
移动扫码阅读
为更好地描述材料的应力-应变特性,国外学者在20世纪初提出“损伤”理论,认为相对于理想材料而言,现有的材料在未加载前自身就具有损伤,即力学性质就已经发生了劣化。因此,通过构建一套完整的损伤力学理论,进而建立了可以描述材料变形性能的方程。随着损伤理论不断发展和完善,岩石领域的专家将该理论引入到岩石力学中,结合现有经典的力学理论逐渐形成了宏观、细观和准宏观的损伤力学[1]。上述理论发展至今,最核心的思想就是如何构建一个满足试验条件的损伤变量,并结合有效应力原理将其引入到力学本构模型中,进而来通过参数反演得到最终的模型方程,使得该方程可以较好地描述岩石在荷载作用下的应力-应变关系。近些年,学者们发现了岩石在加载过程中产生的裂隙等缺陷都是随机的,没有规律可循[2-3]。因此,结合概率统计理论和损伤力学理论,将概率分布函数引入到构建的损伤变量中,通过建立统计损伤模型来研究岩石在荷载作用下的破坏机理和损伤演化规律。
根据上述对损伤理论的介绍,现通过国内外学者的研究成果,来说明岩石统计损伤理论的发展现状。其中,徐卫亚等[4]将岩石的变形分为了塑性应变和弹塑性应变,结合试验数据和损伤理论建立了考虑弹塑性统计模型。LAI等[5]通过开展围压对岩石软化特性影响的试验,建立考虑应变软化对损伤影响的统计模型。LI等[6]为了使得现有屈服函数可以描述三向受力作用冻土的屈服特性,采用统计损伤原理将传统Mohr-Coulomb准则进行了改进,并构建了统计冻土损伤模型。曹文贵等[7]认为岩石只是有空隙缺陷和岩石颗粒骨架两部分组成,在考虑空隙变形的基础上,引入了反应空隙压缩变形的变量,进而建立非线性统计损伤模型。
上述研究成果对岩石孔隙的关注较少,且构建的本构模型较为复杂、模型中的未知参数较多,使得模型不容易求解。因此,笔者通过引入空隙损伤影响系数,结合损伤力学来描述岩石在加载过程中真实损伤状态。对围岩进行常规三轴压缩试验,研究砂岩在不同条件下变形强度特性以及损伤演化规律,以此提出考虑岩石空隙损伤的统计损伤本构模型。
采用的砂岩均取自阜新恒大煤矿1号矿井。开展三轴力学特性试验的设备如图1所示,岩石试验系统的型号为TAW-2000。该岩石试样的外观呈灰色,表面无明显的裂隙和层理等缺陷,尺寸和大小严格按照岩石力学协会制定的规则制备。开展三轴力学特性试验步骤:① 采用位移控制方式,以0.002 mm/s的速率将围压加载到预定值,在此过程中需要一直保持围压值不变。② 以同等的速率加载轴压至岩石发生破坏后,持续增加轴向应变直至得到岩石的残余应变变形。③ 先卸载轴压后卸载围压后,以时间间隔保存数据。④ 按照地应力的围压分别选取0、10、20和30 MPa。

图1 TAW-2000岩石三轴试验机
Fig.1 TAW-2000 rock three triaxial test machine

图2 砂岩岩样
Fig.2 Sandstone rock sample
根据上述步骤开展试验,绘制出试验曲线如图3所示。由图3可知,在同一围压作用下,应力-应变曲线都是随着应变增大,应力的变化规律呈现出先增大再减小趋于稳定,而峰值强度随着围压增大而增大,也说明了围压对于提升岩石的力学特性有显著的帮助。

