
移动扫码阅读
Study on influencing factors of gas emission in horizontal sub-level mining face of steeply inclined and extra-thick coal seam
随着煤炭开采向深部转移,煤层的瓦斯含量逐渐增加,开采时会造成煤层中的瓦斯大量涌入工作面,瓦斯引起的灾害制约着煤炭的安全开采[1-3]。而急倾斜煤层是较水平煤层一种非常特殊的煤层,我国新疆地区具有非常丰富的急倾斜煤层资源,由于急倾斜煤层特殊的赋存条件,其开采方式以及灾害特性较水平煤层也不同。 急倾斜煤层开采时瓦斯涌出会造成严重的灾害。
针对煤层开采时工作面瓦斯涌出的问题,伍爱友等[4]基于灰色系统理论建立了瓦斯涌出量预测方法,并对具体工作面的瓦斯涌出量进行了预测,验证了预测模型的准确性;郭德勇等[5]应用多元回归预测方法预测平煤天安十矿己组煤层24110 工作面瓦斯涌出量,其预测值与实测值的误差为±10%;汪明等[6]基于随机森林构建了回采工作面瓦斯涌出量预测模型,通过该模型对工作面瓦斯涌出进行预测,预测结果与实测值的相对误差为6.2%;付华等[7]提出经IGA 优化的LS-SVM 瓦斯涌出量预测方法预测工作面瓦斯涌出量,得出该预测方法的最大误差不超过3%;王小朋[8]对单一厚煤层综采放顶煤工作面瓦斯涌出预测方法进行研究,提出一种适用于单一厚煤层综放工作面瓦斯涌出量预测方法,并对11 个单一厚煤层的瓦斯涌出量进行预测,得出理论预测结果与实际结果的平均误差为6%;李曲等[9]构建了基于基因组和表现型组的新型遗传算法的瓦斯涌出量预测模型预测工作面的瓦斯涌出量,结果表明预测模型具有较高的预测精度和稳定性;郑三龙等[10]对急倾斜煤层工作面的瓦斯涌出来源进行研究,得出急倾斜煤层开采工作面的瓦斯主要来源于开采分层以及下部卸压煤体的瓦斯涌出;刘军[11]在水平煤层开采工作面瓦斯涌出量预测的基础上对急倾斜煤层瓦斯涌出量预测方法进行改进,并结合实际工作面的瓦斯涌出量进行预测,表明预测方法的可行性;刘程[12]根据急倾斜煤层开采时覆岩破断特性,研究了急倾斜煤层的瓦斯运移规律,得出急倾斜煤层下部煤体具有大量的瓦斯涌出;马洪涛[13]针对急倾斜煤层的瓦斯赋存特点,采用数值模拟的方式研究了急倾斜煤层开采时采动围岩的裂隙分布规律,为制定较为合理的瓦斯抽采方法提供了依据;王鹏等[14]采用理论与试验相结合的方法研究了急倾斜特厚煤层不同掘进巷道的瓦斯涌出特性,得出了急倾斜特厚煤层沿顶板、底板掘进巷道的煤壁瓦斯涌出差异性。
笔者在前人研究的基础上,分析急倾斜特厚煤层回采工作面瓦斯涌出来源,应用急倾斜特厚煤层瓦斯涌出量预测方法预测乌东煤矿急倾斜特厚煤层回采工作面瓦斯涌出量,与实测数据进行比较,并对影响工作面瓦斯涌出量的因素进行灵敏度分析,为研究急倾斜特厚煤层回采工作面瓦斯涌出影响因素提供了一种分析方法。
急倾斜特厚煤层的赋存条件较水平煤层与缓倾斜煤层不同,其煤层倾角在45°以上,如图1a 所示。急倾斜特厚煤层的开采方式较水平煤层和缓倾斜煤层也不同,大多采用水平分段综放开采方式,该开采方式的开采效率较高,如图1b 所示。 该方法是沿煤层倾向将煤层划分为若干个分段,从上至下分段开采煤层,沿着煤层走向采用综放开采的方式。 正是由于煤层这种不同的赋存条件以及开采方式,从而导致急倾斜特厚煤层回采工作面瓦斯涌出来源较水平煤层与缓倾斜煤层不同[15]。

图1 急倾斜特厚煤层赋存条件和水平分段开采方式
