
Roof breaking mechanism of longwall stope with steeply dipping contugous coal seam group
大倾角煤层是指埋藏倾角为35°~55°的煤层,是国内外采矿界公认的难采煤层[1-2]。 多年开采实践证明,保证工作面“支架-围岩”系统完整是确保大倾角煤层工作面安全高效开采的科学基础[3-4]。但大倾角煤层群长壁开采时,由于煤层间开采相互影响与扰动,工作面顶板应力分布与破坏、运移特征均与大倾角单一煤层开采有所不同,导致工作面存在安全隐患。 因此,研究大倾角煤层群顶板破坏特征及其稳定性控制是实现该类煤层安全高效开采的前提。
长期以来,广大学者和生产技术人员在大倾角煤层(群)开采方面做了大量的理论研究与生产实践工作。 文献[5-8]研究了大倾角煤层长壁采场围岩应力分布规律与矿压显现规律,提出了大倾角煤层采场矿山压力显现的分区特征及围岩的非对称应力拱理论;文献[9-13]对大倾角煤层(群)覆岩结构及其稳定性进行了研究,给出了倾斜砌体结构动力学方程和“壳体”稳定性判定条件;文献[14-17] 对大倾角煤层(群)覆岩运移以及量化充填规律进行了研究,量化了基本顶垮落充填区域,得出了围岩破断运移对煤岩层的非均衡性双重扰动作用;文献[18-19]对大倾角煤层群下行开采矿压显现规律及围岩稳定性控制技术进行了研究,得出了大倾角近距离采空区下煤层开采超前支承压力分布规律;文献[20-21]对大倾角近距离煤层群开采顶、底板破坏特征进行了研究,揭示了工作面底板应力分布规律、最大破坏深度及其位置。 但针对大倾角煤层群上层煤采场覆岩运移对下层煤采场围岩应力演化和顶板破坏的影响机制研究较少。
因此,在已有研究的基础上,以甘肃华亭东峡煤矿大倾角近距离煤层群开采为工程背景,采用物理相似材料模拟试验、理论分析以及现场实测相结合的手段,研究大倾角煤层群覆岩运移规律及其对采场顶板破坏的影响特征,从沿工作面倾向不同区域的围岩破坏特征、顶板受载状态及稳定性和支架阻力等方面深入分析研究,可为大倾角煤层群长壁采场顶板稳定性控制提供理论支持。
甘肃华亭矿业集团东峡煤矿位于华亭县东南郊区,地质构造简单,煤层赋存稳定,主要为6 号煤层,煤层平均倾角38°,坚固性系数f =2 ~3,属于低灰、低硫、低磷、高挥发性的大倾角坚硬煤层群;煤层在井田范围内发生分岔,形成煤6-1上、煤6-1下、煤6-2上、煤6-2中和煤6-2下。
其中,主采煤是6-1下和煤6-2中,煤岩层柱状如图1 所示,煤岩力学参数见表1。 大倾角走向长壁工作面倾斜长度92 ~119 m,平均长度104 m,煤层群采用下行式开采,即先开采煤6-1下,然后开采煤6-2中。
表1 煤与岩石力学参数
Table 1 Mechanics parameters of coal and rock

岩性密度ρ/(kg·m-3)弹性模量E/MPa泊松比μ黏聚力C/MPa内摩擦角φ/(°)抗拉强度σ1/MPa粗砂岩2 1708 5000.302.00423.300细砂岩2 54011 0000.304.00423.900中粒砂岩2 58312 0000.294.50434.633炭质泥岩、泥岩2 2907 6150.161.30341.200中粒砂岩2 58312 0000.294.50434.633煤6-1下1 7503 9500.200.89380.730砂岩2 5837 2000.321.70381.500煤6-2上1 3601 2500.181.87361.030泥岩细砂岩1 7502 5000.236.91403.190煤6-2中1 3601 2500.181.87361.030细砂岩2 54011 0000.304.00423.900

图1 综合柱状
Fig.1 Composite columnar section
为系统研究大倾角煤层群开采时顶板受载及破坏特征。 首先,分析单一大倾角煤层顶板破断及运移特征,尤其是垮落顶板对底板的作用特征;其次,研究上、下层煤开采时,围岩破坏及运移对采场顶板的加载与卸载作用,分析顶板的破坏机理。
根据东峡煤矿37215-2 工作面的生产技术条件以及实验室岩石力学试验结果,物理相似模型选取几何相似常数为100,容重相似常数为1.6,根据相似理论,应力及强度相似常数为160,时间相似常数为10,载荷相似常数为1.6×106。 物理模型相似材料配比见表2。
表2 相似材料配比
Table 2 Ratio of similar materials

