
移动扫码阅读
陕北侏罗纪煤田是我国现已探明的煤炭资源最大的煤田之一,以煤炭储量丰富、煤质优良、煤层埋藏多为浅、中埋深煤层,赋存条件简单、地质构造简单而备受国内外关注[1]。20世纪80年代就在此建矿采煤,经过几十年的发展,采矿工艺日趋成熟,开采规模巨大、开采强度逐步提升。但该区地处我国西北干旱地区,是毛乌素沙漠与陕北黄土高原的接壤地带,地形起伏大,黄土沟壑纵横交错,风沙遍布,植被类别稀少,属典型的生态环境脆弱区[2-6]。煤层大规模的开发与利用势必会造成相比平原地区更为严重的地面塌陷问题、水资源问题和生态环境问题,从而诱发一系列矿山环境地质效应,进一步加剧了矿区生态环境的退化[7]。水环境是生态环境重要组成部分,而煤炭大规模开采必然对地下水环境造成影响,因此,开展煤炭开采对地下水环境的影响研究具有重要的实际意义。
利用地球物理方法对地下水资源赋存特征进行调查就是其重点工作内容之一。电法勘探因对富含水体响应敏感已广泛应用于地下水探测[8-12]。由于该区地表气候干旱,地形沟壑切割严重,利用常规直流电法探测必然面临电极供电、高阻层屏蔽以及反演解释精度较低等实际困难,而瞬变电磁法因为非接触式观测,所建立的电磁场易穿透浅表高阻地层,在该区的应用具有显著的优势。近年来,诸多学者在基础理论、工作方法、反演解释等方面都取得了很大进步,为实现瞬变电磁法高精度探测奠定了基础[13-18]。在煤矿水文地质勘查方面,薛国强等[19]、闫述等[20]、侯彦威等[21]、李学潜等[22]针对煤矿积水采空区地电条件,分析了瞬变电磁响应特征,通过实际探测有效圈定了多层采空积水区的分布范围;方刚等[23]进行了地下煤层顶板多含水层富水性探查,准确划分了多个异常区,判定了各含水层之间的水力联系;陈康[24]、武善元等[25]对比分析了瞬变电磁探测和抽水试验结果,查明了矿区地下含水层的复杂水文地质条件。以上研究表明瞬变电磁法在煤矿水文地质勘查中应用效果显著。目前,研究区主采煤层顶板存在多个含水层以及上覆巨厚土层,其地层组合条件下具有相对复杂的地电模型,且考虑到针对该区浅中埋深地层的瞬变电磁应用研究鲜见报道。因此,笔者及所在科研团队拟开展矿区复杂地电模型构建、数值模拟以及现场试验等研究工作,从而为揭示该区地下水循环演变规律以及确定煤炭开采对地下水环境的影响机理研究提供可靠资料。
瞬变电磁法属于电磁感应类探测方法,遵循电磁感应原理[26]。其机理为:导电介质在阶跃变化的电磁场激发下,产生涡流场效应,即利用一个不接地的回线或磁偶极子(也可以用接地线源电偶极子)向地下发射脉冲电磁波作为激发场源,根据法拉第电磁感应定律,脉冲电磁波结束以后,大地或探测目标体在激发场(即“一次场”)的作用下,其内部会产生感生的涡流场,这种涡流场具有空间特性和时间特性,其大小与诸多因素有关,如目标体的空间特征和电性特征、激发场的特征等,而且由于热损耗的缘故会逐渐减弱直至消失[27-28]。实际勘探中,虽然不能直接测量这种涡流场的大小,但是可以利用专门仪器观测这种涡流产生的电磁场(即“二次场”)的强弱、空间分布特性和时间特性。一次场、二次场及总场强度示意如图1所示。

