我国煤矿巷道支护主要采用锚杆支护,网的作用是与托板、钢带等构件将锚杆的预应力扩散到距离锚杆更远的围岩中,防止锚杆之间的小尺寸松脱岩石块体脱离原位,进而维持支护体-围岩系统的稳定。锚杆支护体系下对围岩初期松动变形的有效控制十分重要[1],然而普通金属网必须在围岩发生相当的变形量(可能数十厘米)之后才能起到承载和支护作用;煤矿巷道围岩表面难以保证良好的平整度,网与岩面之间无法实现良好的贴合,难以及时承载。锚杆的施工基本实现了机械化,然而网的安装作业机械化程度低,给巷道支护效率、安全性带来挑战。喷射混凝土是另外一种表面支护方式,主要作用是封闭围岩防止风化,同时发挥改善围岩和支护结构的应力状态、防止破碎围岩中岩石掉落等力学作用。然而,煤矿巷道一般变形量大,深井软岩巷道掘进期间围岩变形甚至达数百毫米,而喷射混凝土属于脆性材料,巷道来压后喷层因不能承受大的拉应力会发生拉伸破坏,无法对巷道围岩的稳定起到支护作用[2];同时破坏、脱落的喷层自身也易成为安全隐患。此外,喷射混凝土的施工还存在一些问题,如施工粉尘大、施工速度慢、回弹率高、用工量大、物料运输量巨大等问题。针对锚杆支护体系,对新型护表方法、材料开展研究具有重要意义。
近年来,在加拿大、土耳其、南非、澳大利亚等国家对一种成膜厚度小、凝固速度快、喷涂方式施工的衬层材料(Thin Spray-on Liner,TSL)进行了研究和应用[3],国内一般称其为“薄喷衬层”。薄喷衬层的“薄”通常指的是其厚度与喷射混凝土相比成数量级的降低,一般只有数毫米。与网相比,薄喷衬层的突出特点是与岩面之间的良好黏结性,以及对不平整岩面的适应性。与喷射混凝土相比,薄喷衬层的明显优势首先在于其很小的施工厚度以及由此带来的物料运输、施工量的降低;其次是良好的变形能力。此外,薄喷衬层的施工可以实现较高程度的机械化和自动化,这对将来采矿自动化的实现是有帮助的。
基于材料的上述性能和施工特点,从工程特性的角度认为“喷涂柔膜”包含了更为完整和准确的工程语义。其中,“喷涂”体现了该技术的施工特点,包含了材料与岩体的黏结性,以及能够适应不平整岩体表面的特性,显示了与网等卷材的不同;“柔”表明材料具有变形能力,有别于脆性的喷射混凝土;“膜”体现了极小的施工厚度。基于上述分析,对喷涂柔膜技术的再定义如下:通过喷涂的施工方式,将高分子材料或高分子复合材料施加至围岩表面,固化后形成与基体紧密黏结且具有变形能力薄层的技术[4]。以下以“喷膜”作为简称。
喷膜材料一般分为反应型和非反应型,反应型产品的成分主要是异氰酸酯和丙烯酸酯,其反应速度快、养护时间短,施工后1 h之内可以获得大部分的抗拉强度。非反应型喷膜产品养护时间较长,产生黏结、抗拉强度的速度较慢。
2.1.1 力学性能测试
1)拉伸性能测试。国外对喷膜拉伸性能的测试一般基于ASTM D638标准。YILMAZ[5]对市面上的35个喷膜产品(其中除3种是聚氨酯基之外,其余均为聚合物水泥基材料)开展了不同养护期下抗拉强度的测试,抗拉强度为0.5~7.5 MPa。
