
移动扫码阅读
Study on failure characteristics of stope overlying rock considering strain hardening characteristics of caved rock mass
近年来,随着我国煤炭开发战略西移,煤炭大规模开采与水资源保护间的矛盾极为突出。 为此,国家能源投资集团有限责任公司提出煤矿地下水库技术体系[1-2],利用煤炭开采形成的采空区岩体空隙储水,为我国西部煤炭开采与水资源保护利用协调提供重要技术途径[3-4]。 在地下水库建设过程中,煤炭开采覆岩破坏形态及发育高度直接决定着地下水库的储水库容能力[5-7]。 因此,研究并揭示煤炭开采后覆岩破坏形态对于地下水库高效建设具有重要意义。
国内外科技工作者对地下水库建设中采场覆岩破坏规律进行了大量研究。 如曹志国等[8]提出了采动覆岩导水裂隙的主通道分布模型,并阐明了水体流动力学特性;李全生等[9]分别基于单一煤层开采与煤层群开采条件下的导水断裂带高度预计方法,对地下水库保水技术的适应性进行了评价;鞠金峰等[10]通过对导水裂隙带内空隙的定量计算,确定了地下水库极限库容的计算方法;上述研究多采用理论分析、现场原位观测和室内实验的方法对导水断裂带发育高度或形态进行分析预测及基于上述探测结果的地下水库库容计算。 事实上,采场覆岩破坏规律受诸多因素影响,理论计算方法多基于大量假设,而现场实测方法费时费力且实测结果受客观因素影响,因此,数值模拟成为分析采场覆岩破坏特征的简单、有效方法。 但在以往的数值模拟研究中,忽略了实际工程中冒落矸石渐进压实过程而诱发的应变硬化行为[11-15],因而无法科学地指导地下水库库容计算。
基于李家壕煤矿31108 工作面地质生产条件,探讨采空区垮落岩体压实过程中的应变硬化力学特性,并基于FLAC3D内置双屈服本构模型寻找其在数值模拟中的仿真实现方法,模拟分析采场覆岩破坏形态及应力位移场特征,为地下水库设计提供理论支撑。
李家壕煤矿位于内蒙古鄂尔多斯市东胜煤田中南部,设计生产能力600 万t/a。 当前该矿主采2-2煤和3-1 煤。 2-2 煤厚度1.4~5.3 m,平均厚度2.03 m,大部分可采,煤层结构简单,顶板以粉砂岩与细粒砂岩为主,底板以砂质泥岩为主;3-1 煤厚度2.5 ~6.3 m,平均4.0 m,煤层结构简单,顶板以砂质泥岩和粉砂岩为主,底板主要是砂质泥岩。 3-1 煤埋深204~254 m,地层中主要含水层为基岩孔隙裂隙含水层以及第四系松散含水层。 试验工作面为李家壕煤矿31108 工作面,主采3-1 煤层,工作面内TL32钻孔揭示煤层柱状如图1 所示。

图1 31108 工作面钻孔柱状
Fig.1 Borehole column of panel No.31108
31108 工作面顶板砂质泥岩的孔隙率为4.54%~30.00%,含水率为0.13%~5.42%,吸水率为1.08% ~12.28%,抗压强度为2.4 ~80 MPa,平均41 MPa,抗拉强度为0.41 ~3.24 MPa,黏聚力为1.2 MPa,内摩擦角为20°,泊松比为0.3,软化系数为0.12~0.73,岩体碎胀系数取1.3。
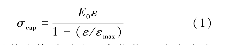
在煤炭开采过程中,岩层自下而上运移破坏,形成垮落带、断裂带和弯曲下沉带。 破碎岩体由松散体向承载体转化的力学过程,即应变硬化行为,将对覆岩变形应力分布发生显著影响[16-18]。 Salamon 将冒落块体作为颗粒物质,提出的垮落岩体应力-应变关系被广泛采用,其表达式如下:

式中:σcap为垮落岩体受到的垂直载荷;ε 为在应力σcap作用下垮落岩体的体积应变;εmax为产生的最大体积应变;E0 为垮落岩体的初始弹性模量。 εmax 和E0的取值取决于垮落岩体的碎胀系数与强度:

式中:Kp为垮落岩体的碎胀系数;σc 为岩体的抗压强度。 将式(2)、式(3)代入(1)可得,垮落岩体应变硬化力学特性如下:

根据式(4)可以推导得出采空区垮落岩体应力状态与碎胀系数、岩石强度的关系,如图2 所示。
由图2a 可知,随着应变ε 的增加,垮落岩体的应力先缓慢增大,当达到某一临界应变后,应力呈近似指数型快速增长;且随着碎胀系数的增加,应力呈现指数型增长所对应的临界应变亦随之增大。由图2b 可知,随着应变增加,应力先缓慢增加后呈快速增长趋势,且岩块强度越高,最终应力恢复值越高。

