陕北-神南矿区煤炭储量丰富,但水资源总体短缺,生态环境脆弱。煤炭开采在上覆岩层产生的裂隙场连通含水层,导致地下水位下降,并且大量矿井水外排到地表,造成生态破坏。针对此,顾大钊[1]提出了“导-储-用”为核心的地下水保护利用理念,提出了煤矿地下水库储水和再利用技术,解决了陕北矿区水资源短缺和生态破坏问题。而采动覆岩裂隙率空间分布是地下水库储量设计的重要参数。目前,国内外学者在采动覆岩裂隙场方面已经进行了大量研究。钱鸣高等[2]对上覆岩层采动裂隙分布特征进行了研究,揭示了长壁工作面覆岩采动裂隙的两阶段发展规律与“O”形圈分布特征。王志强等[3]分析了采场覆岩“三带”的影响因素:包括开采厚度、覆岩残余碎胀系数、工作面开采范围、关键层与煤层之间的距离以及关键层特征,在此基础上,提出了基于关键层稳定及断裂后运动特点的采场覆岩“三带”划分的新方法及其适用条件。张春雷[4]模拟研究了煤层群开采裂隙分布规律,得到了煤层群双重卸压开采与单一煤层开采不同的覆岩裂隙分布和演化规律。王志国等[5]研究了深部开采上覆岩层采动裂隙演化规律,得出随开采宽度增加,采动岩体裂隙网络分形维数呈现总体增大趋势。李振华等[6]研究了厚松散层薄基岩条件下开采覆岩破坏规律,得出采动所形成的裂隙网络可以较好地表征岩体的结构特征的结论。焦振华[7]分析了保护层开采过程中覆岩裂隙场和应力场演化规律,模拟试验表明下保护层开采覆岩裂隙演化与卸压程度相关。杜旭[8]分析了多煤层群赋存条件下上覆岩层“竖三带”高度的6个主要影响因素:上覆岩层性质、采厚、煤层倾角、工作面走向长度、工作面日推进速度、采煤方法。聂留洋[9]采用钻孔摄像仪对“三带”进行观测,用理论分析和数值模拟的方法综合分析得出巨厚砂岩顶板“三带”的高度分布特征。李全生等[10]结合神东矿区煤矿地下水库工程实践,使用理论分析和现场实践的方法,开展了地下水库适应性评价方法研究,得出地下水库储水的高效循环使用是保证该技术成功应用的关键。于庆磊等[11]研究了覆岩“三带”的分布规律及“三带”中导水裂隙分布特征。于水[12]分析了上覆岩层的破坏过程并建立各种力学模型,根据上覆岩层的受力情况,总结了综放工作面覆岩结构及其破坏特点。胡宝峰[13]采用多元线性回归分析了影响导水裂隙带高度的各因素之间量的关系,给出相应的计算公式。顾大钊等[14]通过分析陕北地区煤炭开采现状,研究了煤炭开采水资源保护利用的技术首次提出采空区储用矿井水的技术构想,构建了煤矿地下水库技术体系。曹志国[15]用数值模拟对煤矿地下水库不同人工坝体结构抗震性能进行研究,得出人工坝体的薄弱部位是其与煤岩体的接触部位等结论。杨俊哲[16]提出了煤矿井上井下立体生态环境概念。刘晓丽等[17]提出了煤矿分布式地下水库的储水形式和库容-水位曲线确定方法。姜琳婧等[18]针对库容计算方法效率低和准确度低的问题,提出了基于CAD的煤矿地下水库库容快速精准计算方法。张凯等[19]基于对大柳塔煤矿地下水库原位进出水样水质分析,揭示了煤矿地下水库水-岩相互作用机理,得出了煤矿地下水库水体中离子的变化规律,阐明其自净化机理。庞义辉等[20]针对西部近水平煤层煤矿地下水库有效储水空间难以确定的问题,提出了地下水库有效储水空间的计算方法。鞠金峰等[21]建立了地下水库储水容量、极限库容与合理库容的计算方法。上述主要分析单一煤层开采裂隙场分布规律,而对重复采动裂隙场空间分布的定量描述较少。