岩性岩层厚度/m质量比(河砂/粉煤灰∶石膏∶大白粉)粗砂岩40.008 ∶3 ∶7细砂岩32.007 ∶4 ∶6中粒砂岩40.007 ∶4 ∶6炭质泥岩、泥岩21.008 ∶3 ∶7中粒砂岩4.397 ∶2 ∶8煤6-1下4.409 ∶1 ∶8砂岩11.847 ∶3 ∶7煤6-2上3.009 ∶1 ∶8泥岩、细砂岩4.007 ∶3 ∶7煤6-2中10.009 ∶1 ∶8细砂岩10.607 ∶4 ∶6
选取规格为2 200 mm× 2 000 mm×200 mm 的平面模型支架,上煤层(煤6-1下)底板铺设压力传感器,如图2 所示,监测大倾角煤层采场垮落顶板对于底板的载荷作用特征。 采用PENTAXR-400NX型光学全站仪监测上覆岩层位移,无线压力传感器监测采场支承压力变化规律,数码摄像机记录覆岩破坏垮落形态。

图2 物理相似材料模型
Fig.2 Physical similar material model
3.1.1 上层煤开采围岩破坏运移特征
在单一煤层开采时,由于上层煤工作面垮落顶板与顶板残垣上、下边界的接触程度与方式不同,总体呈现出,工作面下端头残垣与垮落顶板接触程度较与上端头残垣接触更为紧密的特征,工作面垮落顶板对采空区形成非均衡充填。 因此,将上端头不同位置由下向上依次分为“顶板-矸石”不接触、“顶板-矸石”接触,并以此为界限,将整个采空区沿垂直岩层方向分为倾斜砌体缺失区域、倾斜砌体完整区域,如图3 所示。 其中,垮落带的倾斜砌体结构在上端头多存在缺失,而断裂带则多为倾斜砌体结构完整状态,这也是大倾角煤层与近水平煤层的不同之处。

图3 上层煤采空区沿倾向非均衡充填
Fig.3 Non-equilibrium filling of upper coal seam goaf along inclination
上层煤(煤6-1下)顶板大范围垮落后(图4),其底板(煤6-2中顶板)所受的载荷分布状态如图5所示,工作面底板应力分布曲线的Ⅰ段对应图4 中FE 段,即工作面上端头底板无垮落矸石部分;分布曲线的Ⅱ段对应图4 中ED 段,即煤6-1下工作面顶板的矸石充填部分。 对Ⅱ段内曲线进行拟合,得到特征趋势曲线及其方程,如图6 所示。 可看出,矸石对底板的作用具有非均衡特征。

图4 上层煤采场底板受载特征
Fig.4 Loaded characteristics of floor in upper working face

图5 上层煤底板载荷分布曲线
Fig.5 Load distribution curves of floor in upper working face

图6 上层煤Ⅱ段底板载荷分布曲线
Fig.6 Floor load distribution curve of section Ⅱin upper working face
应力拱上拱脚以近似点载荷的形式作用在上端头煤壁处,应力拱AB 段、CD 段通过破断残垣将应力传递到上、下端头底板中。 可以看出,垮落矸石的非均衡充填对上覆岩层有一定的支撑作用,导致上层煤工作面下端头应力集中程度小于上端头。
3.1.2 下层煤开采围岩破坏运移特征
下层煤开采时,采场中上部顶板(顶煤)先发生破坏,垮落矸石下滑充填至工作面中下部,减缓了上层煤垮落顶板对Ⅱ段(图7 中ED 段)底板(下层煤顶板)的加载破坏作用,如图7 所示。 下层煤工作面开采时,工作面中上部顶板发生破断、垮落,如图8 所示。 可以看出,在应力拱上拱脚与垮落顶板的复合加载作用下,上层煤底板受载Ⅰ段(图7 中FE段)正处于下层煤顶板初始破断位置。