图2 碎胀系数、岩体强度对垮落岩体力学特性的影响
Fig.2 Effect of bulking coefficient and rock mass strength on mechanical property of caved rock masses
FLAC3D内置双屈服模型能较准确地描述垮落岩体压实过程中的应力恢复行为,并被国内外专家学者使用[19-20]。 在双屈服模型使用过程中,需要盖帽压力和材料特性两大类参数,其中,材料参数包括密度、体积模量、剪切模量、内摩擦角与剪胀角。 盖帽压力可通过Salamon 经验公式确定,材料参数可采用反演-试错方法确定。
为验证上述仿真计算方法的可行性,以李家壕煤矿31108 工作面地质条件为例,对比分析采场覆岩位移场和破坏场,确定覆岩破坏状态。
根据31108 工作面地质生产条件,建立数值模型如图3 所示。

图3 三维计算模型
Fig.3 Three dimension simulation model
模型尺寸为500 m×250 m×260 m。 模型X 方向和Y 方向边界施加水平位移约束,模型底部边界速度限定为0。 沿X、Y 方向施加水平应力,侧压系数设定为1.2。 Mohr-coulomb 模型用于模拟顶底板岩层,其参数在室内实验基础上通过Hoek-Brown强度准则得出;双屈服模型用于模拟冒落矸石。
数值模拟过程为:初始应力计算→31108 工作面分步开挖(50、100、150、200 m)→采空区双屈服模型定义(方案一)、未充填采空区(方案二)→运算平衡。
根据31108 工作面地质条件,垮落矸石的碎胀系数取1.3,单轴抗压强度取41 MPa,代入式(2)—式(3),得到最大应变εmax为0.23,弹性模量E0为66;代入式(4),得到垮落岩体应力分布如图2 所示。 通过建立1 m×1 m×1 m 单元体,模型上部施加1×10-5 m/s 速度,模型四周及底部位移限制为0,获取模型平衡运算过程中的应力-应变曲线。 通过调试材料参数并拟合,最终获得的材料参数见表1。

图4 冒落岩体应力-应变关系
Fig.4 Stress-strain relationships of caved rock masses
表1 双屈服模型中的材料特性
Table 1 Materials’ parameters for double-yield model

密度/(kg·m-3)体积模量/GPa剪切模量/GPa内摩擦角/(°)剪胀角/(°)1 000 9.58 5.32 30 15
3.3.1 位移分布特征
31108 工作面推进至不同位置时位移变化曲线如图5 所示。
图5a 为工作面正常开挖时顶板位移变化曲线。由图可知:①顶板下沉位移曲线呈近似倒梯形分布形态,工作面开挖区域顶板下沉量最大,未开区域顶板下沉量逐渐降低并趋于0。 ②随着工作面开挖尺寸增大,顶板下沉量亦逐渐增大,工作面推进50、100、150、200 m 时,顶板最大下沉量依次为134、212、270、320 mm,增加了1.38 倍。
图5b 为定义双屈服模型后顶板位移变化曲线。 由于采空区应变硬化模型作用,采空区顶底板边界由无约束转化为应力约束,从而极大限制了顶板下沉,见表2。 工作面推进至不同位置时,顶板垂直位移分别为124、195、237、256 mm,相比未充填采空区时的顶板最大位移依次降低了10、17、33、64 mm。

图5 采空区顶板位移变化曲线
Fig.5 Displacement curve of roof on goaf
表2 不同推进距离时采空区顶板位移对比
Table 2 Comparison of roof displacement with various retreating distance

下沉量/mm推进距离/m正常开挖 充填开挖 变化量50 134 124 10 100 212 195 17 150 270 237 33 200 320 256 64
3.3.2 塑性破坏特征分析
图6 为工作面正常开挖时顶板塑性破坏特征。 当工作面推进50 m 时,顶板局部出现垮落,根据拉剪破坏单元分布,可以确定垮落带高度约为8.5 m,导水裂隙带高度约为34 m;当工作面推进到100 m 时,垮落带和断裂带高度均显著增大,“两带”高度分别为15 m 和50 m;随着工作面继续推进至150 m 和200 m 时,垮落带横向范围增大但整体高度基本稳定,最终垮落带高度为18 m,断裂带继续向上发育,高度依次增长为66 m 和75 m。