2)黏结性能测试。OZTURK[6]发现基体的抗拉强度在2 MPa以上时喷膜与基体之间才能产生比较好的黏结效应,认为黏结性能是影响喷膜应用的重要性能,并基于实验提出喷膜的参考厚度为4 mm。LI等[7]通过实验发现,岩石基体的强度越高、黏结界面越粗糙,喷膜与岩石的黏结性能越好。YILMAZ[8]介绍了测试喷膜与基体间拉伸黏结强度的直接拉拔法,基于该方法测试了不同喷膜材料与基体的黏结性能。
3)抗剪切性能测试。JJUUKO等[9]认为喷膜的剪切-黏结强度指标是喷膜设计的重要参数。QIAO等[10]采用不同方法对喷膜材料与煤等不同基体的界面抗剪强度进行了测试,使用冲压法开展了喷膜材料的抗剪强度测试。
2.1.2 支护作用
喷膜的初期定位是一种密闭材料:在岩体表面形成一层连续的膜结构,实现对岩体的表面覆盖;由于喷膜具备良好的气密性,可以阻止空气进入裂隙防止岩体的弱化。然而在应用的过程中,人们注意到其可能具备一定的支护能力。
国外研究人员对喷膜的支护机理进行了探讨。STACEY[11]认为,膜结构与岩石之间的良好黏结能够降低由于变形导致的应力和应变,抑制岩石移动和旋转,进而发挥控制松脱危石的作用。DUBE[12]认为喷膜可以促进岩石的自锁,这是其发挥支护作用的机理。YILMAZ[5]认为,喷膜材料进入松脱岩石与稳定岩体之间的缝隙起到黏结作用,进而发挥支护作用。
研究人员对喷膜的支护效果开展了一系列实验研究。SHAN等[13]通过大尺度对比实验发现,与焊接网相比,喷膜加固的模拟岩石试样的峰值强度更高;还模拟了一种喷膜材料对顶板岩体屈曲破坏的支护作用,发现喷膜材料能够与岩石之间黏结形成一个复合薄层,提高试样抵抗表面破坏的能力[14]。ARCHIBALD等[15]通过大量试验模拟了喷膜在冲击载荷下的支护作用,发现喷膜的效果不逊于网、喷射混凝土等其他常规护表手段。
与国外相比,国内对于喷膜的研究较少。董山等[16]探讨了薄膜的支护机理,认为其发挥支护作用的几种方式包括:胶水作用、隔离作用、渗透加固作用。张少波等[17]开发了适用于国内煤矿的喷膜技术、装备,并在东欢坨矿、王坡矿等现场开展了用于封闭的实践。李学彬等[18]开发了一种新型聚合物喷层,在弱胶结软岩巷道中取得了良好的支护效果。
虽然学者们针对喷膜的支护效果开展了一些研究工作,但是由于喷膜与混凝土相比厚度很小,且其表现出明显的柔性,因此其支护效果仍受到怀疑;将喷膜用于矿山支护时,也缺乏广泛接受的测试、设计、施工依据[19]。在煤矿条件下,尤其是作为支护方法的应用案例和原理研究还比较少。
煤矿井下空间狭小,对材料的安全性要求高,非反应型喷膜材料是优先选择。在非反应型喷膜中,聚合物水泥基材料最具代表性,因此选择一种聚合物水泥基的喷膜材料进行力学性能的测试研究。该材料为粉体,根据一定的配比与水混合后喷至岩体表面,固化成膜后形成喷层。
喷膜材料的力学性能对其应用具有重要影响,相关力学参数对数值模拟分析等具有基础性作用。基于ASTM D638标准测试了所选材料的拉伸力学性能,试样为哑铃型,如图1所示。

图1 拉伸测试试样
Fig.1 Specimen in tensile test
养护期对聚合物水泥基材料的强度建立有重要影响。分别对养护期为1、7、14、28 d的试样开展拉伸性能测试,抗拉强度如图2所示。