图7 下层煤采场顶板受载特征
Fig.7 Loaded characteristics of roof in lower working face

图8 下层煤采场顶板初始破断
Fig.8 Initial breakage of roof in lower working face
3.1.3 下层煤开采围岩破坏运移特征
根据以上试验分析结果,由于受到上层煤开采的影响,下层煤顶板除受到自身的重力作用外,也受到倾斜砌体缺失区域垮落岩层的重力以及完整倾斜砌体区域的部分岩层重力。 完整倾斜砌体区域内全部结构和倾斜砌体缺失区域的倾斜中、下部结构均分解并降低了倾向应力拱结构对底板的加载作用。 下层煤开采时,顶板破断垮落并运移到采场倾斜下部,采场倾斜上部仍出现倾斜砌体缺失现象,且该范围有所增大,如图9 所示。 下层煤采场底板受载特征与上层煤基本一致,沿倾向具有分区特点。
上层煤开采后顶板垮落,对下层煤采场顶板(上下煤层间的岩层)施加类似点载荷和连续不均衡载荷作用。 下层煤开采时,工作面倾斜中上部直接顶垮落下滑,并对下部顶板施加不均衡支撑作用[17],在该区域的破坏岩块间形成了复杂约束作用,随着工作面推进,平衡被打破,顶板最终发生整体失稳,如图9 所示。 可以看出,大倾角煤层群采场顶板的破坏是重复“加-卸载”作用的结果,同时,下层煤采场底板应力也具有明显的非均衡分布特点。

图9 煤层群采场顶板破断特征
Fig.9 Failure characteristics of roof in working face of coal seam group
下层煤开采后,沿工作面走向,采场顶板的倾斜上部、中部、下部区域均受到垮落矸石不同程度的充填,进而形成了不同的走向顶板结构。 在倾向上部区域,如图10a 所示,由于倾角效应,煤层开采后,上方岩层大面积垮落,一般为拉剪破坏,垮落的顶煤或顶板沿工作面向下滑移,并堆积在工作面中、下部区域;工作面倾斜上部受倾向拱结构支撑作用,呈悬空状。
可以看出,工作面倾斜上部空间增大,该区域顶板失去了下方垮落矸石的约束,易产生冲击性载荷,并造成装备损坏。 倾向中部区域采空区为充填较满状态,如图10b 所示,但矸石仍较为松散,工作面顶板下沉变形未受到矸石约束,因此,支架受载较大。工作面倾斜下部采空区被垮落的煤或矸石完全充填,如图10c 所示,在上层煤垮落矸石和顶板共同作用下,该区域煤岩体易形成具有一定结构和强度的“似实体”,对上覆岩层给予支架的载荷有一定的缓冲作用,导致工作面倾斜下部的支架载荷相对较低。因此,工作面下部区域支架受载一般小于上部和中部载荷。

图10 倾向不同区域的走向结构特征
Fig.10 Trend structure characteristics of working face along inclination
基于上述分析,结合下层煤开采过程中采场顶板受载特征,以下层煤层采场顶板为研究对象,建立了两端固支梁力学模型,如图11 所示。 根据垮落覆岩的分布特征,将顶板所受载荷近似地简化为均布载荷,其中均布载荷q1为6-1下回风巷到6-2中回风巷之间梁受到的载荷;均布载荷q2 为开采煤6-1下后顶板垮落所施加到梁的载荷,将6-2中下部矸石填充的支撑作用视为弹性地基。

图11 煤层间顶板受力分布
Fig.11 Stress distribution of roof between coal seams
L1段顶板上端由(上层工作面)煤壁处传递并施加载荷;工作面中上部区域冒落顶板下滑至倾斜下方区域,因此在L2段顶板上方未受载;L3段顶板载荷是由上层采空区顶板垮落矸石施加的载荷;L4段除受L3段载荷外,还受到下层煤充填矸石的支撑作用。
为得到梁各位置的挠度和弯矩,将力学模型分为4 个区段分别进行计算,将各个区段间显现出的内力即剪力与弯矩视为各自区段梁的外载荷,其中,相邻两区段梁之间的内力大小相等方向相反。
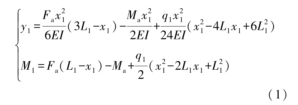
1)第1 区段梁受分布载荷q1作用,下端受剪力Fa和弯矩Ma作用(图12)。 根据材料力学和叠加原理得出第1 区段梁的挠曲线方程y1和弯矩方程M1的表达式。

