大倾角煤层是指倾角为35°~55° 的煤层,该类煤层煤炭资源储量丰富、赋存广泛[1]。近年来,伴随矿产资源的持续高强度开采,浅部易采煤炭资源逐渐枯竭,大倾角煤层的安全高效开采是我国重大工程问题[2-3]。生产实践表明,大倾角煤层开采过程中,受倾角效应影响,支架受载不均衡、煤壁片帮、飞矸等动力灾害现象频发,严重制约了该类煤层的安全高效开采,采用伪俯斜开采方法可以有效减缓工作面倾角,降低以上灾害威胁程度。
近年来,诸多科研人员针对大倾角煤层开采倾角-重力场效应[4]、采场围岩的非对称变形破坏[5]、顶板结构[6]、覆岩运移[7]、采动应力空间展布形态[8-9]、支架区域化受载特征[10]等诸多科学问题展开了大量研究。文献[11-13]研究了大倾角煤层长壁采场矿压显现规律,明确了“支架-围岩”相互作用机理,提出了大倾角煤层采场支架稳定性控制理论与技术;罗生虎等[14]研究了大倾角煤层长壁开采工作面围岩破断运移规律及矸石非均匀充填特征,分析了支架在顶板载荷作用下的行为响应;王金安等[15]阐述了急倾斜厚煤层圆弧段工作面支架失稳的力学作用,建立了满足支架稳定要求的圆弧段临界长度准则;文献[16-18]揭示了大倾角煤层伪俯斜采场围岩应力演化特征及顶板垮落运移规律,提出了伪俯斜采场顶板的非对称“O-X”破断特征;肖家平等[19]揭示了大倾角煤层采空区下伪俯斜工作面支承压力演化特征;杨胜利等[20]研究了急倾斜煤层伪俯斜采场不同煤层赋存和开采条件下的煤壁破坏机理,提出了防治煤壁破坏与底板滑移的具体措施;余熠[21]提出在伪俯斜工作面上隅角后方存在一块三角滞后垮落顶板,推导出了悬跨顶板破坏的判定准则。
伪俯斜工作面与真倾斜工作面的区别在于,伪俯斜工作面回风巷超前运输巷一定距离,在布置开切眼时与真倾斜工作面存在一定夹角,采空区顶板近似于平行四边形,其顶板垮落特征以及“支架-围岩”相互作用关系较真斜工作面而言发生了变化,伪俯斜采场矸石滑移充填特征及其“支架-围岩”系统相互作用机理仍亟需进一步研究。据此,在已有研究的基础上,以某矿 3132 工作面为研究背景,采用物理相似模拟与理论计算相结合的研究手段,研究大倾角走向长壁伪俯斜采场垮落矸石充填时空演化规律,探讨矸石充填作用下“支架-围岩”系统相互作用关系,构建平行四边形支架力学模型,得到防止支架下滑和转动失稳的临界阻力,分析工作面伪斜角和矸石作用力对支架临界阻力的影响,为指导该类煤层采场“支架-围岩”稳定性控制实践奠定理论基础。
某矿 3132 工作面位于+350 m水平龙王洞背斜东翼313采区上区段。煤层平均厚度2.5 m,倾角38°~46°,平均倾角43°,密度1.44 t/m3。煤层为半暗半亮型焦煤、焦肥煤,赋存较稳定。
该工作面采用伪俯斜布置,伪斜角25°,巷道高差77 m,回风巷超前运输巷51 m,工作面倾角由45°(煤层倾角)降低至39°,工作面长度120 m,走向推进长度1 022 m。割煤时采煤机斜切进刀,从工作面机尾向机头单向下行割煤,利于采煤机防滑并减少牵引阻力,空刀返回进刀处;工作面装备平行四边形液压支架,移架方式为追机移架,在采煤机循环进刀完成后依次从机头向机尾推移刮板输送机。
为研究大倾角煤层长壁伪俯斜工作面垮落矸石充填特征,选用1.5 m×1.15 m×0.55 m立体可加载实验模型。相似常数选取如下:几何相似常数30、容重相似常数1.6、应力相似常数48、时间相似常数![]()