Fig.1 Occurement condition of steeply inclined extra-thick coal seam and mining method of horizontal subsection
结合急倾斜特厚煤层分段开采的工艺特点,回采工作面瓦斯涌出来源有底部卸压带煤体涌出的瓦斯、开采分段涌出的瓦斯,邻近煤层涌出的瓦斯以及老采空区涌出的瓦斯[11],如图2 所示。

图2 回采工作面瓦斯涌出源示意
Fig.2 Schematic diagram of gas emission source in mining face
工作面瓦斯涌出量预测方法大致可以分为2 种:一种是矿山统计法,一种是分源预测法。 矿山统计法是基于煤层条件及开采条件相似的工作面瓦斯涌出统计数据,对另一个相似条件的煤层进行瓦斯涌出量的预测。 分源预测法是研究工作面瓦斯涌出的来源,通过计算各个涌出源的瓦斯涌出量来计算回采工作面的瓦斯涌出量,该方法较矿山统计法较为准确,且应用较为普遍。 采用分源预测法[16]计算急倾斜特厚煤层回采工作面瓦斯涌出量时,计算公式为
式中:qc、q1、q2、q3、q4分别为回采工作面、开采分段、邻近煤层、卸压带煤体和上部老采空区的相对瓦斯涌出量,m3/t。
根据分源预测法应当先计算出开采分段、邻近煤层、卸压带煤体以及分段上部老采空区相对瓦斯涌出量,因所研究的急倾斜特厚煤层开采分层不超过4个,因此采用开采分层不超过4 层的计算公式,开采分段瓦斯涌出量为
式中:K1为围岩瓦斯涌出系数[17],若采用全部陷落法管理顶板,碳质组分较多的围岩,K1取1.3,局部充填法管理顶板K1取1.2,全部充填法管理顶板K1取1.1;K2为工作面丢煤瓦斯涌出系数,采用采出率的倒数进行取值;K3为准备巷道预排瓦斯对开采层瓦斯涌出影响系数[10],采用长壁后退式回采时,K3 =(L-2h)/L;采用长壁前进式回采时,如上部相邻工作面已采,则K3 =1,上部相邻工作面未采,K3 =(L+2h+2b)/(L+2b),L 为工作面的长度,m,h 为掘进巷道预排等值宽度,m;b 为巷道宽度,m;X0为开采分段煤层原始瓦斯含量,m3/t;Xc为煤运出矿井后残存的瓦斯含量,m3/t;Kf为根据煤层开采的分层数量和顺序而确定的分层瓦斯涌出系数,所研究急倾斜特厚煤层是开采完成上一分段后再继续开采下一分段,并没有采用分层同时开采,因此Kf取值为1。
邻近层瓦斯涌出量[18]采用式(3)计算:
式中:mi为第i 个邻近层的煤厚,m;m0为开采煤层的厚度,m;X0,i为第i 个邻近层的瓦斯含量,m3/t;Xc,i为邻近层的残存瓦斯含量,m3/t;ηi 为第i 个邻近层受采动影响的瓦斯排放率,%[19]。
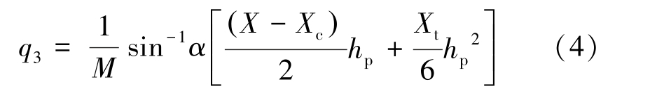
下部煤体的瓦斯涌出量[20]采用式(4)计算:
式中:M 为水平分段高度,m;X 为底部煤体原始瓦斯含量,m3/t;hp 为采动影响破坏深度,m;α 为煤层倾角,(°);Xt 为瓦斯含量梯度,m3/(t·m-1)。
上分段老采空区瓦斯涌出量用下式计算:
式中:K′为老采空区瓦斯系数,取0.15[11]。
对乌东煤矿+575 m 水平45 号煤层西翼回采工作面瓦斯涌出来源进行分析,确定计算涌出量的各个参数,开采分段瓦斯涌出量计算参数如下:

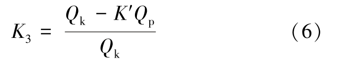
由于该煤层为急倾斜煤层,其开采方式为长壁后退式回采,K3的计算若按K3 =(L-2h)/L 计算常出现负值,因此按下式进行计算[11]:
式中:Qk为开采分段煤体瓦斯储量,m3;Qk =GkX0;Gk为开采分段内煤炭储量,t;Qp为巷道风排瓦斯量,m3,若未掘进则可根据掘进巷道瓦斯涌出量预测方法进行计算,K′=(U-LD)/U,U 为巷道所含煤体周长,m,LD为巷道底部宽度,m。
根据乌东煤矿实际情况,该式子中各参数值为:Gk =158 676 8 t,X0 =2.68 m3/t,Qp =70 876 m3,K′=0.60,因此求得K3 =0.99。 将表1 中数据代入式(2)中,可得开采分层相对瓦斯涌出量q1 为2.91 m3/t。邻近层瓦斯涌出涌出量计算参数见表1,将表中各参数代入式(3)后得该工作面邻近层的预测瓦斯涌出量。
表1 邻近层瓦斯涌出量计算参数
Table 1 Calculation parameters of gas emission in adjacent layers

层位关系 煤层编号煤层原始瓦斯含量X0,i/ (m3·t-1)煤层残存瓦斯含量Xc,i/(m3·t-1)邻近煤层平均厚度mi/m开采层厚度m0/m瓦斯排放率ηi/%相对瓦斯涌出量q2/(m3·t-1)上邻近层44 5.21 1.53 0.56 22 50 0.05 46 5.21 1.53 0.61 22 70 0.07下邻近层47 5.21 1.53 0.46 22 60 0.05
据乌东煤矿的实际情况,式(4)中对应的参数依次为:M0 =25 m;Xt =0.016 3 m3/(t·m-1);X =5.21 m3/t;Xc =1.53 m3/t;hp =30 m;α =45°,代入后得下部煤体瓦斯涌出量q3为3.26 m3/t。 基于所得到的结果可以计算出回采工作面上分段老采空区的瓦斯涌出量q4为0.95 m3/t。
则回采工作面的相对瓦斯涌出量预测值qc 为7.29 m3/t,绝对瓦斯涌出量计算公式为
式中:qcj为工作面绝对瓦斯涌出量,m3/min;A 为工作面煤炭日产量,t。
工作面煤炭日产量为1 543.17 t 时,计算后得绝对瓦斯涌出量为9.20 m3/min,实测绝对瓦斯涌出量为9.40 m3/min,相对误差为2.13%,表明预测模型能够合理且准确地预测回采工作面的瓦斯涌出量。 为了进一步验证预测模型的准确性,选取多组数据进行绝对瓦斯涌出量的预测,其实测值与预测结果如图3 所示。
由图3 可得,回采工作面瓦斯涌出量预测值与实测值整体上具有较高的一致性,相对误差为0.18%~5.43%,相对误差的平均值为3.23%,能够满足实际的要求。

图3 瓦斯涌出量预测值与实测值对比
Fig.3 Comparison diagram of predicted and measured gas emission quantity
为研究各个影响因素对回采工作面瓦斯涌出量的影响,现对乌东煤矿+575 m 水平45 号煤层西翼回采工作面与43 号煤层西翼回采工作面的瓦斯涌出量以及各个瓦斯涌出源的瓦斯涌出量进行分析,该回采工作面各涌出源的瓦斯涌出量占比如图4所示。

图4 瓦斯涌出量及涌出占比
Fig.4 Gas emission amount and emission ratio