图12 L1区段梁模型
Fig.12 Model drawing of L1 section beam

式中:E 为弹性模量;I 为横截面惯性矩;x1 为L1 段内任一点至O1 的距离。
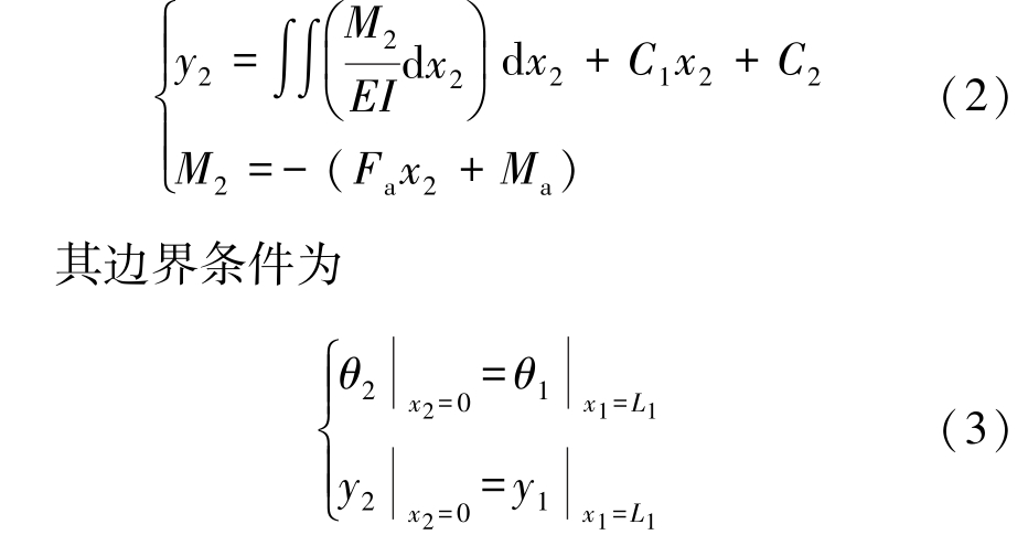
2)第2 区段梁两端受剪力Fa和Fb以及弯矩Ma和Mb。 根据平衡原理求得弯矩方程M2,进一步积分可得挠曲线方程y2(第2 区段横坐标为x2),其中积分参数根据边界条件求解得出。

图13 L2区段梁模型
Fig.13 Model drawing of L2 section beam

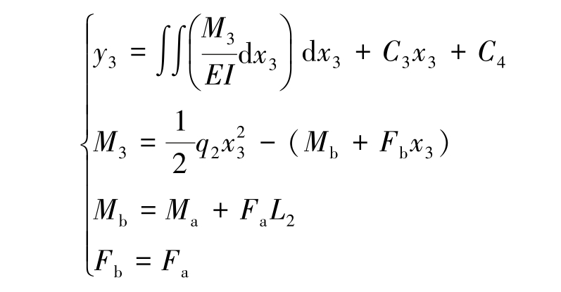
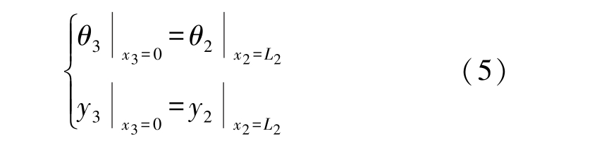
3)第3 区段梁不仅两端受剪力Fb和Fc以及弯矩Mb和Mc,还受分布载荷q2作用。 依据同样算法可得挠曲线方程y2(第3 区段横坐标为x3)和弯矩方程M3,再代入边界条件求解得出积分参数。

图14 L3区段梁模型
Fig.14 Model drawing of L3 section beam

其边界条件为

4)根据弹性地基理论,将L4段矸石的支撑作用梁视为弹性地基梁。 该区段梁上端受剪力Fc 和弯矩Mc,下端为固定端,分布载荷q2作用模型如图15所示(横纵坐标x4,y4)。

图15 L4区段梁模型
Fig.15 Model drawing of L4 section beam

上述推导过程中,C1 ~C8为系数,可根据每一段边界条件求得。
根据37215-2 工作面实际情况,L1,L2,L3和L4四个区段的长度通过6-2中煤层开采后直接顶垮落的堆积长度以及底板压力确定;选取矸石充填地基系数300 kN/m3;结合工程实际和相关研究[13,16-17]确定其余各个参量值如下:

将参数分别代入上述梁模型中,计算每段梁的弯矩和挠度并作整合,可得整个梁的计算结果,如图16、图17 所示。

图16 梁挠度
Fig.16 Beam deflection diagram

图17 梁弯矩
Fig.17 Beam bending moment diagram
根据梁挠度计算结果,如图16 所示,由于倾斜上部载荷q1较大,导致梁弯曲下沉的峰值位置出现在该区域,即在距离煤6-2中工作面回风巷52 m 处,最大下沉值为0.784 m,可以看出,梁的破断首先发生在上部区域。 根据梁弯矩计算结果,如图17 所示,梁的弯矩出现2 个峰值:①由于固定端约束,使得在回风巷处梁出现弯矩峰值,为3 337.879 kN·m;②在距离回风巷34 m 处(工作面倾斜中上部区域)的梁出现第2 个弯矩峰值,为1 004.056 kN·m。 由于矸石充填作用,在梁的下端弯矩值相对较小。 按弯矩分析可知,梁易在回风巷处和第1 区段下端发生破断。
综上分析,梁的弯曲变形明显部分主要集中在工作面中上部区域。 其中,梁中上端弯矩最大,距回风巷34 m 弯矩处于次之。 根据工作面实际,下层煤回风巷处的煤壁一般处于塑性状态,一定程度上缓解了梁上端固定端产生的弯曲。 因此,在实际中,最大弯矩位置一般处于采场顶板的倾斜中上部区域,即距回风巷34 m 处的顶板易发生破断。
可以看出:①q2载荷在梁发生弯曲变形中起主要作用,当梁中上部发生破断后,大部分q2 载荷转移至破断位置倾斜下侧具有支撑作用的顶板和工作面中上部支架后方,甚至延伸至工作面倾斜中上部煤壁处,下层煤工作面倾斜中部顶板首先出现来压现象;②当梁中上部发生破断后,梁的上部失去了下方约束,该区域的梁在第二弯矩峰值作用发生破断,影响该区域煤岩和支护设备,下层煤工作面倾斜上部顶板随后出现来压现象;③倾斜下部梁由于矸石充填支撑作用,虽有上层煤采场垮落矸石的叠加作用,但该区域顶板仅发生裂隙破坏和小范围运动,对工作面煤壁、顶板和支护装备的影响较小,下层煤工作面倾斜下部来压现象不明显或无来压现象。 由此得出,上述理论分析结论与物理模拟试验结论具有一致性。
对37215-2 工作面进行了现场矿压监测,分别沿下层煤综放工作面自下而上布置了5 个测区,共15 条测线,具体为:下部区域Ⅰ、Ⅱ测区(1 ~6 号测线),中部区域Ⅲ测区(7 ~9 号测线),中上部区域Ⅳ、Ⅴ测区(10 ~15 号测线)(图18)。 监测结果表明:37215-2 工作面沿走向的矿山压力显现特征与一般倾角条件下的放顶煤类似,具有初次来压和周期性矿压显现。 工作面沿倾斜方向的矿压显现呈现明显的分区特征,工作面下部区域(测区Ⅰ、Ⅱ)支架受载较均衡,平均载荷较低;工作面中部区域(测区Ⅲ)支架平均载荷大于下部区域,支架阻力利用率较高;工作面上部区域(测区Ⅳ、Ⅴ)支架的工作阻力利用率较低,但测区Ⅳ较测区Ⅴ的利用率高。总的来说,来压呈现中部较大、上部次之、下部无明显来压的基本特征。 但较单一煤层开采,下煤层开采时周期性来压的强度较低且规律性不强。 与理论分析结论具有一致性。