根据3132工作面地质条件以及实验室岩石力学实验测得的主要岩层物理力学参数,选取河砂作为骨料,石膏、大白粉作为胶结材料,云母作为分层材料。3132工作面地层柱状图及相似材料配比见表1。
表1 3132工作面地层柱状图及相似材料配比
Table 1 Geological column at No.3132 work face and ratio of similar materials

层位厚度/m岩性描述密度/(kg·m-3)弹性模量/MPa抗拉强度/MPa模型厚度/cm质量比(河沙、石膏、大白、煤粉)覆岩10.0~22.516.25页岩为主,薄页状或薄片层状,混有石英等其他化学物质2610125031.9——基本顶3.2~8.55.85上为深灰色泥岩,中为泥质灰岩,下为灰黑色硅质薄层灰岩242054871.819.508∶4∶6∶0直接顶2.7~3.33.0上为深灰色泥岩,下为灰色钙质泥岩,片状构造,节理不太发育,多为石英255039001.910.007∶4∶6∶0伪顶0~0.20.1黏土泥岩,薄层状242035801.90.339∶2∶8∶0煤层2.5半暗半亮型焦煤,焦肥煤,煤层含2~4层夹矸136016700.68.3320∶1∶3∶15直接底2.0~3.62.8泥岩和页岩,泥质胶结,片状构造,含黄铁矿晶粒252025101.69.337∶3∶7∶0基本底1.0~3.01.5上为浅灰色砂质泥岩,下为黑页岩,水平层理,片状构造253045301.75.007∶2∶8∶0
在实验模型上铺装模拟材料,将材料铺平、压实,划分纵、横向节理,层间采用云母粉进行分层。工作面布置9架平行四边形液压支架模型,使用液压加载系统为支架提供油缸压力;拍照记录垮落矸石和支架状态。铺装完成的物理相似模型如图1所示。

图1 实验模型
Fig.1 Experimental model
大倾角走向长壁伪俯斜工作面回采过程中,矸石受倾角影响沿倾向滑移,其对采空区的充填是一个动态过程,有明显阶段性特征:
1)第1阶段,初步充填下部区域。距离支架较远的采空区顶板垮落后,沿煤层真倾斜方向向下滑移,堆积至采空区中下部区域。在靠近支架的采空区,破断距范围内的顶板未充分垮落,破断距范围外的顶板垮落后向下滚落,易在支架后方采空区中、上部区域形成一个倒三角形临空区,且垮落矸石对中、下部区域支架尾梁频繁产生冲击作用,影响倾向“支架-支架”系统稳定性。由于伪俯斜工作面上端头超前于真斜工作面,伪俯斜采场中垮落矸石堆积范围在走向上同样超前于真倾斜工作面。此阶段矸石未完全滑落,初步充填了采空区中下部区域,沿采空区倾向自下而上,矸石充填程度由密实到松散,形成如图2a所示的堆积形态。
2)第2阶段,矸石倾向下滑。当工作面向前推进,原本作用在支架后部的矸石失去约束,整体沿工作面倾向向下滑移,对工作面中、下部区域支架的尾部产生向下的推力作用。在靠近支架的采空区,沿工作面倾向矸石堆积范围稍有减小,在较远的采空区,矸石下滑产生凹陷区域,倾向堆积范围d增大。整体来看,矸石在底板上的堆积范围沿走向进一步扩展,沿倾向稍有改变,如图2b所示。
3)第3阶段,充填凹陷区域。随着顶板进一步垮落,矸石量不断增大,覆盖了裸露底板,充填了第2阶段的凹陷区域,如图2c所示倾向堆积范围d继续增大。此阶段垮落矸石非对称充填特征明显:充填体下部矸石块度大小互相级配,充填体与顶板接触,充填密实,具有一定强度,利于支架稳定;中上部块度较大,充填体与顶板之间留有空隙,充填松散,强度较低。由此可将工作面倾向滑移充填效果分为下部的充填体受到覆岩荷载的接顶区、中上部的充填体未受到覆岩荷载的非接顶区以及上部的没有充填体覆盖底板的临空区。

