中国埋深2 000 m以浅煤层气地质资源量为30×1012 m3,可采资源量为12.5×1012 m3,具有现实可开发价值有利区的可采资源量为4×1012 m3,其中高、中、低煤阶煤层气资源占比基本相近,主要分布在沁水盆地南部、鄂尔多斯盆地东缘、滇东黔西川南和准噶尔盆地南部[1-3]。煤层气储层(简称煤储层)作为源岩和存储载体,包含了多尺度孔-裂隙、较大比表面积及流体传导介质等特殊性质,影响煤层气有效产出[4]。国内外学者系统研究了煤储层孔-裂隙系统的空间特征、结构分类及其配置关系,认为显微裂隙是沟通孔隙与宏观裂隙的桥梁,孔-裂隙发育程度直接影响渗透性、应力响应及煤层气可采性[5-8]。煤储层渗透性是表征煤层气产能的关键参数[9],其受地应力影响,一般与有效应力、应力差存在指数关系[10-13]。我国煤储层普遍具有低孔、低渗、强非均质等特点,储层微观和宏观煤岩组成及本构关系差异显著,储集性、可采性及开发技术选择与其煤岩学特征密切相关[14-16]。煤储层地质学研究取得了丰硕成果,然而缺乏系统的研究总结。因此,笔者基于大量文献分析与研究实践,总结了我国煤层气储层研究领域的主要进展,指出前缘研究方向,以期为完善煤层气储层地质理论体系提供借鉴。
煤储层地质学是应用地质、地球物理和地球化学理论方法结合勘探开发资料,研究和解释煤层气储集地质体的物质组成、成因、演化与分布、空间展布规律,描述与表征储层几何特征与成藏机制的一门应用地质学科。煤储层地质学经历了30余年的理论与实践探索,在煤储层表征及其非均质性控制机制、渗透性影响因素及增渗改造技术、煤储层岩石学、岩石物理学及岩石力学、煤层气储集及产出机理等方面取得了丰硕研究成果。
煤储层地质学研究直接服务于煤层气勘探开发。在勘探开发前期,需要研究储层性质、成因类型、沉积环境、构造作用、含气性、应力特征、物性特征、几何形态、储集体分布规律及有利储层“甜点区”的预测等,都属于煤储层地质学的重要研究内容。在储层分级评价中,探明煤层气资源量、预测可采储量、建立储层模型及储层表征等工作都是建立在煤储层地质研究基础之上的。在开发阶段,井网布置方式、井型及井间距选择、钻井及压裂方式、排采制度、储层改造及保护、储层敏感性、开发过程剩余气源分析、井间干扰评价、井网调整及优化、采出率提高优化方案等,都要求对储层地质进行综合研究。煤储层地质学发展需要其他学科的协同配合,包括岩石力学、沉积岩石学、构造地质学、古生物和古生态学、有机地球化学、层序地层学、地球物理学、渗流力学、钻井工程及采气工程等。同时,它的发展又促进了上述学科的发展。煤储层地质学研究在一定程度上解释了煤层气赋存和产出机理、运移机制及不同类型储层特征差异的形成原因,为煤层气资源合理高效开发提供了最基本的信息,使得“趋利避害”式的开采逐步代替了“粗放”式的经验开采。
1.2.1 储层表征
“储层表征”一词源于1985年美国能源部所做的年度报告[16],是指应用多学科理论实践知识定量确定储层性质、识别地质信息及描述空间非均质性变化的过程,可为储层特征及其演化、油气运移成藏分析提供依据。与常规储层相比,非常规储层具有孔喉尺寸小、孔隙结构与组构关系复杂、连通性差、充填情况杂乱等问题,由此对表征技术的精确度、分辨率及综合性提出了更高的要求。同时,开展跨尺度的储层表征是研究煤层气赋存、解吸-扩散、渗流能力和富集机理的基础,也是煤储层从宏观表征向微观表征逐步发展的桥梁架构。随着多学科交叉研究的发展,储层表征技术的精度得到了很大的提高。在分辨率方面,通过原子力显微镜、透射电镜可观察到孔径为0.1 nm的孔隙,孤立孔也可用X射线小角散射法测出[6];在孔隙成因方面,利用聚焦离子束扫描电子显微镜和光学显微镜观察孔隙大小、形状及与某种特殊组构的相对位置来确定成因类型[12]。
1.2.2 储层渗透性