图2 不同养护期下的抗拉强度
Fig.2 Tensile strength at different curing periods
抗拉强度由养护期1 d时的0.24 MPa提高至28 d时的2.04 MPa。抗拉强度随着养护期的增加而提高,但速度有所变化。养护初期(1~7 d)提高速度最快,7 d时达到最大值的65%,中期(7~14 d)上升速度减慢,后期(14~28 d)增长很小。养护期为1、7、14、28 d时破断延伸率分别为51.3%、79.1%、54.19%、52.62%。
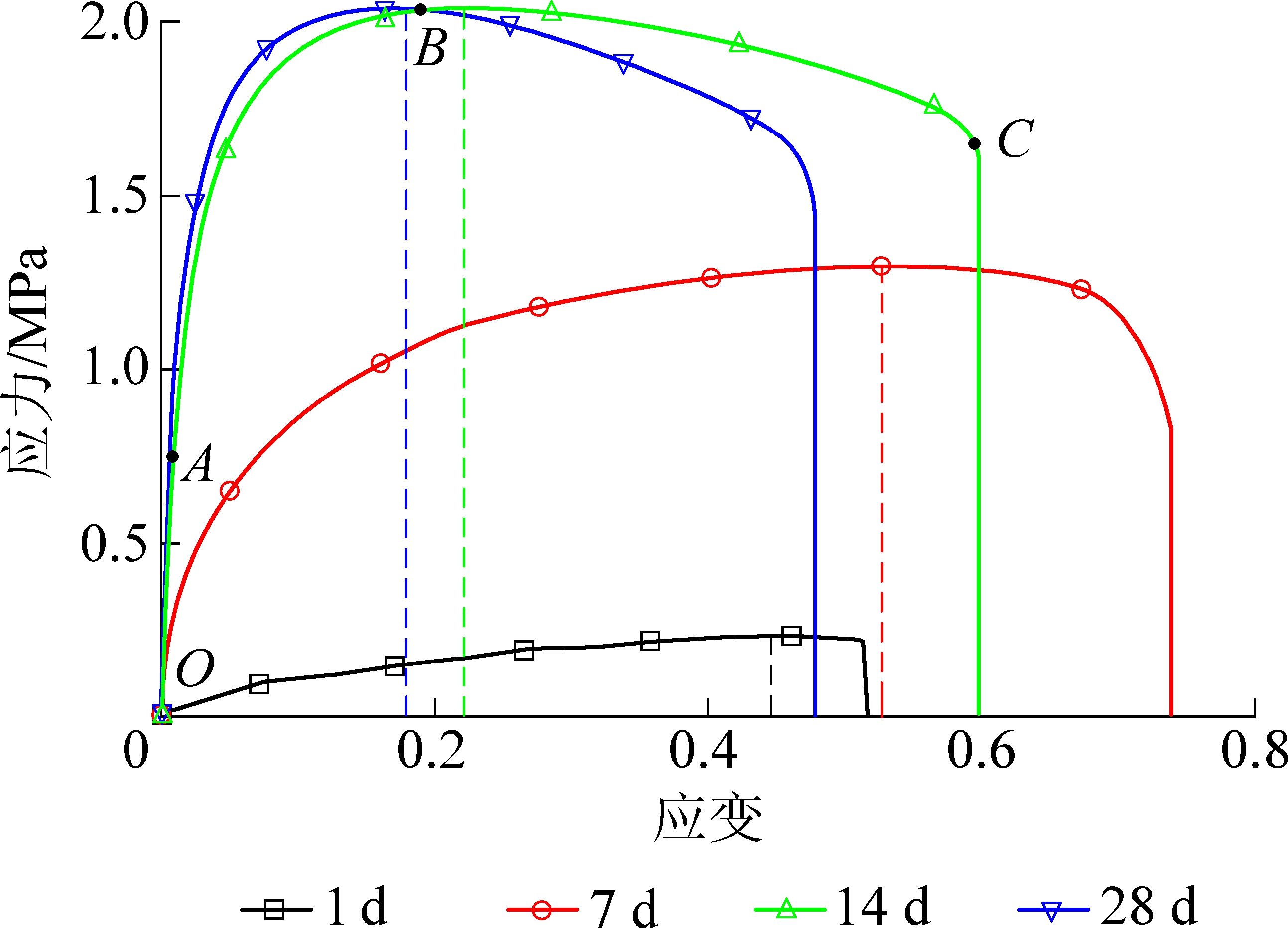
测试周期内材料的破断延伸率均不低于50%,表明该材料具有良好的变形能力,这对于煤矿围岩的大变形特性是有利的。破断延伸率在7 d时最大,达到79.10%。不同养护期下的平均应力-应变关系曲线如图3所示。

图3 不同养护期下的应力-应变曲线
Fig.3 Stress-strain curves at different curing periods
不同养护期下试样的拉伸强度建立速度不同。对于养护期1 d的试样,应力随变形的增加缓慢建立,所能达到的峰值也较低,峰后变形很小。随着养护期增加,试样的强度建立速度快且维持较大载荷至较大变形才发生破坏,曲线呈“n”形。不同养护期下的试样破坏前均发生大的变形,表现出明显的塑性。强度建立越快,表明喷膜在岩体发生很小的变形时能够更早发挥抑制作用,这是喷层类护表区别于网的重要优势;试样维持较大的拉伸应力的同时继续发生变形,表明喷膜具备大变形且强承载的潜力。上述性能特点有利于围岩控制,尤其是大变形煤矿巷道的围岩控制。
养护期14 d时的曲线可以分为3个阶段。初始阶段即OA段内试样发生近似弹性变形,曲线近似线性。该阶段内应变幅度极小,应力伴随着微小的变形快速上升,曲线斜率即弹性模量,经计算约为42 MPa。与岩石相比,喷膜在弹性变形阶段所表现出来的弹性模量还是非常微小的。屈服阶段即AB段,应力上升速度逐渐减缓,至B点时达到应力峰值。BC段,试样内部逐渐发生微小破坏,应力下降,C点时发生断裂。
喷膜发挥支护作用的前提是其与岩体之间的黏结性能良好。选择一种红砂岩基体,测试喷膜与其法向黏结强度,如图4所示。通过高强胶水将铝锭(直径20 mm)与固化后的喷膜黏结,通过数显拉拔仪拉拔铝锭,拉拔仪自动记录载荷数据,进而计算法向黏结强度。

图4 法向黏结强度测试
Fig.4 Test setup of normal adhesion
喷膜养护21 d后开展测试,有效测试结果:铝锭编号为1、2、4时法向黏结强度为分别1.47、2.35、2.50 MPa(试样3的加载过程受到干扰,因此数据舍弃)。
拉拔破坏后的铝锭底部如图5所示。可见,喷膜以及喷膜与岩石基体的黏结保持完好,拉伸破坏发生于岩石基体内部,表明被测喷膜与基体之间具有良好的法向黏结效应。

图5 拉拔破坏后的铝锭底部
Fig.5 Spindles after failure in normal adhesion test