图1 瞬变电磁法工作原理
Fig.1 Operating schematic of transient electromagnetic method
针对一次场脉冲信号,二次场信号在晚期条件下可表示为:
(1)
其中:μ0为磁导率,H/m;M为发送线圈磁矩,A·m2;q为接收线圈等效面积,m2;ρ 为地层电阻率,Ω·m;t 为时间,s。从式(1)看出,二次场信号与ρ3/4、t5/4成反比。即二次场的本质特征是由探测目标的物理性质及赋存状态决定,其时间特性中,早期信号反映浅部地层地质信息,晚期信号反映深部地层地质信息,时间的早晚与探测深度具有对应关系。
现场探查时根据发射和接收子系统工作,可进一步获得来自于地下地质条件的二次感应电动势响应规律,用于进行地下异常体的推论和判识。
研究区位于陕北黄土高原北部,毛乌素沙漠东南缘,地处风沙地貌向黄土丘陵地貌的过渡带,主要地貌单元为风沙区。依据研究区钻孔地质柱状及视电阻率测井曲线(图2)。
由图2可知所涉及的主要地层由老至新如下:①侏罗系中统延安组(J2y)是本区内的主要含煤地层,包含1煤层、2-2煤层、中细粒砂岩、砂质泥岩等层位,其中2-2煤层为研究区主采煤层。对照视电阻率测井曲线可知,延安组地层总体电阻率值较高,1煤层由于区内厚度不稳定,测井曲线中视电阻率约为180 Ω·m;2-2煤层视电阻率最高,约为800 Ω·m;中细粒砂岩作为延安组第5段含水层,其电阻率平均约为200 Ω·m;砂质泥岩等作为延安组第四段含水层,其视电阻率约在300 Ω·m。②侏罗系中统直罗组地层(J2z),因受后期剥蚀,区内仅残存下部地层,以砂质泥岩、粉砂岩为主。该组地层为研究区内主要含水层位之一,其对应的测井视电阻率平均约为60 Ω·m;③以浅棕红色黏土为主的新近系上新统保德组(N2b)、以棕黄色~黄褐色亚黏土为主且局部夹灰黄色亚沙土的第四系中更新统离石组(Q2l)等地层视电阻率值相对较低,其测井视电阻率平均约为25 Ω·m;④第四系全新统风积沙(Q4eol)等地层以细粒沙为主,其电阻率较高于下部土层,平均约为60 Ω·m。

图2 研究区钻孔地质柱状与视电阻率测井曲线
Fig.2 Borehole geological column and apparent resistivity log in study area
由上述分析可知,研究区主采煤层上覆地层电性特征较为复杂,正常情况下从地表到2-2煤层底板,总体表现出“较高—低—略高—较高—高—更高—高”的相对地电模型特征,分别对应Q4eol、N2b和Q2l、J2z、1煤、J2y第5段中粒砂岩、2-2煤以及J2y第四段砂质泥岩等7个层位,由于实际视电阻率测井曲线存在一定的波动,在模型构建时先对视电阻率数据通过回归分析进行拟合,使得曲线到数据点的差异达到最小。最终构建了研究区主采2-2煤层上覆地层的理论地电模型,具体地电模型可参照图2中绿色阶跃线。
1)瞬变电磁一维正演。瞬变电磁法一维正演的基本思想是先求回线源频率域响应,再通过时频转换方法即可求解时间域响应。以瞬变电磁法中心回线装置为例,其频率域感应电压表达式[29]为:
(2)
其中,a为发射回线的半径;q为接收线圈有效面积,方形回线边长需除以
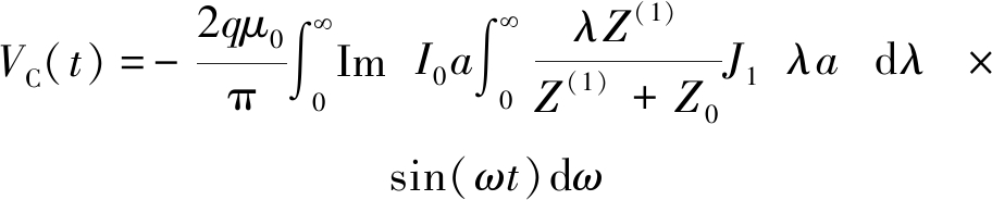
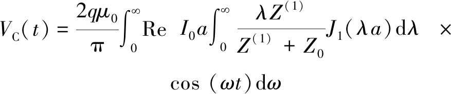
来计算等效半径;I0为发射回线中的电流;λ为空间域波数;Z0和Z(1)为波阻抗;J1为一阶贝塞尔函数。对式(2)利用傅里叶逆变换可求解出时间域水平层状大地表面瞬变电磁响应,再根据奇偶函数性质进一步简化可得正余弦积分形式:
① 正弦积分形式:

(3)
② 余弦积分形式:

(4)
式(3)和(4)均为双重无穷积分,其中Im表示取复数的虚部;Re表示取复数的实数。内层积分为贝塞尔函数,这里可以通过快速汉克尔变换求解[30],外层积分可利用正余弦变换数值滤波法来计算[31],最后根据视电阻率定义,得到全程视电阻率表达式:
(5)
式中,u可从均匀半空间感应电动势表达式求出[18]。
2)瞬变电磁场响应特征。研究区直罗组和延安组第5段含水层富水性是瞬变电磁法探查的重点对象。考虑到两个含水层在横向上富水性具有较强的不均一性,分别针对2个含水层在不同含水情况下的地电模型展开正演模拟,进一步获得瞬变电磁场响应特征。在表1中,模型A即为依据前文钻孔视电阻率测井曲线所构建的理论地电模型,在实际中直罗组和延安组第五段含水层均极少量含水,可以认定为正常地电模型。同时,在正常地电模型条件的基础上,设计了异常地电模型B、C和D。与正常模型A相比,模型B代表直罗组含水层具有较强的富水性,模型C代表延安组第5段含水层具有较强富水性,模型D则代表直罗组和延安组2个含水层均具有较强的富水性。各模型具体参数设置见表1。另外,在正演模拟时设计发射线圈面积250 m×250 m,接收线圈总面积为100 m2,发射电流为1 A。
表1 一维正演地电模型参数
Table 1 One-dimensional forward modeling geoelectric model parameters

依据地电模型A、B、C和D所计算获得的归一化感应电压衰减曲线如图3所示,dB/dt表示磁感应强度随时间的变化量。从图3中可见:①在瞬变电磁场延迟时间小于0.000 1 s的早延时范围内,异常模型B、C和D与正常模型A所对应的感应电压曲线基本一致;而当延迟时间超过0.000 1 s,异常模型B、C和D与正常模型A所对应的感应电压曲线则开始分离。根据模型参数对比,可以确定0.000 1 s约为保德组红色黏土层与下伏直罗组粉砂岩层位的瞬变电磁场过渡时间。②在延迟时间超过0.000 1 s以后,各异常地电模型与正常模型对应的感应电压曲线之间也存在明显的差异,如模型B因为直罗组地层的强富水性,其所对应的感应电压曲线则具有较大的感应电压幅值,与正常模型分离程度较大;模型C为延安组地层富水,与正常模型曲线相比,在0.000 1~0.001 s,两者的分离程度较小,在延迟时间超过0.001 s之后,两者所对应的感应电压曲线分离程度有所增大;模型D表示直罗组和延安组地层均强富水,其所对应的感应电压曲线幅值在0.000 1 s以后表现最大,与正常模型感应电压曲线分离最大。③模型B、C和D对应的瞬变电磁场衰减曲线差异明显,主要表现在延迟时间位于0.000 1~0.01 s范围内各模型曲线对应的电压幅值和衰减斜率的差异,超过0.01 s,曲线之间的差异逐渐减小。

图3 不同地电模型的瞬变电磁响应曲线
Fig.3 Attenuation curves of transient electromagnetic field calculated by different geoelectric models
依据地电模型A、B、C和D所对应感应电压数据计算所得的全程视电阻率曲线如图4所示。同图3中感应电压曲线相似,全程视电阻率同样在0.000 1 s发射分离且不同模型之间具有较为明显的分离特征,由于全程视电阻率与感应电压之间具有一一对应关系且大小关系相反,所以全程视电阻率与感应电压曲线之间具有反向相似的响应特征。但需要指出的是,仅视电阻率曲线本身来看,在直罗组砂岩层不富水条件下(即模型A和C),曲线近似为H型;反之视电阻率曲线近似为QH型。表明直罗组地层的富水性会较大程度地改变视电阻率曲线类型。