基于此,笔者建立了采动覆岩裂隙率空间分布的计算方法,采用相似模拟试验研究了柠条塔矿1-2煤和2-2煤重复采动后上覆岩层的裂隙率在垂直和水平方向的空间分布情况,得出了重复采动覆岩裂隙率空间定量表征。
柠条塔煤矿、张家峁煤矿、红柳林煤矿隶属神南矿区,位于陕西省神木县境内,神南矿区总面积约363.4 km2,煤炭总资源量约55亿t。其中柠条塔煤矿面积为136.1 km2、张家峁煤矿面积为83.96 km2(其中张家峁南区面积52.66 km2,张家峁北部整合区面积31.30 km2),红柳林煤矿面积为143.34 km2。在柠条塔煤矿内有水库1座,为庙沟上游巴兔明沟高家梁村水库,处于井田最北边,蓄水量2.592万m3,1978年修建,坝长100 m、坝高20 m,现有效库容为0.75万m3,回水长度约300 m,水面距坝顶约5 m,现该水库仅作淤地坝使用。
对柠条塔煤矿北翼东区1-2和2-2两层煤开采区域进行物理模拟研究。根据柠条塔煤矿煤层群开采的实际情况,并结合北翼东区煤层埋深变化大、地表沟壑发育等条件。根据现有条件及研究问题的特点,选用的试验模型尺寸为3.0 m(长)×0.2 m(宽)×2.5 m(高)。
1)相似参数确定。依据该区覆岩赋存条件和实验室模型架尺寸参数,物理模拟试验采用平面应力模型,模型几何相似比例为1∶150,则几何相似比:
重力相似比:
时间相似比:
单轴抗压强度、弹性模量、黏聚力相似比:
内摩擦角相似比:
重力加速度相似比:
作用力相似比
其中:lm、γm、tm、rm、fm、gm为相似模拟中的几何尺寸、容重、时间、内摩擦角、作用力、重力加速度;lp、γp、tp、rp、fp、gp为现场实测的相关数据。
2)相似材料的选择与配比。相似材料主要有河沙、石膏、大白粉、粉煤灰,铺设时均匀地撒上云母粉作为分层弱面。根据相似条件,确定相似配比方案见表1。
表1 模拟试验相似材料配比方案
Table 1 Similar material matching scheme of simulation experiment

序号岩性累积厚度/cm埋深/m材料质量/kg原型模型原型模型河沙石膏大白粉粉煤灰17红土63.3395.0095.0063.33000016粗粒砂岩113.5375.6918.5312.358.640.290.67015中粒砂岩120.4480.296.914.618.640.290.67014粉砂岩121.6881.121.240.838.530.210.86013细粒砂岩128.4685.646.784.528.400.480.72012砂质泥岩129.4686.311.000.678.640.290.67011中粒砂岩135.1090.075.643.768.640.290.67010粗粒砂岩139.0092.673.902.608.640.290.6709细粒砂岩142.5095.003.502.338.400.480.7208中粒砂岩159.83106.5517.3311.554.320.150.34071-2煤161.83107.892.001.331.960.100.491.966粉砂岩166.43110.954.603.078.530.210.8605中粒砂岩167.93111.951.501.008.640.290.6704粉砂岩168.93112.621.000.678.530.210.8603中粒砂岩170.23113.491.300.878.640.290.6702粉砂岩199.10132.7328.8719.254.270.110.43012-2煤204.00136.004.903.271.960.100.491.96
