巷道围岩蠕变特性及非定常蠕变模型研究

鲁明星,马占武,田 帅

(辽宁科技大学 土木工程学院, 辽宁 鞍山 114051)

摘 要:为研究巷道围岩在不同围压特性条件下的蠕变特性,采用MTS812.02试验系统对取自阜新恒大煤矿的砂岩进行三轴蠕变试验。以西原模型为基础,通过引入影响损伤程度系数对蠕变模型的参数非定常化,分别对弹性蠕变、黏弹性蠕变和黏塑性蠕变进行积分求解,运用流变模型串联理论得到改进后的西原蠕变模型,将模型代入到Origin拟和软件中,采用最小二乘法对蠕变模型的参数进行识别,对试验数据和模型曲线进行对比,验证建立蠕变模型的正确性。结果表明:围压的增大,提升了岩石的蠕变承载能力,使加速蠕变启动时间延后,并且延长了岩石的破坏持续时间;当轴向荷载较小时,只有衰减蠕变阶段存在,蠕变迅速趋于稳定;当轴向荷载较大时,蠕变曲线经过先上凸后转变为直线,衰减蠕变阶段和稳定蠕变阶段都比较明显;当轴向荷载加大到破坏荷载时,蠕变的3个阶段都出现;围压为10 MPa和15 MPa时,岩石的轴向等时应力-应变曲线在应力水平分别在为60 MPa和80 MPa时开始出现明显的发散,说明了蠕变由线性转变为非线性;建立的非定常蠕变本构模型不仅可以很好地对砂岩的蠕变三阶段进行描述,而且也弥补了西原体难以描述加速蠕变特性的缺点;试验数据和模型曲线具有较好的拟合度,说明了通过对西原体参数的非定常化改进是正确的、合理的。

关键词:围岩蠕变;西原模型;非定常蠕变;巷道变形;加速蠕变

0 引 言

随着开采规模和开采深度的增大,矿井岩体系统失稳灾害发生频度和规模均呈增大趋势,而这种岩体系统灾害形式主要表现为流变。因此,研究岩石在外部荷载作用下的流变力学特性,建立岩石流变机理理论,对深部围岩支护具有重要的指导价值[1-3]。另外,随着开采深度的加深,巷道在高地应力、高孔隙水压力和高温条件下开挖和支护难度越来越大。深部围岩的变形破坏主要是在流固耦合作用下发生的蠕变破坏,所以对岩体蠕变破坏机理的研究具有重要意义[4-5]。近年来,力学试验设备和技术迅速发展,众多学者对岩石蠕变进行了一系列研究并取得许多成果。杜超等[6]对湖北云应矿业技术开发有限公司的盐岩开展三轴蠕变试验,发现稳态蠕变速率随着围压升高而减小,得出盐岩的蠕变变形由应变硬化和应变软化2个机制共同决定,将内应力作为内变量来描述这种内部微观结构的演化过程效果很好。孙金山等[7]利用二维颗粒流数值模拟方法对岩石的蠕变损伤和断裂的细观力学机制进行了分析,得出荷载大小对岩样的损伤演化过程影响程度与时间有关;在稳定演化阶段的后期至断裂过程中,低荷载下岩样的损伤增速比高荷载下快。王军保等[8]针对江苏淮安盐岩展开三轴压缩分级加载蠕变试验,基于非线性流变力学理论,建立可以描述盐岩非线性蠕变特性的MBurgers模型,并用该模型对其参数进行反演识别。尹光志等[9]利用自主研发的煤岩流变仪,对煤层顶底板岩石展开卸围压及周期加载蠕变试验,基于试验结果建立了在采动影响下的覆岩蠕变损伤模型。采用MTS815.02岩石试验系统,以阜新恒大煤矿巷道砂岩为试验对象,进行2组三轴压缩蠕变试验。