由图4 可得,回采工作面的瓦斯涌出中开采分段与下部煤体所占据比重较大[10]。 下部煤体的瓦斯涌出是由于工作面开采煤体后,开采分段下部煤体在顶底板的夹持作用形成卸压区,卸压区的煤体产生采动裂隙,透气性显著增加,其煤体中含有的游离瓦斯在压力差的作用下,会沿着原生裂隙和采动裂隙流向工作面。 同时由于下部煤体中的瓦斯压力发生改变,吸附在煤体中的瓦斯进一步解析为游离状态的瓦斯,从而使得瓦斯不断向回采工作面流动。利用COMSOL Multiphysics 数值模拟软件对工作面开采后煤岩体的受力变形及孔隙率的变化进行数值模拟,结果如图5 所示,由图5a 可得,煤层开采后覆岩发生变形破断充填采空区,未发生破断的覆岩在下部煤体的支撑作用下形成悬臂梁模型,其在端部的受力较为集中从而对煤体造成挤压破坏产生裂隙。 由图5b 和图5c 的孔隙率分布可以看出下部煤体的局部位置的孔隙率出现了明显的增加,这说明底部卸压煤体产生了裂隙,促进了底部煤体的瓦斯涌入到工作面。

图5 煤层分段开采煤岩体受力及孔隙率分布
Fig.5 Distribution map of stress and porosity of rock mass in first section of coal seam
为了进一步探究预测模型中的各个因素对瓦斯涌出量的影响,对各个因素进行灵敏度分析,进行灵敏度分析大多采用的Morris 筛选法[21]。 Morris 筛选法为进行灵敏度分析较为普遍的方式。 Morris 筛选法是根据所建立的模型采用控制变量法,只改变其中一个变量xi,保持其余参数不变,在变量阈值范围内随机改变模型中的xi 得到模型y(x) = y(x1,x2,…,xn)的值,用影响值ei判断参数变化对输出值的影响程度:
式中:y、y∗分别为参数变化前后的输出值;Δi为参数i 的改变幅度。
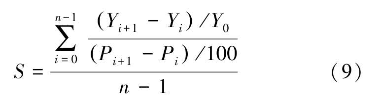
结合Morris 筛选法采用修正后的Morris 筛选法[21]来计算各影响因素的灵敏度,修正后采用固定步长变化的自变量,灵敏度判别因子S 取Morris 多个平均值:

式中:Yi为模型第i 次运行输出值;Y0为参数率定后计算结果初始值;Pi 为第i 次模型运算参数值相对于率定参数后参数值变化的百分率;n 为模型运行次数。
回采工作面瓦斯涌出量预测模型为:
对回采工作面瓦斯涌出量的影响因素进行分析时,选取工作面的瓦斯涌出量作为检验变量,对回采工作面瓦斯涌出量预测模型中的围岩瓦斯涌出系数以及丢煤瓦斯涌出系数等10 个影响因素的灵敏度进行分析,得出的影响因素灵敏度见表2。
表2 影响因素灵敏度数据
Table 2 Sensitivity data of influencing factors

参数编号 影响因素+575 m 水平煤层西翼回采工作面参数灵敏度45 号煤层 43 号煤层1 围岩瓦斯涌出系数K1 0.419 34 0.985 08 2 工作面丢煤瓦斯涌出系数K2 2.698 56 2.666 39 3 开采层瓦斯涌出影响系数K3 2.338 45 2.388 08 4 分层瓦斯涌出系数Kf 0.704 58 0.719 54 5 煤层原始瓦斯含量X0 3.522 92 1.097 44 6 残存瓦斯含量Xc-1.006 55-0.477 04 7 开采煤层瓦斯含量梯度Xt 2.753 49 1.634 83 8 采动影响破坏深度hp 0.124 33 0.074 11 9 水平分段高度M0-0.440 90-1.157 37 10 老采空区瓦斯系数K′ 0 0
其中,灵敏度分级[21-22]如下:

结合影响因素的灵敏度分析结果可以看出,除老采空区瓦斯涌出系数K′的灵敏度小于0.05 外,其他因素的灵敏度均大于0.05,这说明除老采空区瓦斯涌出系数外其他因素对回采工作面的瓦斯涌出量都有较为显著的影响。 老采空区对回采工作面的瓦斯涌出量影响小是因为工作面上部的老采空区基本已经压实,游离态瓦斯气体在其中的流动比较困难。在上部采空区压实的过程中,瓦斯气体在其中流动所受到的阻力较煤层中小,采空区的瓦斯会随着工作面的风流流出回采工作面,造成其瓦斯含量的减少,因而老采空区的瓦斯涌出对回采工作面的瓦斯涌出影响较小。
为更加直观看出各个影响因素对回采工作面瓦斯涌出量的影响程度,将各个影响因素的灵敏度绘制成图6 所示。

图6 影响因素灵敏度分析
Fig.6 Sensitivity analysis of influencing factors
由图6a 可得,工作面的丢煤瓦斯涌出、开采层瓦斯涌出、煤层的原始瓦斯含量、残存瓦斯含量以及开采煤层瓦斯含量梯度对回采工作面瓦斯涌出量的影响灵敏度均大于1,是高灵敏度参数。 工作面的丢煤瓦斯涌出系数是与采出率有关的,当工作面的采出率较高时,表明开采的煤量较多。 煤层开采时煤中瓦斯将会随着煤体的采落释放出来。 工作面前方煤体处于卸压的塑性区,孔裂隙较为拓展,裂隙的拓展造成了煤体中大量吸附的瓦斯解析,在工作面的开采过程中,这些解析的瓦斯从煤体中涌出,增加了工作面的瓦斯涌出量,因此开采层的瓦斯涌出对工作面的瓦斯涌出量具有较大的影响。 煤层的原始瓦斯含量对回采工作面的瓦斯涌出量也有相当大的影响[23],当煤层原始瓦斯量较多时,开采较少部分的煤体就可能会释放出较多瓦斯,从而造成工作面瓦斯涌出量的增加。 残存瓦斯含量是煤体运出矿井后残存的瓦斯含量,当采落的煤体运出矿井后工作面还是有较多残存的瓦斯,这就会增加工作面的瓦斯含量。 开采煤层的瓦斯含量梯度对工作面的瓦斯涌出量影响表现在下部卸压煤体的瓦斯涌入回采工作面,当开采煤层的瓦斯含量梯度较大时,即使因采动影响下部卸压带煤体的破坏深度较浅,工作面下部的煤体也会涌出大量的瓦斯气体,造成工作面的瓦斯含量增加,因此也会影响工作面的瓦斯涌出量。
围岩瓦斯涌出系数、分层瓦斯涌出系数和水平分段高度对回采工作面瓦斯涌出量影响灵敏度等表明3 个参数是灵敏参数,围岩瓦斯涌出系数对回采工作面瓦斯涌出量的影响表现在当围岩瓦斯涌出系数增加时,表明瓦斯能够较为容易地从围岩中涌入工作面造成工作面的瓦斯涌出量增加。 工作面进行多分层开采时,该分段工作面的下部煤体相当于下分段工作面的开采煤层,因此该部分煤体的瓦斯会向2 个空间涌入,从而影响工作面的瓦斯涌出量,如图7 所示。

图7 多分层开采工作面底部煤体瓦斯涌出示意
Fig.7 Diagram of gas emission from coal at bottom of multi-layer mining face
水平分段的高度对瓦斯涌出量的影响也是通过下部卸压煤体的变化而表现出来的,当水平分段的高度变化时,其下部煤体的卸压带范围也会发生相应的变化,如图8 所示。 分段开采的高度增加后,底部卸压带煤体的孔隙率变大,说明分段开采的高度变化影响了底部卸压带煤体的孔裂隙发育,使底部煤体孔裂隙发育,这种变化也相应地影响了下部卸压煤体的瓦斯涌出,从而影响回采工作面的瓦斯涌出量。

图8 分段开采高度变化致底部煤体孔隙率变化分布
Fig.8 Distribution of porosity of coal body caused by sublevel mining height change