图2 采空区垮落矸石充填演化过程
Fig.2 Filling evolution process of caving gangue in goaf
随着工作面推进,第2阶段和第3阶段交替循环,支架后方倾向下部区域出现稳定的矸石充填区域。
为进一步描述垮落矸石在煤层倾角、工作面伪斜角、采高、直接顶厚度和工作面长度的影响下的充填形态特征,在支架后方采空区沿伪斜方向做剖面,建立如图3所示的计算模型。

图3 伪俯斜采场矸石非均匀充填模型
Fig.3 Non-uniform filling model of gangue of pitching oblique mining area
其中,煤层倾角与工作面伪斜角作为主控因素直接影响了矸石垮落后滑移充填特征;直接顶的厚度与长度决定了垮落矸石的体积;煤层厚度、工作面倾向长度共同决定矸石运动空间的尺寸。暂不考虑距离支架较远的采空区基本顶及其上覆岩层垮落后对采空区的充填作用。
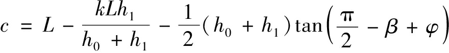
图3中,假设煤层厚度为h0,m;直接顶厚度为h1,m;充填体接顶区倾向长度为a,m;充填体非接顶区倾向长度为b,m;临空区倾向长度为c,m;回风巷与运输巷之间距离为L1,m;工作面长度为L,m;煤层倾角为α,(°);煤层与工作面走向夹角(伪斜角)为γ,(°);工作面倾角为β,(°),sin β=sin α×cos γ;充填体非接顶区上表面与水平方向的夹角(自然安息角)为φ,(°);充填体非接顶区上表面与垂向的夹角为
直接顶碎胀系数为k;沿走向取单位厚度1 m。
由图3中几何关系可得,垮落矸石量与充填体积之间关系为
(1)
“非接顶区”倾斜长度b为
(2)
将式(2)代入式(1),可得接顶区倾斜长度a为
(3)
进一步,可以得到采空区上部临空区倾斜长度c为
(4)
将sin β=sin αcos γ代入式(3)可得:

(5)
其中,工作面长度L随着工作面伪斜角γ的增大而不断增大:
(6)
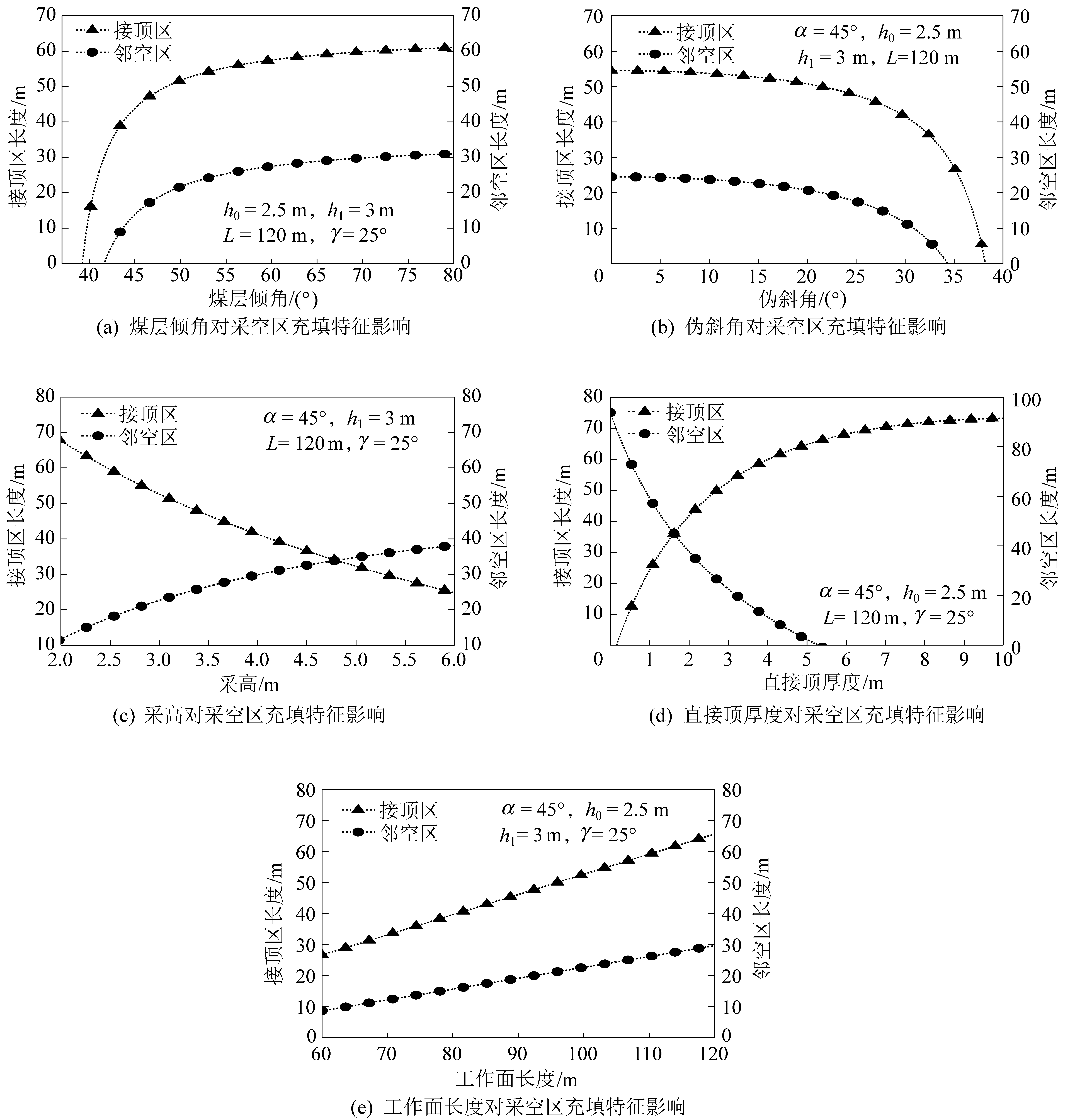
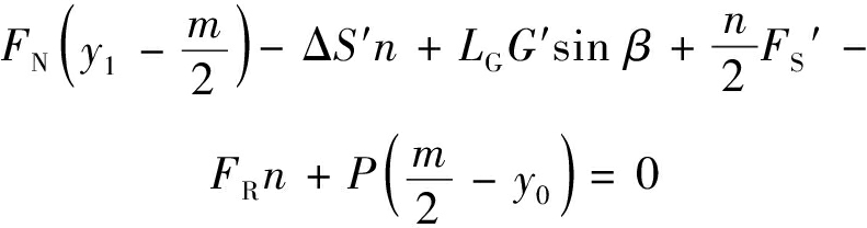
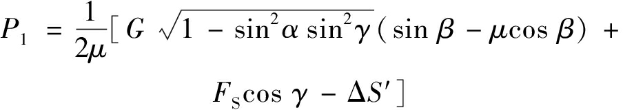
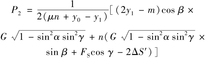
以3132工作面为工程背景,根据式(4)和式(5)分析煤层倾角α、伪斜角γ、煤层厚度h0、直接顶厚度h1以及工作面长度L对支架后方采空区充填特征的影响(图4)。模型中所需参数的取值根据3132工作面的具体工况选取,其基本参数取值为:k=1.3,φ=35°。
由图4可得:
1)随着煤层倾角α的增大,接顶区长度a和邻空区长度c皆呈对数形增长。当煤层倾角小于自然安息角(采用25°伪斜布置,煤层倾角为39.1°)时,a和c均小于0,采空区没有出现接顶区和邻空区;当煤层倾角稍大于自然安息角,矸石开始大量下滑,接顶区长度和临空区长度迅速增加(图4a),采空区中、下部区域被填满,上部区域顶板悬空,工作面支架受载呈现明显区域性特征。

图4 各影响因素与采空区充填特征之间关系
