
Variation of soil erodibility on loess slope under various subsidence years in coal mining subsidence area located Northern Shaanxi
煤炭是我国实现能源安全的兜底资源和压舱石[1],其在能源生产和消费结构中的主体地位短期内不会发生改变[2]。 黄河流域不仅是我国重要的生态屏障,更是煤炭资源富集区和输出地。 据国家统计局最新数据,2020 年黄河流域煤炭产量超过29 亿t,占全国总产量的77%。 特别是黄河流域中游,密集分布着陕北、黄陇、神东、宁东、晋北、晋中等6 个国家规划的大型煤炭基地,已经成为国家能源生产重心向西部转移的重要接续地。 陕北煤矿区因资源储量大、煤炭品质好、生产规模大等特点,在黄河中游煤炭生产区占有重要地位[3]。 然而,大规模的煤炭开采造成了地面塌陷、地裂缝、土壤与植被退化等采动损害问题,并进而导致矿区水土流失的发生或加剧[4-6]。 这既不符合习近平总书记关于黄河流域生态文明建设的重要指示[7],也不符合2021 年10 月中共中央、国务院印发的《黄河流域生态保护和高质量发展规划纲要》中“黄河中游突出抓好水土保持工作”的要求。 因此,如何破解采动损害引发的水土流失问题已经成为陕北煤矿区乃至黄河中游生态环境保护与高质量发展的研究热点。
目前已有的研究成果主要集中在大空间尺度下开采沉陷对水土流失的影响规律与小空间尺度下弃土堆积物水土流失量估算方面。 例如:黄翌等[8]采用数字地形分析技术和遥感影像融合技术,计算了黄土高原煤矿区山地开采沉陷引起土壤侵蚀变化量,分析了土壤侵蚀变化机制。 倪含斌等[9]采用模拟降雨技术、模拟风化试验技术与GIS 技术,对不同堆积年限矿区弃土堆积物进行土壤侵蚀量估算,并确定了影响土壤侵蚀的主要因子。 李云鹏[10]利用水力侵蚀预测模型Geo WEPP 研究了沉陷对矿区水土流失的影响规律。 然而,开采沉陷在宏观上影响水土流失的规律实际上是沉陷区地表坡面、沟道等微地形土壤侵蚀过程与结果的综合表征。 因此,揭示沉陷区地表坡面等微地形的水土流失效应对于深化采煤沉陷区水土流失规律与机制科学认识具有重要的意义。
土壤可蚀性是研究水土流失效应的重要定量化指标,一般用K 值表示[11-12]。 它不仅可以在微观上体现土壤本身对侵蚀外营力的敏感程度,也可以用于宏观上土壤侵蚀模数的估算[13]。目前在国际上计算K 值的模型主要有EPIC 模型、Shirazi 模型、Torri 模型、诺谟及修正诺谟方程等[14],其核心计算参数主要是土壤的机械组成、有机质含量。
开采沉陷一般会对土壤的机械组成和有机质含量造成明显的影响,也就必然影响到土壤可蚀性。鉴于此,以土壤可蚀性K 值为抓手,研究并揭示陕北采煤沉陷区黄土坡面土壤在不同沉陷年限下的潜在侵蚀能力特征及变化规律,以期为黄河流域中游煤矿区水土流失精准防控和生态环境保护与高质量发展提供科学依据。
研究区位于陕西省榆林市神木县柠条塔井田,其地理位置为E109.67°~110.90°,N38.22°~39.45°,地处毛乌素沙漠南缘和陕北黄土高原的交接处,地势北高南低。 该区域属于典型的中温带半干旱大陆性气候,冬季严寒,夏季炎热,年平均气温约7 ℃,年平均降水量在400 mm 左右。 研究区根据地貌类型不同可划分为风沙草滩区与丘陵沟壑区,区内植被类型为针茅群系等地带性植被,种类单一。 研究区隶属国家级水土流失重点监督区和治理区,多年土壤侵蚀模数可达4 000 t/(km2·a)以上,且极强度和剧烈侵蚀面积较大,水土流失严重[15]。 现场调研结果表明研究区主采煤层采用长壁综采+全部垮落法开采,且过去15 a 内未发生改变,该开采方法会造成地表出现严重的塌陷、开裂[16],下沉系数一般在0.7 左右。
在柠条塔井田北翼选择已沉陷年限分别为1 ~5 a、6~10 a(以下简称沉陷年限1 ~5 a、6 ~10 a)的典型黄土沉陷坡面进行采样。 其中,沉陷1 ~5 a 采样区中心坐标为E110.21°,N39.07°,区内黄土沉陷坡面坡度为20°~30°,坡长为40~50 m,坡型为均匀坡,坡向为西南方向,坡面植被类型主要为长芒草+蒙古莸植被群落,植被盖度为40%;沉陷6 ~10 a 采样区中心坐标为E110.21°,N39.06°,区内黄土沉陷坡面坡度为25°~30°,坡长为40~45 m,坡型为均匀坡,坡向为西南方向,坡面植被类型主要为柠条+紫花苜蓿植被群落,植被盖度为43%。
在沉陷年限分别为1~5 a、6 ~10 a 的采样区内选取形态相近的黄土沉陷坡面各3 个,共计6 个沉陷坡面;该沉陷坡均为均匀坡,且煤炭开采后,采动损害部位出现明显的分区性,根据此特性将沉陷坡上部10 m 视为坡顶,中间部分30 m 视为坡中,下部10 m 视为坡脚,坡度为22°,在每个沉陷坡面避开采动地裂缝发育的位置选择坡顶、坡中、坡脚3 个位置,在每个坡面部位上随机布设3 个1 m×1 m 的采样方,并采用五点法用土钻分层采集垂直深度为0~10 cm、10~20 cm 的土壤;将每个样方的5 个采样点对应垂直深度的土壤进行混合,装入采样袋,标记编号;在采样工作面西北方向500 m 以外的未开采区内选择坡度、坡长、坡型、坡向相似的黄土坡面作为对照,按照相同的采集方法进行采样,装入采样袋,标记编号,共计采集土壤样品126 个,采样示意如图1 所示。 将所采集的土壤样品带回实验室摊平,置于室内通风阴凉处自然风干至质量无明显变化,去除土壤样品中残留的枯枝落叶、碎石等杂质后测定土壤机械组成以及有机质含量。