基于试验结果,探讨不同围压作用下巷道围岩的一些主要流变特性,掌握该类岩石蠕变破坏过程的基本规律,然后以西原模型为基础,采用参数非定常化对西原模型进行改进,最终采用最小二乘法对蠕变参数进行识别,通过试验数据和模型曲线的对比,验证建立蠕变模型的正确性。

1 蠕变试验分析

1.1 岩石试样制备及试验方案

试验中所用的砂岩岩样取自阜新市高德煤矿深部巷道围岩,埋深大于850 m。依据国际岩石力学学会(ISRM)试验规程,将试件制成直径为50 mm、高度为100 mm的圆柱体;为尽可能地减小误差,利用SHM-200型双端面磨石机对试样两端面进行打磨,两端面不平行度和不平整度误差均小于0.05 mm。岩样呈浅灰色,质地均匀,表面没有肉眼可见裂隙,其中部分试样如图1所示。

图1 部分试样

Fig.1 Part of samples

为保证试验的可行性,采用分级加载的方式,分级荷载依次增加10 MPa;具体步骤为:设定位移上限,采用荷载控制方式以500 N/s的速率进行加载,先将围压和轴向荷载加载至预定荷载,保持围压不变,然后加载下一级轴向荷载,各级荷载持续时间为蠕变变形达到稳定蠕变时或试样破坏。

1.2 岩石蠕变试验结果分析

采用Boltzmann叠加原理[10],将蠕变全过程阶梯形曲线转化为各阶段的蠕变曲线,如图2所示。

由图2可知,当轴向荷载较小时,只有衰减蠕变阶段存在,蠕变迅速趋于稳定;当轴向荷载较大时,蠕变曲线经过上凸后转变为直线,衰减蠕变阶段和稳定蠕变阶段都比较明显;当轴向荷载加大到破坏荷载时,蠕变的3个阶段都出现。围压10 MPa条件下的蠕变试验加载到第4阶段,即轴向荷载为80 MPa就发生加速蠕变破坏;而围压为15 MPa条件下的蠕变试验加载到第5阶段,即轴向荷载为100 MPa才发生破坏,随着围压的增大,加速蠕变启动时间也在延后,在围压为10 MPa条件下,加速蠕变出现在第4阶段3 h处,持续1 h发生破坏;而在围压为15 MPa岩石的加速蠕变启动时间为第5阶段的6.5 h处,持续3.5 h发生破坏。说明围压的增大,提升了岩石的蠕变承载能力,使加速蠕变启动时间延后,且延长了岩石破坏持续时间。

图2 轴向蠕变历时曲线

Fig.2 Axial creep duration curve

2 非线性蠕变模型的建立

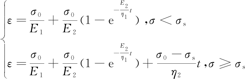
根据流变力学理论[11-12],确定西原体的蠕变方程为

(1)

式中:σ为应力;σs为屈服应力;σ0为施加的应力;ε为蠕变应变;t为蠕变时间;E1为弹性体弹性模量;E2为黏弹性体弹性模量;η1为黏弹性体黏滞性系数;η2为黏塑性体黏滞性系数。

传统的西原模型之所以不能够准确地描述岩石各蠕变阶段变形特征,在于其将岩石视为理想流体,认为在蠕变过程中,黏弹性系数和黏滞系数是固定的,即为定常参数。实际上,在岩石蠕变过程中,原生裂隙逐渐被压密闭合,新生裂隙萌生、扩展和贯通,岩石的力学性能逐渐劣化,此时黏弹性系数和黏滞系数为时间的函数。

岩石在蠕变过程中的损伤变量D与时间呈现负指数关系[13],即

D=1-exp(-αt)

(2)

式中:α为影响损伤程度的系数。

假设广义开尔文体模型的参数的劣化程度一致,故将广义开尔文体模型中参数变成非定常参数后,得到

(3)

式中:α1为广义开尔文体的影响损伤程度系数;为蠕变应变率。

将式(3)进行积分求解后得出,非定常化参数的广义开尔文体模型蠕变εK

(4)

