v=0
(33)
且分叉集方程为:
4u3+27v2=0
(34)
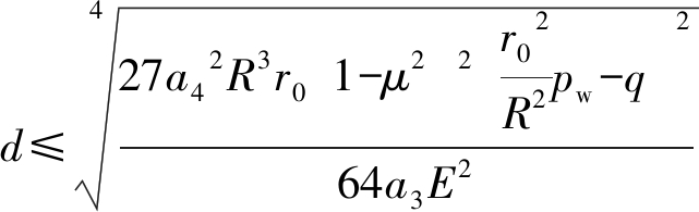
根据突变理论,当u≤0时,隔水岩体发生失稳破坏,底板突水,即:
(35)
解不等式(35)可得煤层底板富水溶洞突水的力学判据为:

(36)
其中,d为隔水岩体厚度;r0为溶洞顶板半径;R为底板变形破坏区域半径;pw为溶洞内水压力;q为上覆岩层作用力;E为隔水岩体的弹性模量;μ为隔水岩体的泊松比;a3、a4为变分常数。
由式(36)可知,影响突水的因素包括岩体的弹性模量、泊松比、厚度和底板变形破坏区域、上覆岩层的作用力、溶洞的尺寸和水压,且当岩体厚度、弹模、泊松比越小,溶洞尺寸和水压越大时,隔水岩体越容易产生失稳破坏诱发突水。
1)煤层底板溶洞突水发生的关键取决于隔水岩体的稳定性,隔水岩体的稳定性与其力学作用机制密切相关,将溶洞与煤层底板间的隔水岩体概化成由无数积分薄圆板构成的圆锥台体模型,建立了溶洞突水的力学模型,有效的刻画了煤层底板富水承压溶洞突水的力学行为。
2)煤层底板溶洞突水本质上是隔水岩体内部弹性势能累积到一定程度进而突变失稳的过程,基于尖点突变理论,推导了隔水岩体失稳破坏的力学判据,相关成果可以煤层底板富水承压溶洞突水的基础理论研究提供依据。
3)煤层底板溶洞突水发生过程中隔水岩体失稳破坏主要取决于岩体的弹性模量、泊松比、厚度、溶洞的尺寸、溶洞内水压力等因素。隔水岩体厚度、弹性模量、泊松比越小,溶洞尺寸和溶洞内水压力越大,隔水岩体越容易发生破坏,诱发突水的可能性越大。
[1] 李青锋,王卫军.南方煤矿特殊开采条件下的突水机理分析[J].矿业工程研究,2010,25(2):25-28.
LI Qingfeng,,WANG Weijun.Analysis of water-inrush mechanism on the special mining conditions of southern coal mines[J].Mineral Engineering Research,2010,25(2):25-28.
[2] 李连崇,唐春安,左宇军,等.煤层底板下隐伏陷落柱的滞后突水机理[J].煤炭学报,2009,34(9):1212-1216.
LI Lianchong,TANG Chun’an,ZUO Yujun,et al.Damage evolution and delayed groundwater inrush from micro faults in coal seam floor[J].Journal of China Coal Society,2009,34(9):1212-1216.
[3] 周栋梁,邹金锋.岩溶区分岔隧道底板的安全厚度[J].中南大学学报(自然科学版),2015,46(5):1886-1892.
ZHOU Dongliang,ZOU Jinfeng.Safe thickness of floor of forked tunnel in karst areas[J].Journal of Central South University (Science and Technology),2015,46(5):1886-1892.
[4] 聂一聪.富水岩溶隧道与隐伏溶洞间安全距离预测研究[D].北京:北京交通大学,2016.
NIE Yicong.Study on safety distance prediction between the water rich karst tunnel and the concealed karst cave[D].Beijing:Beijing Jiaotong University,2016.
[5] 师 海,白明洲,许兆义,等.基于突变理论的岩溶隧道与隐伏溶洞安全距离分析[J].现代隧道技术,2016,53(4):61-69.
SHI Hai,BAI Mingzhou,XU Zhaoyi,et al.Analysis of the safe distance between a karst tunnel and a concealed karst cave based on catastrophe theory[J].Modern Tunneling Technology,2016,53(4):61-69.
[6] 臧守杰.强岩溶区隧道施工中隧底最小安全厚度分析研究[J].隧道建设,2007,27(5):17-19.
ZANG Shoujie.Theoretical study on minimum safe thickness of floors of tunnels in heavy karst areas during construction[J].Tunnel Construction,2007,27(5):17-19.
[7] 江学良,曹 平,杨 慧,等.水平应力与裂隙密度对顶板安全厚度的影响[J].中南大学学报(自然科学版),2009,40(1):211-216.