图6 不同推进距离时塑性区分布特征
Fig.6 Distribution characteristics of the plastic zone with various retreating distance
图7 为定义采空区双屈服模型时顶板塑性破坏特征。 当考虑落矸石碎胀特性时,塑性区破坏形态变化较小,见表3。 当考虑冒落岩体碎胀特性时,垮落带高度最终确定为15 m,减少约16%;断裂带高度确定为65 m,减少约13.3%。 在31108 工作面现场探测实践中,观测结果表明“两带”发育高度为57.7~65.9 m,而当考虑垮落岩体碎胀特性时,测得的导水裂隙带高度约为65 m,与现场实测结果较好地吻合。

图7 考虑垮落岩体力学特性时塑性区分布特征
Fig.7 Distribution characteristics of plastic zone in consideration of mechanical properties of caved rock masses
表3 不同推进距离时“两带”发育高度对比
Table 3 Comparison of development height of two zones with various retreating distance 单位:m

推进距离 垮落带高度 断裂带高度正常开挖充填开挖正常开挖充填开挖50 8.5 8 34 30 100 15 13 50 44 150 16 15 66 60 200 18 15 75 65
综上分析,在模拟分析过程中,考虑冒落岩体碎胀力学特性时,由于冒落矸石对采空区的完全充实、压实特性,顶板岩层的运动范围和程度明显减低,得到结果更加接近现场实际。 因此,采用垮落带力学特性及双屈服模型,实现了对垮落岩体碎胀特性的仿真模拟。
1)随着应变的增加,垮落岩体的应力先缓慢增大,当达到某一临界应变后,应力呈近似指数型快速增长;且随着碎胀系数的增加,应力呈现指数型增长所对应的临界应变亦随之增大。
2)基于FLAC3D内置的双屈服模型,提出了采空区垮落岩体应变硬化特性的仿真计算方法,并提出了盖帽压力与材料特性的反演计算方法。
3)通过数值模拟对比分析可知,当考虑冒落岩体碎胀力学特性时,由于冒落矸石对采空区的完全充实、压实特性,顶板岩层的运动范围和程度明显降低,得到结果更加接近现场实际。
[1] 顾大钊.煤矿地下水库理论框架和技术体系[J].煤炭学报,2015,40(2):239-246.GU Dazhao.Theory framework and technological system of coal mine underground reservoir[J].Journal of China Coal Society,2015,40(2):239-246.
[2] 刘晓丽,曹志国,陈苏社,等.煤矿分布式地下水库渗流场分析及优化调度[J].煤炭学报,2019,44(12):3693-3699.LIU Xiaoli,CAO Zhiguo,CHEN Sushe,et al.Seepage field analysis and optimal schedule of distributed underground reservoir in mining area[J].Journal of China Coal Society,2019,44(12):3693-3699.
[3] 姚强岭,郝 琪,陈翔宇,等.煤矿地下水库煤柱坝体宽度设计[J].煤炭学报,2019,44(3):890-898.YAO Qiangling,HAO Qi,CHEN Xiangyu,et al.Design on the width of coal pillar dam in coal mine groundwater reservoir[J].Journal of China Coal Society,2019,44(3):890-898.
[4] 顾大钊,颜永国,张 勇,等.煤矿地下水库煤柱动力响应与稳定性分析[J].煤炭学报,2016,41(7):1589-1597.GU Dazhao,YAN Yongguo,ZHANG Yong,et al. Experimental study and numerical simulation for dynamic response of coal pillars in coal mine underground reservoir[J].Journal of China Coal Soci⁃ety,2016,41(7):1589-1597.
[5] 梁 涛,刘晓丽,王思敬.采动裂隙扩展规律及渗透特性分形研究[J].煤炭学报,2019,44(12):3729-3739.LIANG Tao,LIUXiaoli,WANG Sijing.Fractal study on the crack network evolution and permeability change in mining rock mass[J].Journal of China Coal Society,2019,44(12):3729-3739.
[6] 曹志国. 煤矿地下水库不同人工坝体结构抗震性能研究[J].煤炭科学技术, 2020, 48(12): 237-243.CAO Zhiguo. Study on aseismic performance of different artificial dam structures of coal mine underground reservoir [J]. Coal Science and Technology, 2020, 48(12): 237-243.
[7] 杨达明,郭文兵,赵高博,等.厚松散层软弱覆岩下综放开采导水断裂带发育高度[J].煤炭学报,2019,44(11):3308-3316.YANG Daming,GUO Wenbing,ZHAO Gaobo,et al.Height of waterconducting zone in longwall top-coal caving mining under thick al⁃luvium and soft overburden[J].Journal of China Coal Society,2019,44(11):3308-3316.
[8] 曹志国,鞠金峰,许家林.采动覆岩导水裂隙主通道分布模型及其水流动特性[J].煤炭学报,2019,44(12):3719-3728.CAO Zhiguo,JU Jinfeng,XU Jialin.Distribution model of waterconducted fracture main channel and its flow characteristics[J].Journal of China Coal Society,2019,44(12):3719-3728.