图18 支架工作阻力利用率分布
Fig.18 Distribution of working resistance utilization ratio of supports
37215-2 工作面现场实践表明:①在下层煤工作面放煤过程中,需加强工作面中上部区域顶板管理,控制放煤量和保证支架有效支撑,防止该区域与上层煤采空区贯通;②关注下层煤上端头支护安全,理论分析与矿压监测表明,该范围顶板的受载具有不均衡现象,需要加强上端头临时支护及回风巷超前支护,防止该区域出现与上方采空区贯通和动载冲击破坏。
1)大倾角单一煤层长壁采场垮落顶板充填采空区具有不均衡性,导致垮落顶板与顶板残垣上、下边界接触程度与方式不同,倾斜下部“顶板-矸石”接触较上部更为紧密;沿垂直岩层方向倾斜上部可将整个采空区划分为倾斜砌体缺失区域和倾斜砌体完整区域。
2)大倾角煤层群开采中,上层煤工作面底板受载沿倾向具有分区特征,将采空区底板沿倾向分为受近似点载荷的无矸石充填区和受非均衡载荷的中、下部矸石充填区。 下层煤采场顶板受到上层煤采场垮落顶板的非均衡载荷作用,采场倾斜中上部直接顶先垮落并下滑充填至工作面下部,顶板破断后对下层煤采场底板的作用特征与上层煤采场一致。
3)倾斜下部顶板受垮落矸石的支撑降低了其挠度和弯矩;中上部由于矸石的未完全充填,对顶板支撑较小或为0,该范围顶板挠度最大,易发生破断。
4)下层煤采场来压呈现中部较大、上部次之、下部无明显来压的基本特征。 但较单一煤层开采,下煤层开采时周期性来压的强度较低且规律性不强。
[1] 伍永平,贠东风,解盘石,等.大倾角煤层长壁综采理论与技术[M].北京:科学出版社, 2017.
[2] 伍永平,贠东风,解盘石,等.大倾角煤层长壁综采:进展、实践、 科学问题[J]. 煤炭学报,2020,45(1):24-34.WU Yongping, YUN Dongfeng, XIE Panshi,et al.Progress, prac⁃tice and scientific issues in steeply dipping coal seams fully-mech⁃anized mining[J].Journal of China Coal Society,2020,45(1):24-34.
[3] 伍永平,刘孔智,贠东风,等.大倾角煤层安全高效开采技术研究进展[J]. 煤炭学报, 2014, 39(8):1611-1618.WU Yongping,LIU Kongzhi,YUN Dongfeng,et al. Research pro⁃gress on the safe and efficient mining technology of steeply dipping seam [J]. Journal of China Coal Society, 2014, 39(8):1611-1618.
[4] 伍永平.大倾角煤层开采“R-S-F”系统动力学控制基础研究[M].西安:陕西科学技术出版社,2003.
[5] 罗生虎,伍永平,王红伟,等.大倾角煤层长壁开采底板非对称破坏形态与滑移特征[J]. 煤炭学报, 2018, 43(8):2155-2161.LUO Shenghu , WU Yongping, WANG Hongwei, et al.Asymmetric failure pattern and slip characteristics of floor of long⁃wall face in steeply dipping seam mining[J]. Journal of China Coal Society, 2018,43(8):2155-2161.
[6] 罗生虎,伍永平,刘孔智,等.大倾角煤层长壁开采空间应力拱壳形态研究[J]. 煤炭学报,2016,41 (12):2993-2998.LUO Shenghu ,WU Yongping, LIU Kongzhi, et al. Study on the shape of the space stress arch shell in steeply dipping coal seam mining[J]. Journal of China Coal Socity,2016,41(12):2993-2998.
[7] 王红伟.大倾角煤层长壁开采围岩应力演化及结构稳定性研究[D]. 西安:西安科技大学,2014.
[8] 赵元放,张向阳,涂 敏.大倾角煤层开采顶板垮落特征及矿压显现规律[J].采矿与安全工程学报,2007,24(2):231-234.ZHAO Yuanfang, ZHANG Xiangyang, TU Min.Roof caving char⁃acteristic and strata behavior in exploiting steep coal seams[J].Journal of Mining & Safety Engineering, 2007, 24(2):231-234.
[9] 解盘石.大倾角煤层长壁采场覆岩结构及其稳定性研究[M]:西安:陕西科学技术出版社,2016:43-50.
[10] 解盘石,田双奇,段建杰.大倾角伪俯斜采场顶板运移规律实验研究[J].煤炭学报,2019,44(10):2974-2982.XIE Panshi, TIAN Shuangqi, DUAN Jianjie. Experimental study on the movement law of roof in pitching oblique mining area of steeply dipping seam [ J]. Journal of China Coal Society,2019,44(10):2974-2982.
[11] 任世广.大倾角煤层群长壁开采围岩结构稳定性基础研究[D]. 西安:西安科技大学,2014.REN Shiguang. Basic research on stability of overburden structure around longwall mining face in steeply dipping seam group[D].Xi’an :Xi’an University of Science and Technology,2014.
