我国地下煤矿冲击地压和煤与瓦斯突出灾害十分严重[1-3]。浅部开采时,通常表现为2种灾害单一发生,具有冲击危险性的矿井为冲击地压矿井,具有突出危险性的矿井为煤与瓦斯突出矿井[4-6]。随着开采深度增大,高瓦斯矿井、煤与瓦斯突出矿井动力灾害表现形式发生了显著变化,既表现出冲击地压的部分特征[7-10],又表现出煤与瓦斯突出的部分特征,不能界定为单一灾害类型,称为冲击地压-瓦斯突出复合灾害[11-12]。
平顶山十矿2007年“11·12”事故,吨煤瓦斯涌出量仅为20 m3,远小于通常煤与瓦斯突出事故的80~150 m3,2 h后回风巷瓦斯体积分数最高为8.37%,远低于通常煤与瓦斯突出事故的80%~100%,事故点附近区域矿压显现明显,支柱断折,巷道底板出现大量裂缝,为应力主导的煤与瓦斯突出事故,即冲击地压-瓦斯突出复合灾害事故。鹤岗峻德煤矿、阜新恒大煤矿、抚顺老虎台煤矿等均发生过类似动力显现。
佩图霍夫[13]指出既有冲击危险又有突出危险的煤层非常常见,需要考虑其安全开采问题,将冲击地压和煤与瓦斯突出2种现象进行统一研究。章梦涛等[14]认为冲击地压是无瓦斯作用的突出,突出是瓦斯作用不可忽略的冲击地压,提出了冲击地压、煤与瓦斯突出统一失稳理论,建立了统一发生判据。梁冰等[15]采用内时理论建立了煤与瓦斯耦合作用的本构关系和固流耦合失稳理论的数学模型。李铁等[16]提出煤炭深部开采冲击地压的发生与瓦斯密切相关,冲击地压孕育过程中有高压瓦斯参与,存在一种开挖卸荷和瓦斯解吸膨胀耦合作用的冲击地压。李忠华[17]提出瓦斯抽采造成瓦斯灾害向冲击地压灾害的转变,冲击地压的频度和强度均明显增加,控制瓦斯抽采量可达到既降低瓦斯突出危险又避免冲击地压发生的目的。王振等[18]分析了高瓦斯煤层冲击地压和煤与瓦斯突出的异同点,讨论了2种灾害的诱发转化机制,提出了2种灾害在孕育过程中的诱发转化条件。尹万蕾等[19]分析了高瓦斯煤层冲击地压发生条件,并研究了其影响因素。潘一山[4]提出冲击地压-瓦斯突出复合灾害的概念,揭示了复合灾害发生的统一机理,在冲击地压扰动响应判别准则[20]基础上建立了冲击地压-瓦斯突出复合灾害统一失稳判别准则。
笔者基于以上研究成果,以高瓦斯煤层中开挖的圆形断面巷道为例,采用文献[4]建立的冲击地压-瓦斯突出复合灾害统一失稳判别准则,通过解析分析,研究冲击地压-瓦斯突出复合灾害的发生条件及其影响因素,为进一步研发冲击地压-瓦斯突出复合灾害预测方法与防治技术奠定理论基础,指导冲击地压-瓦斯突出复合灾害防治的工程实践。
在埋深为Ho的高瓦斯厚煤层中开挖半径为a的圆形断面巷道。假设原岩应力为
为上覆岩层压力,煤层埋深较大,Ho≥20a;原始瓦斯压力为po。假设巷道围岩为均匀、连续、各向同性的孔隙介质,有效应力系数α为常数(图1)。
图1 计算模型
Fig.1 Computation model
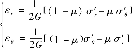
