
移动扫码阅读
煤炭是我国的主体能源,在能源结构中占70%左右。虽然煤炭在我国能源消费中的比例在持续降低,但到2025年仍将维持55%以上的比重,依旧是支撑国民经济持续高速发展的基础[1]。随着煤矿开采相关技术迅速升级换代,煤炭开采效率进一步提升,在满足发展需求的同时,隐患也随之增长。煤田的深入、重叠开采,使煤矿在采掘完成后留下的巷道错综复杂,位置和大小难以定性评判,因此如何对采空区的空间相对位置、规模大小和日益复杂的采空情况进行精准探测是煤矿安全生产急需解决的问题。煤矿采空区的探测[2-3]通常用钻探和物探这2类方法,钻探虽然勘探精度高,但其覆盖范围小、施工周期长且费用高。而物探方法中主要是用地震类方法[4]、电磁类方法[5-6]、探地雷达[7]进行煤矿采空区勘查。CSAMT法因其具有垂向和横向分辨率相对较高、对低阻异常体灵敏度高、易于穿透高阻覆盖层、较为经济实用等优点,在煤矿采空区勘查中占有较为重要的地位。随着煤矿开采深度、开采强度、开采速度、开采规模的增加和扩大[8-9],在相同平面位置下,不同深度的煤田形成了单层、双层甚至多层采空区,这些复杂的地下情况对煤矿安全生产造成了巨大的威胁。在进行采空区电磁法勘探时,不同深度的多个采空区会对采集数据造成干扰,使得勘探结果难以准确区分。如何在有限间隔范围内进行辨别这些采空区成为新的研究难点。在多层采空区勘探方面CSAMT发挥着较为重要的左右。很多国内学者[10-13]和国外学者[14-16]对CSAMT法进行了大量试验和研究,但大部分研究方向趋于在单层采空区勘探和解决地热、断层等实际地质问题上。对双层采空区的CSAMT电磁响应规律研究较少。以实际采空区分布为基础建立双层采空区地电模型,并得出其在不同煤层间隔情况下CSAMT响应特征,并与试验区已知采空区的探测结果进行对比验证。
可控源音频大地电磁法(CSAMT)属于人工源频率域电磁测深[17],其基本原理同大地电磁法(MT)一致,是在电磁波基本原理指导下通过对Maxwell方程组的推导变换而来。Maxwell方程组是电磁波理论最基本的数学方程组,其物理意义是表示在时间和空间改变时,电磁场中各个电场、磁场物理量变换的基本规律,为CSAMT法的发展提供了可靠的理论指导。
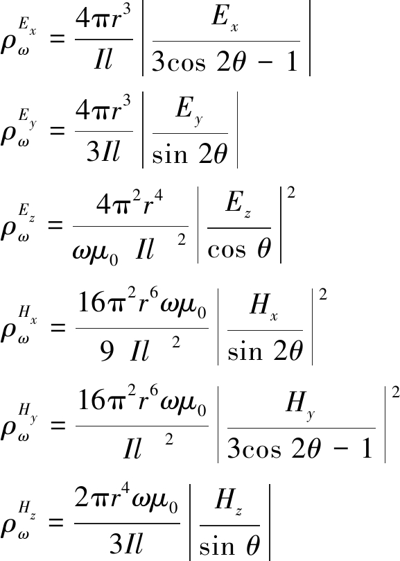
在以往CSAMT法实际应用过程中,采用单分量视电阻率作为主要研究分析的电性参数[18]。