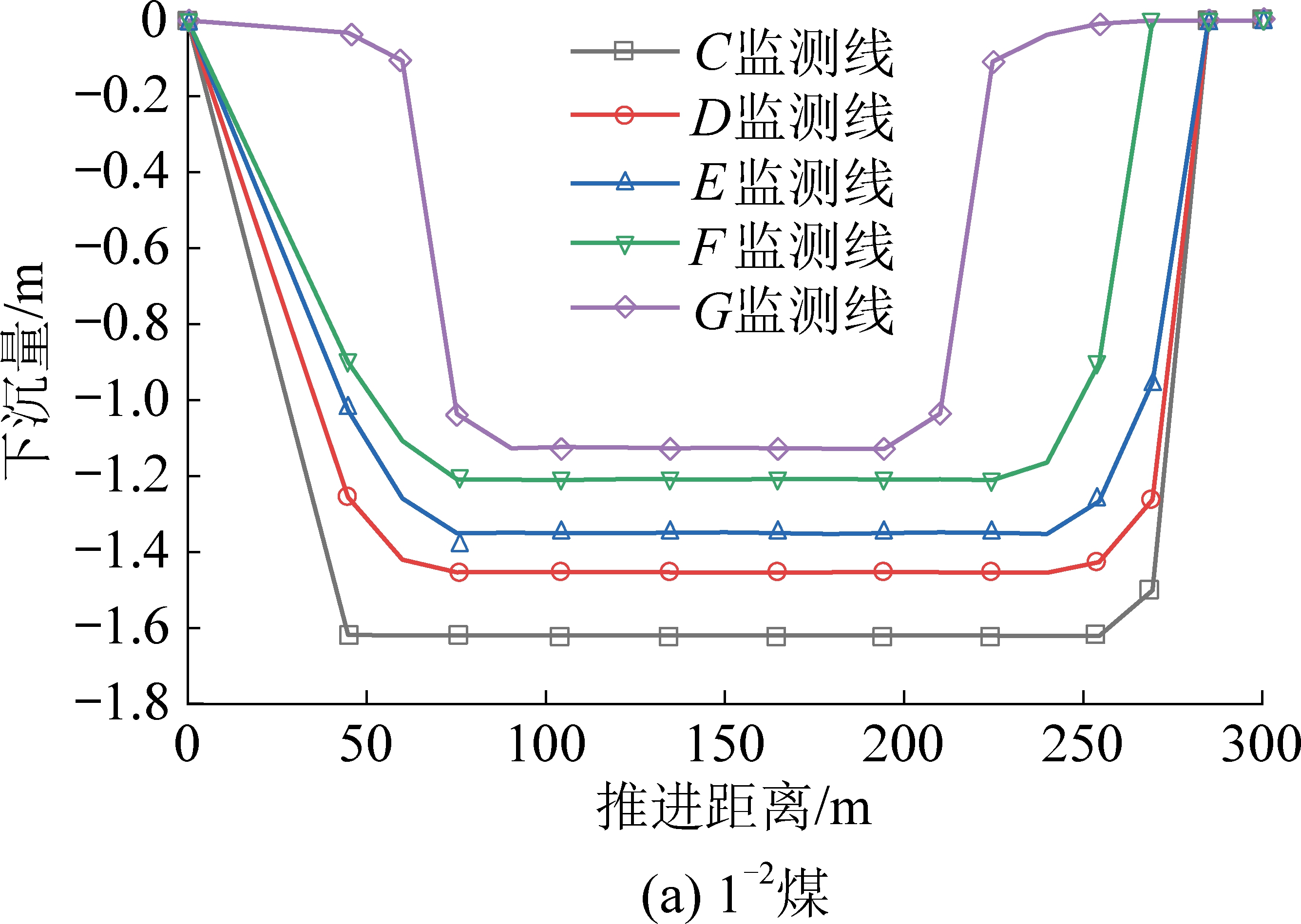
3)监测方案设计。在模型表面布置7条位移监测线,分别距离2-2煤底板15 cm(监测线A)、27 cm(监测线B)、36 cm(监测线C)、53 cm(监测线D)、71cm(监测线E)、103 cm(监测线F)、130 cm(监测线G)。每条测线布置19个测点,测点间距15 cm。
4)模型共开采2层煤,采用下行开采方式,先开采上覆1-2煤层,从左向右开挖,每次开挖步距为1.0 cm。待1-2煤层开采覆岩稳定后,再开采下伏2-2煤层,2-2煤层开切眼位于1-2煤层开切眼正下方,每次开挖步距为1.0 cm,开挖前,模型如图1所示。

图1 柠条塔矿1-2煤和2-2煤层开挖前的相似模型
Fig.1 Physical model of Ningtiaota Coal Mine before the excavation of No.1-2 and 2-2 coal seam
2.2.1 采动覆岩裂隙场计算方法
采动覆岩裂隙率的空间分布是裂隙场的重要衡量参数。由于采动覆岩微裂隙难以直接测量,故采用采空区面积与各岩层下沉面积之差除以采空区的面积来表示。断裂带裂隙面积则使用其上方与下方下沉量差值来表达,弯曲下沉带同理。
从横向和纵向两方面分析煤层开采后的裂隙率,横向分为离层区与中间压实区,纵向分为垮落带、断裂带与弯曲下沉带。根据相似试验开采后岩层的分布状态,可以判断出离层区的长度为60 m,开采1-2煤层后,垮落带、断裂带、弯曲下沉带的位置分别位于C、E、G监测线;开采2-2煤层后,“三带”则分别位于A、F、G监测线。
根据裂隙率的定义,裂隙率与监测线变形间存在如下近似关系:
F=(SC-SX)/S
其中:F为裂隙率;SC为开采面积;SX为下沉面积;S为所测岩土总面积,S=HD,H为所测岩土高度,D为开采长度。
对于煤层开采后断裂带、弯曲下沉带则有
式中,ΔS为下沉量的差值。
待1-2煤工作面开采结束,裂隙发育高度并未到达煤层基岩,如图2a所示。2-2煤层开采覆岩稳定后,观察发现采空区中上部裂隙基本压实闭合,如图2b所示。


图2 柠条塔矿开挖后的相似模型
Fig.2 Physical model of Ningtiaota Coal Mine after excavation
1-2和2-2煤工作面回采结束各测线下沉曲线如图3所示。


图3 工作面回采结束各测线下沉曲线
Fig.3 Subsidence curve of each survey line at end of stoping
2.2.2 采动覆岩裂隙场空间分布规律
根据相似试验的下沉量测量数据与裂隙率计算公式计算得到第1层和第2层开采后水平和垂直裂隙率的分布曲线分别如图4所示,离层区的数值为两侧离层区裂隙的平均值。


图4 水平裂隙率变化
Fig.4 Variation of horizontal fracture rate
