21世纪是地下空间大规模开发利用的时代。岩土工程由于其涉及的工程地质及施工现场的复杂性,极易发生失稳破坏。大量工程实践表明,岩体工程的失稳破坏与其内部节理、裂隙等扩展和贯通有关。且随着我国地下空间逐渐向深部发展,深部围岩高应力与低强度的矛盾愈加突出,严重影响围岩稳定与工程安全[1]。通过向裂隙岩体注浆,可填充修复岩体裂隙,进而提高围岩的整体性,因此被广泛应用。
将注浆材料采用一定配比制成浆液,通过注浆设备将其注入到岩体的节理、裂隙中,待浆液固化从而达到充填、胶结、加固以及堵水的目的。目前,裂隙岩体注浆理论和注浆现场实践发展存在2个突出难题[2]:① 裂隙岩体注浆理论远远落后于注浆实践的发展;② 岩体注浆落后于土体注浆的发展。例如,因浆液在岩体裂隙网络中的扩散运移机制尚处于摸索阶段,实际注浆工程现场浆液配比、注浆孔布设以及注浆扩散距离等还过于依赖经验,经常造成注浆材料的浪费且加固及封堵效果不佳;目前关于岩体注浆的模型大多借鉴土体注浆理论模型,例如,在简化裂隙岩体时采用多孔介质理论,将裂隙岩体看作是一个多孔结构,孔隙之间互相连通,而实际岩体中存在的裂隙与孔隙相差甚远,裂隙是一种导水性很强的网络结构,且岩体的强度要高于土体,因此借鉴土体注浆理论得到的结论必然会存在局限性。国内外学者在裂隙岩体注浆理论及工程应用方面做了大量的研究,并得到了诸多有益的结论[3-7]。
笔者从裂隙岩体内浆液扩散运移机制这一关键科学问题出发,主要对裂隙岩体浆液扩散理论、裂隙岩体注浆胶结加固机理以及裂隙岩体注浆模拟试验与数值模拟等关键问题的研究进展展开了系统的归纳和分析,并对裂隙岩体注浆中亟待解决的关键问题与发展趋势进行了探讨。
注浆理论是在多学科理论交叉的基础上发展起来的[8],通过研究浆液在岩体裂隙网络内的扩散迁移进程,得到关于注浆压力、渗透距离等随时间变化的结论。由于岩体结构具有复杂性和难探测性,导致浆液在岩体内的扩散流动是复杂多变的,将会受到多种因素例如岩体条件、注浆参数等的影响[9-11]。随着注浆技术的应用和发展,国内外学者提出了多种注浆理论。依据浆液本构方程和运动方程的不同,主要可以分为渗透注浆理论、裂隙注浆理论、劈裂注浆理论、压密注浆理论、动水注浆理论等[12]。

图1 裂隙岩体注浆加固机理关键问题示意
Fig.1 Diagram of key problems in grouting strengthening mechanism of fractured rock mass
根据流体流动过程中切应力与速度梯度的关系可以将流体分为牛顿流体和非牛顿流体。剪切力与剪切速率呈线性关系的为牛顿流体,其本构方程[12]为
τ=μγ
(1)
式中:τ为剪切应力;μ为浆液动力黏度;γ为剪切速率。
其剪切力与剪切速率之间不是线性关系的流体称为非牛顿流体。在实际注浆加固工程中,对于非牛顿流体,浆液通常属于宾汉流体。剪切应力超过屈服应力时浆液方可运动。其本构方程[13]为
τ=τ0+μγ
(2)
式中,τ0为流体的屈服应力。
在岩体注浆过程中,因浆液类别和性质的差异,浆液的扩散规律复杂多变。岩体内裂隙的差异影响浆液的扩散规律。为了深入研究浆液在岩体内的迁移扩散规律,首先需要研究岩体内裂隙的结构特征,如何处理或者简化裂隙岩体介质,目前形成了以下理论[14]。
1)多孔介质理论。多孔介质理论认为岩体是有众多孔隙互相连通组成的结构,这些连通的孔隙构成了注浆浆液迁移扩散的主要通道。由于孔隙分布的不同,可将多孔介质分为各向同性多孔介质和各向异性多孔介质[15]。
2)等效连续介质理论。等效连续介质理论最早是从土力学中引进过来的,其发展体系较为完善。该理论通过应用等效原理,可以将包含大量裂隙和孔隙结构的岩石介质等效为各向异性连续介质体,采用Biot孔隙介质渗流分析方法[16-17]描述浆液在岩石内的扩散问题。国内外学者对此进行了大量的研究[18-19]。该模型主要特点就是应用范围广,在表征单元体积(REV)下,裂隙岩体均可以等效为连续介质。但是 该模型仅能描述注浆浆液在岩体内扩散的应力场与渗流场的宏观趋势变化,难以描述在裂隙内的具体演化情况。
3)离散裂隙网络介质理论。离散裂隙网络介质理论认为,由于裂隙的存在,使得岩体被分割,造成岩体的不连续性,而裂隙在岩体内部相互交叉、贯通而形成裂隙网络结构。假定浆液是在裂隙网络中流动,完整岩石为不透水介质。
4)裂隙-孔隙双重介质理论。双重介质理论认为裂隙岩体是由导水性强的“裂隙系统”和导水性弱的“岩块系统”构成,裂隙系统特征参数被简化平均到特征单元体中。浆液流动可以同时发生在裂隙和岩块中。该模型在1960年由前苏联学者BARENBLATT等[20]提出,其后大量学者对其进行了改进和完善[21-22]。
以上4种裂隙岩体介质理论中,多孔介质理论发展最为完善和成熟,且在实际的裂隙岩体注浆中应用最为广泛,但多孔介质理论是从借鉴土体而来,土体与裂隙岩体存在着较大差别,因而多孔介质理论难以真实描述裂隙岩体的介质情况;双重介质理论比较客观反映了裂隙岩体渗流的机制,对时空尺度较大区域问题比较适用,但因其理论发展相对缓慢不成熟,使得该理论难以在实际注浆中得到广泛的应用。总体而言,离散裂隙网络介质理论发展相对成熟,实际应用较为简单,其模型可以体现裂隙网络的本质特征,现已成为研究的主流方向。
基于离散裂隙网络介质理论,若研究浆液在裂隙网络中的扩散迁移规律,首先要掌握浆液在单一裂隙中的流动扩散规律,如图2所示。国内外学者为此做了大量的理论研究[23-31]。

p0—注浆压力;r—浆液扩散半径;r0—钻孔半径;q—浆液流速;θ—起伏角;b—裂隙开度;θi—轴向裂隙开度;θj—径向裂隙开度;ri—轴向裂隙扩散半径;rj—径向裂隙扩散半径;θi—轴向浆液流速;θj—径向浆液流速
图2 单一裂隙浆液流动扩散示意
Fig.2 Sketch of grout propagation of grouting into a single fracture
1.2.1 等厚光滑平板裂隙注浆模型
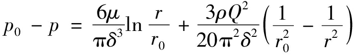
BAKER[23]在假设裂隙为表面平行、光滑的理想裂隙前提下,针对牛顿流体在岩体裂隙内做辐射状扩散,并在注浆压力、注浆流量恒定不变的情况下,推出了层流关系式:
(3)
式中:p0为注浆压力;p为浆液前锋面压力;r为浆液扩散半径;r0为钻孔半径;ρ为浆液的密度;Q为流量;δ为裂隙开度。
式(3)是在假定注浆压力、注浆流量恒定不变的前提下推导出的。保持注浆压力不变,压力梯度将随扩散半径的增大逐渐减小,流量Q也会随之减小;而注浆流量Q为恒定不变时,随着扩散半径r增加,压力梯度逐渐减小,为保持为Q为恒定,则注浆压力p0必然会不断增大。
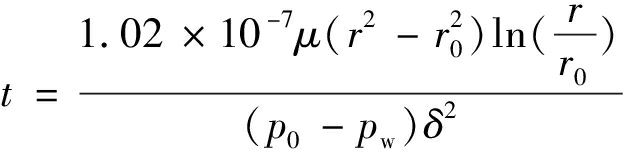
刘嘉材[24]根据注浆浆液的牛顿摩阻力定律,对二维光滑裂隙中牛顿流体的流动规律进行了研究,得到了扩散半径与注浆时间的关系式:

式中:pw为裂隙内静水压力;t为注浆时间。
式(4)在推导中,将注浆流量Q用含最大扩散半径R的式子进行代替,简化了公式,但在实际注浆中,Q是一个随注浆时间变化的量,故推导的公式存在偏差。
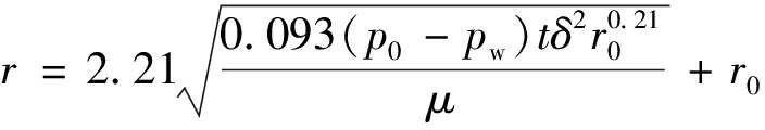
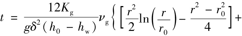
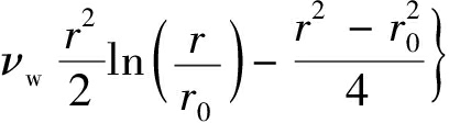
BAKER和刘嘉才研究浆液在裂隙中流动扩散问题时,均假设裂隙为等厚光滑的平板裂隙,这与岩石中的天然裂隙相差太大,基于此,张良辉[25]在研究中对采用粗糙裂隙进行公式推导,得到了如下关系式:
![]()
![]()
(5)
式中:Kg为粗糙裂隙渗透系数;h0为注浆孔压力;hw为静水压力;νg为浆液的运动黏度;νw为水的运动黏度。
上述公式都是建立在浆液是牛顿流体的基础上推导出的。相较于牛顿流体,宾汉流体更能反映注浆浆液的内在特性。LOMBARDI[27]基于力学原理,得出了裂隙中浆液的最大扩散半径的公式:
Rmax=pmaxδ/2c
(6)
式中:pmax为最大注浆压力;c为浆液的黏聚力。
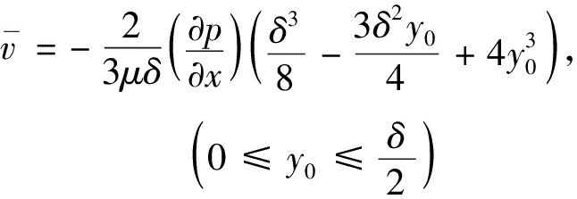
XIAO等[28]在推导单一平板裂隙浆液扩散控制方程中,考虑到惯性力的存在,导出了简化的模型,简化后的模型大大提高了注浆模拟计算效率:

(7)
式中,y0为宾汉流体流核高度的1/2。
1.2.2 考虑裂隙及浆液参数的注浆模型
上述公式都是假定在等厚光滑的平板裂隙中得到的,并未考虑裂隙开度、粗糙度以及地下水的作用影响。HASSLER等[29-30]以单条渠道为研究对象,推导出了浆液的流动扩散方程:
(8)

式中:Z为宾汉流体流核高度与裂隙开度的比值;W为渠道宽度;h0,h为分别为孔内及扩散距离上处的压力水头;μ(t),τ0(t)为t时刻时浆液的塑性黏度和剪应力;L为浆液渗透长度。
郑长成[31]的研究考虑了黏度时变性,为研究浆液在裂隙中的复杂流动特征提供了基础。但由于其裂隙密度、裂隙宽度、裂隙分布特征等众多参数无法准确选取,使得理论计算较为困难。TANI等[32]根据裂隙特性、流体性能、驱动过程,推导了牛顿流体以及宾汉流体分别在一维通道流动以及二维径向流动的公式,并考虑了不同方式下的注浆过程,即恒定流速、恒定压力以及首次考虑恒定能量下的注浆过程,具有重要意义。郑玉辉[33]通过试验模拟与理论分析的方法,系统研究了浆液黏度时变性、裂隙等效水力开度、裂隙倾角、裂隙方位角和地下水影响半径等多因素影响下的浆液扩散流动规律,建立了牛顿浆液流体和宾汉浆液流体的流动扩散模型。但浆液在裂隙岩体内流动时是一个应力场与渗流场相互耦合、动态作用的过程,上述公式并没有体现浆液与地应力等的相互耦合效应。在现场注浆工程中,浆液多是以非稳态方式进行迁移扩散。关于这个问题,国内外学者也做了相应的研究。熊峰等[34]针对JAVADI提出的T模型和细观模型亚裂隙速度与开度呈正比的假定,建立了低速下粗糙岩石裂隙非达西渗流模型,并计算得到临界雷诺数,根据临界雷诺数将非线性流动划分为Darcy流和Forchheimer流;CHEN等[35]研究了不同注浆流量下宾汉流体在平板裂隙间的扩散规律,并且推得了浆液作为非稳态流动时的速度分布和压力梯度特征。
对于裂隙岩体而言,浆液从注浆孔注入后,将会通过岩体裂隙网络流动。数十年内,国内外学者在考虑了不同的浆液性质、不同的地质岩性条件以及不同的浆液流动状态的情况下,推导了浆液在单一裂隙中的流动方程,得到了注浆压力、扩散半径、注浆时间等的相互关系,使得单一裂隙注浆理论有了长足的发展与进步。但仔细研究不难发现,目前的浆液扩散理论存在以下2点不足之处:①目前描述浆液在岩体裂隙中扩散规律的公式大多较为复杂,许多参数难以通过室内试验或现场实测的方法获取,难以在实际工程应用中指导工程实践;②现有的注浆扩散理论大多是对最终扩散结果的一种描述,而在实际注浆过程中,浆液流动过程中的流速、压力随着不同位置不同时间发生动态变化,这涉及应力场、渗流场的变化及其相互耦合作用,在注浆过程中内外边界条件是动态变化的。现有的注浆模型未考虑这一动态过程,极少涉及描述浆液在渗流过程中的演化特性的理论,这使得对于深入探究浆液在裂隙中的扩散运移规律陷入瓶颈。
裂隙岩体内注浆后,浆液将沿着裂隙网络进行扩散流动。科研人员对于浆液在裂隙网络中的扩散运移理论也开展了诸多有价值的研究工作。
MOON等[36]在考虑了浆液的黏度时变性的前提下,将裂隙假设为渠道,通过渠道的不同高度近似代替浆液在不同裂隙中的压力差,从而得到了宾汉流体在岩体裂隙网络中的流动扩散规律;郝哲等[37-49]在利用计算机对岩体裂隙网络流动扩散规律进行数值模拟时,认为每条裂隙内浆液的压力处处相等,并且忽略裂隙网络内各交汇点的能量损失,从而根据能量守恒得到裂隙交汇点进口的总能量等于出口总能量的关系式。ERIKSSON等[40-41]主要认为渠道裂隙网络中各个裂隙交汇点的微元体内浆液流入量等于浆液流出量,但是与交汇点连接的各条裂隙开度并不相同,而是呈对数分布,因此实际岩体中每条裂隙中的两个裂隙面并不是完全分离,存在一定的接触面积,浆液在接触面积内不发生流动。杨米加等[42-43]将裂隙间的交汇点看作节点,节点间的裂隙看作线单元,从而建立浆液在裂隙网络中的流动扩散方程,根据线单元流向相同节点的流量等于0(稳流状态下),并结合边界条件,研究了考虑浆液时变性和地下水影响的宾汉流体流动扩散规律。
在裂隙岩体内注浆后,浆液将沿着裂隙网络进行扩散流动。从目前的研究理论可知,浆液由在单一裂隙中的扩散理论到在裂隙网络中的扩散理论之间还有很多理论问题亟待解决。如裂隙网络的精细化建模、裂隙接触界面效应表征,裂隙网络中(尤其是三维网络)浆液的交叉分流方程等难题都需要充分的理论支撑。此外,初始岩体裂隙中可能赋存裂隙水或气体(包括空气、瓦斯等)会对浆液流通和填充效果产生很大影响,而目前关于裂隙岩体浆液-水/气驱替作用机制研究十分罕见,这也是今后裂隙岩体浆液扩散理论需要重点研究的方向之一。
裂隙岩体注浆后,浆液在裂隙内扩散流动,最终浆液凝固将裂隙充填,使原本较为破碎的岩体胶结为完整的块体,提高了岩体的完整性,进而提高了岩体的强度[44-45]。其强度提高受多种因素影响,包括浆液理化性质、被注岩体、注浆环境等众多因素的相互影响[43]。要定量描述裂隙岩体注浆胶结加固的程度,指导注浆加固参数设计,须从以下2个方面进行研究:
1)裂隙岩体注浆加固作用机理。裂隙岩体内注浆后,通过浆液的胶结作用达到加固岩体的目的,这已经在许多学者的研究中得以证实[46-51]。随着科研的进步,国内外学者为了研究裂隙注浆加固的胶结加固机理,分别采用理论、试验等手段从微细观尺度描述了注浆加固机制。刘泉声等[52]测定了岩体裂隙在注浆加固前后的裂隙面闭合和剪切强度,并进行了对比,得到了注浆前后岩体裂隙的力学性能变化规律;GRASSELLI[53]通过裂隙岩体多相耦合蠕变试验装置,对泥岩在饱和含水状态下和注浆后的孔隙随时间的变化进行了测定与研究,得到了注浆前后泥岩蠕变过程中孔隙的变化规律;杨米加[42]以损伤力学为基础,建立了注浆加固本构模型,通过引入损伤变量,对比描述了在不同的加固因子、裂隙宽度等因素下注浆前后的弹性模量以及损伤变量的变化规律;温帅等[54]采用高压水泥-化学复合注浆技术,对辉绿岩脉的注浆加固展开试验研究,并将加固岩体的实质概括为:注浆改善了岩体结构面力学特征及其组合关系,增加了岩体的刚度,且通过浆液的填充作用,减弱了裂隙尖端的应力集中作用。卢超波[55]在总结了前人大量的注浆加固机理研究后发现,现有的注浆加固机理主要体现为壁后充填加固作用、裂隙充填与压密作用、网格骨架作用,且成果主要集中在定性研究方面,裂隙岩体注浆前后概化模型示意,如图3所示。

图3 裂隙岩体注浆前后概化模型示意
Fig.3 Sketch of generalized model before and after grouting of fractured rock mass
2)裂隙岩体注浆加固效果的影响因素。王汉鹏等[56]在岩石试件单轴压缩破裂的基础上,对试件在注浆加固后的力学特性进行了详细的试验研究;SEO等[57]通过数值试验的手段比较了不同的注浆方式(径向加压注浆和垂直向上加压注浆)对地下空间岩柱加固效果的影响;王德明等[58]采用了层次分析法,通过量化各评价因子,评价了破碎带区域的注浆效果,运用模糊综合评价法建立了4个反映注浆效果的评价等级标准,该研究成果可以初步实现注浆效果评价由定性向半定量化的转变。总体来说,国内外研究学者在注浆加固效果影响因素方面,主要集中在浆液种类及性质、注浆方式、注浆环境以及被加固体的自身性质等方面展开研究,各影响因素对加固效果的影响程度均不相同,且各影响因素之间存在相互协同作用。
通过目前的研究现状不难发现,目前在裂隙岩体胶结加固机理方面,存在以下3个问题:
1)关于裂隙岩体注浆加固作用机理方面,其研究结果均是在满足一定理想条件下得到的,难以推广到一般性的裂隙岩体注浆加固中,浆液通过充填裂隙从而提高岩体的强度及抗渗性,注浆前后裂隙力学性能的改变是注浆加固的本质作用。目前的研究中关于裂隙力学性能的理论描述非常少见,理论研究的不足将是阻碍进一步揭示注浆加固作用机理的关键所在。
2)关于裂隙岩体注浆加固效果影响因素方面,现阶段的研究成果多是对浆液自身性质、岩体裂隙条件、注浆环境等多种影响因素的定性结论,而鲜有定量的描述,这就导致目前的研究成果难以与实际工程应用紧密结合,定量化地优化注浆加固设计参数以及确定被注岩体的强度与抗渗性的提高程度。
3)影响裂隙岩体注浆加固效果的因素有很多,且各因素之间存在着协同效应,国内外学者在注浆加固效果方面的研究成果显著,但总结后不难发现,目前的研究成果大多对单一的影响因素展开研究与讨论,这种单一的研究因素导致当前的研究成果与复杂多因素共同影响下的注浆工程环境会存在较大差距,难以在工程中得到推广及应用。
在实际的注浆工程中,浆液被注入到裂隙岩体内部,难以直观地观测到浆液在裂隙内的流动和分布情况,造成了注浆工程特有的隐蔽性和不确定性。注浆在岩体裂隙内部流动是一个复杂的过程,通常涉及压力场、渗流场以及两者的相互耦合、浆液的迁移扩散方向及路径等多个信息。同时,由第1节提出的注浆扩散与胶结加固理论也需要在试验中得到进一步的验证。而注浆的现场原位试验由于工程本身的复杂性使得上述多项参数难以获取,且试验成本较高,因此,国内外学者常采用注浆模拟试验来研究浆液岩体裂隙内部的流动规律。
采用注浆模拟试验进行研究时,要能够解决以下问题[59-60]:为保证浆液在试验模型的流动环境与实际工程中相似,需合理设计模型以及浆液流动通道;在试验模型中要考虑需要测量的物理量,以便预先布设足够的传感器去获取试验数据;模拟试验中所得结论能够进行合理的转化并应用到实际工程中。
几十年来,国内外学者在注浆模拟试验中取得了一系列成果。前苏联学者[61]采用渗透系数与相应粒度模数不同的细砂,注入不同化学黏度的浆液,对注浆压力、浆液流量、注浆时间、扩散半径以及各参数之间的关系进行了一系列的试验研究。根据试验结果,得到注浆时间与注浆压力、浆液黏度和被注介质特性的关系:
t=0.631p-1.09M0.42μ1.58
(10)
其中,t为注浆时间,min;M为细砂粒度模数。浆液扩散速度与各参数之间的关系:
v=618.6p1.09M0.42μ-1.58
(11)
其中,v为浆液的扩散速度。浆液流量与各参数之间的关系:
Q=1 564.5p1.09M0.42μ-1.58
(12)
浆液扩散半径与各参数之间的关系:
r=283.82p0.53M0.23μ-0.83T0.55
(13)
此外,奥地利学者[62]进行了单裂隙流动过程的模拟实验,采用3种不同的模型,建立了注浆流量、注浆压力、浆液扩散距离以及浆液黏度之间的相互关系,并且初步讨论了裂隙粗糙度对浆液流动的影响作用。瑞典学者[63]进行了大量的关于注浆的基本力学试验工作,设计了3种裂隙注浆试验模型来研究浆液在细小裂缝中的扩散机理。
国内方面,徐志鹏[64]研制了等宽单裂隙注浆试验台,如图4所示。利用该试验平台,进行了水泥浆液的流动扩散试验,此后,在此试验台上还开展了C-S双液浆、黏土水泥浆的裂隙注浆模拟试验研究,并成功应用到矿井注浆工程技术中,极大促进了国内注浆模拟试验的发展。

1、2、3—计量泵的泵体、调速器、计数器;4—泵压力表;5—泵流量表;6—储浆缸;7—支撑及搅拌装置;8—压力表;9—隔离器;10—排气阀;11—截止阀;12—受注磨具;13—底座;14—集液池;15—溢流阀;16—隔浆缸
图4 圆管型等隙宽单裂隙注浆试验台[64]
Fig.4 Grouting test bench of single crack with round tube type and equal width[64]
湛铠瑜[65]在假设裂隙光滑、开度均匀的前提下,研制了单裂隙模拟注浆试验系统。通过试验平台,进行了注浆试验,研究了注浆压力、裂隙开度等因素对浆液扩散迁移的影响关系。张伟杰等[66-67]研发了可视化大比例三维裂隙动水注浆物理试验系统。该系统实现了低压和高压状态下裂隙动水注浆的模拟,并布设光栅流速传感器,建立了流速、压力和温度场的信息采集系统,并成功进行了在裂隙动水条件下浆液扩散及胶结加固的模拟试验研究,建立起较为符合工程实际的裂隙动水注浆理论。此外,部分学者[68-73]都还设计了一些注浆试验模型,进行了不同的裂隙注浆模拟试验,并取得了一定成果。
由一系列裂隙注浆模拟试验可知,采用模拟试验作为研究注浆机制的科研手段,可以实现浆液在裂隙中迁移扩散的可视化研究,能够直观地反映浆液的渗流现象以及沉积规律,并且通过布设在模拟试验周围的各式传感器,使得描述浆液在流动过程中压力场、速度场、渗流场的瞬态变化以及应力-渗流耦合的动态响应成为可能,为深入研究注浆理论提供了条件,为实际工程中的注浆参数优化设计提供保证,但同时存在以下2个问题:① 目前为止,除少数的试验模型可以模拟较高注浆压力的浆液扩散外,大多数注浆模型可承受的注浆压力较低,而在实际工程应用中,常需要进行高压注浆,因此,在后续的注浆试验模型研制中,要着重开发耐压及密封性能良好的实验装置,以便模拟高应力下裂隙岩体注浆扩散过程;② 随着注浆理论研究的深入,为获取更准确、更符合实际工程的注浆试验信息,模拟试验系统的开发在模拟工程地质条件、模型边界处理等方面还有待提高。笔者认为,未来模拟试验的研究需重点考虑三维裂隙网络岩体注浆扩散及胶结的方向等关键问题,在流动过程中应同时考虑裂隙开度、倾角、粗糙度以及地下水等多种参数的影响。
随着计算机技术的发展,数值仿真技术成为裂隙岩体注浆的重要方法。由第2节的理论分析可知,当前的注浆理论多集中在单一裂隙中浆液迁移扩散规律的推导,而裂隙网络由于其现场分布的复杂性,使得解析解难以得到。采用数值模拟对裂隙岩体的注浆过程进行分析,可以得到浆液在裂隙网络中流动的数值解,且可直观、动态的展示浆液迁移扩散的过程[75]。理论分析是数值模拟的基础,数值模拟又推动了理论分析的发展。同时,注浆数值模拟可以对模拟试验的结果进行验证,对实验方案的制定、试验过程中的参数选择提供更科学理论指导。
对浆液在裂隙网络中的流动扩散进行数值仿真时,首先要建立注浆裂隙网络模型。天然岩体裂隙分布状况极其复杂,难以确定裂隙的精确位置和产状[76],目前常用的方法就是通过地质调查和统计分析得出裂隙产状的概率分布规律,在此基础上,应用数值手段实现岩体内裂隙网络的模拟,以此进行浆液流动的计算。目前在裂隙网络模拟方面的数值方法主要有2种:蒙特卡洛法和分形法[77]。
3.1.1 蒙特卡洛法
蒙特卡洛法是根据已知的分布函数,利用均匀随机数求随机变量的方法。其基本思想是首先建立一个概率模型或随机过程,使其参数等于问题的解,然后通过对模型或随机过程的观察或抽样试验来计算所示参数的统计特征,最后给出所求解的近似值[78]。国内外有大量学者采用蒙特卡洛法进行裂隙网络模拟的研究[79-81]。
郝哲等[78]利用蒙特卡洛法生成了裂隙网络,采用单一裂隙浆液扩散公式在裂隙网络中进行迭代,编制开发出一套反映裂隙岩体中注浆扩散情况的计算机模拟程序。杨米加[42]用蒙特卡洛法进行裂隙网络分布模拟,建立岩体裂隙网络;再根据裂隙交叉点的几何特征,把裂隙交叉点作为节点,节点与节点间的裂隙作为线单元或者面单元,根据节点处或微原体内流量变化为零(稳定流)或等于贮存量的变化(非稳定流),建立了二维裂隙网络非牛顿流体的渗流模型。但是此模型的是建立在裂隙等宽的基础上模拟的,并未考虑裂隙开度、倾角等对注浆的影响。陈剑平[82]在二维的基础上,应用概率统计、随机理论、蒙特卡洛模拟以及计算机编程,通过对现场测量样本进行偏差校正,最终开发出了不连续面三维网络数值模型。该技术对三维裂隙网络注浆模拟是一个比较大的突破。罗平平等[76]在模拟岩体裂隙网络的基础上,建立了裂隙网络宾汉浆液的渗透模型,在此基础上对单液浆的流动进行实时模拟。结果证明,此数值模型可以实时反映注浆进程以及浆液在裂隙网络中的流动规律。但是模拟的不足之处在于实际流体是以两相或者三相的形式流动的,而且裂隙的粗糙度对注浆的影响并未考虑。