图3 试验结果
Fig.3 Test results
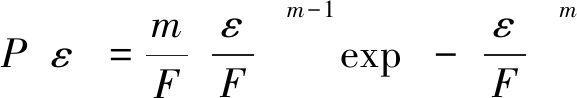
经过几十年的发展,岩石损伤理论已经有了完善的体系,学者们一直认为岩石在荷载作用下产生的损伤实质上是岩石自身损伤以及变形过程中的弹性损伤和黏塑性损伤叠加而成的。尤其是岩石内部微裂纹的随机分布特性和后期岩石损伤演化规律,都与岩石自身初始损伤有关联[8]。因此,可以假设岩石的应变满足以下关系[9]为
(1)
式中:m、F为分布常数;ε为应变;P(ε)为概率密度函数。
假设在某一级荷载作用下,在某一时间岩石内部已破坏的微元体数目为Nt,岩石内部总微元的数目N,两者之比可以定义为损伤变量D[10],即:
D=Nt/N
(2)
式中:Nt为在某一级荷载作用下,在某一时间岩石内部已破坏的微元体数目;N为岩石内部总微元的数目;D为损伤变量。
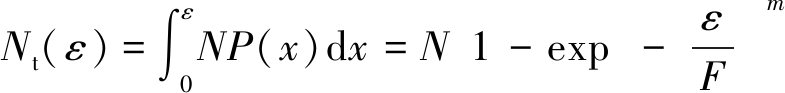
岩石内部已破坏的微元体数目Nt为
(3)
得到
(4)
根据有效应力原理可知应力σi与有效应力
之间存在以下关系:
(5)
式中,σi为应力;σi*为有效应力。
三轴压缩状态下岩石应力-应变关系满足[11]:
σ1=Eε1(1-δD)+μ(σ2+σ3)δD
(6)
其中,δ为变化系数;μ为泊松比;E为弹性模量。为进一步描述岩石内部空隙对岩石应力-应变关系的影响,现用空隙损伤影响系数f代替变化系数δ,可得
σ1=Eε1(1-fD)+μ(σ2+σ3)fD
(7)
式中,f为空隙损伤影响系数。
通过联立式(2)—式(7)得出:

(8)
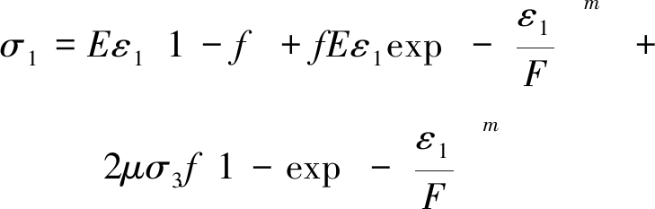
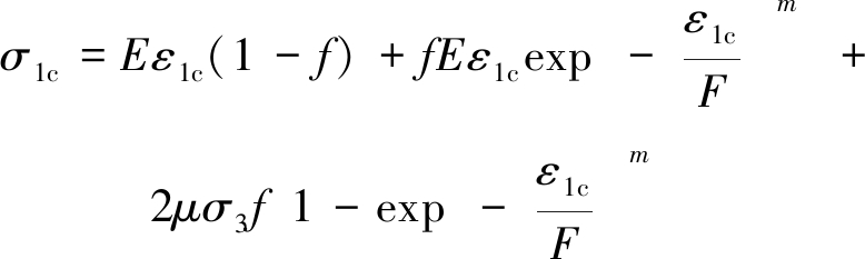
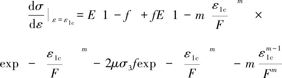
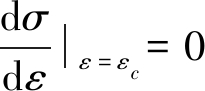
对于分布常数m,F0一般通过建立关于分布常数表达式来确定[12-13]。由图4可知,存在以下几何关系:① ε1=ε1c时,有σ1=σ1c;② ε1=ε1c时,有∂σ/∂ε=0。其中,ε1c为峰值点应变;σ1c为峰值点应力。

图4 岩石应力-应变曲线
Fig.4 Rock stress and strain curve
由条件②可知,
(9)
由条件①可知,

(10)
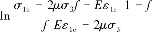
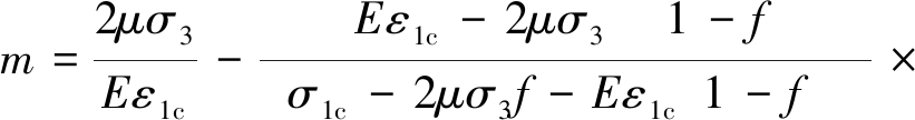
将式(9)进行展开得到