欧洲喷射混凝土组织的ENC 250TSL标准[20]给出了喷膜的块体承载能力(即线性承载能力指标)测试规范,原理如图6所示。2个边块体A、B(固定块体)和一个中间块体(活动块体)组成测试基体,中间块体与两侧固定块体之间的距离为3 mm。螺钉-压板结构将边块体A、B的部分区域(A1—A2间和B1—B2间)夹紧、固定,试验机压头对中间块体加载,记录压头的位移和载荷,以此计算喷膜的承载能力。

图6 块体承载能力测试
Fig.6 Schematic of block supporting test
标准所给出的喷膜“线性承载能力(N/cm)”指标计算方法为
其中:Fmax为峰值载荷,N;e为试样宽度,cm。更高的线性承载能力值,意味着喷膜在抑制岩石块体脱落时具备更大的承载能力。以养护期1 d的1号试样为例,图7为其载荷-位移关系曲线,图8为测试过程。

图7 养护1 d时试样的位移-载荷曲线
Fig.7 Load versus displacement of a typical sample at 1 d curing in block supporting test

图8 块体承载测试的4个阶段
Fig.8 Four stages of block supporting test
整个过程可分为静态承载、脱黏、拉伸承载、拉伸破坏4个阶段。静态承载阶段曲线近似直线上升,表明喷膜发生弹性变形,说明在承载的初期喷膜快速产生支护载荷;脱黏阶段动态过程,期间载荷明显下降。拉伸承载阶段载荷再次大幅上升,然而,拉伸承载及拉伸破坏阶段是在实验工装的夹持限制下发生的,实际应用时难以具备类似条件。应选择静态承载阶段研究喷膜的承载性能,其峰值(即图7中的A点处)表征了喷膜的静态承载能力。在养护期1、7、14、28 d下测得的静态承载能力平均值分别为16.01、39.23、48.64、37.74 N/cm,以养护期为14 d时最高。
假定锚杆之间的松脱岩体为球心位于岩面、半径为r的倒半球体,半球体的周围为稳定岩体,如图9所示(图中g为重力加速度)。假定喷膜与周围的稳定岩体可靠黏结,进而限制半球形松脱岩体由于自重导致的垮落。

图9 模拟松脱岩体的半球体
Fig.9 Hemisphere for the loosen rock mass simulation
岩体密度取常见岩石中的较大值3 000 kg/m3;考虑沿边缘承载的不均衡性,取不均衡系数为2,以所测得的线性承载能力最大值48.64 N/cm为计算依据,被测喷膜可以承受半径r=0.493 m的半球体内约752 kg的松脱岩体质量。煤矿巷道的围岩破坏通常是一个渐进过程,围岩表面的小块松脱岩石是护表的对象。上述承受质量远超小块松脱岩石的范畴,表明所测喷膜材料具有良好的块体承载能力。
喷膜的潜在密闭作用首先体现在对开挖后的围岩进行密闭防止风化。地下岩体开挖后与空气接触,岩石颗粒之间的胶结容易因风化而削弱,进而形成和加剧岩体裂隙,降低岩体的物理力学指标。开挖后的围岩表面施工喷膜形成屏障,可以阻止巷道空气中水分的侵入,防止围岩的弱化。
当与锚杆支护配套使用时,喷膜对金属支护构件实现包裹,可以阻止空气中水汽对构件的侵蚀,防止构件锈蚀、弱化,进而提高锚杆支护系统的可靠性。此外,注浆时对围岩表面封闭防止跑浆也是喷膜的潜在密闭作用之一。