当材料所受的应力σ小于屈服应力σs时,黏壶不会产生变形,即黏壶的蠕变应变εN=0;当材料所受的应力σ大于屈服应力σs时,黏壶才会产生变形,故将黏壶参数非定常化后得到黏壶的本构方程为

(5)

式中:α2为黏壶的影响损伤程度系数。

将式(3)积分后得出黏壶的蠕变应变εN

(6)

而弹性体在外界荷载作用下的蠕变过程中,其弹性参数不受时间的影响,即弹性体的蠕变方程为

εe=σ/E1

(7)

由于岩石在一维状态下的蠕变应变ε

ε=εe+εve+εvp

(8)

式中:εe为弹性应变;εve为黏弹性应变;εvp为黏塑性应变。

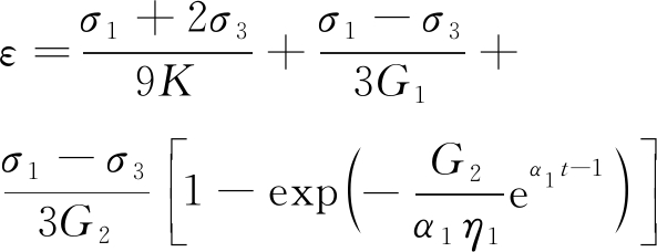
将式(4)—式(7)代入到式(8)中得到一维状态下岩石的蠕变本构模型为

σσs时,

(9)

σ>σs时,

(10)

一般在巷道开采时,围岩处于三向受力状态,故一维蠕变本构模型不能较好解决实际问题,需要将一维模型推广至三维蠕变模型,其变化规律可以更好地描述岩石的蠕变规律。其中,弹性应变和黏弹性应变可以通过类比法[14]进行推导,而黏塑性应变必须通过屈服函数才能进行三维的推导。

一般情况下,选择德鲁克普拉格屈服函数[15]

(11)

式中:F为屈服强度;J2为应力第二不变量。

通过类比法得到三维状态下的弹性应变

(12)

式中:σ1为最大主应力;σ3为最小主应力(围压);K为体积模量;G1为剪切模量。

三维状态下的黏弹性应变

(13)

式中:G2为黏弹性剪切模量。

三维状态下的黏塑性应变

(14)

将屈服函数代入式(14)中得到

(15)

由于岩石在三维状态下的蠕变应变εij

(16)

式中:为弹性应变(三维状态);为黏弹性应变(三维状态);为黏塑性应变(三维状态);σij为三维应力。

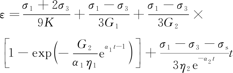
将式(12)—式(15)代入到式(16)中得到三维状态下岩石的蠕变本构模型为

σσs时,

(17)

σ>σs时,

(18)

3 改进的蠕变模型的验证

通过对蠕变试验分阶段蠕变曲线资料的进一步整理和分析,得到砂岩的轴向等时应力-应变曲线如图3所示(以围压10 MPa和围压15 MPa为例)。

图3 等时应力-应变曲线

Fig.3 Isochronic stress-strain curve

由图3可知,等时应力-应变曲线由一簇折线组成,并且在某个荷载作用下开始明显发散,即曲线由线性转化为非线性。围压分别为10 MPa和15 MPa时,岩石的轴向等时应力-应变曲线在应力水平分别在为60 MPa和80 MPa时开始出现明显的发散,并且在发散之前,其几乎成线性关系增长,说明蠕变由线性转变为非线性,并且大幅度的增长,最终导致试件破坏。故可以认为岩石在围压10 MPa和15 MPa时的长期强度分别为60 MPa和80 MPa。

根据试验得到试件的瞬时体积应变,然后根据式(19)确定出岩石的初始体积模量K0,即

K0=σm/3εm=σmv

(19)

式中:σm为应力球张量;εm为应变张量;εv为体积应变。

求出在各级荷载作用下的初始体积模量K0,然后将K0代入式(20)得到瞬时剪切模量G0

(20)