储层渗透性决定着煤层气的运移和产出,其优劣程度上体现了储层孔-裂隙发育特征、张开度及连通性。渗透率包括基质渗透率(即煤基质孔隙传导流体的能力,一般通过考虑煤基质变形、滑脱和自由分子流动效应,结合毛细管模型和表观渗透率公式来获取相应的数学模型)和裂隙渗透率(即裂隙允许流体通过的能力,可根据裂隙分形理论、火柴棍模型、裂隙渗透特性和压缩系数来综合表征)[2,7,9],基质渗透率远远小于裂隙渗透率,目前储层改造一般改变的是裂隙渗透率。渗透率获取方法主要包括试井、岩心分析、地震属性、测井技术等。其中,试井方法获取的渗透率与现场较为接近。岩心分析局限于室内渗透率测试,采制样时原生裂隙难免会损伤,测试结果常与实际有相差[17-21]。地震属性类似于神经网络模式的渗透率预测,其优选条件属性、容错能力、推广能力等人为影响较大,适合勘探开发初期宏观范围获取储层渗透率[18]。测井技术利用声波时差、补偿密度、深/浅侧向电阻率等典型测井参数构建渗透率数学模型,对于非均质性较强的储层结果会不具有代表性。
1.2.3 储层有机岩石学
储层有机岩石学以有机岩的理论方法来研究煤的物质成分、结构性质和储渗效应,主要研究内容包括有机显微组分、烃源岩、煤岩类型、煤化作用和煤相等,均与煤储层广泛关联,一方面注重于有机岩石学内容的识别、命名、定义及研究方法的创新发展,另一方面关注利用有机岩石学的基础理论和方法来指导与煤层相关的矿产资源开采利用。
煤的显微组成特征控制了微裂隙的发育规律,显微组分在横向和垂向上的差异分布导致微裂隙发育呈现各向非均质性,煤岩类型的光泽越强,微裂隙越发育,微镜煤含量与微裂隙发育具有明显的正相关关系[19]。煤的不同显微组分吸附能力差异较大,表现为镜质组>惰质组>壳质组。当煤中惰质组含量较高而镜质组含量较低时,惰质组对孔隙度起主导控制作用。煤岩组分主导了储层渗透率和孔隙度分布不均匀性,其受控于煤相,煤相通过对植物类型、保存条件、水流类型及覆水深度频繁变迁的反映主导了煤岩组分,并影响了裂隙发育程度及渗透性,导致储层强非均质性的形成[13]。此外,煤的微裂隙发育具有明显的组分选择性,煤阶相似情况下,裂隙密度随镜质组含量的降低逐渐减少(由光亮型煤-半亮型煤-半暗型煤-暗淡型煤逐渐降低)。同时,以碎屑惰质体、碎屑镜质体、丝质体、半丝质体和粗粒体为主的单元组分不均一,且孔-裂隙发育,形成较大的气体赋存空间[14]。
煤储层地质学研究从宏观向微观、定性向定量、单学科到多学科协同发展,各种模拟方法和精密仪器的涌现使储层地质学的研究进一步精细化,并不断丰富和深化了其理论内涵。
2.1.1 煤储层孔-裂隙结构
根据研究目的差异,孔-裂隙分类存在显著差别。高阶煤孔隙自然分类方案以15、50、400 nm为界,划分为微孔、过渡孔、中孔、大孔[22]。结合煤层甲烷扩散与渗流特征,可将煤孔隙划分为扩散孔隙(<65 nm)和渗流孔隙(>65 nm),扩散孔隙进一步划分为微孔(<8 nm)、过渡孔(8~20 nm)、小孔(20~65 nm),渗流孔隙划分为中孔(65~325 nm)、过渡孔(325~1 000 nm)和大孔(>1 000 nm)[5]。对于特殊类型的构造煤,其孔径结构又可分为极微孔(<2.5 nm)、亚微孔(2.5~5 nm)、微孔(5~15 nm)、过渡孔(15~100 nm),随着构造变形程度的增强,煤中极微孔、亚微孔、微孔的孔容明显增多,过渡孔孔容减少[23]。基于显微裂隙发育统计,将煤中微裂隙划分为4种类型[8]。其中,A型裂隙延展性强,连续性好;B型裂隙与树枝状的主干部分相似;C型裂隙延展性较强,连续性一般;D型裂隙连通性较差,方向局限。耦合Hodot[24]和IUPAC[25]分类法,煤中孔-裂隙划分为超微孔(<2 nm)、微孔(2~10 nm)、中孔(10~102 nm)、大孔(102~103 nm)、超大孔(103~104 nm)、微裂隙(>104 nm)[17]。我国煤储层普遍具有低孔、低渗和高非均质等特点,储层微观与宏观裂隙发育及本构关系差异显著,因而暂未形成普适性的分类方案。
2.1.2 煤储层渗透率
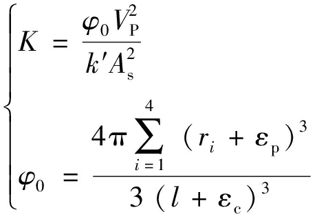