(11)
将式(10)和(11)联立得:
![]()
![]()
(12)
(13)
式(12)和式(13)中确定出分布常数m和F,但是表达式中还含有未知参数f需要确定。
当变形进入残余变形阶段后,岩石属于完全变形破坏状态,此时岩石产生的变形为岩石塑性不可逆变形,即假设在残余应变阶段,岩石损伤变量为D=1[14],且应力-应变曲线上残余点的残余应力表示为σr,残余应变表示为εr,得出
(14)
式中:σr为残余应力;εr为残余应变。
弹性模量E计算[15-17]如下
(15)
式中,B为径向应变与轴向应变的比值。
由文献[18-19]可知,峰值应力和峰值应变之间存在以下关系:
(16)
ε1c=aσ3+b
(17)
式中:a、b均为常数;c为黏聚力;φ为内摩擦角。
将式(16)和式(17)代入参数确定方程中即可得到任意围压作用下参数值。将该参数值代入式(7)中,得到满足任意条件的统计损伤本构模型。
将式(7)改进的统计损伤模型方程代入到软件Origin中[20],绘制出不同围压的模型曲线。根据上述参数确定方法确定出模型参数见表1。
表1 改进统计损伤模型的参数
Table 1 Parameters of the improved statistical damage model

围压/MPa0102030f0.9680.9760.9810.986m4.3815.0167.0899.015F0.3540.4680.5950.689
表1中的参数具有局限性,它们都是在围压为0、10、20、30 MPa的特定条件下确定的,无法将其推广至其他围压条件下进行应用,故需要寻找参数值与围压之间的关系。采用指数函数对试验数据进行拟合如图5所示。

图5 分布参数与围压关系
Fig.5 Distribution parameters and confining pressure relationship
由图5可知,参数值与围压之间具有较好的吻合度,且R2均大于0.95。
m=-2.192exp(-σ3/20.786)+6.562
(18)
F=0.357+0.011σ3
(19)
f=0.969+5.900×10-4σ3
(20)
根据所建立的损伤统计模型方程,把不同围压三轴压缩试验曲线反演所获得的参数,代入损伤方程中,绘制试验和拟合对比曲线如图6所示。
由图6可知,建立的模型所绘制出的曲线和试验曲线变化规律较为一致,这说明了引入空隙损伤影响系数,构建出新型损伤模型可以较好地描述损伤演化。相对文献[7]而言,该统计损伤模型更加简单,模型中的参数较少、参数的计算公式相对简单,且也达到了描述变形特性的效果较好。再将上述参数值代入式(7)中,得到损伤演化规律如图7所示。

图6 拟合曲线与试验曲线
Fig.6 Fitting and experimental curve
由图7可知,岩石在同一围压作用下的损伤变量的变化规律都是呈现出先增大后趋于稳定的趋势,这是由于岩石在荷载作用下内部原生裂隙会进一步发展、扩散,直至贯通为宏观裂缝,导致岩石发生变形破坏,后续试验岩石试样沿着破裂面滑移,最终使得岩石的损伤程度逐渐加剧。但是在损伤变量变化初期曲线重合度较高,这是因为岩石内部空隙处于压缩变形状态,此时新生的裂隙等缺陷较少;加载中期损伤变量变化曲线逐渐分离,这是由于空隙压密后岩石内部裂隙开始大量的新生和发育,使得岩石损伤加剧;在加载后期,岩石内部贯通裂缝基本形成,损伤变量的变化规律趋于稳定,微裂纹在较为软弱的区域汇聚,使得损伤速率进一步提高且趋近于1。此过程与实际岩石的破坏损伤演化基本一致,说明了建立损伤演化模型的合理性与正确性。