在对天然裂隙进行地质调查过程中,裂隙三维大小的分布在很多条件下并不能直观观测统计,采用迹线长度估计时也会受到各种误差影响,且即使迹线分布为对数分布或负指数分布等简单形式,所需要的直径分布的求解也是一个复杂的数值积分形式,这成为蒙特卡洛方法应用的一大障碍。张成等[83]在拟合实测二维露头观测数据,对模型和实际岩体进行同样条件下的抽样统计,通过反分析的方法,直至模型拟合实际观测数据,优化了裂隙三维大小和密度参数,使模型能够准确再现野外所观测到的实际现象,这对岩体三维裂隙网络模型在实际岩体工程中的应用有较大的意义。
3.1.2 分形法
分形概念由美籍数学家MANDELBROT于20世纪70年代首次提出,分形理论是指部分与整体以某种方式相似的形体称为分形,它的创立为定量化描述裂隙岩体几何特征提供了一个启示性的理论方法和手段。大量的研究证实裂隙的表面粗糙性、裂隙长度分布、间距分布、空间分布等符合分形,并认为分形在成因上有一定的力学依据。深入研究后发现,裂隙参数符合一定的分形分布规律,根据分形分布规律,可以求出相应的裂隙参数,最终得到裂隙网络[84]。YAMATOMO等[85]将裂隙分组分析,通过分析得出裂隙中点分布符合聚集分形,并提出了用缩格法来模拟裂隙中点;谢和平[86]给出了6种节理的分形量测方法,讨论了岩石节理粗糙性的分形描述,JRC和分形维数的关系,以及分形维数对节理抗剪强度和节理摩擦角的影响。结论指出,通过分形维数可以定量刻画节理的粗糙性,并可能预测节理抗剪强度和节理摩擦角。王志刚等[87]利用多点位移计和钻孔电视成像仪对巷道顶板裂隙的变形量及发育状况进行了监测,并计算顶板内裂隙间距的分形维数,通过研究分析表明,巷道顶板裂隙间距分形维数可以作为巷道顶板稳定性的一个指标,通过计算分形维数,可以对巷道顶板稳定性进行评价。曹平等[88]利用高精度三维表面形貌测试仪将表面粗糙形状进行数值化表达,实现了节理面的三维可视化。并运用分形理论,拟合出节理剖面线的分形维数与JRC之间的函数关系式,如图5所示。

图5 JRC与剖面线分形维数的关系[88]
Fig.5 Relationship between JRC and fractal dimension of joint profiles[88]
节理剖面分形维数D与JRC的函数关系式:JRC=29.35(D-1)0.46,这较之于Barton的标准轮廓线进行分形分析而得出的结论更为可靠。并且探究了节理表面分形维数与剖面线分形维数以及JRC之间的关系,如图6所示。

图6 节理表面分形维数与剖面线平均JRC的关系[88]
Fig.6 Relationship between fractal dimension of joint surfaces and average JRC of joint profiles[88]
由图5、图6得出,节理表面分形维数与该节理表面剖面线分形维数及JRC之间存在较为明显的线性关系。上述研究对分形几何理论在节理表面形态研究中的深入应用有重要意义。
要实现浆液在岩体裂隙网络中的流动的数值模拟,首先是通过流体的N-S方程对单裂隙内浆液的流动进行数值模拟,联立流体运动的连续性方程及边界条件等解出数值解。N-S方程是非线性的偏微分方程,因此解决数值模拟问题的关键就在于求解偏微分方程[89],笔者总结目前采用的方法主要有:有限元法、有限差分法、边界元法以及离散单元法。
1)有限元法。有限元法通常使用在连续介质问题的分析中。通过把连续的求解区域离散化为一组单元组合体,在每一个单元内,用假设的近似函数分片的表示求解域上待求的未知场函数。WANG等[90]采用有限元软件ABAQUS模拟了压密注浆的过程,主要研究了各控制参数之间的关系,如注浆压力、孔隙比和注入点不同径向距离处的超孔隙水压力等,并且对完全分解的花岗岩土壤样本进行压力控制腔扩展实验室测试,将从实验室测试中收集的数据与有限元模拟进行对比,验证了有限元分析的可靠性。朱明听[91]采用COMSOL Multiphysics软件,以单一裂隙注浆为背景,以注浆压力、注浆速度、裂隙开度等为控制变量,模拟浆水混合两相流在不同流场下的渗透性,得到了浆液扩散运移和注浆压力的分布规律。
2)有限差分法。有限差分法的基本思想是通过差分方程替换原偏微分方程,将求解偏微分方程的问题进一步变换为对代数方程进行求解的问题,最后得到实际问题的近似解。陈利生[92]对采空区注浆数值模拟中应注意的问题进行了较深入的分析,并结合FLAC3D软件对采空区注浆加固问题进行分析研究,得出结论:数值模拟形象直观地揭示了采空区在注浆前后地基沉降变形、地基垂向应力的分布及变化情况,经过注浆加固处理后岩体的整体强度得到大幅度提高。朱永建等[93]采用数值软件对某煤矿注浆前后的围岩加固效果进行了对比分析,通过煤层顶板最大下沉量、最大底鼓量和两帮最大位移等参数的比较,证明在原有支护方案基础上进行注浆加固,使得围岩的应力释放减少,“围岩-支护”共同体完整性程度提高,更有利于发挥围岩和支护的承载力。
3)边界单元法。边界单元法将所研究问题的偏微分方程,设法转换为在边界上定义的边界积分方程,然后将边界积分方程离散化为只含有边界结点未知量的代数方程组,解此方程组可得边界结点上的未知量,再利用积分方程本身求解整个场。雷卫东等[94]采用边界元方法处理非饱和土稳态渗流的问题,推导了二维非饱和土稳态渗流的边界元方程,并通过算例证明了边界元方法的正确性,在裂隙岩体渗流问题中可以借鉴该方法。
4)离散单元法。离散单元法是通过将整体划分为离散的单元体,判断单元之间的解除关系,由接触的本构关系,得到单元之间的相互作用力,以牛顿运动方程为基础进行各物理场的更新,继而利用更新后的单元物理量来进入下一阶段的分析计算。在离散单元法中,各单元体之间无需进行位移之间的协调,从而广泛应用在模拟拥有大量裂隙的岩体的渗流问题。王中立[95]利用离散元程序PFC2D对现场柔性管加筋注浆试验进行了数值模拟研究,获得了在不同围压条件下浆液扩散范围与注浆压力规律。卢超波[55]基于UDEC软件平台,将所选择、提出的描述注浆前后裂隙变化特征的本构方程采用 VC++语言进行二次开发,编制了浆液动态迁移扩散模拟程序,为裂隙网络注浆浆液迁移扩散研究提供了手段,为裂隙岩体浆液迁移扩散范围的预测提供了依据。
在上述4种解决裂隙岩体数值模拟方法中,离散单元法是将整体看作独立的不连续的个体,将裂隙岩体分为裂隙和完整的岩石2个部分,最能反应实际工程中浆液在裂隙网络内的扩散流动本质,已逐渐成为研究的主流方向,这也与第2节中浆液扩散理论中采用离散裂隙网络介质理论作为主流研究方向的结论相呼应。
国内外学者关于裂隙岩体注浆数值模拟的研究均进行了不同程度的简化,因此,笔者认为,随着注浆理论与注浆模拟试验的发展,注浆数值模拟应当向更贴合现场工程实际条件的方向发展,这需要科研人员在裂隙的精细化建模、裂隙参数的表征等方面进行深入的研究;当前采用的数值模型多是在一维、二维情况下建立,虽有少量的三维模型,但其研究对象也多集中在针对单个注浆孔或裂隙,因此今后的注浆数值模型应朝着三维的方向发展,着手建立与实际情况更吻合的含批量注浆孔的三维注浆数值模型;笔者通过阅读相关文献发现,当前的关于模拟浆液在裂隙网络中渗流规律的研究中,考虑浆液流动过程中注浆压力与裂隙开度变化的耦合作用的研究较少。KIM等[96]采用UDEC软件,模拟了宾汉流体在单个岩石裂隙中的注浆扩散过程,其中考虑了浆液流体性质和流体力学耦合的时变性,模拟结果表明,由于注浆压力引起的裂隙开度变化将会对浆液扩散深度和注浆量产生较大影响;郑卓等[97]通过研究证明,对于浅部岩体且隙宽较小的情况,基于隙宽不变的假设推导的浆液运动方程与实际注浆存在较大误差。因此,今后的注浆模拟研究方向要考虑浆液压力与裂隙变形的相互耦合作用,进行相关的算法实现和程序开发,最终应用于三维裂隙网络计算模型中。