Fig.4 Relationship between influencing factors and goaf filling characteristics
2)当煤层倾角不变时,随着伪斜角γ的不断增大,工作面倾角β不断减小。当γ增大至临界伪斜角时,工作面倾角逐渐小于矸石自然安息角,顶板垮落后,矸石将堆积在支架后方不会向下滑移,采空区上部区域的倒三角形临空区面积随之不断减小,直至a和c数值小于0(图4b)。此时,支架后方采空区均为底板被矸石铺满的非接顶区,矸石滑移后会直接作用在支架尾部,给支架造成较大的扰动,工作面上、中、下部区域支架均易发生摆尾、扭转等现象。
3)随着采高的不断增大,矸石运移空间不断增大,在直接顶厚度(矸石量)保持不变的情况下,矸石所能填满的采场空间不断减小,临空区范围不断增大(图4c)。支架在采高变大、矸石充实区域变小时,更易发生倾倒和转动,架间作用明显。
4)由图4d、图4e可以看出,随着直接顶厚度和工作面长度的不断增大,垮落矸石的数量与运移空间均增大,采空区被充实的范围随之增大,但矸石量的增多也加剧了其对支架的作用影响;临空区长度随直接顶厚度的增大而减小,随工作面长度的增大而增大。
大倾角煤层采场中,采空区矸石的非对称堆积形态是影响支架稳定性的主要因素。充填体改变了顶板的受力条件与破断特征,使工作面支架的受载也呈现出非对称性和区域性特征。伪俯斜工作面中,由于工作面与巷道斜交,支架后方采空区的临空区面积会随着伪斜角的增大而不断减小,矸石在垮落和充填过程中对支架尾部产生的冲击作用和接触作用更加明显与强烈,影响工作面支架稳定状态。
如前所述,大倾角煤层伪俯斜采场中矸石滑移充填特征与普通真倾斜采场有较大差异:伪俯斜采场矸石堆积范围在走向上超前真倾斜工作面,支架后方采空区的临空区面积随着伪斜角的增大而不断减小,垮落矸石极易对工作面中下部区域的支架产生明显作用。这些差异使伪俯斜工作面“垂向-走向-倾向”维度上的“支架-围岩”系统相互作用关系与普通真倾斜采场有较大不同,尤其是垮落矸石对支架尾部的作用,对倾向“支架-围岩”系统的稳定有较大影响。

图5 支架下滑扭摆
Fig.5 Support sliding and twisting
一旦支架发生倒滑和扭摆将造成上下邻架间的“挤、咬”现象,造成支架拉移困难,易诱发顶板漏冒,最终有可能诱发工作面大范围的“支架-围岩”系统灾变,发生工作面整体推垮事故。
为进一步研究矸石充填影响下伪俯斜工作面 “支架-围岩”相互作用机理,将底板视为弹性地基,沿工作面伪斜方向建立平行四边形支架力学模型,如图6所示[22]。

图6 平行四边形支架力学模型
Fig.6 Mechanical model of parallelogram support
图6中,y轴沿伪斜方向向下,z轴垂直煤层向上,支架逆向转动为正。G为支架重力,kN;G′为支架重力在伪斜方向的分量;m为支架宽度,m;n为支架高度,m;LG为支架重心高度,m,取LG=n/2;P为工作面顶板对支架的法向载荷,kN;FR为工作面顶板对支架的切向载荷,即支架与顶板间摩擦力,kN;y0为顶板载荷作用位置,m;FN为底板对支架的法向载荷,kN;FF为底板对支架的切向载荷,即支架与底板间摩擦力,kN;μ为支架与顶底板间摩擦因数;y1为底板载荷作用位置,m;Sup和Sdown为相邻支架间作用载荷,