煤层气开发过程中,随着煤储层水和气的排出,流体与煤岩体相互作用,渗透率呈现动态变化。渗透率受地应力、煤体结构、构造史及其伴随的流体活动史、宏/微观割理/裂隙的张开程度、充填情况等影响,其中地应力对煤储层渗透性具有重要的控制作用,古构造应力与煤化作用共同控制天然裂隙的发育程度及分布情况,现今地应力对储层前期形成的构造形态起改造作用,控制着割理/裂隙的开度及充填情况,以此影响煤储层渗透性。在相同注气压力条件下,随着有效应力的增加,渗透率一般呈负指数型减小;在基质收缩/膨胀单因素作用下,中、高阶煤渗透率变化趋势均符合等温吸附曲线形式;在煤中甲烷吸附应变过程中,中、高阶煤的渗透率一般随着吸附平衡压力的升高呈负指数函数变化,且吸附应变对中阶煤的影响低于高阶煤[2,21-22]。排采阶段,随着流体介质的产出,有效应力增加会导致渗透率下降,而基质收缩效应又反过来增加渗透率,2种效应共同存在使得渗透率的动态变化变得更为复杂[9,15,18]。基于储层地质参数对内部应力状态、力学结构性质、能量系统耦合作用的影响,借助损伤力学与能量平衡转化理论,可构建排采过程中渗透率变化数学模型(式(1)),为排采现场施工提供指导[26-27]。耦合试验分析与数值模拟,在热冲击、热-冷冲击后煤样原有裂隙变宽且内部产生新的裂隙,导致渗透率增加,且热-冷冲击比单独的热冲击作用效果更明显,而在体积应力和孔隙压力不变的情况下,低阶煤的渗透率随温度的升高呈减小-增大-再减小的变化趋势[4,10,24]。随着μ/Nano-CT、聚焦离子束扫描电镜及图像处理技术的快速发展,考虑边界条件,以数字岩心为基础,利用Comsol、Avizo及Eclipse等模拟软件定量表征渗透率成为了常态,并实现了孔隙尺度的渗流模拟与动态渗透率变化的可视化提取[2,10,23]。此外,根据不同类型煤的三维数字岩心模型,应用玻尔兹曼方法模拟甲烷在煤储层中的渗流行为,可以获得流体在X、Y、Z三个方向上的速度分布图,以此定量表征煤储层渗透率微米尺度的张量变化。储层渗透性研究涉及非均质、各向异性、三重孔-裂隙介质和多相流等方面,随着非常规天然气行业的发展,多相介质煤岩体弹性参数、强度参数、超声波参数及电阻率等与渗透率之间的内在联系也开始被逐渐揭示。
总之,渗透率的研究经历了表观现象与经验推测定性分析、多种理化效应与各因素作用定量评价、数学模型与数值分析等多种模拟手段相结合定量表征、储层微米尺度动态渗透率精细化分析4个阶段,得出了具有应用价值的认识和规律。

(1)
式中:K为煤储层渗透率,10-15 μm;φ0为孔隙度;Vp为孔-裂隙体积,m3/t;k′为孔-裂隙结构相关参数;As为基质表面积,m3/t;ri为孔半径,m;εp为孔隙的变形;l为煤体边界尺寸,m;εc为煤体的变形。
煤储层非均质性直接影响煤层气的成藏与开采,系统地定量评价储层非均质性对于煤层气勘探选区和有效开发具有重要意义。储层非均质性主要体现在平面、层内和层间等方面,并受控于构造演化、沉积环境、岩浆活动、变质作用及其相互的耦合作用。一般向斜轴部位置容易形成煤层增厚区,且轴部中和面以下容易形成储层高压区,且具有较好的封闭条件,利于煤层气富集成藏;背斜轴部对煤层气含气量的影响受中和面影响较大,中和面以下部位相对容易形成高含气区,而中和面以上部位由于存在大量拉张裂隙,只有在顶底板盖层封闭性较好的条件下才能抑制煤层气大量逸散[10]。沉积环境对煤储层非均质性的影响主要体现在孔-裂隙发育、煤厚、顶底板及煤中矿物质含量等方面,由于不同区域湖平面变化、基底沉降差异及物源碎屑供应产生的可容空间变化导致有利聚煤带和聚煤中心在不同演化阶段存在较大差异,从而致使储层横向和纵向上形成不同的富煤或富气区。我国煤储层含气性的非均质性通常表现为“纵向顶底部较弱而中部较强、平面断层区非均质性强及构造简单区域非均质性弱”等特点[28-29];煤储层裂隙非均质性一般表现为“断层发育带分形维数、参差系数普遍较大,非均质性强”等特点;煤储层渗透率非均质性普遍表现为“变质程度控制垂向渗透性,中部较底部内生裂隙发育,渗透率分层现象严重,非均质性显著” 等特点[26]。此外,巨厚煤层的非均质性更为强烈,一般层内孔隙度相差较大,渗透率和比表面积可能相差两个数量级以上,实际研究中可对巨厚煤层进行旋回性划分,进而分析其非均质性。
2.3.1 煤储层地球物理表征