在岩土工程中,注浆对于充填岩体裂隙、提高岩体强度、维护工程稳定性等方面具有不可替代的作用。笔者归纳总结了国内外学者在裂隙岩体注浆领域所取得的成果后,裂隙岩体注浆理论研究取得了很大发展,但目前关于裂隙岩体注浆问题的研究还远未成熟。由于现场岩体所处地质条件的复杂性,使得现有理论远落后于工程实践,大量科学研究成果难以转化为实际的注浆工程应用。要达到理论研究指导工程实践的目的,尚有许多关键问题亟待解决,主要存在以下5个难点:
1)在裂隙网络的浆液扩散理论及数值模拟中,裂隙网络的精细化建模以及裂隙界面效应参数表征是一大难点。解决此问题的关键在于对实际岩体工程中开挖卸荷破坏模式与裂隙场演化特征的准确描述。岩体在开挖卸荷作用下会产生大量次生裂隙,在应力场的作用下,次生裂隙会扩散甚至与原生裂隙贯通。因此,须通过搜集典型岩体工程地质资料与变形监测数据,汇总地应力条件、地层特征等关键信息,深入分析岩体内部倾向性破坏模式,建立裂隙场演化特征的表征方法。
2)目前在裂隙岩体注浆关键问题的研究中,对裂隙网络的建立主要基于二维基础之上,而现场工程注浆是在三维裂隙网络中进行,导致研究成果与实际工程效果存在一定差异,因此将裂隙网络扩展至三维裂隙是今后研究注浆问题的关键,同时考虑三维裂隙的粗糙度、裂隙开度以及地下水等多种参数对注浆效果的影响。
3)浆液在岩体裂隙内的流动实质上是在多相流作用下涉及应力场、渗流场以及两者相互耦合作用的动态过程,因而,建立注浆条件下裂隙岩体应力-渗流耦合控制方程是一大难点。浆液在裂隙内流动时,由于渗流压力的存在,将会改变原岩体内裂隙面的接触压力,进而改变原有应力场,甚至当渗流压力超过接触临界压力时,会直接引起裂隙扩展和裂隙网络的演化;与此同时,原有应力场及裂隙网络的变化将反作用于渗流场,改变浆液在裂隙内的扩散半径、扩散方向等。这一作用过程相当于内部的相互反馈与调整。建立起应力-渗流耦合控制方程后,进而采用合理的数值计算方法对这一过程进行模拟仿真,最终实现浆液在裂隙网络扩散的直观描述和量化计算。
4)在实际隧道及巷道开挖工程中,注浆通常与锚固技术结合应用,共同维持围岩的稳定性,这使得注浆的胶结加固效果大幅增强。因此,建立裂隙岩体工程的锚固注浆理论将会成为今后该领域的发展方向之一,考虑锚杆(索)轴力作用下产生的裂隙法向应力分量,以及杆(索)体增强裂隙的抗剪滑移能力,研究压剪条件下裂隙填充浆层受力变形机制,建立岩石-裂隙充填浆层-锚杆(索)协调变形控制方程都将是锚固注浆理论将要解决的难题。
5)深部地层岩体经历了长期的地质构造运动,裂隙发育。随着深度增加,围岩所处地质条件恶化、破碎岩体增多、地应力增大、水头压力和涌水量加大,这些因素使得深部裂隙岩体表现出完全不同于浅部岩体的物理力学特性,未来该领域的发展方向之一就是要建立起适应于深部裂隙岩体注浆的理论体系,包括深部裂隙岩体浆液扩散流动规律、胶结加固机制以及数值模拟方法等,将上述因素充分考虑,进而指导深部裂隙岩体的注浆工程。
1)在进行裂隙岩体中浆液扩散运移理论研究中,离散裂隙网络介质理论因其能够真实描述岩体裂隙的本质特征,已成为研究的主流方向。浆液在裂隙网络中的流动规律,受到注浆压力、注浆速度、浆液自身性质、岩体裂隙的开度和粗糙度以及地下水等多种因素的影响,其本质是多相流作用下的应力-渗流耦合动态响应与反馈的过程。
2)注浆对裂隙岩体胶结加固的本质是:通过浆液扩散沉积形成固结体充填破碎岩体的裂隙,改善岩体结构面力学特性;同时胶结作用的发挥提高了裂隙岩体的抗剪切能力,增加了整体的机械强度。实践表明,将注浆加固机制与岩体锚固机制结合起来,可以显著增加岩体的强度、刚度以及稳定性。
3)裂隙岩体注浆数值模拟是直观描述浆液在裂隙内流动规律,预测浆液扩散范围以及验证注浆模拟试验的关键方法,采用离散单元法进行的数值分析更符合浆液在裂隙中流动扩散的本质。在数值模拟中,浆液沿扩散路径的压力变化是问题的关键。
[1] KANG Yongshui, LIU Quansheng, XI Hailong,et al.Improved compound support system for coal mine tunnels in densely faulted zones:a case study of China’s Huainan coal field[J].Engineering Geology, 2018, 240.
[2] 范佳俊.高放废物处置库北山预选区裂隙岩体注浆特性研究[D].徐州: 中国矿业大学, 2015.
FAN Jiajun.Study on grouting characteristics in fractured rock mass of Candidate Beishan Area for high level randioactive waste repository[D].Xuzhou: China University of Mining and Technology, 2015.
[3] GUSTAFSON G, ClAESSON J, ÅSA FRANSSON.Steering parameters for rock grouting[J].Journal of Applied Mathematics,2013(1): 1-9.
[4] TANI M E.Groutingrock fractures with cement grout[J].Rock Mechanics & Rock Engineering, 2012, 45(4): 547-561.
[5] KANG Yongshui, LIU Quansheng,GONG Guanqing, et al.Application of a combined support system to the weak
oor reinforcement in deep underground coal mine[J].International Journal of Rock Mechanics & Mining Sciences, 2014, 71: 143-150.
[6] 刘泉声, 雷广峰, 卢超波, 等.注浆加固对岩体裂隙力学性质影响的试验研究[J].岩石力学与工程学报, 2017, 36(S1): 3140-3147.
LIU Quansheng, LEI Guangfeng, LU Chaobo, et al.Experimental study of grouting reinforcement influence on mechanical properties of rock fracture[J].Chinese Journal of Rock Mechanics and Engineering, 2017, 36(S1): 3140-3147.
[7] 李术才, 郑 卓, 刘人太, 等.考虑浆-岩耦合效应的微裂隙注浆扩散机制分析[J].岩石力学与工程学报, 2017, 36(4): 812-820.
LI Shucai, ZHENG Zhuo, LIU Rentai, et al.Analysis on fracture grouting mechanism considering grout-rock coupling effect[J].Chinese Journal of Rock Mechanics and Engineering, 2017, 36(4): 812-820.
[8] 黄耀光.深部破裂围岩锚注浆液渗流扩散机理研究[D].徐州: 中国矿业大学, 2015.
HUANG Yaoguang.Seepage and diffusion mechanisms of blot-grouting slurry within fractured surrounding rocks of deep roadway[D].Xuzhou: China University of Mining and Technology, 2015.
[9] 杨米加, 贺永年, 陈明雄.裂隙岩体网络注浆渗流规律[J].水利学报, 2001(7): 41-46.