为相邻架间作用载荷在伪斜方向的分力;φ′、θ′为支架转角,(°);Fs、F′s为矸石对支架尾部的作用力和伪斜方向的分力,kN;Fm为煤壁对支架的作用力,kN;F为支架与煤壁之间的摩擦力,kN;l为矸石作用力到支架重心的力臂长度,m;M1为支架产生的抗扭力矩,kN·m;l1和l2为架间作用力到支架重心的力臂长度,m。
支架所受下滑力大于支架与底板间的最大静摩擦力FF,max时,支架滑移。由图6a可得支架处于临界下滑失稳状态时的平衡方程为
G′sin β-FR-ΔS′+F′S-FF,max=0
(7)
FR=μP
(8)
FF,max=μ(P+G′cos β)
(9)
当支架工作阻力过大时,支架下沉;当支架所受转动力偶大于其抗转动力偶时,支架发生转动。这里假设支架绕底座中点O转动,支架下沉以及处于临界转动失稳状态时的平衡方程为
FN-P-G′cos β=0
(10)

(11)
经计算可得
为架间作用力,![]()
整理化简式(7)—式(9)可得使支架保持稳定、不下滑失稳的临界阻力P1为

(12)
由式(10)和(11)可得使支架保持稳定、不发生转动的临界阻力P2为

(13)
如图6b所示,支架尾部受矸石作用力FS,使工作面不同区域的支架发生不同程度的扭摆现象。在支架发生转动的瞬间,支架所受架间力的作用位置可看做在顶梁两端,此时,支架与顶底板之间的摩擦力以及架间作用力会形成反扭矩以抵抗支架扭摆。
矸石作用力对支架的转矩为
M2=FSl
(14)
支架的抗扭力矩M1为
M1=FRl3+FFl4+ΔSl5
(15)
式中:l3、l4和l5分别为各作用力到支架重心的力臂长度。
伪俯斜工作面中,相比于矩形液压支架,平行四边形支架在发生同样的顺时针转动失稳时,由于顶梁形状的改变,架间力到支架重心的力臂长度l1和l2相对变长,架间力形成的抗扭力矩ΔSl5也相应变大,支架更容易保持稳定。但当支架倒滑时,煤壁对支架有作用力Fm的同时,支架顶梁前端与煤壁之间的接触和摩擦也极易使煤壁发生破坏,致使煤壁片帮。煤壁片帮产生的碎煤块可能会对下部区域的工作人员、支架以及其他采煤设备造成一定程度的损害,使工作面支架稳定性控制难度加大。
为保证支架能够及时调整位态、恢复稳定,由式(14)和式(15)可知,需增大M1以加强支架抗扭转能力。其中,FR和FF的大小和作用位置与支架工作阻力有关,在工程实践中应适当增大支架的工作阻力,并通过侧推千斤顶加大侧推力,加强支架的稳定性和调架能力,防止支架倒滑以及由支架倒滑引发安全事故。
在不考虑架间作用力和煤壁作用力的条件下,根据式(12)和式(13)可得确保支架不下滑和转动失稳的临界阻力随伪斜角γ以及矸石作用力FS的变化关系,结果如图7所示。模型中所需参数的取值根据3132工作面的具体工况选取,其基本参数取值为:G=180 kN,a=45°,m=1.6 m,n=2.5 m,μ=0.3。

图7 支架临界阻力随伪斜角和矸石作用力的变化关系
Fig.7 Variation of critical resistance of support with pseudo oblique angle and gangue force
由图7可以看出:
1)伪俯斜采场中确保支架不下滑失稳的临界阻力大于确保支架不转动失稳的临界阻力,且都远小于支架正常工作状态时的工作阻力。
2)在煤层倾角和伪斜角不变的情况下,支架临界阻力随着矸石作用力的增大而增大;在煤层倾角和外界作用力不变的情况下,支架临界阻力随着伪斜角的增大而减小。