[12] 伍永平,解盘石,任世广.大倾角煤层开采围岩空间非对称结构特征分析[J].煤炭学报,2010,35(2):182-184.WU Yongping, XIE Panshi, REN Shiguang. Analysis of asym⁃metric structure around coal face of steeply dipping seam mining[J]. Journal of China Coal Society, 2010, 35(2):182-184.
[13] 伍永平,解盘石,王红伟,等.大倾角煤层群长壁采场低位阶梯关键层[J].西安科技大学学报,2014,34(6):641-645.WU Yongping, XIE Panshi, WANG Hongwei, et al. Key lower ladder strata around the longwall mining face area in steeply dip⁃ping seam group[J]. Journal of Xi’an University of Science and Technology,2014, 34(6):641-645.
[14] 尹光志,鲜学福,代高飞,等.大倾角煤层开采岩移基本规律研究[J].岩土工程学报,2001,23(4):450-453.YIN Guangzhi, XIAN Xuefu, DAI Gaofei, et al. Basic behaviors of strata movement in seam with deep dip angle[J]. Chinese Journal of Geotechnical Engineering, 2001, 23(4):450-453.
[15] 伍永平,解盘石,任世广,等.大倾角煤层群开采岩移规律数值模拟及复杂性分析[J].采矿与安全工程学报,2007,24(4):391-395.WU Yongping, XIE Panshi, REN Shiguang, et al. Numerical simulation and complexity analysis of strata movement in exploiting steep coal seams group[J]. Journal of Mining & Safety Engineering, 2007, 24(4):392-395.
[16] 解盘石,伍永平,王红伟,等.大倾角煤层大采高综采围岩运移与支架相互作用规律[J].采矿与安全工程学报,2015,32(1):14-19.XIE Panshi, WU Yongping, WANG Hongwei, et al. Interaction characteristics between strata movement and support system around large mining height fully-mechanized face in steeply in⁃clined seam[J]. Journal of Mining & Safety Engineering,2015,32 (1):14-19.
[17] 王红伟,伍永平,解盘石,等.大倾角采场矸石充填量化特征及覆岩运动机制[J].中国矿业大学学报,2016,45(5):886-892.WANG Hongwei, WU Yongping, XIE Panshi, et al.The quanti⁃tative filling characteristics of the waste rock and roof movement mechanism in the steeply inclined working face[J].Journal of China University of Mining and Technology,2016,45(5):886-892.
[18] 魏永前, 朱春伟.大倾角煤层下行开采工作面围岩应力分析及控制技术[J].能源与环保,2017,39(4):122-131.WEI Yongqian, ZHU Chunwei. Study and controlling on stress of surrounding rock in downward mining in coal seam with large in⁃clination[J]. China Energy and Environmental Protection,2017,39 (4):122-131.
[19] 杨 科,孔祥勇,陆 伟,等.近距离采空区下大倾角厚煤层开采矿压显现规律研究[J].岩石力学与工学报,2015,34(S2):4278-4285.YANG Ke,KONG Xiangyong,LU Wei,et al. Study of strata pres⁃sure behaviors with longwall mining in large inclination and thick coal seam under closed distance mined gob [J]. Chinese Journal of Rock Mechanics and Engineering,2015,34(S2):4278-4285.
[20] 伍永平,皇甫靖宇,罗生虎,等.大倾角近距离煤层开采覆岩运移及顶板破坏特征[J].西安科技大学学报,2020,40(1):1-10.WU Yongping, HUANGFU Jingyu, LUO Shenghu, et al. Over⁃burden movement and roof failure characteristics in steeply dipping and close distance coal seam mining [J] Journal of Xi’an University of Science and Technology, 2020,40(1):1-10.
[21] 孔祥勇,杨 科,陆 伟.大倾角煤层群下行开采底板破坏机理及工程应用[J].地下空间与工程学报,2015,11(S2):394-400.KONG Xiangyong, YANG Ke, LU Wei. Floor failure mechanism and engineering application of downward mining of the large dip angle coal seam group [J]. Chinese Journal of Underground Space and Engineering, 2015,11(S2):394-400.