对岩石物理、地震预测、测井解释3个方面内容的深入研究,使得地球物理方法可以在储层精细表征方面发挥重要作用[11,16,20]。利用叠前或叠后地震勘探数据中的振幅、时间、衰减程度、频率、横/纵波速度、泊松比等基本信息,经过数学变换得到震波测井预测的动力学、几何学模型,以此提供煤层气储层的相关信息。地震勘探预测对裂缝、孔渗、非均质性、含气量等方面的识别存在一定的主观性,为此曲率属性被引入以表征储层特性,从而建立一种地震曲率属性与煤体结构量化、储层展布特征预测的新方法[18]。此外,深、浅侧向电阻率对储层孔-裂隙、渗透率较为敏感,高角度裂隙、低渗储层常表现为“正异常”,反之为“负异常”;微球聚焦测井曲线在孔-裂隙发育段偏离深、浅侧向电阻率[21,30]。含钾的硅酸盐矿物容易被风化分解,难溶于水的则以机械分异迁移为主,容易在有利条件下形成有机络合物,而+6价的铀盐容易以铀酰离子的形式随排采水运移,因而也常用钾(40K)、铀(238U)、钍(282Th)3种不稳定同位素进行放射性测井判识[30]。正常情况下,残留的钍元素和富钾的黏土矿物容易在裂隙相对较大处富集,表现为较高的自然伽马值,可以通过元素差量计算识别储层特征。
2.3.2 流体-地质响应
流体活动影响煤储层中的物质演变和能量分配,贯穿于整个成煤作用(包括沉积、变质、岩浆与构造活动等)过程,其对整个系统的贡献主要是通过流体之间以及流体和煤岩之间的理化反应来实现。储层条件下,煤层气运聚动力分为2类,一类是在气体浓度差作用下的扩散-渗流机制,另一类是压差或势差作用下的水动力-浮力机制。实际上,在煤层气聚集过程中,2类动力学机制往往同时发生,并随地质条件的变化相互转换共同作用。流体总是从高势区向低势区运动,储层流体流动的基本原则是降低其能量。影响储层流体流动的因素主要包括构造应力、沉积压实、重力、温差及浮力等[14]。构造挤压应力主要通过骨架岩石的变形改变含水层与隔水层,并影响到流体渗流网络的输导能力;沉积压实主要影响孔-裂隙空间及喉道,沉积物沉降速度(沉积物在合外力作用下单位时间内移动的距离)过快容易形成异常高压带,不利于储层流体流动;流体在三维空间中所处的温度不同,温差效应常会引起流体发生瑞利(存在于没有任何低渗夹层的较厚、均匀、多孔煤层中)和非瑞利(存在于具有非水平等温线的倾斜煤层中)对流驱动,一般浅部低温、密度较大的流体会向下运动,而深部高温、密度较小的流体会向上运动;非对流性浮力(处于非对流环境中的物体受到流体竖直向上托起的作用力,具有一定的连续性和稳定性)驱动流动是埋深3 000 m以内烃类二次运移的重要机制,沉积盆地中浮力是由温度-盐度耦合控制的流体密度梯度产生的,而温度和盐度常随深度增加[28,31]。我国部分煤储层形成过程经历了多阶段与多热源叠加变质作用,煤变质作用通过影响煤的生气量和对气体的吸附能力来影响煤储层含气量,通过改变孔-裂隙系统、煤质、煤级等影响煤层气的生成、富集成藏和开采。地下岩浆侵入到煤系及其附近地层的过程中,除了本身带来的大量热量和岩浆热液外,还可以使围岩变质及改变地下水循环,形成“变质热液”和“地下热卤水”等[29],促使煤的物质组成和结构发生变化,大量挥发分排出,热变气孔迅速增加,并生成大量热成因气,造成煤层气运移和局部富集,引起煤储层层间、平面和层内非均质性等。
总之,煤层气的形成、演化、富集、成藏至产出的整个过程中均发生着不同形式的流体地质作用,煤储层中的流体活动不仅是物质交换、能量传输的过程,也是部分无机和有机元素富集成矿的过程,流体与煤储层不断作用的过程中可以溶解、搬运和沉淀各种物质,还可以导致挥发分凝结和释放,致使煤储层成分、组构和性质发生变化。