图4 不同地电模型的视电阻率曲线
Fig.4 Apparent resistivity curves obtained by different geoelectric models
综合上述分析可知:①研究区内不论是直罗组地层富水、延安组地层富水还是两者皆富水,不同富水条件对应的瞬变电磁场响应特征均有较大程度的差异,表明研究区内利用瞬变电磁方法进行地下水资源观测在理论上具有可行性;②直罗组地层与上覆土层之间对应的瞬变电磁场延迟时间约为0.000 1 s,表明实际观测中针对直罗组地层富水条件的观测时间应早于0.000 1 s;③模拟分析结果表明,瞬变电磁场的延迟观测时间在0.01 s范围内即可有效捕捉不同含水层位的富水信息。
1)仪器设备与观测参数。现场地面瞬变电磁法勘探选用V8多功能电法工作站。鉴于研究区最大勘探深度小于200 m,根据瞬变电磁场时深转换关系大致确定选用边长为250 m的方形发射线框。采用大定源观测方式,在发射回线中心1/3区域内通过等效面积为100 m2的线圈进行瞬变电磁场接收。在实际观测中保证发射电流10 A,设置G×4发射增益。结合前文数值模拟研究结果,现场正式开展数据采集之前进行了多个发射频率的观测信号对比。
25 Hz、12.5 Hz和5 Hz对应的实测感应电压曲线如图5所示。对比可见,3个频率所对应的归一化感应电压曲线在0.000 4~0.01 s基本一致,表明3个频率均能对地下主体地层地电信息进行有效的反映;在0.000 4 s之前的早延时段,3个频率对应的感应电压曲线存在明显差异,分析为不同发射频率对应的激励场源中频率分布差异所致,发射频率越高,激励场源中高频能量越突出,则早延时段电磁场趋肤深度越小,对浅部地层信息反映越明显;反之,发射频率越低,则激励场源中低频能量越强,早延时段电磁场趋肤深度越大,相应的勘探盲区越大。对比前文数值模拟响应结果,可知25 Hz的发射频率更符合研究区瞬变电磁勘探要求。

图5 不同发射频率的实测感应电压衰减曲线
Fig.5 Attenuation curves of induced voltage measure different transmission frequencies
2)数据采集与分析。现场数据采集依据生产试验确定的参数开展测试工作。研究区纵向长1 520 m,横向宽660 m,面积约为1 km2,设计了20 m×20 m的高密度勘探测网(图6)。对采集的瞬变电磁测深数据进行处理,获得研究区全程视电阻率立体分布(图7)。

图6 现场瞬变电磁勘探测网布置
Fig.6 Schematic diagram of observation network operated by transient electromagnetic method on site

图7 现场实测瞬变电磁视电阻率立体分布
Fig.7 Three dimensional distribution of TEM apparent resistivity measured on site
为反映视电阻率垂向分布特征,结合区内钻孔柱状资料,以1304测线为例,提取了视电阻率深度剖面(图8)。可见,上部地层视电阻率相对较低,下部煤岩组合地层视电阻率较高,总体上符合地层电性分布特征。为进一步评价直罗组和延安组含水层富水性规律,对整个研究区按直罗组砂岩层和延安组第五段砂岩层埋深进行了视电阻率提取。如图9所示,直罗组砂岩层视电阻率分布不均一性较强,总体视电阻率值分布在30~41 Ω·m,平均值约为35.6 Ω·m,标准差为1.6 Ω·m。根据数理统计学,将数据分成
和
五个级别(其中![]()

图8 现场1340线实测瞬变电磁视电阻率拟断面图
Fig.8 Quasi-section of apparent resistivity measured by TEM on line 1304 at the scene