与网、喷射混凝土相比,喷膜的力学性能及施工工艺明显不同,决定了其不同的技术特征。以上述被测的聚合物水泥基喷膜材料为例,对比其与网、喷射混凝土的护表性能。
TANNANT[3]通过试验发现焊接铁丝网在变形量达到150 mm时才能发挥明显的承载作用。将护表简化为原长为1个长度单位的二维结构,如图10所示。假定护表的下沉轮廓为圆弧,下沉幅度为0.15个单位时弧长为1.06,变形量为0.06。以前文所测聚合物水泥基喷膜材料为例,应变为0.06时材料的拉伸应力约为1.76 MPa,处于AB段有效承载状态。以常见的锚杆间距1 m为例,锚杆间岩体由平整状态至下沉0.15 m过程中金属网尚未有效承载,而喷膜已经发挥抑制作用,表明喷膜承载及时。喷射混凝土与喷膜类似,也能在岩体变形初期发挥抑制作用,且脆性的混凝土喷层的承载性能明显优于喷膜。基于上述分析,喷膜的承载及时性明显优于金属网,次于喷射混凝土。

图10 护表下沉0.15个单位时的状态
Fig.10 Deformation of surface support by 0.15 unit
在二维空间内对金属网和喷膜的承载能力进行对比,如图11所示。金属网的丝径取6 mm,网眼为边长为100 mm的正方形,喷膜厚度取5 mm,金属丝、喷膜的抗拉强度以235 MPa和3 MPa计算。在一个网眼内焊接网和喷膜的拉伸承载的理论屈服值分别为6.64 kN和1.5 kN,金属网的承载能力是喷膜的4.43倍,喷膜的承载能力明显弱于金属网。厚层喷射混凝土固化后能够形成承载壳体结构,这是柔性的喷膜所不具备的,因此喷膜的承载能力不及喷射混凝土。

图11 网与喷涂柔膜承载能力示意
Fig.11 Schematic of load bearing capacity of welded mesh and spray-on membranes
混凝土喷层性脆变形能力差,随岩体变形时容易发生破坏,如图12a所示。网能够随挤出的岩体发生变形而不破坏,变形能力好,然而即使是小尺寸的岩体垮落也会导致锚杆间的全部网参与承载,如图12b所示。喷膜覆盖的岩体破碎挤出时,喷膜随岩体协同变形的同时能够抑制变形,如图12c所示。在适应岩体变形并保持承载方面,喷膜的性能优于喷射混凝土和金属网。

图12 不同护表方式的承载和变形情况
Fig.12 Loading and deformation of different surface protecting methods
很多煤矿巷道为临时性工程,开挖面可能存在明显的超挖、欠挖,如图13所示。锚杆之间的岩体表面有凹坑时,网难以良好贴合内凹的表面。厚层喷射混凝土能够填平内凹部位形成平整的外表面,与围岩表面的贴合性好。喷膜能够在不平整的围岩表面形成一层薄膜结构,对围岩表面的贴合性好,然而喷膜施工厚度小,无法像喷射混凝土一样填平大尺寸的凹坑,难以满足煤矿巷道质量标准化要求。

图13 不同护表方式对围岩表面的贴合
Fig.13 Fitting ability of different surface protecting methods