煤储层动态评价研究主要集中在多相介质耦合特征、渗透率评价、产气过程相渗演化、排采工艺技术和产能预测等方面。煤是一种有机岩,吸附和储存煤层气的量取决于相互接触的煤-气-水的物理化学特性、储层压力和温度条件,煤层气扩散和渗流必须破坏原始的煤-气-水多相介质热力学平衡状态,而整个排采过程则是平衡不断被破坏和重新达到平衡的动态过程[31]。水对煤基质吸附甲烷存在显著影响,其拥有很强的吸附能力,导致煤基质吸附甲烷能力随着含水饱和度的增高而降低,并会很大程度降低气相渗透率[32]。煤层气排采过程中渗透率存在动态变化,且服从弹性自调节效应,即煤基质收缩促使渗透率增大和有效应力增加促使渗透率减小,2种效应耦合作用使得储层渗透率动态过程较为复杂[9,10,26]。通常情况下,煤层气解吸-扩散-渗流过程会使煤体骨架发生变形,导致气水两相有效渗透率、煤层孔隙压力分布、煤岩密度和孔隙压缩系数发生变化,其又反作用于甲烷气体的解吸和运移过程,尤其气体滑脱效应对煤层气非线性渗流影响较大。此外,现有的煤层气排采工艺包括慢控稳精细排采、五段三压排采和双压箱型六段式排采等[2,24,30],排采工艺技术的选择需要根据地质条件、工程状况及时做出相应的动态调整,保证整个区块采出率达到最高。近年来,我国在煤层气产能动态预测方面的研究主要是基于物质平衡方程,充分考虑应力敏感性、裂缝导流能力、基质吸附膨胀/解吸收缩特性和渗透性变化特征,根据煤储层地质条件、历史生产数据、资源储量采出程度等参数通过数学模型和数值模拟手段建立煤层气井产能动态预测模型[20,33,34]。
储层综合表征理论的不断完善得益于研究方法和试验技术的不断进步[6,8,22]。储层表征传统的宏观研究方法主要包括露头、煤壁的野外观察及钻井取心煤样的肉眼判断,可以获得研究区基础煤岩类型和煤层气勘探开发前期资料[8,14]。随着煤岩显微裂隙观察法、压汞毛管压力法、透射电镜分析法等的出现,特别是核磁共振(NMR)和μ-CT扫描等无损检测技术的应用,使得煤储层典型的平面、层间、层内非均质性被揭示,同时建立了储层非均质性与含气性、应力响应、渗流能力等诸多煤层气成藏要素相关的交叉研究体系。此外,发现沉积环境的剧烈变迁是导致煤储层在横/纵方向上强非均质性的主控因素,且储层微观非均质性对于煤层气开发区块宏观方面的井型选择、井网布置、压裂方式、排采工作制度、二次改造和提高采出率等具有重要影响。随着表征技术和开发工艺的进步,煤储层微观孔隙结构、空间尺度大小、流体流动通道、气体传输模型、煤层变形程度、井网产气潜力、井间干扰评价等被定量表征,另外煤体结构指数、煤岩结构强度、煤岩结构面等级、地震曲率属性等被用于精细定量评价煤层变形程度、水力压裂造缝情况、煤层破裂模式及改造方案中,很大程度上推动了煤层气地质学理论与现场勘探开发的紧密结合[34-35],这仍然是当前和今后一段时间需要完善的方向。
储层表征从定性描述向定量评价转变是煤储层地质学研究走向精细化、系统化的关键标志之一。煤层气勘探开发初期,对形成成因、赋存状态、成藏机理、物性特征、力学性质等都是基于样品基本形貌信息和借鉴其他学科知识来定性判断,获得了一些煤体宏观分类、储集特征、资源储量、“甜点区”优选等基本信息。当前,在对典型储层地质模型内部和外部因素认识的基础上,如何有效揭示温、压和流体耦合作用对煤储层性质及其解吸、扩散的影响机制,并深化“高应力、特低渗、构造煤和强非均质性”复杂储层中煤层气赋存条件与成藏动力学理论,是仍待完善的工作。此外,尽管煤储层微观结构方面的定性和定量刻画已取得部分进展,但其内含的流体传输机制尚未理清,仍需要进一步明晰煤储层微纳米级孔隙流体传输行为,并基于分子动力学、分子力学及量子力学,探索储层气体与纳米级孔隙在分子级别的相互作用,加深深部构造煤和热改造煤储层纳米级孔隙气体的赋存状态与扩散运移机理的研究。虽然煤储层地质学在定性描述和定量评价方面已经取得了丰富的研究成果,但如何架构煤储层宏观与微观联系,仍是当前一段时期内的一个重要问题。煤系气综合利用是释放产能的重要举措,合采技术探索势在必行。随着煤层气行业越来越多科学问题的涌现,未来需要厘定不同温、压条件下煤储层微纳米孔隙中气体凝聚与游离空间变化,分析超临界条件下煤层气赋存状态及煤层中气、液、固三相物理化学反应与相态转化,结合宏观储层地质背景解析微纳米尺度孔隙超量吸附的聚散过程,揭示流体动力学变化对煤层气赋存的控制作用,深化煤储层微观赋存机制与超压吸附理论,真正由定性描述向定量评价转变。