图9 直罗组砂岩层视电阻率拟断面
Fig.9 Quasi-section of apparent resistivity of sandstone in Zhiluo Group
为视电阻率参数算术平均值,δn为视电阻率参数的标准偏差值),一般可设定
为显著的低阻异常阀值。因此,直罗组砂岩层低阻区阈值可确定为34 Ω·m,即图8中红色虚线圈定的范围。由于研究区内地层稳定,横向差异较小,依据区内其他钻孔资料,基本可确定红色虚线圈定的相对低阻区域为直罗组砂岩层内的富水性相对较强区域。同理,由图10可知延安组地层视电阻率值总体分布在45~57 Ω·m,平均值约为50.4 Ω·m,标准差为2.4 Ω·m,确定该地层中低阻区阈值48 Ω·m,因此该平面中红色圈定范围为延安组第五段砂岩层的富水性较强区。另外,对比分析直罗组和延安组地层视电阻率分布特征可知,直罗组地层视电阻率总体偏小,反映直罗组地层内风化裂隙较为发育,具有强富水性;而延安组地层视电阻率较大,反映岩层相对完整,具有弱富水性。

图10 延安组第五段砂岩层视电阻率拟断面
Fig.10 Quasi-section of apparent resistivity of sandstone in section 5 of Yanan Group
1)利用已有钻孔柱状及视电阻率测井曲线对比分析,构建了研究区内主采煤层上覆地层具有7个电性层的正常和异常地电模型;通过地面瞬变电磁一维正演,获得了正常与异常地电模型所对应的感应电压衰减曲线和全程视电阻率曲线。经不同模型条件下的响应数据对比分析,表明了不同含水层在富水条件下瞬变电磁场均具有较为明显的响应,且对不同含水模型之间,感应电压与全程视电阻率之间均具有不同的响应特征,反映利用瞬变电磁法对研究区直罗组和延安组含水层进行探测在理论上具有可行性。
2)数值模拟结果反映瞬变电磁场响应延时在0.000 1~0.010 0 s可有效捕捉目标含水层电性特征,现场试验进一步确定发射频率为25 Hz对应的实测瞬变电磁场符合要求,对浅中埋深具有较高的分辨率。
3)针对研究区内开展了网格化瞬变电磁法测试,查明了直罗组和延安组含水层的相对强富水区,总体上判定前者裂隙相对发育,具有强富水性,后者岩层相对完整,具有弱富水性。
4)由于地面瞬变电磁方法在进行面积勘探时,其作业周期较长,且地表气候条件在跟踪探测过程中不断发生变化,一定程度上造成不同时期测试数据之间的差异性,因此,在后续跟踪探测数据处理与分析环节应考虑相关影响因素,确保四维探测成果的连续性和可靠性。
[1] 夏玉成,杜荣军,孙学阳,等.陕北煤田生态潜水保护与矿井水害预防对策[J].煤炭科学技术,2016,44(8):39-45.
XIA Yucheng,DU Rongjun,SUN Xueyang,et al.Countermeasures of eclogic phreatic water protection and mine water disaster prevention in northern Shaanxi Coalfield [J].Coal Science and Technology,2016,44(8):39-45.
[2] 范立民,马雄德,冀瑞君.西部生态脆弱矿区保水采煤研究与实践进展[J].煤炭学报,2015,40(8):1711-1717.
FAN Limin,MA Xiongde,JI Ruijun.Progress in engineering practice of water-preserved coal mining in western eco-environment frangible area [J].Journal of China Coal Society,2015,40(8):1711-1717.
[3] 吴群英,彭 捷,迟宝锁,等.神南矿区煤炭绿色开采的水资源监测研究[J].煤炭科学技术,2021,49(1):304-311.
WU Qunying,PENG Jie,CHI Baosuo,et al.Researoh on water resources monitoring of green coal mining in Shenan Ming Anea[J].Coal Science and Technology,2021,49(1):304-311.
[4] 毕银丽,邹 慧,彭 超,等.采煤沉陷对沙地土壤水分运移的影响[J].煤炭学报,2014,39(S2):490-496.
BI Yinli,ZOU Hui,PENG Chao,et al.Effects of mining subsidence on soil water movement in sandy area[J].Journal of China Coal Society,2014,39(S2):490-496.
[5] 毕银丽,申慧慧.西部采煤沉陷地微生物复垦植被种群自我演变规律[J].煤炭学报,2019,44(1):307-315.
BI Yinli,SHEN Huihui.Effect of micro-reclamation on different planted forest on the vegetation self-succession in thewestern mining subsidence area[J].Journal of China Coal Society,2019,44(1):307-315.
[6] 毕银丽,伍 越,张 健,等.采用HYDRUS模拟采煤沉陷地裂缝区土壤水盐运移规律[J].煤炭学报,2020,45(1):360-367.