图7 损伤演化规律
Fig.7 Damage evolution
综上所述,建立的统计损伤模型可较好地反应岩石的变形特性,也可较为真实反映巷道围岩的变形情况,对实际工程中巷道围岩-支护体的设计具有指导意义,但是实际工程中围岩所受的三向应力大小各不相同,鉴于试验条件约束无法实现,故需要在以后研究中对岩石做真三轴试验,才能更好地反映实际地层开挖后围岩的受力、变形情况。
1)该模型对传统破坏模型引入空隙损伤影响系数可以较好地描述损伤演化,并能反映出三轴压缩试验曲线的软化特性。
2)损伤演化规律曲线表明岩石在外荷载作用下,产生的损伤是伴随着岩石整个变形破坏过程,岩石的损伤演化过程是一个不断积累、不可逆、单向发展的过程,最终在荷载作用下导致微裂纹岩石内部的软弱区域汇聚,使得岩石呈现出明显的宏观破坏面。
3)岩石在同一围压作用下的损伤变量的变化规律都是呈现出先增大后趋于稳定的趋势,这是由于岩石在荷载作用下内部原生裂隙会进一步发展、扩散,直至贯通为宏观裂缝,导致岩石发生变形破坏,后续试验岩石试样沿着破裂面滑移,最终使得岩石的损伤程度逐渐加剧。
[1] 杨 磊,王晓卿,李建忠.不同冲击倾向性煤单轴压缩下能量演化与损伤特征[J].煤炭科学技术,2021,49(6):111-118.
YANG Lei,WANG Xiaoqing,LI Jianzhong.Energy evolution and damage characteristics of coal with different bursting liability under uniaxial compression[J].Coal Science and Technology,2021,49(6):111-118.
[2] 郭海峰,宋大钊,何学秋,等.冲击倾向性煤不同损伤程度声发射分形特征研究[J].煤炭科学技术,2021,49(9):38-46.
GUO Haifeng,SONG Dazhao,HE Xueqiu,et al.Fractal characteristics of acoustic emission in different damage degrees of impact coal[J].Coal Science and Technology,2021,49(9):38-46.
[3] LIU Wenbo,ZHANG Shuguang,SUN Boyi.Energy evolution of rock under different stress paths and establishment of a statistical damage model[J].KSCE Journal of Civil Engineering,2019,23(10):4274-4287.
[4] 徐卫亚,韦立德.岩石损伤统计本构模型的研究[J].岩石力学与工程学报,2002,21(6):787-791.
XU Weiya,WEI Lide.Study on statistical damage constitutive model of rock[J].Chinese Journal of Rock Mechanics and Engineering,2002,21(6):787-791.
[5] LAI Y M,YANG Y G,CHANG X X.Strength criterion and elasto-plastic constitutive model of frozen silt in generalized plastic mechanics[J].International Journal of Plasticity,2010,26(10),1461-1484.
[6] LI S Y,LAI Y M,ZHANG S J.An improved statistical damage constitutive model for warm frozen clay based on Mohr-Coulomb criterion[J].Cold Regions Science and Technology,2009,57(2-3):154-159.
[7] 曹文贵,张 超,贺 敏,等.考虑空隙压密阶段特征的岩石应变软化统计损伤模拟方法[J].岩土工程学报,2016,38(10):1754-1761.
CAO Wengui,ZHANG Chao,HE Min,et al.Statistical damage simulation method of strain oftening deformation process for rocks considering characteristics of void compaction stage [J].Chinese Journal of Geotechnical Engineering,2016,38(10):1754-1761.
[8] 温 韬,刘佑荣,胡 政,等.高应力区砂岩加卸载条件下能量变化规律及损伤分析[J].地质科技情报,2015,34(2):200-206.
WEN Tao,LIU Yourong,HU Zheng,et al.Energy variation and damage analysis of sand stone in high stress area under unloading condition[J].Geological Science and Technology Information,2015,34(2):200-206.
[9] 高 玮,汪 磊,杨大勇.岩石损伤演化的能量方法研究[J].岩石力学与工程学报,2011,30(S2):4087-4092.
GAO Wei,WANG Lei,YANG Dayong.Rock damage evolution based on energyprinciple[J].Chinese Journal of Rock Mechanics and Engineering,2011,30(S2):4087-4092.
[10] 王苏生,徐卫亚,王 伟,等.岩石统计损伤本构模型与试验[J].河海大学学报(自然科学版),2017,45(5):464-470.