煤层气的生成、赋存、运移和产出实际上是一个动态过程[3,6,16]。针对传统的水力压裂施工过程中裂缝形态单一、堵塞严重和改造效果不理想等问题,分析煤储层在不同载荷频率激励下的应力响应和动力学特性,脉动、循环、变速、高压放电和超声波等新型水力压裂方式相继涌现,达到了较好的储层压裂改造效果[12,33,36]。同时,智能控制系统(包括执行机构、传感器、信息采集处理模块、推理机制模块、规划与控制决策模块)和变频控制系统(包括升压变压器、变频器、正弦滤波器、电动机)等的应用,实现了煤层气生产参数实时监测、动液面精细自动控制、故障报警和自动停抽等智能化排采管理[12,36]。此外,对煤层气开发过程中扩散-解吸、渗透率、压降传播、产水产气、储层敏感性、产能主控因素、地应力场和化学场等研究也均经历了从静态到动态和动静结合的发展历程。随着煤层气勘探开发研究的不断深入,实时动态和衍生性研究越来越受到重视。多学科动态融合的深入发展,使得煤层气生物工程开始应用于非常规天然气行业,微生物厌氧发酵原理与煤储层地质学有效结合,充分发挥驯化菌群的增气、增液、增解、增透和减排等功能,以此促进煤层气产量的高幅增加。另外,纳米材料因其特殊的物理化学特性被逐步应用于天然气领域,如何对纳米颗粒的表面进行化学改性及嵌入疏水组分,使其变成压敏性的颗粒,通过研究不同压力下的波长及与烃类接触时疏水组分的脱离效应来达到降解煤粉颗粒的目的,从而促进煤层气的增产。
1)煤储层地质学是应用地质、地球物理和地球化学理论方法结合勘探开发资料,研究和解释煤层气储集地质体的物质组成、成因、演化与分布、空间展布规律,描述与表征储层几何特征与成藏机制的一门应用地质学科。其从理论上解释了不同类型储层特征差异的形成原因及煤层气产出机理、运移机制,为煤层气资源的合理高效开发提供了基本信息。
2)煤储层中气体的主要运聚动力分为2类:一类是在气体浓度差作用下的渗流-扩散机制,另一类是压差或势差作用下的水动力-浮力机制。流体在三维空间中所处的温度不同,温差效应常会引起流体发生瑞利和非瑞利对流驱动,一般浅部低温、密度较大的流体会向下运动,而深部高温、密度较小的流体会向上运动。
3)煤储层渗透性的研究经历了根据表观现象与经验推测定性分析、考虑多种理化效应与细化各因素作用影响机制、结合数学模型与数值分析等多种模拟手段定量表征、精细完善储层微米尺度传输介质渗透率动态变化4个阶段。储层渗透率非均质性普遍表现为“变质程度控制垂向渗透性,中部较底部内生裂隙发育,渗透率分层现象严重”等特点。
4)随着煤层气行业越来越多科学问题的涌现,未来需要厘定不同温、压条件下煤储层微纳米孔隙中气体凝聚与游离空间变化,分析超临界条件下煤层气赋存状态及煤层中气、液、固三相物理化学反应与相态转化,并深化煤储层微观赋存机制与超压吸附理论研究。另外,需动态融合煤储层地质学理论与微生物厌氧发酵生物工程,以此丰富煤储层地质学研究。
[1] 秦 勇, 吴建光, 申 建, 等.煤系气合采地质技术前缘性探索[J].煤炭学报, 2018, 43(6): 1504-1516.
QIN Yong, WU Jianguang, SHEN Jian, et al.Frontier research of geological technology for coal measure gas joint-mining[J].Journal of China Coal Society, 2018, 43(6): 1504-1516.
[2] 杨曙光, 李瑞明, 汤达祯, 等.准噶尔盆地南缘中低煤阶煤层气成藏地质及有利区评价[M].武汉: 中国地质大学出版社, 2020.
[3] 汤达祯, 赵俊龙, 许 浩, 等.中—高煤阶煤层气系统物质能量动态平衡机制[J].煤炭学报, 2016, 41(1): 40-48.
TANG Dazhen, ZHAO Junlong, XU Hao, et al.Material and energy dynamic balance mechanism in middle-high rank coalbed methane(CBM)systems[J].Journal of China Coal Society, 2016, 40(1): 40-48.