BI Yinli,WU Yue,ZHANG Jian,et al.Simulation of soil water and salt movement in mining ground fissure zone basedon HYDRUS[J].Journal of China Coal Society,2020,45(1):360-367.
[7] 段中会,杨宏科,赵洪林.陕北神府矿区开发与生态环境保护中的几个问题[J].陕西煤炭技术,1998(2):31-33.
DUAN Zhonghui,YANG Hongke,ZHAO Honglin.Several Issues in Development and Ecological Environmental Protection of Shenfu Mining Area in Northern Shaanxi [J].Shaanxi Coal,1998(2):31-33.
[8] 陈 松,余绍文,刘怀庆,等.高密度电法在水文地质调查中的应用研究——以江平圩幅为例[J].地球物理学进展,2017,32(2):849-855.
CHEN Song,YU Shaowen,LIU Huaiqing,et al.Application and research of high density resistivity method in hydrogeological prospecting a case study on Jiangping town map [J].Progress in Geophysics,2017,32(2):849-855.
[9] 韩自强,罗 姣,刘 涛,等.定源回线瞬变电磁法在煤矿富水区调查中的应用[J].地球物理学进展,2015,30(4):1705-1711.
HAN Ziqiang,LUO Jiao,LIU Tao,et al.The application of fixed source loop transient electromagnetic method in the coal mine rich water area survey [J].Progress in Geophysics,2015,30(4):1705-1711.
[10] 胡雄武,孟当当,张平松,等.采煤工作面底板水视电阻率全方位探测方法[J].煤炭学报,2019,44(8):2369-2376.
HU Xiongwu,MENG Dangdang,ZHANG Pingsong,et al.An all-directional detection method of apparent resistivity for waterfrom the floor strata of coal-mining face [J].Journal of China Coal Society,2019,44(8):2369-2376.
[11] 苏 超,姚伟华,李明星.地孔瞬变电磁超前探测异常体定位技术[J].煤炭科学技术,2021,49(7):154-161.
SU Chao,YAO Weihua,LI Mingxing.Anomaly body advance detection technology of down-hole transient electromagnetic [J].Coal Science and Technology,2021,49(7):154-161.
[12] 张平松,欧元超,李圣林.我国矿井物探技术及装备的发展现状与思考[J].煤炭科学技术,2021,49(7):1-15.
ZHANG Pingsong,OU Yuanchao,LI Shenglin.Development quo-status and thinking of mine geophysical prospecting technology and equipment in China[J].Coal Science and Technology,2021,49(7):1-15.
[13] 刘最亮,王鹤宇,冯 兵,等.基于电性标志层识别的瞬变电磁精准处理技术[J].煤炭学报,2019,44(8):2346-2355.
LIU Zuiliang,WANG Heyu,FENG Bing,et al.TEM data accurate processing technology based on electrical marker layer [J].Journal of China Coal Society,2019,44(8):2346-2355.
[14] 李锋平,杨海燕,邓居智,等.地面瞬变电磁法一维烟圈反演技术研究[J].地球物理学进展,2016,31(2):688-694.
LI Fengping,YANG Haiyan,DENG Juzhi,et al.One-dimensional smoke ring inversion technology of ground transient electromagnetic method [J].Progress in Geophysics,2016,31(2):688-694.
[15] 李 貅,薛国强.瞬变电磁法拟地震偏移成像研究[M].北京:科学出版社,2013.
[16] 李建慧,朱自强,曾思红,等.瞬变电磁法正演计算进展[J].地球物理学进展,2012,27(4):1393-1400.
LI Jianhui,ZHU Ziqiang,ZENG Sihong,et al.Progress of forward computation in transient electromagnetic method[J].Progress in Geophysics,2012,27(4):1393-1400.