+575 m 水平43 号煤层西翼回采工作面灵敏度分析结果与+575 m 水平45 号煤层西翼回采工作面灵敏度分析结果整体上具有一致性,即工作面的丢煤瓦斯涌出系数、开采层瓦斯涌出、煤层的原始瓦斯含量、开采煤层瓦斯含量梯度均为灵敏度大于1 的高灵敏度参数,而围岩瓦斯涌出系数和分层瓦斯涌出系数均为灵敏参数,采动影响破坏深度为中灵敏度参数,老采空区瓦斯涌出系数为不灵敏参数。 两个工作面的围岩瓦斯涌出系数、工作面丢煤瓦斯涌出系数、开采层瓦斯涌出系数、分层瓦斯涌出系数以及煤体原始瓦斯含量均为灵敏和高灵敏参数,表明这些参数对工作面瓦斯涌出量的影响较大。 而开采分段的瓦斯涌出量计算模型包含这些参数,因此开采分段的瓦斯涌出量在工作面瓦斯涌出量中所占据的比例较大。 同理瓦斯含量梯度也是高灵敏度参数,对瓦斯涌出量具有较高的影响,因而下部煤体的瓦斯涌出量在工作面瓦斯涌出量中所占据较大的比例。
尽管2 个工作面的煤层原始瓦斯含量和开采煤层瓦斯含量梯度影响因素灵敏度等级相同,但是灵敏度的值相差较大。 因为45 号煤层的原始瓦斯含量与瓦斯含量梯度均比43 号煤层高,因此45 号煤层两个影响因素的灵敏度计算结果比45 号煤层高。除上述灵敏度等级相同的影响因素外,2 个工作面的残存瓦斯含量和水平分段高度的灵敏度等级有所不同。 水平分段高度的变化影响了回采工作面的瓦斯涌出量,2 个工作面的水平分段高度不同,因此灵敏度等级也不同,且上文中已经进行了详细的阐述。因为两个工作面的开采水平分段高度不同,煤层厚度不同,因而开采的煤量也有所不同,开采后运出矿井的煤量不同造成残存的瓦斯含量有差异,因此灵敏度等级不同。 尽管两种因素对工作面的瓦斯涌出量影响灵敏度等级不同,但都产生了中等程度以上的影响。 通过比较两个工作面的两个参数的灵敏度可以发现,两个参数的计算结果都是负数。 且+575 m 水平45 号煤层西翼回采工作面的残存瓦斯含量为高灵敏度参数,水平分段高度为灵敏参数,而+575 m水平43 号煤层西翼回采工作面两个因素的分析结果恰好与45 号煤层相反,因此两个因素之间可能存在某种制约或者联系。
1)急倾斜特厚煤层回采工作面瓦斯涌出量预测模型能够较好地预测回采工作面的瓦斯涌出量,乌东煤矿+575 m 水平45 号煤层西翼回采工作面瓦斯涌出量的预测结果与实测值的最大相对误差为5.43%,最小相对误差为0.18%,平均相对误差为3.23%,验证了预测模型的准确性。
2)回采工作面的瓦斯涌出主要来自开采分段与下部煤体,邻近煤层与上部老采空区的瓦斯涌出所占比重较少;两个工作面的瓦斯涌出量影响因素灵敏度分析中大多数影响因素均具有相同的灵敏度等级,残存瓦斯含量和水平分段高度的灵敏度等级不同。
3) 采用急倾斜特厚煤层水平分段综放开采的乌东煤矿+575 m 水平45 号与43 号煤层2 个工作面的丢煤瓦斯涌出系数、开采层瓦斯涌出系数、煤体原始瓦斯含量以及瓦斯含量梯度均为高灵敏度参数,这些影响因素对工作面瓦斯涌出影响最大;采动影响破坏深度为中灵敏参数,其对工作面瓦斯涌出影响较大;围岩瓦斯涌出系数和分层瓦斯涌出系数为灵敏参数,影响次之;老采空区瓦斯涌出系数为不灵敏参数,几乎不产生影响。
[1] 陈国红,王中华,孙娈娈.急倾斜煤层群突出规律及防突对策研究[J].中国煤炭,2017,43(10):105-108.CHEN Guohong,WANG Zhonghua,SUN Luanluan.Research on outburst laws and countermeasures in steep coal seam group[J].China Coal,2017,43(10):105-108.