图1 采样示意
Fig.1 Sampling diagram
土壤机械组成:采用激光衍射法,使用的仪器为MS2000 激光粒度仪,每组数据平行测定3 次。
土壤有机质:采用燃烧氧化-非分散红外吸收法,使用的仪器为总有机碳分析仪,每组数据平行测定3 次。
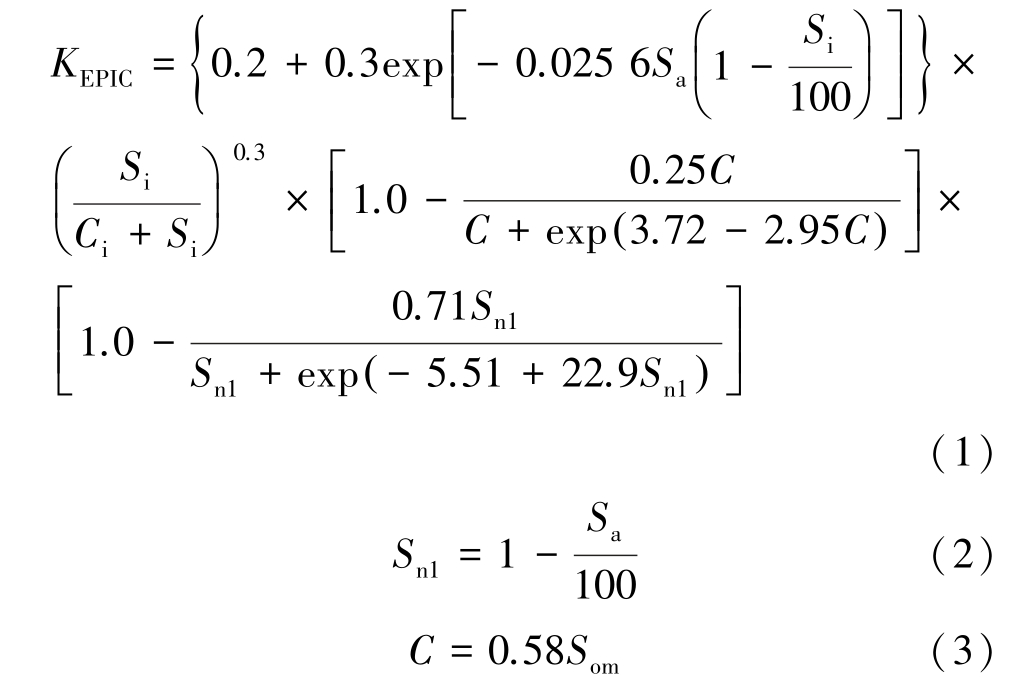
对不同沉陷年限、坡面部位、垂直深度的试验数据使用SPSS21.0 软件进行统计分析,并通过单因素方差分析和最小显著法进行差异显著性检验,使用Origin 软件进行图件绘制。 文章拟采用Williams 等在1990 年建立的EPIC 模型计算土壤可蚀性K 值,如式(1)—式(3)所示。

式中:KEPIC为EPIC 模型计算得到的土壤可蚀性因子,Mg·ha·h /( ha·MJ·mm);Sa 为土壤砂粒(0.05~2.0 mm)含量,%;Si 为土壤粉粒(0.002 ~0.05 mm)含量,%;Ci 为土壤黏粒(<0.002 mm)含量,%;C 为土壤有机碳含量,%;Som 为土壤有机质含量,%。
土壤机械组成(又称土壤质地)和土壤有机质分别是土壤最重要的物理特性和化学特性之一,对通气性、持水性、孔隙度、养分含量等土壤理化性状指标以及土壤抗蚀性都会产生重要影响。 对研究区沉陷年限1~5 a、6~10 a 的黄土沉陷坡面上不同部位、不同垂直深度土壤样品的机械组成和有机质含量进行测定,结果见表1。 根据测定结果,绘制了不同沉陷年限、不同坡面部位、不同垂直深度的土壤质地三角图,如图2—图4 所示。
表1 陕北开采沉陷区土壤机械组成及有机质测定结果
Table 1 Determination results of soil mechanical composition and organic matter in mining subsidence area of Northern Shaanxi

注:同一指标同列数据后不同字母表示在0.05 的水平上差异显著;CK 为对照组。
沉陷部位土壤深度/cm沉陷年限砂粒含量/%粉粒含量/%黏粒含量/%有机质含量/(g·kg-1)1~5 a25.74±3.41c65.67±4.37ab8.59±1.53b0.76±0.14ef坡顶0~106~10 a32.12±3.57a61.58±3.21ab6.30±1.46c0.64±0.13f CK28.16±3.37bc63.61±3.76ab8.23±1.76b1.66±0.21c 1~5 a32.50±3.69a59.62±3.11b7.88±1.36b0.95±0.15ef 10~206~10 a30.37±4.02ab62.48±3.86ab7.15±1.49bc0.98±0.13ef CK22.38±3.27d67.83±4.51a9.79±1.14b1.93±0.19b 1~5 a29.39±4.16b64.72±5.09ab5.89±1.41c0.72±0.15ef坡中0~106~10 a26.99±3.17c62.80±3.26ab10.21±1.62b0.97±0.17ef CK26.25±3.55c65.36±3.66ab8.39±1.55b1.21±0.16de 1~5 a31.41±3.35ab62.09±2.11b6.50±1.25c0.88±0.15ef 10~206~10 a31.38±3.83ab61.50±2.27b7.12±1.39bc1.19±0.14de CK26.31±2.56c63.62±5.36ab10.07±1.41b1.52±0.14cd 1~5 a26.23±3.76c65.96±3.33ab7.81±1.53b2.16±0.20ab坡脚0~106~10 a21.91±3.48de67.01±4.05a11.08±1.61ab2.17±0.23ab CK25.50±3.84c66.18±3.56ab8.32±1.36b2.17±0.23ab 1~5 a24.64±3.34cd66.97±3.84a8.39±1.48b2.19±0.27a 10~206~10 a19.92±2.64e68.06±2.93a12.02±1.83a2.29±0.26a CK31.47±3.60ab60.93±2.87b7.60 ±1.54b2.29±0.28a
由表1、图2、图3、图4 可知:

图2 沉陷坡顶不同沉陷年限及垂直深度的土壤质地三角图
Fig.2 Triangular map of soil texture at different subsidence years and vertical depth on top of subsidence slope

图3 沉陷坡中不同沉陷年限及垂直深度的土壤质地三角图
Fig.3 Triangular map of soil texture with different subsidence years and vertical depth in subsidence slope

图4 沉陷坡脚不同沉陷年限及垂直深度的土壤质地三角图
Fig.4 Triangular map of soil texture at the foot of subsidence slope with different subsidence years and vertical depth