(1)
式中:ρω为采用不同电磁场分量定义的视电阻率,Ex、Ey、Ez分别为电场x,y,z方向分量;Hx、Hy、Hz分别为磁场x,y,z方向分量;I为发射电流;l为电偶极子长度;θ为接收点到发射源中点的连线与发射源之间的夹角;ω=2πf为圆频率;μ0为真空磁导率。
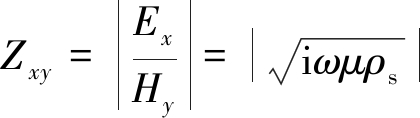
引入波阻抗Zxy的概念[19]。得到:
(2)
式中:i为虚数单位;μ为介质的磁导率。
对等式两边同时乘方取模得:
(3)
取μ=μ0=4π×10-7H/m,ω=2π/T,经过运算得知视电阻率ρs公式为:
(4)
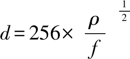
上式中ρs即为地球物理学家卡尼亚定义的视电阻率[17],称为卡尼亚视电阻率。由式(3)可知,并结合电磁波传播的趋肤效应可得趋肤深度d为[20]:
(5)
其中ρ为地层电阻率,由式(4)、式(5)可推出电磁波的趋肤深度d与其频率f变化趋势呈负相关,即发射频率越高勘查深度越小、发射频率越低勘查深度越大。
CSAMT正演计算一般采用有限积分法、有限差分法和有限单元法这3种数学手段。有限单元法具有网格剖分灵活、拟合度高和适用于复杂背景模型的优点,用这种方法进行二维求解也能得到很好的效果,因此选用这种方法完成模型正演。
选用TE测量模式[21],将电场分量E和磁场分量H代入Maxwell方程组得:

(6)
其中,▽×E为电场E的旋度;▽×H为磁场H的旋度;Ms为磁偶极子源;Js为电偶极子源;
将式(6)通过数学方法进行分离变换得到离散方程,即为TE模式下的有限单元法基本方程。
选用有限单元法建立双层采空区模型[22],如图1所示。覆盖层厚度100 m,电阻率为200 Ω·m;中间层厚度100 m,电阻率为400 Ω·m;最下层厚度200 m,电阻率为1 000 Ω·m。将采空异常体规模和电性参数分别设置为:异常体的规模120 m×10 m(异常体厚度通过实际已采煤层厚度以及“三带”计算公式确定[23]);低阻采空异常体电阻率值30 Ω·m,高阻采空异常体电阻率10 000 Ω·m。上层采空异常体深度为130 m并保持相对位置不变,下层采空异常体只变换垂向方向深度使其与上层采空异常体间隔h以10 m为单位一直加大到60 m,模型采用1 000×400节点,收发距为6 km,发射偶极AB=1 000 m,接收偶极MN=20 m,频率范围为2n(n=1,2,…,13)。4个模型采空异常视电阻率分布情况见表1。

图1 模型示意
Fig.1 Schematic of the model
表1 模型分类
Table 1 Model classification

异常体位置不同模型电阻率/(Ω·m)ⅠⅡⅢⅣ上层异常303010 00010 000下层异常3010 0003010 000
由图2可以看出,发现异常体的规模整体变大,并在垂向上影响范围大,第1层地层受异常体影响在异常体对应垂向位置上电阻率有所升高,第3层地层受异常体影响在异常体对应垂向位置上电阻率值有所降低。2个异常体间隔小于30 m(图2a—图2c)时只显示为一个低阻异常体,其异常范围在垂向上增大;h=40 m时(图2d),图中显示为界限模糊的2个异常体;h=50 m时,图中显示为2个界限的异常体,但下层异常体的规模变小(图2e);h=60 m图中显示为2个界限明显的异常体,下层异常体规模变小(图2f)。

图2 模型Ⅰ:不同间隔异常体二维正演视电阻率剖面图
Fig.2 Model Ⅰ:Two-dimensional forward apparent resistivity profile of anomalous bodies with different intervals
由图3可以看出,发现异常体的规模整体变大,可以在空间位置上与原始模型有较好对应,其中低阻异常体在垂向上影响范围大,高阻异常体在横向上影响范围大。2个异常体间隔小于20 m时只显示为一个低阻异常体(图3a—图3b);h=30 m时,为上层低阻明显,下层高阻模糊的2个异常体(图3c);h=40 m时,只显示有一个低阻异常体(图3d);h=50、60 m时图中显示为2个界限明显的异常体,其中上层为低阻异常,下层为低阻异常(图3e—图3f)。