式中:ε0为瞬时应变。

采用Origin9.0软件对蠕变曲线进行拟合,即通过最小二乘法对改进后的蠕变模型进行拟合[16],得到蠕变参数见表1(以围压15 MPa为例,图4b)。

表1 蠕变参数拟合值

Table 1 Fitting values of creep parameters

σ1/MPa60708090100G1/GPa8.818.627.867.537.48K/GPa7.377.216.576.306.25G2/GPa13.313.0211.8611.3711.29η1/(GPa·h)937.91 211.51 457.462 016.321 369.14η2/(GPa·h)——12 387.3916 753.3914 427.48α12.492.242.052.011.81α2——0.510.760.64

将表1中的蠕变参数值代入到改进后的西原模型中,得到的试验曲线与模型曲线的对比关系如图4所示。

图4 蠕变试验曲线和模型曲线对比

Fig.4 Comparison of test and model curves of creep

由图4可知,试验数据和模型曲线具有较好的拟合度,说明了改进的西原模型不仅可以很好地对砂岩的蠕变三阶段进行描述,而且也弥补了西原体难以描述加速蠕变特性的缺点,同时也证明了通过对西原体进行非定常化的改进是正确的、合理的,可较好地预测各阶段蠕变变形的规律。

4 结 论

1)围压的增大,提升了岩石的蠕变承载能力,使加速蠕变启动时间延后,并且延长了岩石的破坏持续时间。

2)通过将塑性体的牛顿黏壶和黏弹性体的牛顿黏壶、弹簧的蠕变参数非定常化后,建立了非定常蠕变本构模型,该模型不仅可以很好地对砂岩的蠕变三阶段进行描述,而且也弥补了西原体难以描述加速蠕变特性的缺点。

3)试验数据和模型曲线具有较好的拟合度,说明了通过对西原体参数的非定常化改进是正确的、合理的,可较好地预测各阶段蠕变变形的规律。

参考文献(References):

[1] 孙 钧.岩石蠕变力学及其工程应用研究的若干进展[J].岩石力学与工程学报,2007,26(6):1081-1106.

SUN Jun. Rock rheological mechanics and its advance in engineering applications[J]. Chinese Journal of Rock Mechanics and Engineering,2007,26(6):1081-1106.

[2] 宋锦虎,贺瑞霞,白 哲,等.深部应力集中区巷道变形规律的模拟研究[J]. 金属矿山,2009(11):119-123.

SONG Jinhu,HE Ruixia,BAI Zhe,et al. Deformation law simulation of deep tunnel in stress concentration zone[J]. Metal Mine,2009(11):119-123.

[3] 陈晓祥,勾攀峰,范增哲,等.深井高应力高突区域回采巷道变形特征及控制[J].采矿与安全工程学报,2013,5(3):363-368.

CHEN Xiaoxiang,GOU Panfeng,FAN Zengzhe,et al. Deformation characteristics and controlling of tailgate in high stress high gas and outburst region of deep mine[J]. Journal of Mining & Safety Engineering,2013,5(3):363-368.

[4] 杨晓杰,庞杰文,张保童,等.回风石门软岩巷道变形破坏机理及其支护对策[J].煤炭学报,2014,39(6):1000-1008.

YANG Xiaojie,PANG Jiewen,ZHANG Baotong,et al. Deformation and failure mechanism and support measures of the soft rock roadway n the air return laneway[J]. Journal of China Coal Society,2014,39(6):1000-1008.

[5] 范庆忠,高延法,崔希海,等.软岩非线性蠕变模型研究[J].岩土工程学报,2007,3(4):505-509.

FAN Qingzhong,GAO Yanfa,CUI Xihai,et al. Study on nonlinear creep model of soft rock[J]. Chinese Journal of Geotechnical Engineering,2007,3(4):505-509.

[6] 杜 超,杨春和,马洪岭,等. 深部盐岩蠕变特性研究[J]. 岩土力学,2012,8(33):2451-2456.