YANG Mijia, HE Yongnian, CHEN Mingxiong.Seepage law of grouting in fractured rock network[J].Journal of Hydraulic Engineering, 2001(7): 41-46.
[10] 韩 磊, 陈建生, 陈 亮.帷幕灌浆扩散半径及数值模拟的研究[J].岩土力学, 2012, 33(7): 2235-2240.
HAN Lei, CHEN Jiansheng,CHEN Liang.Research on diffusion radius and numerical simulation in curtain grouting[J].Rock and Soil Mechanics, 2012, 33(7):2235-2240.
[11] 冯志强.破碎煤岩体化学注浆加固材料研制及渗透扩散特性研究[D].北京: 煤炭科学研究总院, 2007.
FENG Zhiqiang.Material development and research of osmosis and diffusion on chemical grouting for extraordinary cracks coal and rockmass[D].Beijing:China Coal Research Institute CCRI,2007.
[12] 刘人太.水泥基速凝浆液地下工程动水注浆扩散封堵机理及应用研究[D].济南: 山东大学,2012.
LIU Rentai.Study on diffusion and plugging mechanism of quick setting cement based slurry in underground dynamic water grouting and its application[D].Jinan: Shandong University,2012.
[13] 叶 飞, 陈 治, 孙昌海, 等.考虑浆液自重的盾构隧道管片注浆浆液渗透扩散模型[J].岩土工程学报, 2016, 38(12): 2175-2183.
YE Fei, CHEN Zhi, SUN Haichang, et al.Penetration diffusion model for backfill grouting through segments of shield tunnel considering weight of grout[J].Chinese Journal of Geotechnical Engineering, 2016, 38(12): 2175-2183.
[14] 王 媛, 速宝玉, 徐志英.裂隙岩体渗流模型综述[J].水科学进展, 1996(3): 93-99.
WANG Yuan, SU Baoyu, XU Zhiying.Summary of seepage model of fractured rock mass[J].Advances in Water Science,1996(3): 93-99.
[15] 盛金昌.多孔介质流-固-热三场全耦合数学模型及数值模拟[J].岩石力学与工程学报, 2006(S1): 3028-3033.
SHENG Jinchang.Fully coupled thermo-hydro-mechanical model of saturated porous media and numerical modelling[J].Chinese Journal of Rock Mechanics and Engineering, 2006(S1): 3028-3033.
[16] BIOT M A.General of Propagation of elastic waves in a fluid-saturated porous solid.I.Low-frequency range[J].The Journal of the Acoustical Society of America, 1956, 28(2): 168-178.
[17] LONG J, REMER J, WILSON C, et al.Porous media equivalents for networks of discontinuous fractures[J].Water Resources Research, 1982, 18(3): 645-658.
[18] 师文豪, 杨天鸿, 于庆磊, 等.层状边坡各向异性岩体渗流-应力耦合模型及工程应用[J].岩土力学, 2015, 36(8): 2352-2360.
SHI Wenhao, YANG Tianhong, YU Qinglei, et al.Seepage-stress coupling model of anisotropic rock mass of stratified slope and its engineering application[J].Rock and Soil Mechanics, 2015, 36(8): 2352-2360.
[19] ZHANG K, ZHANG X, ZHANG L, et al.Inversion of fractures based on equivalent continuous medium model of fractured reservoirs[J].Journal of Petroleum Science & Engineering, 2017, 151:496-506.
[20] BARENBLATT G I, ZHELTOV I P, KOCHINA I N.Basic concepts in the theory of seepage of homogeneous liquids in fissured rocks[J].Journal of Applied Mathematics and Mechanics, 1960, 24: 852-864.
[21] YAN B, WANG Y, KILLOUGH J E.Beyond dual-porosity modeling for the simulation of complex flow mechanisms in shale reservoirs[J].Computational Geosciences, 2016, 20(1): 69-91.
[22] IZADI M, HAERI F, ZEIDOUNI M.Unconventional multi-fractured analytical solution using dual porosity model[J].Journal of Natural Gas Science & Engineering, 2017.
[23] BAKER C.Comments on paper rock stabilization in rock mechanics[M].Muler, Springer-Verlag NY,1974.
[24] 刘嘉材.裂缝灌浆扩散半径研究[J].中国水利水电科学院科学研究论文集(第8期).北京: 水利出版社, 1982:186-195.
LIU Jiacai.Study on the diffusion radius of crack grouting[J].Proceedings of the Chinese Academy of Water Resources and Hydropower Research(No.8).Beijing: Water Press, 1982:186-195.
[25] 张良辉.岩土灌浆渗流机理及渗流力学[D].北京: 北方交通大学, 1996.
ZHANG Lianghui.Seepage mechanism and seepage mechanics of rock and soil grouting[D].Beijing: Beijing Jiaotong University, 1996.
[26] 张庆松, 张连震, 张 霄, 等.基于浆液黏度时空变化的水平裂隙岩体注浆扩散机制[J].岩石力学与工程学报, 2015, 34(6): 1198-1210.
ZHANG Qingsong, ZHANG Lianzhen, ZHANG Xiao, et al.Grouting diffusion mechanism in horizontal crack based on temporal and spatial variation of viscosity[J].Chinese Journal of Rock Mechanics and Engineering, 2015, 34(6): 1198-1210.
[27] LOMBARDIG.水泥灌浆浆液是稠好还是稀好[J].现代灌浆技术译文集, 北京: 水利电力出版社, 1991: 76-81.
LOMBARDI G.Whether the cement grouting slurry is thick or thin[C]//Modern grouting technology translation set, Beijing: Water Resources and Hydropower Press,1991, 76-81.
[28] XIAO Fei, ZHAO Zhiye, CHEN Huimei.A simplified model for predicting grout flow in fracture channels[J].Tunnelling and Underground Space Technology, 2017, 70: 11-18.
[29] H
SSLER L, STILLE H, HÅKANSSON U.Simulation of grouting in jointed rock[C]//Proc 6th International Conference on Rock Mechanics, Montreal, 1987(2): 943-946.
[30] H
SSLER L, HÅKANSSON U, STILLE H.Computer-simulated flow of grouts in jointed rock[J].Tunnelling & Underground Space Technology, 1992, 7(4): 441-446.
[31] 郑长成.裂隙岩体灌浆的模拟研究[D].长沙: 中南工业大学, 1999.
ZHENG Changcheng.Simulation study on grouting of fractured rock mass[D].Changsha: Central South University, 1999.
[32] Tani M E, Stille H.Grout spread and injection period of silica solution and cement mix in rock fractures[J].Rock Mechanics & Rock Engineering, 2017, 50(9): 2365-2380.
[33] 郑玉辉.裂隙岩体注浆浆液与注浆控制方法研究[D].长春: 吉林大学, 2005.
ZHENG Yuhui.Research on grouts controllable method of grouting in rock mass of the fissures.[D].Changchun: Jilin University, 2005.
[34] 熊 峰, 孙 昊, 姜清辉, 等.粗糙岩石裂隙低速非线性渗流模型及试验验证[J].岩土力学, 2018, 39(9): 3294-3302,3312.
XIONG Feng, SUNHao, JIANG Qinghui, et al.Theoretical model and experimental verification on non-linear flow at low velocity through rough-walled rock fracture[J].Rock and Soil Mechanics, 2018, 39(9): 3294-3302,3312.
[35] CHEN C I, YANG Y T.Unsteady unidirectional flow of Bingham fluid between parallel plates with different given volume flow rate conditions[J].Applied Mathematical Modelling,2004,28(8):697-709.
[36] MOON H,SONG M.Numerical studies of groundwater flow grouting and solute transport in jointed rock mass[J].International Journal of Rock Mechanics and Mining Sciences, 1997, 34(3): 206-219.
[37] 郝 哲, 李 木, 赵 营.岩体裂隙注浆与渗流的关系评述[J].沈阳大学学报, 2007(4): 18-22.
HAO Zhe, LI Mu, ZHAO Ying.Review on the relationship between grouting and seepage in rock mass fissure[J].Journal of Shenyang University, 2007(4):18-22.
[38] 郝 哲, 马秀荣.岩体注浆对裂隙的影响分析[J].有色矿冶, 2002(3): 6-9.
HAOZhe, MA Xiu-rong.Analysis of influence of grouting in rock mass on fissure[J].Non-Ferrous Mining and Metallurgy, 2002(3): 6-9.
[39] 郝 哲, 王介强, 刘 斌.岩体渗透注浆的理论研究[J].岩石力学与工程学报, 2001,20(4): 492-496.
HAOZhe, WANG Jieqiang, LIU Bin.Theoretical study on seepage grouting of rock mass[J].Chinese Journal of Rock Mechanics and Engineering, 2001,20(4): 492-496.
[40] ERIKSSON M, STILLE H, ANDERSSON J.Numerical calculations for prediction of grout spread with account for filtration and varying aperture[J].Tunneling and Underground Space Technology, 2000, 15(4): 353-364.