图3 模型Ⅱ:不同间隔异常体二维正演视电阻率剖面图
Fig.3 Model Ⅱ:Two-dimensional forward apparent resistivity profile of anomalous bodies with different intervals
由图4可以看出,发现异常体的规模整体变大,空间位置上与原始模型有较好对应,其中低阻异常体在垂向上影响范围大,高阻异常体在横向上影响范围大。h=10 m时,从图4a中看出,上层为模糊的高阻异常,下层为明显的低阻异常;随着异常体间隔增大(图4b—图4f),均能够从图中清晰地看出上层为高阻异常,下层为低阻异常。

图4 模型Ⅳ:不同间隔异常体二维正演视电阻率剖面图
Fig.4 Model Ⅳ:Two-dimensional forward apparent resistivity profile of anomalous bodies with different intervals
由图5可以看出,发现异常体的规模整体变大,空间位置上与原始模型有较好对应,高阻异常体在横向上影响范围大。当2层间隔小于20 m时,只显示有一个高阻异常体(图5a—图5b);但间隔越大,其异常规模在垂向上有所增大;h=30 m时,显示为上层规模比下层大的2个高阻异常体(图5c—图5d);h=50、60 m(图5e—图5f)时,能够明显地分辨出上下2个高阻异常体,其中上层高阻体的电阻率值较低,下层高阻体的电阻率值较高。

图5 模型Ⅳ:不同间隔异常体二维正演视电阻率剖面图
Fig.5 Model Ⅳ:Two-dimensional forward apparent resistivity profile of anomalous bodies with different intervals
结合已知钻孔及测井资料,研究区第一层地层为第四系松散覆盖层,成分主要为黏土和砂土,平均电阻率较低,厚度约为100 m。第2层为二叠系和石炭系地层,成分主要为泥岩、砂岩和煤层,平均电阻率比上层电阻率高,厚度约200 m。第3层主要为奥陶系地层,因其成分主要为灰岩,所以平均电阻率一般表现为高阻,是3个主要地层中最大值。
在了解研究区地质情况、地球物理特征后进行试验,最终确定测量参数为收发距6 km,发射偶极AB=1 000 m,接收偶极MN=20 m,发送电流9.5 A、频率32~8 192 Hz。完成CSAMT试验线2条。经过滤波→突变点剔除→静态矫正→过渡区矫正→1D反演→2D反演,最终生成二维视电阻率剖面图。
图6a点号1 500~1 900,为已知的9号、15号煤层积水采空区,规模大小约为400 m×10 m,煤层间隔约70 m,经反演视电阻率等值线图显示为一个采空区,不能分层;图6a点号2 150~2 400,为已知的9、15号煤层采空区(未积水),规模大小为300 m×10 m,两煤层间隔约70 m,反演视电阻率等值线图显示为同一高阻异常区,也不具有分层效果;图6b点号1 500~1 900附近,为已知的9号、15号煤层积水采空区,规模大小约为400 m×10 m,难以区分双层积水采空区;2 150~2 400点为9号、15号煤层采空区,其中9号煤层未充水,15号煤层未充水采空区两煤层间隔约70 m,能够明显区分为双层采空区。