1)不同沉陷年限、不同坡面部位、不同垂直深度的土壤质地类型与对照组相同,均为粉质壤土。但坡顶与坡中部位土壤中的砂粒含量、坡脚部位土壤中的黏粒含量均呈现显著增加的变化趋势。
2)相对于对照组,当沉陷年限达到1 ~5 a 时,坡顶部位0~10 cm 土层土壤砂粒、黏粒含量变化不明显,10~20 cm 土层土壤砂粒含量增加了45.2%(P<0.05),黏粒含量减少了19.5%(P<0.05);坡中部位0~10 cm 土层土壤砂粒含量增加了12.0%(P<0.05),黏粒含量减少了29.8%(P<0.05),10 ~20 cm土层土壤砂粒含量增加了19.4%(P<0.05),黏粒含量减少了35.5%(P<0.05);坡脚部位0 ~10 cm 土层土壤砂粒、黏粒含量变化不明显,10 ~20 cm 土层土壤砂粒含量减少了21.7%(P<0.05),黏粒含量增加了10.4%(P<0.05);当沉陷年限达到6 ~10 a 时,坡顶部位0 ~10 cm 土层土壤砂粒含量增加了14.1%(P<0.05),黏粒含量减少了23.5%(P<0.05),10~20 cm 土层土壤砂粒含量增加了35.7%(P <0.05),黏粒含量减少了27.0%(P<0.05);坡中部位0~10 cm 土层土壤砂粒含量变化不明显,黏粒含量减少了21.7%(P<0.05),10 ~20 cm 土层土壤砂粒含量增加了19.3%(P <0.05),黏粒含量减少了29.3%(P<0.05);坡脚部位0 ~10 cm 土层土壤砂粒含量减少了14.1%(P <0.05),黏粒含量减少了33.2%(P<0.05),10~20 cm 土层土壤砂粒含量减少了36.7%(P <0.05),黏粒含量增加了58.2%(P <0.05)。 由此可见,①坡顶、坡中部位的土壤均表现出明显的砂化特征,这与孟红旗等[17]研究结果相同,随着沉陷年限的增加,坡顶部位土壤中砂粒含量的平均增幅由18.3%(沉陷年限为1 ~5 a)提高到24.9%(沉陷年限为6~10 a),土壤砂化程度持续加剧,而坡中部位土壤砂粒含量的平均增幅由15.3%(沉陷年限为1~5 a)降低到11.1%(沉陷年限为6~10 a),土壤砂化程度有所减缓;②坡脚部位的土壤中砂粒含量、黏粒含量分别呈现出下降、增加的变化趋势,随着沉陷年限的增加,坡脚部位土壤中砂粒含量的平均降幅由9.4%(沉陷年限为1 ~5 a)提高到25.4%(沉陷年限为6~10 a),黏粒含量的平均增幅由2.2%(沉陷年限为1~5 a)提高到45.7%(沉陷年限为6~10 a),变化日趋明显;③采煤沉陷在改善沉陷区黄土坡面坡脚部位土壤物理结构的同时也造成了坡顶、坡中部位土壤物理结构的整体恶化,其中沉陷1~5 a 的坡顶部位10 ~20 cm 土层恶化最为严重,沉陷6~10 a 内的坡脚部位10 ~20 cm 土层改善最为明显。
3)沉陷区黄土坡面土壤机械组成的变化与区域气候、降水、地形等自然因素及煤炭开采等人为因素都有着密切关系。 根据现场调查结果,在论文研究时段内,气候、降水等自然因素未发生显著性变化,对土壤机械组成的影响很小,而煤炭开采活动及造成的地形变化可能是导致研究区坡面土壤机械组成呈现不同变化特征的主要原因。
经分析,黄土坡面坡顶、坡中、坡脚在相同的开采沉陷过程和作用下表现出不同的移动变形特征,进而对土壤机械组成产生不同的影响。 具体而言:在沉陷过程中,黄土坡面的坡顶部位不仅发生垂向下沉和朝向采空区的水平移动,而且还会沿着坡面倾向产生黄土层滑动等附加变形[18],以致坡顶部位土壤的“拉张效应”非常明显[19]。 强烈的拉伸作用一方面使得坡顶部位土壤疏松,孔隙度增大,不仅为空气、水分等组分在土壤中的迁移转化提供更多通道,而且增大了水、气在土壤孔隙中的流速、流量[20],在相同风力、水力侵蚀条件下,土壤黏粒等小粒径颗粒更易向深层土壤或坡中、坡脚部位汇集[21];另一方面造成草本、小灌木等植物的根系发生严重的机械拉伤或拉断,甚至导致部分根系暴露在空气中而干枯死亡[22],不仅大大削弱了植物根系的活性与固土功能[23-24],而且严重破坏了“根-土复合体”的结构与稳定性,以致土壤团聚体因崩解而离散出的小颗粒大量流失[25]。 这可能是坡顶部位土壤发生砂化并随沉陷年限增加而加剧的重要原因。
黄土坡面的坡中部位在沉陷过程中不仅发生显著的整体水平移动[26],而且还会出现坡度增大的现象[27],以致坡中部位形态的“变陡效应”比较明显[28]。 坡度的增大一方面使得相同强度的地表风或地表径流具有更强的侵蚀作用,以致坡中部位土壤中的小粒径颗粒沿坡面倾向发生迁移的可能性及数量大大增加;另一方面造成坡面植被的生境发生恶化[29],降低了植被对土壤颗粒的保护与拦截功能[30],加剧了土壤中的小粒径颗粒流失的程度。 但坡度的增大同时也会增加坡顶部位土壤小颗粒向坡中部位的补给效应。 这可能是坡中部位土壤发生砂化但随沉陷年限增加而减轻的重要原因。
在沉陷过程中,黄土坡面的坡脚部位受到沟谷土体和对面坡体下沉移动的双重挤压[26],从而产生水平位移量减少甚至地表抬升的现象[31],以致坡脚部位土壤的“挤压效应”较为明显。 明显的挤压作用使得坡脚形成堆积体形态[32],以致坡顶、坡中部位流失的土壤小颗粒大量汇集于此[17]。 这可能是坡脚部位土壤黏粒含量提高并随沉陷年限增加日趋明显的重要原因。
根据表1 测定结果,绘制了不同沉陷年限、不同坡面部位、不同垂直深度的土壤有机质含量对比图,如图5 所示。 由表1 和图5 可知:

图5 不同沉陷部位影响下不同沉陷年限及垂直深度有机质含量
Fig.5 Organic matter content in different subsidence years and vertical depth under the influence of different subsidence parts
1)不同沉陷年限、不同垂直深度坡顶部位和坡中部位土壤有机质含量均出现明显的下降,坡脚部位土壤有机质含量基本恢复到正常水平。
2)相对于对照组,当沉陷年限达到1 ~5 a 时,坡顶部位0~10 cm 土层土壤有机质含量的降幅为54.2%(P<0.05),10~20 cm 土层土壤有机质含量的降幅为50.9%(P<0.05);坡中部位0~10 cm 土层土壤有机质含量的降幅为40.0%(P<0.05),10 ~20 cm土层土壤有机质含量的降幅为42.0%(P<0.05);坡脚部位有机质含量基本恢复正常水平;当沉陷年限达到6~10 a 时,坡顶部位0 ~10 cm 土层土壤有机质含量的降幅为61.5%(P<0.05),10 ~20 cm 土层土壤有机质含量的降幅为49.1%(P<0.05);坡中部位0 ~10 cm 土层土壤有机质含量的降幅为20.0%(P<0.05),10~20 cm 土层土壤有机质含量的降幅为21.6%(P<0.05);坡脚部位有机质含量基本恢复正常水平。 由此可见,①坡顶、坡中部位土壤有机质含量均明显减少,这与谌芸等[33]研究结果相同,随着沉陷年限的增加,坡顶部位土壤有机质含量的平均降幅由52.6%(沉陷年限为1 ~5 a)提高到55.3%(沉陷年限为6 ~10 a),变化日趋明显,而坡中部位土壤有机质含量的平均降幅由41.0%(沉陷年限为1 ~5 a)降低到20.8%(沉陷年限为6 ~10 a),变化有所减缓;②采煤沉陷造成坡顶、坡中部位土壤化学结构整体恶化,其中沉陷6~10 a 的坡顶部位0~10 cm 土层恶化最为严重,而对坡脚部位土壤有机质含量的影响不明显。
3)土壤有机质含量与机械组成有密切关系,同理可知煤炭开采活动及造成的地形变化可能也是导致研究区坡面土壤有机质呈现不同变化特征的主要原因。
经分析,黄土坡面坡顶、坡中、坡脚在相同的开采沉陷过程和作用下表现出不同的移动变形特征,进而对土壤有机质产生不同的影响。 具体而言:
在沉陷过程中,黄土坡面坡顶部位的“拉张效应”一方面使土壤孔隙度变大,通气性变强,从而土壤与大气的氧气交换能力增强,有机质分解速率加快,最终导致土壤有机质含量明显减少[34]。 另一方面该效应使外界空气、热量对土壤的侵入强度增大,从而土壤中的水、气、热等条件发生变化,以致部分微生物由于不能适应生存环境的改变而停止繁殖甚至死亡[35],且微生物群落丰度越低,有机质越难在土壤中积累,以致土壤有机质含量显著降低[36]。 这可能是坡顶部位土壤有机质损失量随沉陷年限增加而加剧的重要原因。
在沉陷过程中,黄土坡面坡中部位的“变陡效应”一方面使该部位有机质在相同强度的地表风和地表径流侵蚀下沿坡面倾向发生迁移的可能性及数量显著增加;另一方面该效应对植被也造成了一定的损害,使其对有机质的保护与拦截功能降低[30],同时植被覆盖度降低,迫使土壤碳储量不断流失[37],加剧了土壤中有机质的损失量。 但该效应使坡顶部位有机质向坡中部位的补给量增加,这可能是坡中部位土壤有机质损失量随沉陷年限增加而减轻的重要原因。
在沉陷过程中,黄土坡面坡脚部位的“挤压效应”使坡顶、坡中部位随坡面倾向迁移的大量有机质在此汇聚[33],从而抵消了煤炭开采对坡脚部位有机质的负效应,这可能是坡脚部位土壤有机质含量与对照组相比基本没有变化的重要原因。
土壤可蚀性K 值是从内因视角客观反映土壤被营力分散和搬运难易程度的量化指标,主要反映土壤可被侵蚀的潜在能力。 根据表1 土壤机械组成和有机质数据对土壤可蚀性K 值进行计算,结果见表2;并以此为基础,绘制了不同沉陷年限、不同坡面部位、不同垂直深度的土壤可蚀性K 值对比如图6 所示。 由表2、图6 可知:

图6 不同沉陷部位影响下不同沉陷年限及垂直深度土壤可蚀性K 值
Fig.6 Soil erodibility K value of different subsidence years and vertical depth under the influence of different subsidence parts
表2 陕北开采沉陷区土壤可蚀性K 值计算结果
Table 2 Calculation results of soil erodibility K value in mining subsidence area of Northern Shaanxi

沉陷部位土壤深度/cm沉陷年限可蚀性K 值1~5 a0.419 4 0~10坡顶6~10 a0.404 0 CK0.385 9 1~5 a0.392 9 10~206~10 a0.403 4 CK0.385 8 1~5 a0.415 4 0~10坡中6~10 a0.406 1 CK0.409 7 1~5 a0.403 4 10~206~10 a0. 395 1 CK0.392 9 1~5 a0.366 1 0~10坡脚6~10 a0.369 4 CK0.366 0 1~5 a0.367 6 10~206~10 a0.366 1 CK0.341 8
1)不同沉陷年限、不同坡面部位、不同垂直深度土壤可蚀性K 值基本均呈现增大趋势。