[9] 李全生,鞠金峰,曹志国,等.基于导水断裂带高度的地下水库适应性评价[J].煤炭学报,2017,42(8):2116-2124.LI Quansheng,JU Jinfeng,CAO Zhiguo,et al Suitability evaluation of underground reservoir technology based on the discriminant of the height of water conduction fracture zone[J].Journal of China Coal Society,2017,42(8):2116-2124.
[10] 鞠金峰,许家林,朱卫兵.西部缺水矿区地下水库保水的库容研究[J].煤炭学报,2017,42(2):381-387.JU Jinfeng,XU Jialin,ZHU Weibing.Storage capacity of under⁃ground reservoir in the Chinese western water-short coalfield[J].Journal of China Coal Society,2017,42(2):381-387.
[11] 张士川,李杨杨,李金平,等.采动裂隙突水溃砂过程物理参量变化特征试验研究[J] 煤炭学报,2020,45(10):3548-3555.ZHANG Shichuan,LI Yangyang,LI Jinping,et al Experimental study on the change characteristics of physical parameters in the process of water inrush and sand bursting in mining fractures[J].Journal of China Coal Society,2020,45(10):3548-3555.
[12] 乔 伟,赵世隆,李连刚,等.采动覆岩高位离层演化特征及涌(突)水前兆信息研究[J].煤炭科学技术,2021,49(2):194-205.QIAO Wei,ZHAO Shilong,LI Liangang,et al.Study on evolution features of high level overburden separation layer and precursor information of water inrush during coal mining [J].Coal Science and Technology,2021,49(2):194-205.
[13] 汪北方,梁 冰,王俊光,等.煤矿地下水库岩体碎胀特性试验研究[J].岩土力学,2018,39(11):178-184,193.WANG Beifang LIANG Bing,WANG Junguang et al.Experimental study on rockburst characteristics of underground reservoir in coal mine[J]. Rock and Soil Mechanics,2018,39 (11):178-184,193.
[14] 李 奇,秦玉金,高中宁.基于BP 神经网络五阳矿覆岩“两带”高度预测研究[J].煤炭科学技术,2021,49(8):53-59.LI Qi,QIN Yujin,GAO Zhongning.Research on height prediction of " two zones" of overburdcn based on BP neural network in Wuyang Mine[J].Coal Science and Technology,2021,49(8):53-59.
[15] 李江华,王东昊,黎 灵,等.不同覆岩类型高强度采动裂隙发育特征对比研究[J].煤炭科学技术,2021,49(10):9-15.LI Jianghua, WANG Donghao, LI Ling, et al. Comparison of fracture development characteristic under the conditions of different rock types with high-strength mining[J].Coal Science and Technology,2021,49(10):9-15.
[16] ZHANG Guangchao,LIANG Saijiang,TAN Yunliang,et al.Nu⁃merical modeling for longwall pillar design:A case study from a typical longwall panel in China,Journal of Geophysics and Engi⁃neering,2018,15(1):121-134.
[17] 侯恩科,陈育,陈晓阳,等.浅埋煤层过沟开采覆岩破坏特征及裂隙演化规律研究[J].煤炭科学技术,2021,49(10):185-192.HOU Enke,CHEN Yu,CHE Xiaoyang,et al. Study on overburden failure characteristics and facture evolution law of shallow buried coal seam through trench mining[J]. Coal Science and Technolo⁃gy,2021,49(10):185-192.
[18] 王玉涛,刘 震.深部煤层非充分采动下覆岩裂隙场可视化探测研究[J].煤炭科学技术,2020,48(3):197-204.WANG Yutao,LIU Zhen.Study on visual exploration of fissure field of overlying strata in deep coal seam under subcritical ex⁃traction[J].Coal Science and Technology,2020,48(3):197-204.
[19] ZHANG guangchao,HE Fulian,LAI Yonghui,et al.Ground stability of an underground gateroad with 1 km burial depth:A case study from Xingdong coal mine,China[J].Journal of Central South Uni⁃versity,2018,25(6):1386-1398.
[20] ZHANG Guangchao,TAN Yunliang,LIANG Saijiang,et al.Nu⁃merical estimation of suitable gob-side filling wall width in a highly gassy longwall mining panel[J].International Journal of Geomechanics,2018,18(8):04018091.