图6 试验区CSAMT二维反演视电阻率剖面图
Fig.6 CSAMT 2d inversion apparent resistivity profile in experimental area
由实际地层情况可知,采空异常体规模比正演模拟中设置的异常体规模要大,情况较为复杂,但其电性变化趋势和正演模拟一致,最终反演结果显示为采空区异常体同为高阻或同为低阻无法分层,2个采空区电性不同时可以分层,上层为高阻,下层为低阻时,有较好分辨效果。
1)双层低阻采空区在2层异常间隔达到50 m时才能够区分,且异常体在垂向上影响范围较大。
2)双层低、高阻采空区在2层间隔达到50 m时能够明显区分出2个异常体,上层低阻异常体在垂向上影响范围较大,下层高阻异常体在横向上影响范围较大,且随着间隔的加大下层异常体分辨率有所提升。
3)双层高、低阻采空区在2层间隔达到10 m开始可以清楚分辨为上层高阻、下层低阻异常体,且上层异常体随着下层异常体埋深的加大分辨能力一直在提高,表现为电阻率值变大。
4)双层高阻采空区在模型约束条件下2层间隔达到50 m开始可以清楚分辨2个异常体边界;异常体的规模在垂向上影响范围较大。
5)实例验证结果显示,试验区异常体规模比正演模型中异常体大且存在一定电性差异,但其整体电性变化趋势和正演模型一致,因此反演得出的电磁响应规律与正演结果吻合程度较高。实际地层中双层采空异常体在同为高阻和同为低阻时无法分层;双层采空区电性相差较大时可以分层,且上层采空区为高阻,下层采空区为低阻时容易分辨。
[1] 何继善.大深度高精度广域电磁勘探理论与技术[J].中国有色金属学报,2019,29(9):1809-1816.
HE Jishan.Theory and technology of wide field electromagnetic method [J].The Chinese Journal of Nonferrous Metals,2019,29(9):1809-1816.
[2] 薛国强,潘冬明,于景邨.煤矿采空区地球物理探测应用综述[J].地球物理学进展,2018,33(5):2187-2192.
XUE Guoqiang,PAN Dongming,YU Jingcun.Review the applications of geophysical methods for mapping coal-mine voids[J].Progress in Geophysics,2018,33(5):2187-2192.
[3] 张平松,欧元超,李圣林.我国矿井物探技术及装备的发展现状与思考[J].煤炭科学技术,2021,49(7):1-15.
ZHANG Pingsong,OU Yuanchao,LI Shenglin.Development quo-status and thinking of mine geophysical prospecting technology and equipment in China[J].Coal Science and Technology,2021,49(7):1-15.
[4] 郭跃辉,雷东记,张玉贵,等.水力压裂煤体复电阻率频散特征试验研究[J].煤炭科学技术,2021,49(5):198-202.
GUO Yuehui,LEI Dongji,ZHANG Yugui,et al.Experimental study on dispersion characteristics of complex resistivity of hydraulic fracturing coal[J]Coal Science and Technology,2021,49(5):198-202.
[5] 陈卫营,薛国强.瞬变电磁法多装置探测技术在煤矿采空区调查中的应用[J].地球物理学进展,2013,28(5):2709-2717.
CHEN Weiying,XUE Guoqiang.Application on coal-mine voids detection with multi-device TEM technology[J].Progress in Geophysics,2013,28(5):2709-2717.
[6] 牟 义,李江华,徐 慧,等.矿井瞬变电磁法参数优化试验及超前探测应用[J].煤炭科学技术,2020,48(6):184-190.
MU Yi,LI Jianghua,XU Hui,et al.Parameters optimization test of mine transient electromagnetic method and application of advanced detection[J].Coal Science and Technology,2020,48(6):184-190.
[7] 程久龙,胡克峰,王玉和,等.探地雷达探测地下采空区的研究[J].岩土力学,2004(S1):79-82.
CHENG Jiulong,HU Kefeng,WANG Yuhe,et al.Research on detecting of underground mined-out areas by using GPR[J].Rock and Soil Mechanics,2004(S1):79-82.
[8] 余传涛,刘鸿福,于艳梅,等.CSAMT法在煤矿隐伏断层探测中的应用[J].CT理论与应用研究,2010,19(1):28-33.
YU Chuantao,LIU Hongfu,YU Yanmei,et al.Application of CSAMT method in buried fault detecting in coal mine[J].CT Theory and Applications,2010,19(1):28-33.
[9] 安志国,底青云,郭韶华.隐伏煤矿区CSAMT法煤系地层勘查研究[J].中国矿业大学学报,2008(1):118-124.
AN Zhiguo,DI Qingyun,GUO Shaohua.Study of exploration for coal stratum with csamt method in concealed mine area[J].Journal of China University of Mining and Technology,2008(1):118-124.