煤矿井下喷射混凝土的施工厚度一般为数十毫米,甚至达150 mm,而喷膜的厚度仅为数毫米。单位面积上喷层厚度的降低,大幅减少施工量,施工效率得到极大提高。喷射混凝土劳动强度高,典型条件下所需的作业人数达7~8人,表现出粗放性特征;而喷膜作业最低仅需2人,劳动强度明显降低。成膜厚度小意味着所需的物料运输量小,辅助运输压力小。喷膜表现出明显的集约化、精细化特征。在施工成本方面,喷膜明显优于喷射混凝土。
受到井下条件制约,湿式混凝土喷射仍然未能取代潮式,而潮式喷射作业的粉尘难以根除,影响安全。喷涂柔膜一般采用浆体喷涂,无粉尘产生,有利于劳动保护。因此,在施工环境保护方面喷膜具备明显优势。
混凝土喷射和喷膜浆体喷涂作业时,喷枪能够离开受喷岩体表面一定距离,机械化程度、安全性更高。网的施工工序复杂,在当前工艺和技术条件下不易实现机械化,很大程度上依赖人工完成,效率较低;金属网安装作业时,施工人员要靠近未支护的岩面,安全性差。金属网的上述弊端从一定程度上也阻碍了掘进自动化、智能化的发展。因此,在施工的机械化和安全性方面,喷膜和喷射混凝土优于金属网。
厚层喷射混凝土所形成的壳结构能够对围岩起到结构性作用。喷膜和金属网为柔性材料,单独使用时无法直接发挥结构性作用。
喷射混凝土和喷膜能够在岩体表面形成屏障,具有良好的密闭作用,而金属网不能发挥岩体封闭作用。分别使用“优、一般、差”评价上述性能指标,对喷涂柔膜、喷射混凝土和金属网进行对比见表1。
表1 不同护表方式的性能对比
Table 1 Performance of different surface protecting methods

序号指标性能表现喷涂柔膜喷射混凝土金属网1承载及时性一般优差2承载能力一般优优3变形能力优差优4与围岩表面的贴合性优优差5施工作业量(成本)优差差6施工作业环境(安全性)优差差7施工机械化优优差8结构性作用差优差9密闭作用优优无
可见,喷膜在大部分指标中优于喷射混凝土和网,尤其在施工(施工量、机械化程度、安全性)方面具有显著的优势。喷膜的抗拉强度低于金属网,施工厚度远小于喷射混凝土,导致其承载能力处于明显劣势。
煤矿巷道锚杆支护是一个动态发展的技术体系,喷膜在锚杆支护中的应用并非为了取代已有的某项技术,而是给锚杆支护体系增加了一项新的手段。煤矿巷道条件复杂多样,应根据现场情况选择某种护表方式,或采用多种方式的组合应用,以达到所需的围岩控制目标。煤矿现场对喷膜作为一种支护方式的主观接受需要一个过程,喷膜在锚杆支护中的应用应该循序渐进:先在简单的工程条件下试用,继而进行总结、改进并扩展至其他条件。
除施工工艺外,喷膜的主要优势在于具有一定的变形能力而不会发生脆性破坏,且能够与围岩良好黏结,这对于经常会发生大变形的煤矿巷道围岩控制是有利的。对喷膜在煤矿巷道锚杆支护中的初期应用建议如下:
1)在特定的条件下取代厚层喷射混凝土。当仅需要喷射混凝土实现对围岩、金属支护构件的封闭而不要求其发挥结构性作用时,或喷射混凝土所能发挥的结构性作用客观上非常微小时,可以充分发挥喷膜的高效、清洁等优势,替代喷射混凝土。