DU Chao,YANG Chun,MA Hong Ling,et al.Study of creep characeristics of deep rock salt [J]. Rock and Soil Mechanics,2012,8 (33):2451-2456.

[7] 孙金山,陈 明,姜清辉,等. 锦屏大理岩蠕变损伤演化细观力学特征的数值模拟研究[J]. 岩土力学,2013,12(34):3601-3608.

SUN Jinshan,CHEN Ming,JIANG Qinghui,et al. Numerical simulation of mesomechanical characteristics of creep demage evolution for Jingping marble[J]. Rockand Soil Mechanics,2013,34(12):3601-3608.

[8] 王军保,刘新荣,郭建强,等. 盐岩蠕变特性及其非线性本构模型[J]. 煤炭学报,2014,39(3):445-451.

WANG Junbao,LIU Xinrong,GUO Jianqiang,et al. Creep properties of salt rock and its nonlinear constitutive model [J]. Journal of China Coal Society,2014,39(3):445-451.

[9] 尹光志,何 兵,王 浩, 等. 深部采动影响下覆岩蠕变损伤破坏规律[J]. 煤炭学报,2015,40(6):1390-1395.

YIN Guangzhi,HE Bing,WANG Hao,et al. Damage law of overlying rock induced by mining[J]. Journal of China Coal Society,2015,40 (6):1390-1395.

[10] 张治亮,徐卫亚,王 伟. 向家坝水电站坝基挤压带岩石三轴蠕变试验及非线性黏弹塑性蠕变模型研究[J].岩石力学与工程学报,2011,30(1):132-140.

ZHANG Zhiliang,XU Weiya,WANG Wei. Study of triaxial creep tests and its nonlinear visco-elastoplastic creep model of rock from compressive zone of dam foundation inXiangjiaba hydropower station [J]. Chinese Journal of Rock Mechanics and Engineering,2011,30(1):132-140.

[11] 何志磊,朱珍德,朱明礼,等.基于分数阶导数的非定常蠕变本构模型研究[J]. 岩土力学,2016,37(3):737-744.

HE Zhilei,ZHU Dezhen,ZHU Mingli,et al.An unsteady creep constitutive model based on fractional order derivatives[J].Rock and SoilMechanics,2016,37(3):737-744.

[12] 韩 阳,谭跃虎,李二兵,等.岩石非定常 Burgers 蠕变模型及其参数识别[J].工程力学,2018,35(3):201-217.

HAN Yang,TAN Yuehu,LI Erbin,et al.Non-stationary Burgers creep model of rock and its parameter identification[J].Engineering Mechanics,2018,35(3):201-217.

[13] 张树光,孙成鑫,王有涛,等.海棠山隧道砂岩变参数蠕变特性研究[J].公路交通科技,2016,33(10):105-110.

ZHNAG Shuguang,SUN Chengxin,WANG Youtao,et al.Study on variable parameter creep characteristics of sandstone in Haitangshan Tunnel[J].Journal of Highway and Transportation Research and Development,2016,33(10):105-110.

[14] 刘保国,崔少东.单试件法测定岩石强度参数的修正方法[J].土木工程学报,2011,44(S1):162-165.

LIU Baoguo,CUI Shaodong.Improvement of single specimen method for determination of rock strength parameters[J].China Civil Engineering Journal,2011,44(S1):162-165.

[15] 刘保国,崔少东.泥岩蠕变损伤试验研究[J].岩石力学与工程学报,2010,29(10):2127-2133.

LIU Baoguo,CUI Shaodong. Experimental study of creep damage of mudstone[J]. Chinese Journal of Rock Mechanics and Engineering,2010,29(10):2127-2133.

[16] 蒲成志,曹 平,张春阳.考虑时效损伤劣化的变参数非线性蠕变损伤模型[J].工程力学,2017,34(6):17-27.

PU Chengzhi,CAO Ping,ZHANG Chunyang,et al.Variable parameters non-linear creep damage model of Rock with consideration of aging,damage and deterioration[J].Engineering Mechanics,2017,34(6):17-27.