[41] ERIKSSON M, FRIEDRICH M, VORSCHULZE C.Variations in the rheology and penetrability of cement-based grouts—an experimental study[J].Cement and Concrete Research, 2004, 34(7): 1111-1119.
[42] 杨米加, 陈明雄, 贺永年.注浆理论的研究现状及发展方向[J].岩石力学与工程学报, 2001,20(6): 839-841.
YANG Mijia,CHEN Mingxiong,HE Yongnian.Research status and development direction of grouting theory[J].Chinese Journal of Rock Mechanics and Engineering, 2001,20(6): 839-841.
[43] 杨米加.随机裂隙岩体注浆渗流机理及其加固后稳定性分析[J].岩石力学与工程学报, 2000,19(4): 416.
YANG Mijia.Seepage mechanism of grouting in random fractured rock mass and its stability analysis after reinforcement[J].Chinese Journal of Rock Mechanics and Engineering, 2000,19(4): 416.
[44] 陈 伟.裂隙岩体灌浆压力及其稳定性控制方法研究[D].长沙: 中南大学, 2008.
CHEN Wei.Study on grouting pressing and its stabilization controlling method in fractured rock mass[D].Changsha:Central North University, 2008.
[45] 何忠明.裂隙岩体复合防渗堵水浆液试验及作用机理研究[D].长沙: 中南大学, 2007.
HE Zhongming.Study on test and operation mechanism of the water tight and water shut-off grout in fractured rock mass[D].Changsha: Central North University, 2007.
[46] 张伟杰.隧道工程富水断层破碎带注浆加固机理及应用研究[D].济南: 山东大学, 2014.
ZHANG Weijie.Mechanism of grouting reinforcement of water-rich fault fractured zone and its application in tunnel engineering[D].Jinan: Shandong university, 2014.
[47] CORDING E J, HASHASH Y M A, Oh J.Analysis of pillar stability of mined gas storage caverns in shale formations[J].Engineering Geology, 2015, 184: 71-80.
[48] 李召峰, 李术才, 刘人太, 等.富水破碎岩体注浆加固实验与机制研究[J].岩石力学与工程学报, 2017, 36(1):198-207.
LI Zhaofeng, LI Shucai, LIU Rentai, et al.Grouting reinforcement experiment for water-rich broken rock mass[J].Chinese Journal of Rock Mechanics and Engineering, 2017, 36(1): 198-207.
[49] LIU Quansheng, LEI Guangfeng, PENG Xingxin, et al.Rheological Characteristics of Cement Grout and its Effect on Mechanical Properties of a Rock Fracture[J].Rock Mechanics & Rock Engineering, 2017, 51(5): 1-13.
[50] 乐慧琳, 孙少锐.注浆材料和预制裂纹缺陷角度对类岩石试件单轴抗压强度及破坏模式的影响[J].岩土力学, 2018, 39(S1): 211-219.
YUE Huilin, SUN Shaolin.Effect of grouting materials and inclination angle of pre-existing flaw on uniaxial compressive strength and failure mode of rock-like specimens[J].Rock and Soil Mechanics, 2018, 39(S1): 211-219.
[51] 宗义江, 韩立军, 韩贵雷.破裂岩体承压注浆加固力学特性试验研究[J].采矿与安全工程学报, 2013, 30(4):483-488.
ZONG Yijiang, HAN Lijun,HAN Guilei.Mechanical characteristics of confined grouting reinforcement for cracked rock mass[J].Journal of Mining & Safety Engineering, 2013, 30(4): 483-488.
[52] 刘泉声, 周越识, 卢超波, 等.含裂隙泥岩注浆前后力学特性试验研究[J].采矿与安全工程学报, 2016, 33(3): 509-514,520.
LIU Quansheng, ZHOU Yueshi, LU Chaobo,et al.Experimental study on mechanical properties of mud stone fracture before and after grouting[J].Journal of Mining & Safety Engineering, 2016, 33(3): 509-514,520.
[53] GRASSELLI G.3D Behaviour of bolted rock joints:experimental and numerical study[J].International Journal of Rock Mechanics&Mining Sciences, 2005, 42S(1): 13-24.
[54] 温 帅, 汪家林, 刘道华, 等.辉绿岩脉复合灌浆试验加固效果研究[J].岩石力学与工程学报, 2009, 28(6):231-1238.
WENShuai, WANG Jialin, LIU Daohua, et al.Experimental research on reinforcement effect of compound grouting on diabase dikes[J].Chinese Journal of Rock Mechanics and Engineering, 2009, 28(6): 1231-1238.
[55] 卢超波.深部裂隙岩体注浆迁移扩散及加固机理研究[D].武汉:中国科学院武汉岩土力学研究所, 2014.
LU Chao-bo.Study on grouting and reinforcement mechanism in deep fractured rock mass[D].Wuhan:Wuhan Institute of Rock and Soil Mechanics,Chinese Academy of Sciences,2014.
[56] 王汉鹏, 高延法, 李术才.岩石峰后注浆加固前后力学特性单轴试验研究[J].地下空间与工程学报, 2007(1):27-31,39.
WANG Hanpeng, GAO Yanfa,LI Shucai.Uniaxial experiment study on mechanical properties of reinforced broken rocks pre-and-post grouting[J].Chinese Journal of Underground Space and Engineering, 2007(1): 27-31,39.
[57] SEO H J, CHOI H, LEE I M.Numerical and experimental investigation of pillar reinforcement with pressurized grouting and pre-stress[J].Tunnelling & Underground Space Technology,2016, 54: 135-144.
[58] 王德明, 张庆松, 张 霄, 等.隧道及地下工程注浆效果模糊评价方法的研究与应用[J].岩石力学与工程学报, 2017, 36(S1): 3431-3439.
WANG Deming, ZHANG Qingsong, ZHANG Xiao, et al.Research and application on tunnel and underground engineering grouting effect of the fuzzy evaluation method[J].Chinese Journal of Rock Mechanics and Engineering, 2017, 36(S1):3431-3439.
[59] 李志鹏.断层软弱介质注浆扩散加固机理及工程应用[D].济南: 山东大学, 2015.
LI Zhipeng.Mechanism of grouting spread and reinforcement on soft medium in fault and its application[D].Jinan: Shandong University, 2015.
[60] 姜 鹏, 张庆松, 刘人太, 等.富水砂层合理注浆终压室内试验[J].中国公路学报, 2018, 31(10): 302-310.
JIANG Peng, ZHANG Qingsong, LIU Rentai, et al.Laboratory tests on reasonable grouting final pressure of water-rich sand layer[J].China Journal of Highway and Transport, 2018, 31(10): 302-310.
[61] 巴斯宁耶夫 K C.地下水力学[M].北京:石油工业出版社,1992.
Басниев К С.Groundwater mechanics[M].Beijing: Petroleum Industry Press, 1992.
[62] FEDER G.Initial grouting pressure[C]//Rock and concrete grout translation set.,1995: 4.
[63] JAMSON T, STILLE H.Translated by HU Wei.Rock splitting grouting—case study[C]//Modern grout translation set.,1991: 279-286.
[64] 徐志鹏.高压裂隙注浆试验台研制及塑性早强浆材注浆试验研究[D].北京: 煤炭科学研究总院, 2009.
XU Zhipeng.A model tester for grouting simulation high pressure in rock fissure and model experimental research on plastic and early strength grout by grouting simulation[D].Beijing: China Coal Research Institute,2009.
[65] 湛铠瑜.单一裂隙动水注浆模拟试验研究[D].徐州: 中国矿业大学, 2010.
ZHAN Kaiyu.Simulation test of single fracture dynamic water grouting[D].Xuzhou: China University of Mining and Technology, 2010.
[66] 张伟杰, 李术才, 魏久传, 等.三维注浆模型试验系统研制及应用[J].岩土力学, 2016, 37(3): 902-911.
ZHANG Weijie,LI Shucai, WEI Jiuchuan, et al.Development of a 3D grouting model test system and its application[J].Rock and Soil Mechanics, 2016, 37(03): 902-911.
[67] 张伟杰, 李术才, 魏久传, 等.富水破碎岩体帷幕注浆模型试验研究[J].岩土工程学报, 2015, 37(9): 1627-1634.
ZHANG Weijie, LI Shucai, WEI Jiuchuan, et al.Model tests on curtain grouting in water-rich broken rock mass[J].Chinese Journal of Geotechnical Engineering, 2015, 37(9): 1627-1634.
[68] 潘荣凯, 杨 平, 陈 亮, 等.砂层注浆模型试验水泥含量检测方法研究[J].郑州大学学报, 2018, 39(4): 1-6.
PAN Rongkai, YANG Ping, CHEN Liang, et al.Study on testing method of cement content in sand layer grouting model test[J].Journal of Zhengzhou University, 2018, 39(4): 1-6.
[69] 钱自卫.孔隙砂岩化学注浆浆液渗透扩散机理[D].徐州: 中国矿业大学, 2014.