2)相对于对照组,当沉陷年限达到1 ~5 a 时,坡顶部位0 ~10 cm 土层土壤可蚀性K 值的增幅为8.7%(P<0.05),10 ~20 cm 土层土壤可蚀性K 值的增幅为1.8%;坡中部位0~10 cm 土层土壤可蚀性K值的增幅为1.4%,10 ~20 cm 土层土壤可蚀性K 值的增幅为2.6%;坡脚部位0 ~10 cm 土层土壤可蚀性K 值变化不大,10 ~20 cm 土层土壤可蚀性K 值的增幅为7.5%;当沉陷年限达到6~10 a 时,坡顶部位0~10 cm 土层土壤可蚀性K 值的增幅为4.7%,10~20 cm 土层土壤可蚀性K 值的增幅为4.6%;坡中部位0~10 cm 土层和10~20 cm 土层土壤可蚀性K 值基本没有变化;坡脚部位0 ~10 cm 土层土壤可蚀性K 值变化不大,10 ~20 cm 土层土壤可蚀性K值的增幅为7.1%。 由此可见,①随着沉陷年限的增加,坡顶、坡中、坡脚部位土壤可蚀性K 值的平均增幅分别由5.3%、2.0%、3.8%(沉陷年限为1 ~5 a)减小到4.7%、0、3.6%(沉陷年限为6~10 a),变化均有所减缓;②采煤沉陷会造成沉陷坡面不同部位土壤可蚀性K 值增大,其中沉陷1 ~5 a 的坡顶部位0 ~10 cm土层土壤可蚀性K 值增幅最显著,而沉陷6 ~10 a 的坡中部位以及不同沉陷年限下坡脚部位0 ~10 cm 土层土壤可蚀性K 值变化不明显。
3)沉陷年限为1 ~5 a 时,坡顶、坡中、坡脚0 ~10 cm 土层土壤与10 ~20 cm 土层土壤之间可蚀性K 值的差值依次为对照组(0.000 1、0.016 8、0.024 2)的265、0.71、-0.06 倍;沉陷年限为6~10 a 时,坡顶、坡中、坡脚0~10 cm 土层土壤与10 ~20 cm 土层土壤之间可蚀性K 值的差值依次为对照组的6、0.65、0.14倍。 由此可见,开采沉陷显著扩大了坡顶部位0~10 cm、10 ~20 cm 两层土壤可蚀性的差异,明显缩小了坡中、坡脚部位0 ~10 cm、10 ~20 cm 两层土壤可蚀性的差异,使两层土壤发生趋同。
4)究其原因,黄土坡面坡顶、坡中、坡脚在相同的开采沉陷过程和作用下表现出不同的移动变形特征,进而对土壤可蚀性K 值产生不同的影响。 具体而言:
土壤可蚀性K 值与地形、地貌、土壤、植被、降水等自然因素及人工水土保持措施、人类活动均有密切关系。 根据现场调查结果,在论文研究时段内,气候、降水等自然因素以及人工水土保持措施均未发生显著性变化,对土壤可蚀性K 值的影响很小,而煤炭开采活动造成的地形改变及其衍生的土壤质量、植被特征变化可能是导致研究区坡面土壤可蚀性K 值变化的主要原因。
在沉陷过程中,黄土坡面坡顶部位的“拉张效应”使有机质大量减少,导致土壤团聚体的稳定性减弱,同时该效应使“根土复合体”结构破坏,在相同强度的风力、水力侵蚀下发生崩解的可能性和程度增大[38],加剧了水土流失和土壤侵蚀,以致土壤可蚀性K 值明显增加。 随着沉陷年限的增加,坡顶部位0~10 cm 土层粉粒含量逐渐减少,10 ~20 cm土层粉粒含量逐渐增多,而粉粒既没有黏粒黏结力强,同时其抵抗侵蚀介质剥蚀和搬运的能力较砂粒等大颗粒弱[39],这可能是坡顶部位0~10 cm 土层土壤可蚀性K 值随沉陷年限的增加其增幅降低,10 ~20 cm 土层土壤可蚀性K 值随沉陷年限增加其增幅增大的重要原因。
在沉陷过程中,黄土坡面坡中部位的“变陡效应”使植被生境发生恶化,减少了对土壤颗粒的保护与拦截,但土壤发生明显砂化现象,以致相同强度的风力、水力侵蚀下,沿坡面倾向迁移的能力较弱,表现出更好的抗侵蚀能力,基本抵消了煤炭开采对坡中土壤抗蚀性的负效应,因此坡中部位土壤可蚀性K 值增幅较小。 随沉陷年限增加,土壤黏粒含量和有机质含量逐渐增多,而有机质大部分以腐殖质形式存在,会与土壤中黏粒复合形成土壤团聚体和微团聚体,提高砂土的团聚性,对砂粒松散的状态进行改善,从而在相同强度的地表风、地表径流侵蚀下,被搬运迁移的效应更轻,使土壤可蚀性降低[40],这可能是坡中部位土壤可蚀性K 值增幅随沉陷年限增加而减小的重要原因。
在沉陷过程中,黄土坡面坡脚部位的“挤压效应”使0~10 cm 土层土壤黏粒、有机质含量基本恢复到正常水平,且土壤砂粒、粉粒含量与对照组相比差异不明显,这可能是0 ~10 cm 土层土壤可蚀性K值基本不变的原因。 但10~20 cm 土层土壤砂粒含量显著减少,粉粒含量明显增多,更易造成水土流失问题加剧,这可能是10 ~20 cm 土层土壤可蚀性K值明显增加的重要原因。
5)不同沉陷年限下沉陷坡顶土壤可蚀性K 值增幅基本较沉陷坡脚、坡中大,表明坡顶土壤越容易产生侵蚀,在进行水土流失精准防控时应着重考虑土壤结构改良、施肥等人工措施,而坡脚、坡中部位则应着重考虑自然措施。
1)陕北煤矿区开采沉陷不会改变土壤质地类型,但坡顶、坡中部位土壤表现出明显的砂化特征,且随沉陷年限增加,坡顶部位土壤砂化程度持续加剧,坡中部位土壤砂化程度有所减缓,坡脚部位土壤砂粒含量、黏粒含量下降、增加趋势日趋明显。 在沉陷1~5 a 的坡顶部位10~20 cm 土层土壤物理结构恶化最为严重,沉陷6 ~10 a 内的坡脚部位10 ~20 cm 土层物理结构改善最为明显。
2)开采沉陷会产生降低坡顶、坡中部位土壤有机质含量的效应,平均降幅为20.8%~55.3%。 随着沉陷年限的增加,坡顶部位土壤有机质含量降幅日趋明显,坡中部位土壤有机质含量降幅有所减缓。在沉陷6~10 a 的坡顶部位0 ~10 cm 土层土壤化学结构恶化最为严重,而对坡脚部位土壤有机质含量的影响不明显。