3)由前述分析可知,矸石作用力FS对伪俯斜工作面中、下部区域的支架有较强作用,对上部区域支架影响最小。图7中,矸石作用力FS从小到大的变化可以看作是矸石对工作面上、中、下部区域支架不同程度的作用。当煤层倾角和伪斜角确定时,工作面中、下部区域的支架比上部区域支架需要更大的支撑阻力抵抗矸石的影响。
4)支架临界阻力与伪斜角近似为抛物线反比关系,工作面采用伪俯斜布置可以减小工作面倾斜角度,利于支架稳定,但同时需要配合使用平行四边形支架以及采取相应防倒滑措施以抵抗矸石对支架的冲击作用和接触作用。
3132工作面装备67个 ZZ6500/22/48 型掩护式液压支架和3个ZZG6500/22/48 过渡型支架。采用动态矿压检测仪观测工作面矿山压力,对工作面倾斜方向下部区域16号支架、中部区域32号支架、上部区域48号支架进行监测,并对数据进行统计处理,结果见表2。
表2 不同测区支架工作阻力
Table 2 Support resistance in different measured areas

测区及测点支架阻力区间/MPa工作阻力频率/%支架阻力平均值/MPa下部测区16号支架<62.866~124.1412~185.4218~2438.1524~3047.4130~362.0224.5中部测区32号支架<606~125.0012~186.2518~2421.8824~3031.2530~3735.6228.88上部测区48号支架<606~127.5012~1813.1318~2434.3824~3025.0030~3520.0027.17
现场监测结果显示:
1)下部测区16号支架最大荷载为31 MPa、平均荷载为24.5 MPa;中部测区32 号支架最大荷载为37 MPa、平均荷载为28.88 MPa;上部测区48号支架最大荷载为35 MPa、平均荷载为27.17 MPa。
2)支架受载呈现明显区域性特征。工作面倾向中部区域支架受载最大、上部次之、下部最小;中上部区域支架受载变化幅度大,工作面顶板破断程度剧烈,周期来压较为明显,易受垮落矸石冲击影响;下部区域受载变化幅度较小,“支架-围岩”系统较为稳定,支架工作阻力平稳。
1)伪俯斜采场矸石滑移充填经历初步充填下部区域→矸石倾向下滑→充填凹陷区域3个阶段,随着工作面推进,第2阶段与第3阶段交替循环。
2)采空区充填体接顶区长度随煤层倾角、直接顶厚度和工作面长度的增大而增大,随伪俯斜角和采高的增大而减小;邻空区长度随煤层倾角、采高和工作面长度的增大而增大,随伪俯斜角和直接顶厚度的增大而减小。接顶区和临空区长度的变化改变了顶板的受力条件与破断特征,支架受载呈现非对称性和区域性特征。
3)伪俯斜采场中,垮落矸石对支架尾部的冲击作用和接触作用更加明显,支架易发生摆尾、倾倒现象,影响支架系统稳定。平行四边形支架相比矩形支架更容易保持稳定,并应适当增大支架的工作阻力和侧推力,加强支架的稳定性和调架能力。
4)确保支架不下滑和转动失稳的临界阻力远小于支架正常工作状态时的工作阻力,且都随着矸石作用力的增大而增大,随着工作面伪斜角的增大而减小。工作面中、下部区域的支架比上部区域支架需要更大的支撑阻力抵抗矸石的影响;现场监测结果表明,支架受载呈现明显区域性特征,工作面倾向中部受载最大、上部次之、下部最小。
[1] 伍永平,贠东风,解盘石,等.大倾角煤层长壁综采:进展、实践、科学问题[J].煤炭学报,2020,45(1):24-34.