[17] 沈明荣.岩体力学[M].上海:同济大学出版社,1999.

[18] 肖世武,周 雄,胡小玲,等. 分数阶导数线性流变固体模型及其应用[J]. 工程力学,2012,29(10):354-358.

XIAO Shiwu,ZHOU Xiong,HU Xiaoling,et al. Linear rheological solid model with fractional derivative and itsapplication [J]. Engineering Mechanic,2012,29(10):354-358.

[19] 丁志坤,吕爱钟. 岩石黏弹性非定常蠕变方程的参数识别[J]. 岩土力学,2004,25(S1):37-40.

DING Zhikun,LU Aizhong. Parameter identification of non-stationary creep equation of rocks[J]. Rock and Soil Mechanics,2004,25(S1):37-40.

[20] 蔡 煜,曹 平.基于Burgers模型考虑损伤的非定常岩石蠕变模型[J]. 岩土力学,2016,10(S2):370-374.

CAI Yu,CAO Ping.A non-stationary model for rock creep considering damage based on Burgers model[J]. Rock and Soil Mechanics,2016,10(S2):370-374.

Study on creep characteristics and unsteady creep model of roadway surrounding rock

LU Mingxing,MA Zhanwu,TIAN Shuai

(School of Civil Engineering,University of Science and Technology Liaoning,Anshan 114051,China)

Abstract:In order to study the creep behaviors of the surrounding rock under different confining pressure characteristics, the triaxial creep test of sandstone taken from Fuxin Hengda Coal Mine was carried out by MTS812.02 test system. Based on the Nishihara model, the parameters of the creep model were made unsteady by introducing the coefficients affecting the degree of damage, and the elastic creep, viscoelastic creep and viscoplastic creep were integrated respectively, and the improved Nishihara creep model was obtained by using the rheological model series theory. The model was substituted into the Origin fitting software, and the least square method was used to identify the parameters of the creep model, and the test data and the model curve were compared to verify the correctness of the creep model. The results show that the increase of confining pressure increases the creep bearing capacity of the rock, delays the acceleration creep start time, and prolongs the duration of rock failure. When the axial load is small, only the decay creep stage exists, and the creep tends to be stable. When the axial load is large, the creep curve is first convex and then transformed into a straight line, attenuating the creep phase and stabilizing the creep. The variable phases are more obvious. When the axial load is increased to the breaking load, the three stages of creep appear. When the confining pressure is 10 MPa and 15 MPa, the axial isochronous stress-strain curve of the rock begins to diverge obviously when the stress level is 60 MPa and 80 MPa respectively, indicating that the creep changes from linear to nonlinear. The established unsteady creep constitutive model can not only describe the creep three stages of sandstone well, but also make up for the disadvantage that it is difficult to describe the accelerated creep characteristics. The experimental data and the model curve have a good fitting degree, which indicates that the improvement of the unsteady parameter of the Nishihara creep model is correct and reasonable.

Key words:surrounding rock creep; Nishihara model; unsteady creep; roadway deformation; accelerated creep

中图分类号:TD353

文献标志码:A

文章编号:0253-2336(2021)08-0067-06

移动扫码阅读

鲁明星,马占武,田 帅.巷道围岩蠕变特性及非定常蠕变模型研究[J].煤炭科学技术,2021,49(8):67-72.doi:10.13199/j.cnki.cst.2021.08.008

LU Mingxing,MA Zhanwu,TIAN Shuai.Study on creep characteristics and unsteady creep model of roadway surrounding rock[J].Coal Science and Technology,2021,49(8):67-72.doi:10.13199/j.cnki.cst.2021.08.008

收稿日期:2021-01-12

责任编辑:朱恩光

基金项目:辽宁科技大学校青年基金资助项目(2020QN10)

作者简介:鲁明星(1993—),女,辽宁鞍山人,助理工程师,硕士。E-mail:346729207@qq.com