[4] DAVUDOV D, MOGHANLOO R G.Impact of pore compressibility and connectivity loss on shale permeability[J].International Journal of Coal Geology, 2018, 187: 98-113.
[5] 傅雪海, 秦 勇, 张万红, 等.基于煤层气运移的煤孔隙分形分类及自然分类研究[J].科学通报, 2005(S1): 51-55.
FU Xuehai, QIN Yong, ZHANG Wanghong,et al.Research on coal pore fractal classification and natural classification based on coalbed methane migration[J].Chinese Science Bulletin, 2005(S1): 51-55.
[6] 刘大锰, 李振涛, 蔡益栋.煤储层孔-裂隙非均质性及其地质影响因素研究进展[J].煤炭科学技术, 2015, 43(2): 10-15.
LIU Dameng, LI Zhentao, CAI Yidong.Study progress on pore-crack heterogeneity and geological influence factors of coal reservoir[J].Coal Science and Technology, 2015, 43(2):10-15.
[7] CAI Y D, LI Q, LIU D M, et al.Insights into matrix compress-ibility of coals by mercury intrusion porosimetry and N2 adsorption[J].International Journal of Coal Geology, 2018, 200: 199-212.
[8] 姚艳斌, 刘大锰, 黄文辉, 等.两淮煤田煤储层孔-裂隙系统与煤层气产出性能研究[J].煤炭学报, 2006,31(2):163-168.
YAO Yanbin, LIU Dameng, HUANG Wenhui, et al.Research on the pore-fractures system properties of coalbed methane reservoirs and recovery in Huainan and Huaibei coal-fields[J].Journal of China Coal Society, 2006,31(2): 163-168.
[9] CLARKSON C R, QANBARI F.A semi-analytical method for forec-asting wells completed in low permeability, undersaturated CBM reservoirs[J].Journal of Natural Gas Science and Engineering, 2016,30:19-27.
[10] 李 松, 汤达祯, 许 浩, 等.应力条件制约下不同埋深煤储层物性差异演化[J].石油学报, 2015, 36(S1): 68-75.
LI Song, TANG Dazhen, XU Hao, et al.Evolution of physical differences in various buried depth of coal reservoirs under constraint of stress[J].Acta Petrolei Sincia, 2015, 36(S1): 68-75.
[11] 陈愿愿, 杨 晓,邓小江,等.海鸥优化算法在四川盆地渝西区块H井区页岩气储层最优化测井解释中的应用[J].地球科学进展, 2020, 35(7): 761-768.
CHEN Yuanyuan, YANG Xiao, DENG Xiaojiang, et al.Application of seagull optimization algorithm log interpretation to shale gas reservoir of Well H in Sichuan Basin Yuxi Block[J].Advances in Earth Science, 2020, 35(7): 761-768.
[12] 宋孝忠, 张 群.煤岩显微组分组图像自动识别系统与关键技术[J].煤炭学报, 2019, 44(10): 3085-3097.
SONG Xiaozhong, ZHANG Qun.Automatic image recognition system and key technologies of maceral group[J].Journal of China Coal Society, 2019, 44(10): 3085-3097.
[13] ZHANG S H, TANG S H, TANG D Z, et al.The characteris-tics of coal reservoir pores and coal facies in Liulin district, Hedong coal field of China[J].International Journal of Coal Geology,2009,80(2):113-123.
[14] 许 浩, 汤达祯.基于煤层气产出的煤岩学控制机理研究进展[J].煤炭科学技术, 2016, 44(6):140-145,158.
XU Hao, TANG Dazhen.Research progress of control mechanism of coal petrology on CBM production[J].Coal Science and Technology, 2016, 44(6):140-145,158.
[15] PRINZ D, PYCKHOUT H W, LITTKE R.Development of the meso-and macroporous structure of coals with rank as analysed with small angle neutron scattering and adsorption exneriments[J].Fuel, 2004, 83(4): 547-556.
[16] 于兴河.油气储层地质学基础[M].北京: 石油工业出版社, 2009.
[17] CAI Y D, LIU D M, Mathew J P, et al.Permeability evolution in fractured coal-Combining triaxial confinement with X-ray computed tomography, acoustic emission and ultrasonic techniques[J].International Journal of Coal Geology, 2014, 122: 91-104.
[18] 何 琰, 彭 文, 殷 军.利用地震属性预测渗透率[J].石油学报, 2001,22(6): 34-36,54.
HE Yan, PENG Wen, YIN Jun.Using seismic attributes to predict permeability[J].Acta Petrolei Sinica, 2001,22(6): 34-36,54.
[19] YAO Y B, LIU D M, Che Y, et al.Petrophysical characterization of coals by low-field nuclear magnetic resonance(NMR)[J].Fuel, 2010, 89(7): 1371-1380.