WANG Susheng,XU Weiya,WANG Wei,et al.The statistical damage constitutive model of rocks and its experiment[J].Journal of Hohai University( Natural Sciences),2017,45(5):464-470.
[11] 张黎明,高 速,任明远,等.岩石加荷破坏弹性能和耗散能演化特性[J].煤炭学报,2014,39(7):1238-1242.
ZHANG Liming,GAO Su,REN Mingyuan,et al.Rock elastic strain energy and dissipation strain energy evolution characteristics under conventional triaxial compression[J].Journal of China Coal Society,2014,39(7):1238-1242.
[12] 张志镇,高 峰.单轴压缩下岩石能量演化的非线性特性研究[J].岩石力学与工程学报,2012,31(6):1198-1207.
ZHANG Zhizhen,GAO Feng.Research on nonlinear characteristics of rock energy evolution under uniaxial compression[J].Chinese Journal of Rock Mechanics and Engineering,2012,31(6):1198-1207.
[13] 杨小彬,秦跃平,叶 飞.考虑残余应力的砂岩损伤理论模型[J].煤炭学报,2015,40(12):2807-2811.
YANG Xiaobin,QIN Yueping,YE Fei.Damage constitutive relation of sandstone considering residual stress[J].Journal of China Coal Society,2015,40(12):2807-2811.
[14] 谢和平,彭瑞东,鞠 杨,等.岩石破坏的能量分析初探[J].岩石力学与工程学报,2005,24(15):2603-2608.
XIE Heping,PENG Ruidong,JU Yang,et al.On energy analysis of rock failure[J].Chinese Journal of Rock Mechanics and Engineering,2005,24(15):2603-2608.
[15] 温 韬,唐辉明,刘佑荣,等.考虑裂纹闭合效应的岩石损伤力学模型及耗散能量分析[J].长江科学院院报,2016,33(5):69-75.
WEN Tao,TANG Huiming,LIU Yourong,et al.A Rock Damage Mechanics Model and Analysis on Damage Energy Dissipation in Consideration of Crack Closure Effect[J].Journal of Yangtze River Scientific Research Institute,2016,33(5):69-75.
[16] 齐吉琳,马 巍.冻土的力学性质及研究现状[J].岩土力学,2010,31(11):133-143.
QI Jilin,MA Wei.Mechanical properties and research status of frozen soil[J].Rock and Soil Mechanics,2010,21(1):133-143.
[17] 曹文贵,张 升.基于Mohr-Coulomb准则的岩石损伤统计分析方法研究[J].湖南大学学报(自然科学版),2005,32(1):43-47.
CAO Wengui,ZHANG Sheng.Study on the statistical analysis of rock damage based on Mohr-Coulomb Criterion[J].Journal of Hunan University(Nature Sciences),2005,32(1):43-47.
[18] 张天军,郭海龙,景晨,等.含孔软煤试样破坏过程的细观裂纹损伤演化机制[J].煤炭科学技术,2021,49(12):96-103.
ZHANG Tianjun,GUO Hailong,JING Chen,et al.The mechanism of meso-crack damage evolution in the failure process of porous soft coal specimens[J].Coal Science and Technology,2021,49(12):96-103.
[19] 王松鹤,刘奉银,齐吉琳.考虑冻融的粉质黏土统计损伤本构关系研究[J].西北农林科技大学学报(自然科学版),2016,44(12):226-234.
WANG Songhe,LIU Fengyin,QI Jinlin.Statistical damage constitutive model for silty clay after freeze-thaw cycling[J].Journal of Northwest A&F University(Natural Science Edition),2016,44(12):226-234.
[20] 崔宏环,刘建坤,张立群,等.寒区路基改良土冻融循环与荷载耦合作用下损伤力学研究[J].冰川冻土,2016,38(4):1183-1188.
CUI Honghuan,LIU Jiankun,ZHANG Liqun,et al.Research on damage mechanics of modified-soil in cold regions subgrade coupling action of freeze-thaw and load[J].Journal of Glaciology and Geocryology,2016,38(4):1183-1188.