WU Yongping, YUN Dongfen, XIE Panshi,et al.Progress,practice and scientific issues in steeply dipping coal seams fully-mechanized mining[J].Journal of China Coal Society, 2020,45(1):24-34.
[2] 伍永平,刘孔智,贠东风,等.大倾角煤层安全高效开采技术研究进展[J].煤炭学报,2014,39(8):1611-1618.
WU Yongping, LIU Kongzhi, YUN Dongfeng, et al.Research progress on the safe and efficient mining technology of steeply dipping seam[J].Journal of China Coal Society, 2014, 39(8): 1611-1618.
[3] 贠东风,王 震,伍永平,等.大倾角特厚煤层工作面圆弧段割煤工艺仿真研究[J].煤炭科学技术,2019,47(4):50-56.
YUN Dongfeng,WANG Zhen,WU Yongping,et al.Simulation research on cutting process of arc section in working face with large dip angle and extra thick coal seam[J].Coal Science and Technology,2019,47(4):50-56.
[4] 罗生虎,田程阳,伍永平,等.大倾角煤层长壁开采顶板受载与变形破坏倾角效应[J].中国矿业大学学报,2021,50(6):1041-1050.
LUO Shenghu,TIAN Chengyang,WU Yongping.Obliquity effect of asymmetric deformation and failure of roof in longwall mining of steeply inclined seam[J].Journal of China University of Mining & Technology, 2021,50(6):1041-1050.
[5] 伍永平,解盘石,王红伟,等.大倾角煤层开采覆岩空间倾斜砌体结构[J].煤炭学报,2010,35(8):1252-1256.
WU Yongping, XIE Panshi, WANG Hongwei, et al.Incline masonry structure around the coal face of steeply dipping seam mining[J].Journal of China Coal Society, 2010, 35(8):1252-1256.
[6] WANG Hongwei, WU Yongping, XIE Panshi.Analysis of surrounding rock macro stress arch-shell of longwall face in steeply dipping seam mining[C]//47th US Rock Mechanics Geomechanics Symposium.San Francisco,2013, 3:1902-1907.
[7] 王红伟,伍永平,解盘石.大倾角煤层开采覆岩应力场形成及演化特征[J].辽宁工程技术大学学报(自然科学版),2013,32(8):1022-1026.
WANG Hongwei, WU Yongping, XIE Panshi.Formation and evolution characteristics of rock stress field in steeply dipping seam mining[J].Journal of Liaoning Technical University: Natural Science, 2013, 32(8): 1022-1026.
[8] 黄建功,楼建国.大倾角煤层走向长壁采面支架与围岩系统分析[J].矿山压力与顶板管理,2003(4):72-74.
HUANG Jiangong, LOU Jianguo.Analysis of support and surrounding rock system of longwall mining face in steeply dipping seam mining[J].Journal of Mining & Safety Engineering, 2003(4):72-74.
[9] 罗生虎,王 同,伍永平.大倾角煤层长壁开采围岩应力传递路径时空演化特征[J/OL].煤炭学报:1-11[2021-10-22].https://doi.org/10.13225/j.cnki.jccs.2021.1134.
LUO Shenghu, WANG Tong, WU Yongping, et al.Space-time evolution characteristics of stress transfer path of surrounding rock in longwall mining of steeply dipping seam[J/OL].Journal of China Coal Society:1-11[2021-10-22].https://doi.org/10.13225/j.cnki.jccs.2021.1134.