从图4a可得,随着监测线与煤层距离的增加,裂隙率逐渐减小,总体裂隙率由1.87%逐渐下降至1.18%,覆岩裂隙场越往上越小,并且是非线性的;中间压实区裂隙率远小于离层区,中间压实区最大裂隙率为1.21%,离层区最大裂隙率为2.19%,这是由于离层区存在较大离层裂隙,有利于地下水的储存。离层区的储水能力远大于中间压实区。
比较图4a和图4b可以看出,第2次开采后,离层区与中间压实区的裂隙率都大幅度提升,离层区最大裂隙率由2.19%上升到16.1%,中间压实区最大裂隙率由1.21%上升到6.54%,地下水库的储水能力也随之大幅提升,并且第2次开采后,随着覆岩远离煤层,离层裂隙率的减小速度显著降低,离煤层较近的覆岩的储水能力远大于离煤层较远的覆岩。二次开采后,中间压实区也具备了一定的储水能力,但还是小于离层区。
从图5a弯曲下沉带曲线可以看出,随着向离层区覆岩内部延伸,离层裂隙率先增大后减小,在离层区覆岩出现2个裂隙率极大值点(凸峰),而在中间压实区裂隙率曲面呈“盆底”形凹陷,裂隙率的左右峰值分别为1.95%和2.13%,“盆底”裂隙率为0.38%,总体上覆岩四周边界附近离层裂隙率大,远离边界的内部区域离层裂隙率小;垮落带、断裂带、弯曲下沉带“盆底”裂隙率分别为1.22%,0.77%,0.37%,随着覆岩逐渐远离煤层,裂隙率随之减小。由图5b中“三带”的裂隙率可知,左侧离层区裂隙率峰值随着“三带”覆岩位置的上升而逐渐向中心靠拢,右侧也有同样的现象,这是因为随着覆岩远离开采煤层,其下沉的区域正在逐渐减小,产生离层的位置就会逐渐向中间靠拢。


图5 垂直裂隙率变化
Fig.5 Variation of vertical fracture rate
比较图5a和图5b可以看出,重复采动后,裂隙率曲线同样随着覆岩逐渐向上,裂隙率减小和峰值位置向中间靠拢的特点,但二次开采后,裂隙率大幅增加,垮落带,断裂带,弯曲下沉带中间压实区的裂隙率分别达到21%,3.1%,0.3%,最大峰值分别到达35.5%,6.34%,4.17%。
目前,神东矿区已经成功建设煤矿地下水库 35座,不仅提供了矿区 95%以上的工业用水[22],而且实现了矿区不同季节水资源的储存与调配,极大缓解了西部矿区煤炭开采与水资源保护的矛盾。柠条塔煤矿位于神南矿区,通过相似模拟试验研究重复采动上覆岩层裂隙率的空间分布规律,这将为该区域下部煤层开采后所建地下水库储水能力的准确预测提供科学依据。
1)采动覆岩裂隙率自下而上逐渐减小,1-2煤开采后裂隙率由1.87%逐渐下降为1.18%,2-2煤开采后,裂隙率由12.85%下降为4.11%;重复采动后上覆岩层的裂隙率显著大于初次采动覆岩裂隙率。
2)中间压实区裂隙率远小于两侧离层区,1-2煤开采后,压实区和离层区最大裂隙率分别为1.21%和2.19%,2-2煤开采后,压实区和离层区最大裂隙率分别为16.1%和6.54%。水平方向裂隙率存在2个峰值,垮落带、断裂带和弯曲下沉带的峰值位置逐渐向采空区中部移动。
3)煤层重复开采后,离层区裂隙率最大值由2.19% 上升到16.1%,中间压实区最大裂隙率由1.21% 上升到6.54%,分别增长了约6.4倍和4.4倍,重复采动覆岩的裂隙率显著增加,增强了储水能力,故下部煤层开采后的采空区能储存更多的矿井水。
[1] 顾大钊.煤矿地下水库理论框架和技术体系[J].煤炭学报,2015,40(2):239-246.