[2] 张九零,范酒源.吕家坨矿煤层注水技术应用与效果分析[J].煤矿安全,2017,48(10):136-138.ZHANG Jiuling,FAN Jiuyuan.Application and effect analysis of coal seam water injection technology in Lyujiatuo Coal Mine[J].Safety in Coal Mines,2017,48(10):136-138.
[3] 杜昌昂,孙路路,张延博,等.急倾斜煤层分层开采覆岩裂隙场规律及瓦斯治理技术研究[J].煤炭技术,2018,37(9):70-72.DU Changang,SUN Lulu,ZHANG Yanbo,et al.Study on law of fracture field of overlying strata and gas control technology of steeply inclined coal seam by stratified mining [ J]. Coal Technology,2018,37(9):70-72.
[4] 伍爱友,田云丽,宋 译,等.灰色系统理论在矿井瓦斯涌出量预测中的应用[J].煤炭学报,2005,30(5):47-50.WU Aiyou,TIAN Yunli,SONG Yi,et al.Application of the grey system theory for predicting the amount of mine gas emission in coal mine[J].Journal of China Coal Society,2005,30(5):47-50.
[5] 郭德勇,郑茂杰,鞠传磊,等.采煤工作面瓦斯涌出量预测逐步回归方法[J].北京科技大学学报,2009,31(9):1095-1099.GUO Deyong, ZHENG Maojie, JU Chuanlei, et al. Stepwise regression method for predicting gas emission from coal faces[J].Chinese Journal of Engineering,2009,31(9):1095-1099.
[6] 汪 明,王建军.基于随机森林的回采工作面瓦斯涌出量预测模型[J].煤矿安全,2012,43(8):182-185.WANG Ming,WANG Jianjun.Gas emission prediction model of stope based on random forest[J].Safety in Coal Mines,2012,43(8):182-185.
[7] 付 华,姜 伟,单欣欣.基于耦合算法的煤矿瓦斯涌出量预测模型研究[J].煤炭学报,2012,37(4):654-658.FU Hua,JIANG Wei,SHAN Xinxin.Study on coupling algorithm on coal mine gas emission forecast model[J].Journal of China Coal Society,2012,37(4):654-658.
[8] 王小朋.单一厚煤层综采放顶煤工作面瓦斯涌出量预测方法研究[J].能源技术与管理,2020,45(3):38-40.WANG Xiaopeng.Study on prediction method of gas emission in fully mechanized caving face of single thick coal seam[J].Energy Technology and Management,2020,45(3):38-40.
[9] 李 曲,蔡之华,朱 莉,等.基因表达式程序设计方法在采煤工作面瓦斯涌出量预测中的应用[J].应用基础与工程科学学报,2004(1):49-54.LI Qu,CAI Zhihua,ZHU Li,et al.Application of gene expression programming in predicting the amount of gas emitted from coal face[J].Journal of Basic Science and Engineering,2004(1):49-54.
[10] 郑三龙,范酒源,王 刚,等.急倾斜特厚煤层水平分层开采工作面瓦斯立体化抽采工艺技术研究与应用[J].矿业安全与环保,2020,47(6):69-74.ZHENG Sanlong,FAN Jiuyuan,WANG Gang,et al.Research and application of gas stereoscopic drainage technology in horizontal slicing working face of steeply and ultra-thick coal seam[J].Min⁃ing Safety & Environmental Protection,2020,47(6):69-74.
[11] 刘 军.急倾斜特厚煤层开采工作面瓦斯涌出量预测方法的建立及应用[J].矿业安全与环保,2019,46(1):47-51,56.LIU Jun.Establishment and application of gas emission prediction method in mining face of steeply inclined and extra thick coal seam[J]. Mining Safety & Environmental Protection, 2019,46(1):47-51,56.