[20] 李亚龙, 刘先贵, 胡志明, 等.页岩气水平井产能预测数值模型综述[J].地球科学进展, 2020, 35(4):350-362.
LI Yalong, LIU Xiangui, HU Zhiming, et al.Summary of numerical models for predicting productivity of shale gas horizontal wells[J].Advances in Earth Science, 2020, 35(4): 350-362.
[21] FU X, QIN Y, WANG GGX, et al.Evaluation of coal structure and permeability with the aid of geophysical logging technology[J].Fuel, 2009, 88: 2278-2285.
[22] 秦 勇, 徐志伟, 张 井.高煤级煤孔径结构的自然分类及其应用[J].煤炭学报, 1995,20(3):266-271.
QIN Yong, XU Zhiwei, ZHANG Jing.Natural classification of the high-rank coal pore structure and its application[J].Journal of China Coal Society, 1995,20(3): 266-271.
[23] 琚宜文, 姜 波, 侯泉林, 等.华北南部构造煤纳米级孔隙结构演化特征及作用机理[J].地质学报, 2005, 79(2):269-285.
JU Yiwen, JIAN Bo, HOU Quanlin, et al.Structural evolution of nano-scale pores of tectonic coals in southern north China and its mechanism[J].Acta Geologica Sinica, 2005, 79(2): 269-285.
[24] HODOT B B.Outburst of coal and coalbed gas(Chinese Translation)[M].Beijing: China Industry Press, 1966.
[25] IUPAC.Manual of symbols and terminology[J].Pure and Applied Chemistry, 1972, 31: 578.
[26] 张崇崇, 王延斌, 倪小明, 等.煤层气直井排采过程中渗透率变化规律研究[J].中国矿业大学学报,2015,44(3):520-525.
ZHANG Chongchong, WANG Yanbin, NI Xiaoming, et al. Research on permeability variation law of coal reservoir in drainage process of CBM vertical wells[J].Journal of China University of Mining & Technology, 2015, 44(3):520-525.
[27] JAHEDIESFANJANI H, CIVAN F.Determination of multi-component gas and water equilibrium and non-equilibrium sorption isotherms in carbonaceous solids from early-time measurements[J].Fuel, 2007, 86: 1601-1613.
[28] 韩文龙, 王延斌, 倪小明, 等.正断层发育特征对煤层气直井开发的影响:以沁水盆地南部柿庄南区块为例[J].煤炭学报, 2020, 45(10): 3522-3532.
HAN Wenlong, WANG Yanbin, NI Xiaoming,et al.Influence of normal faults characteristics on the exploitation of vertical coalbed methane wells: A case study of the Shizhuang Block in the south of Qinshui Basin[J].Journal of China Coal Society, 2020,45(10): 3522-3532.
[29] YAO Y B, LIU D M.Comparison of low-field NMR and mercury intrusion porosimetry in characterizing pore size distributions of coals[J].Fuel, 2012, 95: 152-158.
[30] REN P F, XU H, TANG D Z, et al.The identification of coal texture in different rank coal reservoirs by using geophysical logging data in northwest Guizhou, China: Investigation by principal component analysis[J].Fuel, 2018, 230: 258-265.
[31] ENGLAND W A, MACKENZIE A S, MANN D M, et al.The movement and entrapment of petroleum fluids in the subsurface[J].Journal of the Geological Society, 1987, 144(2):327-347.
[32] HUANG C G, ZHANG Y B, HE J F.et al.Permeability improvements of an outburst-prone coal seam by means of presplitting and blasting with multiple deep boreholes[J].Energy Science & Engineering, 2019, 7(5): 2223-2236.
[33] YANG Z B, ZHANG Z G, QIN Y, et al.Optimization methods of production layer combination for coalbed methane development in multi-coal seams.Petroleum Exploration Development, 2018, 45: 312-320.
[34] IBRAHIM A F, Nasr-El-Din H A.A comprehensive model to history match and predict gas/water production from coal seams[J].International Journal of Coal Geology, 2015, 146: 79-90.
[35] CAO L T, YAO Y B, LIU D M, et al.Application of seismic curvature attributes in the delineation of coal texture and deformation in Zhengzhuang field, southern Qinshui Basin[J].AAPG Bulletin, 2020, 104(5): 1143-1166.
[36] 朱 葛,董世民,潘子卜.水力压裂非稳定激励下储层内动应力仿真模型[J].煤炭学报,2021(S1):149-156.
ZHU Ge,DONG Shimin, PAN Zibo.Simulation model of dynamic stress in reservoir under unsteady excitation of hydraulic fracturing[J/OL].Journal of China Coal Society,2021(S1):149-156.