2)在特定条件下取代金属网。当地质条件稳定,巷道围岩相对完整且变形较小时,可以用喷膜替代金属网,此时依靠喷膜发挥密闭作用,在防止岩体发生风化的同时还能控制小尺度岩块的掉落,实现对围岩破坏、变形的早期、及时干预。
受材料等方面的制约,在一些条件下喷膜材料的施工或预期支护性能难以保证因此无法应用,如:
1)巷道围岩已经严重破碎时。喷膜的厚度很小,因此无法在有较大裂隙的岩石块体间实现桥接,无法在岩体表面形成完整、连续的膜结构。
2)岩体有淋水时。淋水会冲刷喷膜浆体导致其流失;当采用反应型喷膜材料时,水可能优先与其中的特定组份发生反应导致喷膜材料失效。
3)表面已经弱化或有大量粉尘堆积的软弱岩体。岩体表面由于吸湿出现弱化、崩解,或表面有大量粉尘堆积时,喷膜无法与岩石基体良好黏结,因此无法应用。
1)典型的喷涂柔膜在拉伸测试中表现出及时承载、大变形特性,与岩石基体可良好地黏结,这对于及时发挥承载作用、适应煤矿岩体的大变形特性是有利的。
2)块体承载时,喷膜能够在块体移动初期快速建立强度,承载能力指标表明,喷膜具有良好的块体承载潜力。
3)喷膜能够及时承载,但是承载能力弱于喷射混凝土和网,且无法发挥结构性作用;在施工方面明显优于现有的护表方式;与网相比,其优越性还体现在能够适应煤矿巷道的不平整岩面。
4)喷膜在煤矿井下的应用应遵循循序渐进的原则,可以首先在不需要发挥结构性作用时代替喷射混凝土,或者在地质条件良好时部分取代网。此外,喷膜可以与现有护表方式组合使用。
致谢:本研究得到了巴斯夫浩珂矿业化学(中国)有限公司在测试材料方面的帮助,在此表示衷心的感谢。
[1] 张 农,高明仕.煤巷高强预应力锚杆支护技术与应用[J].中国矿业大学学报,2004,33(5):524-527.
ZHANG Nong,GAO Mingshi.High-strength and pretension bolting support of coal roadway and its application[J].Journal of China University of Mining & Technology,2004,33(5):524-527.
[2] 赵兴东,解联库,唐春安,等.高应力破裂岩体条件下取消喷射混凝土支护的研究[J].矿业研究与开发,2005,25(6):18-19,29.
ZHAO Xingdong,XIE Lianku,TANG Chunan,et al.Research on cancelling sprayed concrete support in high stressed and fragmentized rockmass[J].Mining Research and Development,2005,25(6):18-19,29.
[3] TANNANT D.Thin spray-on liners for underground rock support[C]//17th International Mining Congress and Exhibition of Turkey(IMCET 2001),Ankara:2001.