[10] 王 鹏,程建远,姚伟华,等.积水采空区地面-钻孔瞬变电磁探测技术[J].煤炭学报,2019,44(8):2502-2508.
WANG Peng,CHENG Jianyuan,YAO Weihua,et al.Technology of detecting water-filled goaf beside borehole using downholetransient electromagnetic method[J].Journal of China Coal Society,2019,44(8):2502-2508.
[11] 张 斌,谭捍东.带地形的可控源音频大地电磁法二维正演[J].物探与化探,2014,38(1):151-156.
ZHANG Bin,TAN Handong.The two-dimensional CSAMT modeling with topography[J].Geophysical and Geochemical Exploration,2014,38(1):151-156.
[12] 底青云,Unsworth M ,王妙月.复杂介质有限元法2.5维可控源音频大地电磁法数值模拟[J].地球物理学报,2004,47(4):723-730.
DI Qingyun,Unsworth M,WANG Miaoyue.2.5-D CSAMT modeling with the finite element method over 2-D complex earth media[J].Chnese Journal of Geophysics,2004,47(4):723-730.
[13] 刘菁华,王祝文,朱 士,等.煤矿采空区及塌陷区的地球物理探查[J].煤炭学报,2005,25(6):37-41.
LIU Jinghua,WANG Zhuwen,ZHU Shi,et al.The geophysical exploration about exhausted area and sinking area in coal mine[J].Journal of China Coal Society,2005,25(6):37-41.
[14] SMIT J,HOOPER J,SMIAROWSKI A,et al.Application of Geophys-ics for Mineral Exploration in the Mount Lyell Region of Tasmania[J].ASEG Extended Abstracts,2018,2018(1):1.
[15] GRANDIS H,SUMINTADIREJA P.Improved Pseudo-section
Representation for CSAMT Data in Geothermal Exploration[J].IOP Conference Series:Earth and Environmental Science,2017,62:012035.
[16] SANNY,TEUKU,A.Identification of Lembang Fault,West-Java Indonesia by Using Controlled Source Audio-Magnetotelluric
(CSAMT)[J].AIP Conference Proceedings,2017,1861(1):1-4.
[17] CAGNIARD,LOUIS.Basic theory of the magneto-telluric method of geophysical prospecting[J].Geophysics,1953,18(3):605-635.
[18] 陈明生,阎 述.论频率测深应用中的几个问题[M].北京:地质出版社,1995.
[19] YAN S,FU J.2004.An analytical method to estimate shadow and source overprint effects in CSAMT sounding[J].Geophysics,2004,69(1):161-163.
[20] 林仁明.趋肤效应的一种簡单解释[J].物理通报,1964(10):456-457.
LIN Renming.A simple explanation for the skin effect[J].Physics Bulletin,1964(10):456-457.
[21] 安志国,底青云.CSAMT法对低阻薄层结构分辨能力的探讨[J].地震地磁观测与研究,2006(2):32-38.
AN Zhiguo,DI Qingyun.Discussion on CSAMT resolving power on the thin layer of low resistivity[J].Seismological and Geomagnetic Observation and Research,2006(2):32-38.
[22] 李 茂,张俊伟,伍显红,等.SCS2D程序反演参数的应用效果分析[J].铀矿地质,2010(6):51-57.
LI Mao,ZHANG Junwei,WU Xianhong,et al.Application analysis for inversion parameters in SCS2D[J].Uranium Geology,2010(6):51-57.
[23] 王志强,李鹏飞,王 磊,等.再论采场“三带”的划分方法及工程应用[J].煤炭学报,2013,38(S2):287-293.
WANG Zhiqiang,LI Pengfei,WANG Lei,et al.Method of division and engineering use of “three band” in the stope again[J].Journal of China Coal Society,2013,38(S2):287-293.