3)陕北煤矿区开采沉陷会产生提高周围土壤的可蚀性的效应,随着沉陷年限的增加,坡顶、坡中、坡脚部位土壤可蚀性K 值增幅均有所减缓。 在沉陷1~5 a 的坡顶部位0 ~10 cm 土层土壤可蚀性K值增幅最显著,而沉陷6~10 a 的坡中部位以及不同沉陷年限下坡脚部位0 ~10 cm 土层土壤可蚀性K值变化不明显。 开采沉陷会显著扩大坡顶部位2 层土壤可蚀性的差异,缩小坡中、坡脚部位2 层土壤可蚀性的差异。
4)陕北煤矿区沉陷坡顶土壤可蚀性K 值较大,土壤抗侵蚀能力较差,应着重考虑人工措施如土壤结构改良、施肥等进行水土流失精准防控,坡脚、坡中部位则应着重考虑自然措施。
[1] 王国法,任世华,庞义辉,等.煤炭工业“十三五”发展成效与“双碳”目标实施路径[J].煤炭科学技术,2021,49(9):1-8.WANG Guofa,REN Shihua,PANG Yihui,et al. Development results of coal industry in the 13th five year plan and implementa⁃tion path of “double carbon” goal [J]. Coal Science and Technol⁃ogy,2021,49(9):1-8.
[2] 王双明,孙 强,乔军伟,等. 论煤炭绿色开采的地质保障[J].煤炭学报,2020,45(1):8-15.WANG Shuangming,SUN Qiang,QIAO Junwei,et al. Geological guarantee of coal green mining[J]. Journal of China Coal Society,2020,45(1):8-15.
[3] 王双明,杜 麟,宋世杰.黄河流域陕北煤矿区采动地裂缝对土壤可蚀性的影响[J].煤炭学报,2021,46(9):3027-3038.WANG Shuangming,DU Lin,SONG Shijie. Influence of mining ground fissures on soil erodibility in Northern Shaanxi coal mining area of the Yellow River Basin[J]. Journal of China Coal Society,2021,46(9):3027-3038.
[4] 程静霞,聂小军,刘昌华.煤炭开采沉陷区土壤有机碳空间变化[J].煤炭学报,2014,39(12):2495-2500.CHENG Jingxia,NIE Xiaojun,LIU Changhua. Spatial variation of soil organic carbon in coal-mining subsidence areas[J]. Journal of China Coal Society,2014,39(12):2495-2500.
[5] WANG Y J,ZHANG D C,LIAN D J,et al.Cumulative effects of coal mine development on resources and environment[J].Science and Technology Review,2010,28(10):61-67.
[6] ELISABETH B,MARINA H,JOACHIM L,et al.The impact of mining activities on the environment reflected by pollen,charcoal and geochemical analyses. Journal of Archaeological Science,2010,37(7):1458-1467.
[7] 习近平.在黄河流域生态保护和高质量发展座谈会上的讲话[J].当代广西,2019(20):11-13.
[8] 黄 翌,汪云甲,王 猛,等.黄土高原山地采煤沉陷对土壤侵蚀的影响[J].农业工程学报,2014,30(1):228-235.HUANG Yi,WANG Yunjia,WANG Meng,et al. Impact of coal mining subsidence on soil erosion in mountainous areas of the Loess Plateau [J]. Journal of Agricultural Engineering,2014,30(1):228-235.
[9] 倪含斌,张丽萍,张登荣.模拟降雨试验研究神东矿区不同阶段堆积弃土的水土流失[J].环境科学学报,2006,29(12):2065-2071.NI Hanbin, ZHANG Liping, ZHANG Dengrong. Experimental study on Soil and water loss of accumulated spoil in Shendong min⁃ing area at different stages by simulated rainfall [J]. Journal of Environmental Science,2006,29(12): 2065-2071.