JIANG Xueliang,CAO Ping,YANG Hui,et al.Effect of horizontal stress and rock crack density on roof safety thickness of underground area[J].Journal of Central South University(Science and Technology),2009,40(1):211-216.
[8] 宋战平.隐伏溶洞对隧道围岩-支护结构稳定性的影响研究[J].岩石力学与工程学报,2006(6):1296.
SONG Zhanping.Research on the influence of concealed karst caverns upon the stability of tunnel and its support structure[J].Chinese Journal of Rock Mechanics and Engineering,2006(6):1296.
[9] 储汉东.岩溶隧道突水机理及防突层安全厚度研究[D].武汉:中国地质大学,2017.
CHU Handong.Study on mechanism of water inrush and safety thickness of against-inrush layer in karst tunnel[D].Wuhan:China University of Geosciences,2017.
[10] 姜德义,任 松,刘新荣,等.岩盐溶腔顶板稳定性突变理论分析[J].岩土力学,2005(7):1099-1103.
JIANG Deyi,REN Song,LIU Xinrong,et al.Stability Analysis of Rock Salt Cavern with Catastrophe Theory[J].Rock and Soil Mechanics,2005(7):1099-1103.
[11] 周 辉,周爱民,李庶林,等.承压水上井筒底板隔水层加固厚度的突变分析[J].矿业研究与开发,2003(1):22-24.
ZHOU Hui,ZHOU Aimin,LI Shulin,et al.Catastrophic analysis on the thickness of consolidation for the water retarding formation at the bottom of shaft above the loaded water body[J].Mining Research and Development,2003(1):22-24.
[12] 赖永标.隐伏溶洞与隧道间安全距离及其智能预测模型研究[D].北京:北京交通大学,2012.
LAI Yongbiao.Study on safe distance between concealed carst cave and tunnel and it’s intelligent prediction model[D].Beijing:Beijing Jiaotong University,2012.
[13] 刘之葵,梁金城,朱寿增,等.岩溶区含溶洞岩石地基稳定性分析[J].岩土工程学报,2003(5):629-633.
LIU Zhikui,LIANG Jincheng,ZHU Shouzeng,et al.Stability analysis of rock foundation with cave in karst area[J].Chinese Journal of Geotechnical Engineering,2003(5):629-633.
[14] 刘铁雄.岩溶顶板与桩基作用机理分析与模拟试验研究[D].长沙:中南大学,2003.
LIU Tiexiong.Study on the mechanism analysis and simulation test of karst roof and pile foundation[D].Changsha:Central South University,2003.
[15] 谢 飞.突变理论在围岩稳定性分析中的应用研究[D].北京:北京交通大学,2014.
XIE Fei.Application research of catastrophe theory in the surrounding rock stability analysis[D].Beijing:Beijing Jiaotong University,2014.
[16] 王连国,宋 扬,缪协兴.基于尖点突变模型的煤层底板突水预测研究[J].岩石力学与工程学报,2003(4):573-577.
WANG Lianguo,SONG Yang,MIAO Xiexing.Study on prediction of water inrush from coal floor based on cusp catastrophic model[J].Chinese Journal of Rock Mechanics and Engineering,2003(4):573-577.
[17] 朱宗奎.底板突水突变机理及模型建构研究[J].矿业安全与环保,2017,44(5):34-39.
ZHU Zongkui.Research on catastrophe mechanism and model construction of floor water inrush[J].Mining Safety &Environmental Protection,2017,44(5):34-39.
[18] 尹立明,郭惟嘉,路 畅.深井底板突水模式及其突变特征分析[J].采矿与安全工程学报,2017,34(3):459-463.
YIN Liming,GUO Weijia,LU Chang.Patterns of the water-inrush hazard in the floor strata in deep mines and its catastrophic characteristics[J].Journal of Mining and Safety Engineering,2017,34(3):459-463.
[19] 穆成林,裴向军,路军富,等.基于尖点突变模型巷道层状围岩失稳机制及判据研究[J].煤炭学报,2017,42(6):1429-1435.
MU Chenglin,PEI Xiangjun,LU Junfu,et al.Study on the instability criterion of layered rock mass failure based on the cusp catastrophe theory[J].Journal of China Coal Society,2017,42(6):1429-1435.
[20] 徐芝纶.弹性力学[M].北京:高等教育出版社,2016.
[21] 莫阳春.高水压充填型岩溶隧道稳定性研究[D].成都:西南交通大学,2009.
MO Yangchun.Stability research on high water pressure filled karst caves tunnel[D].Chengdu:Southwest Jiaotong University,2009.