[4] 魏 群.喷涂柔膜在锚杆支护中的作用机理研究[D].徐州:中国矿业大学,2020.
WEI Qun.Study on the mechanism of spray-on membranes under bolting system[D].Xuzhou: China University of Mining and Technology,2020.
[5] YILMAZ Halil.Tensile strength testing of thin spray-on liner products(TSLs)and shotcrete[J].The Journal of Southern African Institute of Mining and Metallurgy,2010,110:559-569.
[6] OZTURK H.Work of adhesion of thin spray-on liners[J].Rock Mechanics and Rock Engineering,2012,45(6):1095-1102.
[7] LI Zecheng,NOCELLI Benjamin,SAYDAM Serkan.Effect of rock strength and surface roughness on adhesion strength of thin spray-on liners[J].International Journal of Rock Mechanics and Mining Sciences,2017,91:195-202.
[8] YILMAZ Halil.Comparison of tensile bond strength of thin spray on liners[J].International Journal of Mining,Reclamation and Environment,2012,27(1):56-71.
[9] JJUUKO Samuel ,KALUMBA Denis.Shear-bond strength of thin spray-on liners as a surface support mechanism in underground rock support-a review[C]//The 13 th International Congress of Rock Mechanics ISRM CONGRESS 2015.Innovations in Applied and Theoretical Rock Mechanics:Montreal,Canada:2015.
[10] QIAO Qiuqiu,NEMCIK Jan,PORTER Ian.A new approach for determination of the shear bond strength of thin spray-on liners[J].International Journal of Rock Mechanics and Mining Sciences,2015(73):54-61.
[11] STACEY Thomas.Review of membrane support mechanisms,loa-ding mechanisms,desired membrane performance,and appropriate test methods[J].The Journal of the South African Institute of Mining and Metallurgy,2001,101(7):343-351.
[12] DUBE James.Investigations into the mechanisms of rock support provided by sprayed liners[D].Johannesburg:University of Witwatersrand,2009.
[13] SHAN Zhenjun,IAN Porter,JAN Nemcik,et al.Comparing the reinforcement capacity of welded steel mesh and a thin spray-on liner using large scale laboratory tests[J].International Journal of Mining Science and Technology,2014,24(3):373-377.
[14] SHAN Zhenjun,IAN Porter,JAN Nemcik,et al.Investigating the behaviour of fibre reinforced polymers and steel mesh when supporting coal mine roof strata subject to buckling[J].Rock Mechanics and Rock Engineering,2018,52(6):1857-1869.
[15] ARCHIBALD James,KATSABANIS P.Evaluation of liner capacity for blast damage mitigation[J].Journal of the Canadian Institute of Mining,Metallurgy and Petroleum(CIM Bulletin),2004(97):47-51.
[16] 董 山,明世祥,刘鹏博.新型喷涂速效支护技术及其作用原理的探讨[J].金属矿山,2010,413(11):56-59,160.
[17] 张少波,吴建生,魏 群,等.煤矿薄喷技术的理论与实践[J].煤炭科学技术,2017,45(4):1-7.
ZHANG Shaobo,WU Jiansheng,WEI Qun,et al.Theory and practices on thin spray-on technology of coal mine[J].Coal Science and Technology,2017,45(4):1-7.
[18] 李学彬,杨春满,王 波,等.西部弱胶结软岩巷道新型聚合物喷层支护研究[J].煤炭科学技术,2017,45(12):76-80.
LI Xuebin,YANG Chunman,WANG Bo,et al.Study on new polymer spraying support of mine roadway with weak cemented soft rock in West China[J].Coal Science and Technology,2017,45(12):76-80.
[19] YILMAZ Halil.Development of testing methods for comparative assessment of thin spray-on liner(TSL)shear and tensile properties[D].Johannesburg:University of the Witwatersrand,2011.
[20] EFNARC.ENC 250TSL Specification and guidelines on thin spray-on liners for mining and tunnelling[S],2008.