[17] DING Yanfei,BAI Denghai,CHENG Xu.A rapid algorithm for calculating time domain transient electromagnetic responses of a large fixed rectangular loop on the half space [J].Chinese Journal of Geophysics,2012,55(6):2087-2096.
[18] 白登海,MEJU Maxwell A,卢 健,等.时间域瞬变电磁法中心方式全程视电阻率的数值计算[J].地球物理学报,2003,46(5):697-704.
BAI Denghai,MAXWELL A M,LU Jian,et al.Numerical calculation of all-time apparent resistivity for the central loop transient electromagnetic method[J].Chinese Journal Geophys,2003,46(5):698-704.
[19] 薛国强,潘冬明,于景邨.煤矿采空区地球物理探测应用综述[J].地球物理学进展,2018,33(5):427-432.
XUE Guoqiang,PAN Dongming,YU Jingcun.Review the applications of geophysical methods for mapping coal-mine voids[J].Progress in Geophysics,2018,33(5):427-432.
[20] 闫 述,薛国强,邱卫忠,等.中心回线TEM法探测多层积水采空区的可行性(英文)[J].Applied Geophysics,2016(4):587-597.
YAN Shu,XUE Guoqiang,QIU Weizhong,et al.Feasibility of central loop TEM method for prospecting multilayer water-filled goaf [J].Applied Geophysics,2016,13(4):587-597.
[21] 侯彦威,姚伟华.定源回线TEM数据的约束反演方法及应用效果[J].煤田地质与勘探,2019,47(4):172-177.
HOU Yanwei,YAO Weihua.Constrained inversion method and application effect of TEM data of fixed source loopdevice [J].Coal Geology &Exploration,2019,47(4):172-177.
[22] 李学潜,韩德品,马炳镇,等.强干扰条件下电磁法在探测煤矿积水采空区的应用[J].能源与环保,2019.41(4):15-19.
LI Xueqian,HAN Depin,MA Bingzhen,et al.Application of electromagnetic method in detecting coal mine goaf under strong disturbance conditions[J].China Energy &Environmental Protection,2019.41(4):15-19.
[23] 方 刚,高 波.榆横北区地面瞬变电磁法探查含水层特征应用[J].中国煤炭,2018,44(11):30-35.
FANG Gang,GAO Bo.Application of the ground transient electromagnetic method in detecting aquifer characteristics in northern yuheng mining area[J].China Coal,2018,44(11):30-35.
[24] 陈 康.瞬变电磁法在敏东二矿水文地质勘察中的应用研究[D].邯郸:河北工程大学,2015.
[25] 武善元,刘 磊,陈军涛,等.黄河北煤田定向钻进精准注浆防治水技术研究[J].煤炭科学技术,2019,47(5):34-40.
WU Shanyuan,LIU Lei,CHEN Juntao,et al.Research on precise grouting to prevent water disaster technology in huanghebei coalfield[J].Coal Science and Technology,2019,47(5):34-40.
[26] 牛之琏.时间域电磁法原理[M].长沙:中南大学出版社.2007.
[27] 考夫曼.频率域和时间域电磁测深[M].北京:地质出版社.1987.
[28] 朴化荣.电磁测深法原理[M].北京:地质出版社.1990.
[29] 李建慧.基于矢量有限单元法的大回线源瞬变电磁法三维数值模拟[D].长沙:中南大学,2011.
[30] GUPTASARMA D.New digital linear filters for Hankel J_0 and J_1 transforms[J].Geophysical Prospecting,1997,45(5):745-762.
[31] 王华军.正余弦变换的数值滤波算法[J].工程地球物理学报,2004(4):329-335.
WANG Huajun.Digital filter algorithm of the sine and cosine transform [J].Chinese Journal of Engineering Geophysics,2004,01(4):329-335.