GU Dazhao.Theory framework and technological system of coal mine underground reservoir[J].Journal of China Coal Society,2015,40(2):239-246.
[2] 钱鸣高,许家林.覆岩采动裂隙分布的“O”形圈特征研究[J].煤炭学报,1998,23(5):20-23.
QIAN Minggao,XU Jialin.Study on “O” ring characteristics of mining induced fracture distribution in overburden[J].Journal of China Coal Society,1998,23(5):20-23.
[3] 王志强,李鹏飞,王 磊,等.再论采场“三带”的划分方法及工程应用[J].煤炭学报,2013,38(S2):287-293.
WANG Zhiqiang,LI Pengfei,WANG Lei,et al.Further discussion on the division method of “three zones” in stope and its engineering application[J].Journal of China Coal Society,2013,38(S2):287-293.
[4] 张春雷.煤层群上行开采层间裂隙演化及卸压空间效应[D].北京:中国矿业大学(北京),2017.
ZHANG Chunlei.Interlayer fracture evolution and spatial effect of pressure release in upstream mining of coal seam group[D].Beijing:China University of Mining and Technology-Beijing,2017.
[5] 王志国,周宏伟,谢和平.深部开采上覆岩层采动裂隙网络演化的分形特征研究[J].岩土力学,2009,30(8):2403-2408.
WANG Zhiguo,ZHOU Hongwei,XIE Heping.Study on fractal characteristics of mining-induced fracture network evolution of overburden strata in deep mining[J].Rock and Soil Mechanics,2009,30(8):2403-2408.
[6] 李振华,丁鑫品,程志恒.薄基岩煤层覆岩裂隙演化的分形特征研究[J].采矿与安全工程学报,2010,27(4):576-580.
LI Zhenhua,DING Xinpin,CHENG Zhiheng.Study on fractal characteristics of fracture evolution of overlying rock in thin bedrock seam[J].Journal of Mining and Safety Engineering,2010,27(4):576-580.
[7] 焦振华.下保护层开采覆岩裂隙演化及卸压程度研究[D].焦作:河南理工大学,2014.
JIAO Zhenhua.Research on fracture evolution and pressure discharge degree of overburden mining in lower protective layer[D].Jiaozuo:Henan Polytechnic University,2014.
[8] 杜 旭.多煤层赋存条件下采场覆岩“竖三带”分布规律研究与应用[D].北京:煤炭科学研究总院,2018.
DU Xu.Research and application on the distribution law of “vertical three zones” of overlying strata in stope under the condition of multiple coal seams[D].Beijing:China Coal Research Institute,2018.
[9] 聂留洋.新集二矿采空区巨厚砂岩顶板的三带高度分布特征研究[D].合肥:安徽建筑大学,2014.
NIE Liuyang.Study on height distribution characteristics of three zones of super-thick sandstone roof in mined-out area of Xinji No.2 Mine[D].Hefei:Anhui Jianzhu University,2014.
[10] 李全生,鞠金峰,曹志国.基于导水裂隙带高度的地下水库适应性评价[J].煤炭学报,2017,42(8):2116-2124.
LI Quansheng,JU Jinfeng,CAO Zhiguo.Adaptability evaluation of underground reservoirs based on the height of water-conducting fissure zone[J].Journal of China Coal Society,2017,42(8):2116-2124.