[12] 刘 程.急倾斜煤层分段开采围岩裂隙场演化及瓦斯运移规律研究[D].西安: 西安科技大学,2018.LIU Cheng. The development of the fracture field of the surrounding rock and the law of gas migration are studied[D].Xi’an:Xi’an University of Science and Technology,2018.
[13] 马洪涛.高瓦斯急倾斜特厚煤层瓦斯高效抽采成套技术[J].矿业安全与环保,2017,44(3):53-57.MA Hongtao.Complete technology for high efficient gas drainage in gassy steep and extra-thick coal seam[J].Mining Safety&En⁃vironmental Protection,2017,44(3):53-57.
[14] 王 鹏,张林良.急倾斜特厚煤层掘进工作面瓦斯涌出差异性研究[J].煤炭技术,2016,35(3):160-161.WANG Peng,ZHANG Linliang.Mine of steeply inclined and ex⁃tremely thick coal seam of unusual gas emission[J].Coal Tech⁃nology,2016,35(3):160-161.
[15] 杨永清,孙炳兴,王二宽.阿刀亥煤矿水平分段综放开采工作面瓦斯涌出量预测数学模型研究[J].煤炭工程,2017,49(S2):155-159,162.YANG Yongqing,SUN Bingxing,WANG Erkuan.Establishment of mathematical model for gas emission prediction in horizontal section fully mechanized top-coal caving of Adaohai Coal Mine[J].Coal Engineering,2017,49(S2):155-159,162.
[16] 秦玉金,苏伟伟,姜文忠,等.我国矿井瓦斯涌出量预测技术研究进展及发展方向[J].煤矿安全,2020,51(10):52-59.QIN Yujin,SU Weiwei,JIANG Wenzhong,et al.Research progress and development direction of mine gas emission forecast technology in China[J].Safety in Coal Mines,2020,51(10):52-59.
[17] 马 迅.分源预测法在回采工作面瓦斯涌出量预测中的应用[J].山东煤炭科技,2020(6):101-103.MA Xun.Application of separate source prediction method in gas emission prediction of mining face[J].Shandong Coal Science and Technology,2020(6):101-103.
[18] 王文清.综采工作面瓦斯涌出量预测及瓦斯综合治理[J].陕西煤炭,2018,37(6):70-73,89.WANG Wenqing. Gas emission prediction and comprehensive management of fully mechanized mining face[J].Shaanxi Coal,2018,37(6):70-73,89.
[19] 何 清.工作面瓦斯涌出量预测研究现状及发展趋势[J].矿业安全与环保,2016,43(4):98-101.HE Qing.Present research situation on gas emission prediction of working face and its developing trend[J].Mining Safety & Envi⁃ronmental Protection,2016,43(4):98-101.
[20] 陈建强.开采急倾斜特厚煤层瓦斯涌出影响因素分析[J].矿业安全与环保,2015,42(5):92-95.CHEN Jianqiang.Analysis on influence factors of gas emission in steep extra-thick coal seam mining[J].Mining Safety & Environ⁃mental Protection,2015,42(5):92-95.
[21] 王 刚,武猛猛,王海洋,等.基于能量平衡模型的煤与瓦斯突出影响因素的灵敏度分析[J].岩石力学与工程学报,2015,34(2):238-248.WANG Gang,WU Mengmeng,WANG Haiyang,et al.Complete technology for high efficient gas drainage in gassy steep and extrathick coal seam[J].Chinese Journal of Rock Mechanics and En⁃gineering,2015,34(2):238-24.
[22] 李伟雨.基于SWMM 模型的悦来会展城雨洪模拟研究[D].重庆:重庆大学,2018.LI Weiyu.Study on Stormwater simulation in convention and exhi⁃bition city of yuelai based on SWMM[D].Chongqing:Chongqing University,2018.
[23] 王 冬.复产矿井瓦斯涌出量预测影响因素及偏差分析[J].能源与环保,2020,42(7):5-10.WANG Dong.Influencing factors and deviation analysis of gas e⁃mission prediction in re-production mines[J].China Energy and Environmental Protection,2020,42(7):5-10.