QIAN Ziwei.Permeation and diffusion mechanism of chemical grout in porous sandstone[D].Xuzhou: China University of Mining and Technology, 2014.
[70] 钱自卫, 姜振泉, 曹丽文, 等.弱胶结孔隙介质渗透注浆模型试验研究[J].岩土力学, 2013, 34(1): 139-142,147.
QIAN Ziwei, JIANG Zhenquan, CAO Liwen, et al.Experiment study of penetration grouting model for weakly cemented porous media[J].Rock and Soil Mechanics, 2013, 34(1):139-142,147.
[71] 杨 坪, 陈 安.均匀设计在室内大型注浆试验研究中的应用[J].探矿工程, 2006(3): 9-11.
YANG Ping, CHEN An.Application of Uniform Design in Grouting Experiment[J].Exploration engineering media, 2006(3):9-11.
[72] 阮文军.基于浆液粘度时变性的岩体裂隙注浆扩散模型[J].岩石力学与工程学报, 2005(15): 2709-2714.
RUAN Wenjun.Spreading modeling of grouting in rock mass fissures based on time-dependent behavior of viscosity of cement-based grouts[J].Chinese Journal of Rock Mechanics and Engineering, 2005(15): 2709-2714.
[73] 杨 坪.砂卵(砾)石层模拟注浆试验及渗透注浆机理研究[D].长沙: 中南大学, 2005.
YANG Ping.Study on simulation grouting experiment in gravel & mechanism of permeating grouting[D].Changsha: Central South university, 2005.
[74] 徐志鹏,杜嘉鸿,周兴旺,等.裂隙岩石注浆模拟试验研究进展[C]//第12次全国化学灌浆学术交流会论文集.2008:174-180.
[75] KANG Yongshui,LIU Quansheng,XI Hailong.Numerical analysis of THM coupling of a deeply buried roadway passing through composite strata and dense faults in a coal mine[J].Bulletin of Engineering Geology and the Environment, 2014, 73: 77-86.
[76] 罗平平, 朱岳明, 赵咏梅, 等.岩体灌浆的数值模拟[J].岩土工程学报, 2005(8): 918-921.
LUO Pingping,ZHU Yueming,ZHAO Yongmei.Numerical simulation of grouting in rock mass[J].Chinese Journal of Geotechnical Engineering, 2005(8): 918-921.
[77] 范佳俊.高放废物处置库北山预选区裂隙岩体注浆特性研究[D].徐州: 中国矿业大学, 2015.
FAN Jiajun.Study on grouting characteristics in fractured rock mass of candidate beishan area for high level randioactive waste repository[D].Xuzhou: China University of Mining and Technology, 2015.
[78] 郝 哲, 王介强, 何修仁.岩体裂隙注浆的计算机模拟研究[J].岩土工程学报, 1999(6): 727-730.
HAO Zhe,WANG Jieqiang,HE Xiuren.Computer Simulation Study on Grouting of Rock Mass Fracture[J].Chinese Journal of Geotechnical Engineering, 1999(6): 727-730.
[79] YUE P, ZHONG D, YAN F, et al.3-D Fracture network modelling in hydropower engineering based on optimal monte carlo simulation[J].天津大学学报(英文版), 2017, 23(4): 1-9.
[80] LIM R K, PRO J W, BEGLEY M R, et al.High-performance simulation of fracture in idealized’brick and mortar’composites using adaptive Monte Carlo minimization on the GPU[J].International Journal of High Performance Computing Applications, 2016, 30(2):186-199.
[81] 崔 臻, 盛 谦.裂隙岩体等效力学参数结构效应的计算机模拟试验研究[J].岩土力学, 2018(10): 1-11.
CUI Zhen, SHENG Qian.Computer simulated study for structural effect of equivalent mechanical parameters of fractured rock mass[J].Rock and Soil Mechanics, 2018(10): 1-11.
[82] 陈剑平.岩体随机不连续面三维网络数值模拟技术[J].岩土工程学报, 2001(4): 397-402.
CHEN Jianping.3-D net work numerical modeling technique for random discontinuities of rock mass[J].Chinese Journal of Geotechnical Engineering, 2001(4): 397-402.
[83] 张 成, 夏 露, 李英杰.柴达木盆地东部石炭系页岩三维裂缝网络模型研究[J].地学前缘, 2016, 23(5): 184-192.
ZHANG Cheng, XIA Lu, LI Yingjie.Study on three-dimensional fracture network models Carboniferous shale in Eastern Qaidam[J].Earth Science Frontiers, 2016, 23(5): 184-192.
[84] 吴月秀.粗糙节理网络模拟及裂隙岩体水力耦合特性研究[D].武汉: 中国科学院研究生院, 2010.
WU Yuexiu.Modelling rough joint network and study on hydro-mechanical behavior of fractured rock mass[D].Wuhan: Graduate School of Academy of Sciences, 2010
[85] YAMATOMO H, KOJIMA K, TOSAKA H.Fractal clustering of rock fracture and its modeling using cascade process[C]//Pintodaed.Scale Effect in Rock Masses 93.Rotterdam: Balkema, 1993: 81-86.
[86] 谢和平.岩石节理的分形描述[J].岩土工程学报, 1995(1): 18-23.
XIE Heping.Fractal description of rock joints[J].Chinese Journal of Geotechnical Engineering, 1995(1): 18-23.
[87] 王志刚, 郭晓菲.双河煤矿采动巷道顶板裂隙的分形研究[J].岩土力学, 2017, 38(8): 2377-2384.
WANG Zhigang, GUO Xiaofei.Study of roof fissures of mining induced roadway in Shuanghe Coal Mine based on fractal theory[J].Rock and Soil Mechanics, 2017, 38(8): 2377-2384.
[88] 曹 平, 贾洪强, 刘涛影, 等.岩石节理表面三维形貌特征的分形分析[J].岩石力学与工程学报, 2011, 30(S2):3839-3843.
CAO Ping,JIA Hongqiang,LIU Taoying,et al.Fractal analysis of three-dimensional topography characteristics of rock joint surface[J].Chinese Journal of Rock Mechanics and Engineering, 2011, 30(S2):3839-3843.
[89] 王肖珊.岩体裂隙网络的渗流计算及分形特性研究[D].济南: 山东大学, 2014.
WANG Xiaoshan.Numerical study on equivalent permeability of fractured rock masses by using stochastic discrete fracture networks and fractal dimension method[D].Jinan: Shandong university, 2014.
[90] WANG S Y, CHAN D H, LAM K C, et al.Numerical and experimental studies of pressure-controlled cavity expansion in completely decomposed granite soils of Hong Kong[J].Computers and Geotechnics, 2010, 37(7/8):977-990.
[91] 朱明听.单一裂隙注浆扩散及封堵机理的数值模拟研究[D].济南:山东大学, 2013.
ZHU Mingting.The numerical simulation of grouting diffusion and plugging mechanism based on single fracture[D].Jinan: Shandong university, 2013.
[92] 陈利生.基于FLAC~(3D)的采空区注浆加固数值模拟研究[J].煤炭技术, 2014, 33(5): 251-254.
CHEN Lisheng.Numerical simulation for grouting reinforcement in Goaf based on FLAC3D[J].Coal Technology, 2014, 33(5): 251-254.
[93] 朱永建, 余伟健.构造带极不稳定围岩注浆加固效果数值分析[J].煤炭科学技术, 2011, 39(3): 14-17.
ZHU Yongjian,YU Weijian.Numerical analysis on grouting reinforcement effect of instable surrounding rock in structure zone[J].Coal Science and Technology, 2011, 39(3): 14-17.
[94] 雷卫东, 李清新, 陈 锐.非饱和土稳态二维渗流的边界元法研究[J].水利学报, 2015, 46(S1): 95-100.
LEI Weidong, LI Qingxin, CHEN Rui.Boundary element method for steady two-dimensional seepage of unsaturated soil[J].Shuili Xuebao, 2015, 46(S1): 95-100.
[95] 王立中.柔性管加筋注浆颗粒流数值模拟[J].铁道勘察, 2010, 36(1):49-51.
WANG Lizhong.Numerical simulation for reinforced grouting in PFC2D with flexible tube[J].Railway Exploration, 2010, 36(1): 49-51.
[96] KIM H M, LEE J W, YAZDANI M, et al.Coupled viscous fluid flow and joint deformation analysis for grout injection in a rock joint[J].Rock Mechanics & Rock Engineering, 2017(3):1-12.
[97] 郑 卓, 李术才, 刘人太, 等.裂隙岩体注浆中的浆液-岩体耦合效应分析[J].岩石力学与工程学报, 2015, 34(S2): 4054-4062.
ZHENG Zhuo, LI Shucai, LIU Rentai, et al.Analysis of coupling effect between grout and rock mass during jointed rock grouting[J].Chinese Journal of Rock Mechanics and Engineering, 2015, 34(S2): 4054-4062.