[11] 于庆磊,唐春安,杨天鸿,等.煤层开采引起覆岩三带分布规律的数值模拟[C].第九届全国岩石力学与工程学术大会论文集,2006:527-532.
YU Qinglei,TANG Chunan,YANG Tianhong,et al.Numerical simulation of the distribution law of three overburden zones caused by coal seam mining[C].Proceedings of the 9th National Conference on Rock Mechanics and Engineering,2006:527-532.
[12] 于 水.含水层下特厚煤层综放开采覆岩破坏规律研究[D].西安:西安科技大学,2012.
YU Shui.Study on overburden failure law of fully mechanized caving mining under super thick coal seam under aquifer[D].Xi’an:Xi’an University of Science and Technology,2012.
[13] 胡宝峰.富水覆岩特厚煤层综放开采导水裂隙带高度研究[D].西安:西安科技大学,2013.
HU Baofeng.Study on the height of water-conducting fissure zone in fully mechanized caving of water-rich overlying and extra-thick coal seam[D].Xi’an:Xi’an University of Science and Technology,2013.
[14] 顾大钊,张 勇,曹志国.我国煤炭开采水资源保护利用技术研究进展[J].煤炭科学技术,2016,44(1):1-7.
GU Dazhao,ZHANG Yong,CAO Zhiguo.Research progress on protection and utilization technology of coal mining water resources in China[J].Coal Science and Technology,2016,44(1):1-7.
[15] 曹志国.煤矿地下水库不同人工坝体结构抗震性能研究[J].煤炭科学技术,2020,48(12):237-243.
CAO Zhiguo.Study on seismic performance of different artificial dams in underground coal reservoirs[J].Coal Science and Technology,2020,48(12):237-243.
[16] 杨俊哲.神东矿区井上井下生态环境综合治理技术[J].煤炭科学技术,2020,48(9):56-65.
YANG Junzhe.Comprehensive treatment technology of ecological environment above and below Wells in Shendong mining area[J].Coal Science and Technology,2020,48(9):56-65.
[17] 刘晓丽,曹志国,陈苏社,等.煤矿分布式地下水库渗流场分析及优化调度[J].煤炭学报,2019,44(12):3693-3699.
LIU Xiaoli,CAO Zhiguo,CHEN Sushe,et al.Seepage field analysis and optimal operation of distributed underground reservoir in coal mine[J].Journal of China Coal Society,2019,44(12):3693-3699.
[18] 姜琳婧,方 杰,杨 宗,等.基于GIS与CAD的煤矿地下水库库容计算平台开发研究[J].煤炭科学技术,2020,48(11):166-171.
JIANG Linjing,FANG Jie,YANG Zong,et al.Development and research on calculation platform of underground reservoir capacity of coal mine based on GIS and CAD[J].Coal Science and Technology,2020,48(11):166-171.
[19] 张 凯,高 举,蒋斌斌,等.煤矿地下水库水-岩相互作用机理实验研究[J].煤炭学报,2019,44(12):3760-3772.
ZHANG Kai,GAO Zhu,JIANG Binbin,et al.Experimental study on water-rock interaction mechanism of underground reservoir in coal mine[J].Journal of China Coal Society,2019,44(12):3760-3772.
[20] 庞义辉,李全生,曹光明,等.煤矿地下水库储水空间构成分析及计算方法[J].煤炭学报,2019,44(2):557-566.
PANG Yihui,LI Quansheng,CAO Guangming,et al.Analysis and calculation method of water space composition of underground reservoir in coal mine[J].Journal of China Coal Society,2019,44(2):557-566.
[21] 鞠金峰,许家林,朱卫兵.西部缺水矿区地下水库保水的库容研究[J].煤炭学报,2017,42(2):381-387.
JU Jinfeng,XU Jialin,ZHU Weibing.Study on the storage capacity of underground reservoirs in mining areas with water shortage in western China[J].Journal of China Coal Society,2017,42(2):381-387.
[22] 李全生,鞠金峰,曹志国,等.基于导水裂隙带高度的地下水库适应性评价[J].煤炭学报,2017,42(8):2116-2124.
LI Quansheng,JU Jinfeng,CAO Zhiguo,et al.Suitability evaluation of underground reservoir technology based on the discriminant of the height of water conduction fracture zone[J].Journal of China Coal Society,2017,42(8):2116-2124.