[10] 李云鹏.基于GeoWEPP 的西部矿区水土流失模拟研究[D].徐州:中国矿业大学,2018.LI Yunpeng. Simulation study on Soil and water loss in western mining area based on geowepp [D].Xuzhou:China University of Mining and Technology,2018.
[11] 郑海金,杨 洁,喻荣岗,等.红壤坡地土壤可蚀性K 值研究[J].土壤通报,2010,41(2):425-428.ZHENG Haijin,YANG Jie,YU Ronggang,et al. Study on soil erodibility K value of red soil slope [J]. Soil Bulletin,2010,41(2):425-428.
[12] 胡克志.丹江鹦鹉沟小流域土壤可蚀性空间分异特征研究[J].中国水土保持,2016,(7):44-48.HU Kezhi. Study on spatial differentiation characteristics of soil erodibility in yingyinggou small watershed of Danjiang River [J].China Soil and Water Conservation,2016,(7):44-48.
[13] 林 芳,朱兆龙,曾全超,等.延河流域三种土壤可蚀性K 值估算方法比较[J].土壤学报,2017,54(5):1136-1146.LIN Fang,ZHU Zhaolong,ZENG Quanchao,et al. Comparison of three soil erodibility K value estimation methods in Yanhe River Basin [J]. Journal of Soil,2017,54(5):1136-1146.
[14] 饶良懿,徐也钦,胡剑汝,等. 砒砂岩覆土区小流域土壤可蚀性K 值研究[J]. 应用基础与工程科学学报,2020,28(4):763-773.RAO Liangyi, XU Yeqing, HU Jianru, et al. Study on soil erodibilty factor K on soil cover area of pisha sandstone region[J]. Journal of Basic Science and Engineering,2020,28(4):763-773.
[15] 李 奎,岳大鹏,刘 鹏,等. 基于GIS 与RUSLE 的榆林市土壤侵蚀空间分布研究[J]. 水土保持通报,2014,34(6):172-178,371.LI Kui,YUE Dapeng,LIU Peng,et al. Spatial distribution of Soil erosion analyzed based on GIS and RUSLE in Yulin city[J]. Bul⁃letin of Soil and Water Conservation, 2014, 34 (6): 172 -178,371.
[16] 胡海峰,廉旭刚,蔡音飞,等.山西黄土丘陵采煤沉陷区生态环境破坏与修复研究[J].煤炭科学技术,2020,48(4):70-79.HU Haifeng,LIAN Xugang,CAI Yinfei,et al. Study on ecological environment damage and restoration in coal mining subsidence area of loess hills in Shanxi [J]. Coal Science and Technology,2020,48(4):70-79.
[17] 孟红旗,熊仁鹏,王 崇,等.采煤沉陷区不同土地利用类型土壤水分、有机质和质地的空间变异性[J].土壤学报,2018,55(4):911-922.MENG Hongqi,XIONG Renpeng,WANG Chong,et al. Spatial variability of soil moisture,organic matter and texture of different land use types in coal mining subsidence area [J]. Journal of Soil,2018,55(4):911-922.
[18] 冯 军,谭志祥,邓喀中. 黄土沟壑区沟谷坡度对采动裂缝发育规律的影响[J]. 煤矿安全,2015,46(5):216-219.FENG Jun,TAN Zhixiang,DENG Kazhong,et al. Influence of valley slope in loess gully region on mining-induced fractures de⁃velopment law[J]. Safety in Coal Mines,2015,46(5):216-219.
[19] 李 敏,吕义清.采煤沉陷区斜坡变形破坏机理[J].煤炭技术,2018,37(9):26-29.LI Min,Lyu Yiqing. Deformation and failure mechanism of slope in coal mining subsidence area [J]. Coal Technology,2018,37(9):26-29.
[20] 毕银丽,邹 慧,彭 超,等. 采煤沉陷对沙地土壤水分运移的影响[J]. 煤炭学报,2014,39(S2):490-496.BI Yinli,ZOU Hui,PENG Chao,et al. Effects of mining subsid⁃ence on soil water movement in sandy area[J]. Journal of China Coal Society,2014,39(S2):490-496.
[21] 张合兵,聂小军,程静霞.137Cs 示踪采煤沉陷坡土壤侵蚀及其对土壤养分的影响[J].农业工程学报,2015,31(4):137-143.ZHANG Hebing,NIE Xiaojun,CHENG Jingxia.137 Cs tracing soil erosion on coal mining subsidence slope and its impact on soil nu⁃trients [J]. Journal of Agricultural Engineering,2015,31(4):137-143.
[22] 杨明莉,徐龙君,鲜学福. 煤开采中的环境保护途径[J]. 煤炭学报,2003,28(2):199-204.YANG Mingli,XU Longjun,XIAN Xuefu. Ways of environmental protection in coal mining [J]. Journal of China Coal Society,2003,28 (2): 199-204.
[23] 史沛丽,张玉秀,胡振琪,等. 采煤塌陷对中国西部风沙区土壤质量的影响机制及修复措施[J]. 中国科学院大学学报,2017,34(3):318-328.SHI Peili,ZHANG Yuxiu,HU Zhenqi,et al. Influence mechanism of coal mining subsidence on soil quality and restoration measures in west China aeolian sand area[J]. Journal of University of Chi⁃nese Academy of Sciences,2017,34(3):318-328.
[24] 马 康,杨 帆,张玉秀. 西北干旱半干旱区煤炭井工开采对土壤肥力质量的影响研究进展[J]. 中国科学院大学学报,2020,37(4):442-449.MA Kang,YANG Fan,ZHANG Yuxiu. Influence of underground coal mining on soil fertility quality in the northwestern arid and semi-arid regions: a review[J]. Journal of University of Chinese Academy of Sciences,2020,37(4):442-449.