[10] 黄建功.大倾角煤层采场顶板运动结构分析[J].中国矿业大学学报,2002,31(5):74-77.
HUANG Jiangong.Analysis of roof movement structure in steeply dipping seam mining[J].Journal of China University of Mining & Technology, 2002,31(5):74-77.
[11] 解盘石,伍永平,张 浩,等.大倾角煤层长壁大采高综采支架动态载荷特征分析[J].煤炭科学技术,2016,44(4):101-105.
XIE Panshi, WU Yongping, ZHANG Hao, et al.Changeful load feature analysis of supports in longwall and large mining height fully-mechanized face of steeply dipping seam[J].Coal Science and Technology, 2016, 44(4):101-105.
[12] 伍永平,尹建辉,解盘石,等.大倾角煤层长壁开采矸石滑移充填效应分析[J].西安科技大学学报,2015,35(5):529-533.
WU Yongping, YIN Jianhui, XIE Panshi, et al.Analysis of slipping gangue filling effect in mining steeply dipping seam[J].Journal of Xi’an University of Science and Technology, 2015,35(5):529-533.
[13] 解盘石,伍永平,王红伟,等.大倾角煤层大采高综采围岩运移与支架相互作用规律[J].采矿与安全工程学报,2015,32(1):14-19.
XIE Panshi, WU Yongping, WANG Hongwei, et al.Interaction characteristics between strata movement and support system around large mining height fully-mechanized face in steeply inclined seam[J].Journal of Mining & Safety Engineering,2015,32(1):14-19.
[14] LUO Shenghu, WANG Tong, WU Yongping, et al.Internal mechanism of asymmetric deformation and failure characteristics of the roof for longwall mining of a steeply dipping coal seam[J].Archives of Mining Sciences, 2021, 66(1):101-124.
[15] WANG Jinan, JIAN Junling.Criteria of support stability in mining of steeply inclined thick coal seam[J].International Journal of Rock Mechanics and Mining Sciences,2016,82:22-35.
[16] 伍永平,刘旺海,解盘石,等.大倾角煤层长壁伪俯斜采场围岩应力演化及顶板破断特征[J].煤矿安全,2020,51(9):222-227.
WU Yongping, LIU Wanghai, XIE Panshi, et al.Stress evolution and roof breaking characteristics of surrounding rock in oblique longwall mining area of steeply dipping seam[J].Safety in Coal Mines, 2020,51(9):222-227.
[17] 解盘石,田双奇,段建杰.大倾角伪俯斜采场顶板运移规律实验研究[J].煤炭学报,2019,44(10):2974-2982.
XIE Panshi, TIAN Shuangqi, DUAN Jianjie.Experimental study on the movement law of roof in pitching oblique mining area of steeply dipping seam[J].Joumal of China Coal Society, 2019,44(10):2974-2982.
[18] 房 局.急倾斜俯伪斜采场顶板破断特征及矿压规律研究[D].重庆:重庆大学,2018.
FANG Ju.Research on roof breaking characteristics and law of mine pressure in steep bow pseudo-inclined seam[D].Chongqing :Chongqing University, 2018.
[19] 肖家平,刘 帅,池小楼.近距离采空区下大倾角俯伪斜工作面矿压显现特征研究[J].煤炭工程,2019,51(6):93-98.
XIAO Jiaping, LIU Shuai, CHI Xiaolou.Characteristics of strata behavior in large inclined angular pseudo-inclined face under complicated conditions[J].Coal Engineering,2019,51(6):93-98.
[20] 杨胜利,赵文斌,李良晖.急倾斜煤层伪俯斜走向长壁工作面煤壁破坏机理[J].煤炭学报,2019,44(2): 367-376.
YANG Shengli, ZHAO Wenbin, LI Lianghui.Coal wall failure mechanism of longwall working face with false dip in steep coal seam[J].Journal of China Coal Society, 2019, 44(2):367-376.
[21] 余 熠.伪俯斜工作面采场覆岩受力研究[J].煤炭技术,2009,28(1):50-52.
YU Yi.Study on mechanical behaviors of overlying strata in oblique face[J].Coal Technology,2009,28(1):50-52.
[22] 龙驭球.弹性基地梁的计算[M].北京: 人民教育出版社, 1981.