[25] 王清奎,汪思龙. 土壤团聚体形成与稳定机制及影响因素[J]. 土壤通报,2005,36(3):415-419.WANG Qingkui,WANG Silong. Forming and stable mechanism of soil aggregate and influencing factors[J]. Chinese Journal of Soil Science,2005,36(3):415-419.
[26] 贾 伦. 红柳林煤矿地表变形规律研究[D]. 西安:西安科技大学,2019.JIA Lun. Study on surface deformation law of hongliulin coal mine[D]. Xi’an:Xi’an University of Science and Technology,2019.
[27] 宋世杰,赵晓光,张 勇,等.井下采煤影响矿区坡面形态及侵蚀的数值模拟分析[J].安全与环境学报,2016,16(4):368-373.SONG Shijie,ZHAO Xiaoguang,ZHANG Yong,et al. Numerical simulation analysis of slope shape and erosion affected by under⁃ground coal mining [J]. Journal of Safety and Environment,2016,16(4): 368-373.
[28] 宋世杰,赵晓光,张 勇,等.采深对煤矿沉陷区坡面形态及侵蚀的影响分析[J].环境科学与技术,2016,39(8):178-184.SONG Shijie,ZHAO Xiaoguang,ZHANG Yong,et al. Analysis of influence of mining depth on slope shape and erosion in coal mine subsidence area [J]. Environmental Science and Technology,2016,39(8):178-184.
[29] 佘非余. 坡度对香根草固土护坡性能影响的试验研究[D].长沙:中南林业科技大学,2021.SHE Feiyu. Experimental study on the effect of slope gradient on Vetiver soil consolidation and slope protection [D].Changsha:Central South University of Forestry and Technology,2021.
[30] 任柯蒙,卫 伟,赵西宁,等.黄土丘陵区坡面植被盖度及其配置格局的水蚀效应模拟[J].生态学报,2018,38(22):8031-8039.REN Kemeng,WEI Wei,ZHAO Xining,et al. Simulation of water erosion effect of slope vegetation coverage and its configuration pattern in Loess Hilly Area [J]. Journal of Ecology,2018,38 (22):8031-8039.
[31] 朱宗泽,陈志超,郝成元.采煤沉陷区土壤成分变化研究——以潞安集团王庄煤矿为例[J].中国水土保持,2011(4):44-46,69.ZHU Zongze,CHEN Zhichao,HAO Chengyuan. Study on the change of soil composition in coal mining subsidence area——Taking Wangzhuang Coal Mine of Lu’an Group as an Example[J]. China Soil and Water Conservation,2011(4):44-46,69.
[32] 何 坤.汶川地震映秀岩浆岩地区坡面型泥石流成因模式及运动特征研究[D].成都:成都理工大学,2015.HE Kun. Study on genetic model and movement characteristics of slope debris flow in Yingxiu magmatic rock area of Wenchuan earthquake [ D ]. Chengdu: Chengdu University of Technology,2015.
[33] 谌 芸,马 云,何丙辉.植物篱对紫色土物理性质及养分的影响[J].水土保持学报,2011,25(6):59-63.CHEN Yun, MA Yun, HE Binghui. Effects of hedgerow on physical properties and nutrients of purple soil [J]. Journal of Soil and Water Conservation,2011,25(6):59-63.
[34] 夏玉成,冀伟珍,孙学阳,等. 渭北煤田井工开采对土壤理化性质的影响[J]. 西安科技大学学报,2010,30(6):677-681.XIA Yucheng,JI Weizhen,SUN Xueyang,et al. Effect of under⁃ground mining on soil physical and chemical properties in Weibei coalfield[J]. Journal of Xi’an University of Science and Tech⁃nology,2010,30(6):677-681.
[35] 杜 涛,毕银丽,邹 慧,等.地表裂缝对沙柳根际微生物和酶活性的影响[J]. 煤炭学报,2013,38(12):2221-2226.DU Tao,BI Yinli,ZOU Hui,et al,Effects of surface cracks caused by coal mining on microorganisms and enzyme activities in rhizo⁃sphere of Salix psammophila [J]. Journal of China Coal Society,2013,38(12):2221-2226.
[36] KALLENBACH C M,FREY S D,GRANDY A S. Direct evidence for microbal-derived soil organic matter formation and its eco⁃physiologicalcontrols [ J ]. Nature Communications, 2016,7:13630.
[37] 徐占军,冯俊芳,张 媛,等.工作面开采沉陷对农田土壤和植被碳库扰动预评价[J].煤炭学报,2018,43(9):2605-2617.XU Zhanjun,FENG Junfang,ZHANG Yuan,et al. Preevaluation of disturbance of mining subsidence of working face to farmland soil and vegetation carbon pool [J]. Journal of China Coal Socie⁃ty,2018,43(9):2605-2617.
[38] 张 潮. 有机质和电解质对黄河三角洲沉积物团聚体稳定性的影响研究[D].青岛:中国海洋大学,2013.ZHANG Chao. Study on the effects of organic matter and electro⁃lyte on the stability of sediment aggregates in the Yellow River Delta [D].Qingdao:Ocean University of China,2013.
[39] 陈 英,魏兴萍,雷 珊.青木关岩溶槽谷流域不同土地利用类型土壤可蚀性分析[J].中国岩溶,2020,39(6):836-844.CHEN Ying,WEI Xingping,LEI Shan. Soil erodibility analysis of different land use types in Qingmuguan karst valley basin [J].China Karst,2020,39(6):836-844.
[40] 靳灵娜,党晓宏,高 永,等.库布齐沙漠北缘机械沙障对地表土壤可蚀性的影响[J].水土保持通报,2021,41(3):50-55.JIN Lingna,DANG Xiaohong,GAO Yong,et al. Impact of me⁃chanical sand barrier on surface soil erodibility in the northern edge of Kubuqi Desert [J]. Bulletin of Water and Soil Conserva⁃tion,2021,41(3):50-55.