假设巷道无限长,忽略围岩自重,沿轴向取单位长度的巷道进行研究,其为轴对称平面应变问题。以巷道中心O为原点,建立极坐标系(r,θ)。设巷道围岩的径向应力为σr、环向应力为σθ,径向有效应力为σ′r、环向有效应力为σ′θ,径向应变为εr,环向应变为εθ,径向位移为u,由于对称性,各变量均与θ无关,均为r的函数。
假设巷道掘进后其影响范围为r=b,且b>a,煤层瓦斯压力p的分布规律为
(1)
式中:
为巷道内壁r=a处的瓦斯压力;pb为r=b处的瓦斯压力;当b→∞时,pb=po。
由太沙基有效应力原理,得
则煤体骨架的平衡方程为
(2)
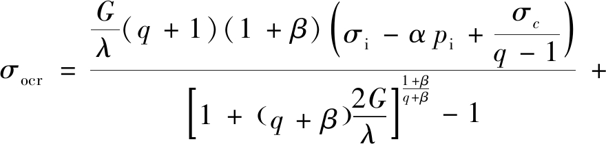
几何方程为
(3)
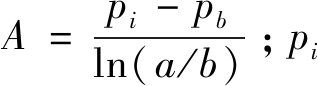
边界条件为
式中σi为巷道内壁r=a处的支护阻力;σb为r=b处的径向应力;当b→∞时,σb=σr(∞)=σo。
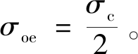
设σe为弹性极限载荷。当σo<σe时,巷道围岩发生弹性变形;当σo=σe时,巷道内壁开始屈服;当σo>σe时,巷道内壁附近出现塑性变形区。
设煤的弹性模量为E,泊松比为μ,剪切弹性模量
则本构方程为
(4)
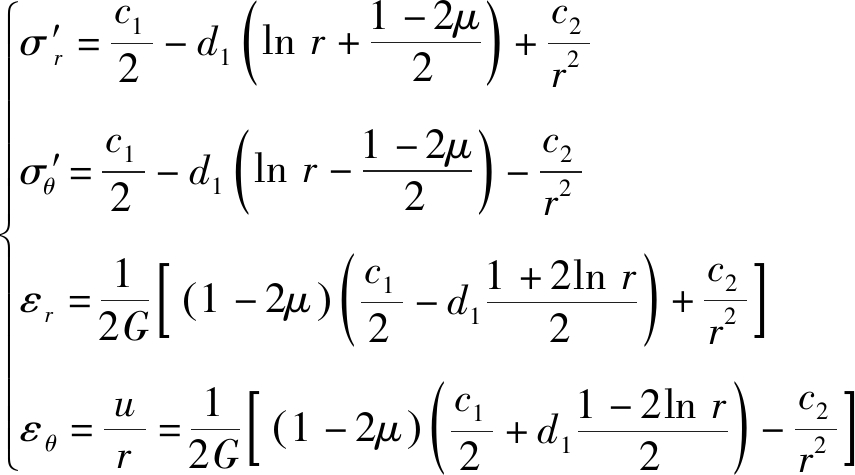
由式(1)—式(4),结合边界条件,解得
(5)
式中:![]()
屈服条件采用Mohr-Coulomb准则
σθ′=qσr′+σc
(6)
式中:
为煤的单轴抗压强度;C为煤的黏聚力;φ为煤的内摩擦角。
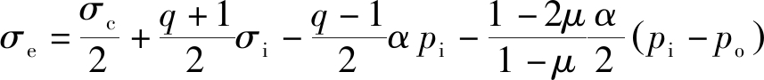
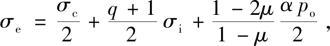
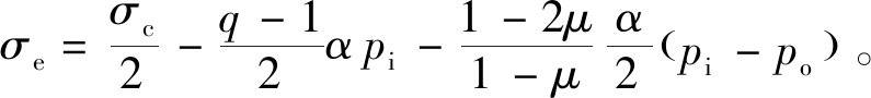
当r=a处满足屈服条件时达到弹性极限状态,令b→∞,得弹性极限载荷σe为
(7)
弹性极限载荷σe由3个部分组成,式(7)中第1项
为巷道围岩性质因素,第2项
为支护因素,后2项
为瓦斯压力因素。
支护阻力提高了弹性极限载荷。无支护时,![]()
取pi=0,得
说明瓦斯压力也提高了弹性极限载荷。当不考虑瓦斯压力因素时,![]()
如果既无支护,也不考虑瓦斯压力,则![]()
当σo>σe时,巷道内壁附近出现塑性变形区,设塑性变形区半径为R。
1)弹性变形区:R≤r≤b。
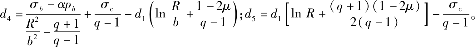
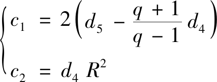
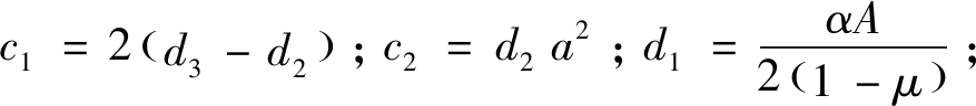
由式(1)—式(4),解得弹性变形区的应力、应变和位移分布规律与式(5)具有相同表达式,但c1、c2不同。由r=b处的边界条件σ′r(b)=σb-αpb,及r=R处满足屈服条件σ′θ(R)=qσ′r(R)+σc,得
(8)
式中:
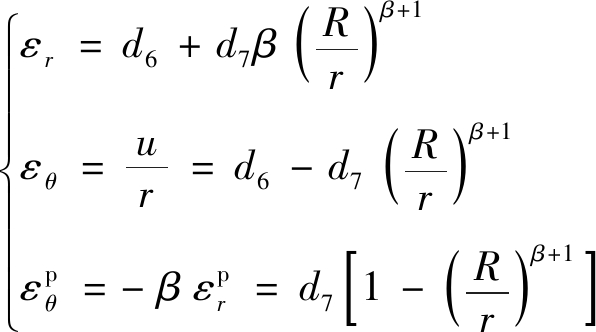
2)塑性变形区:a≤r≤R。
将塑性区应变分解为弹性应变
与塑性应变
之和
假设弹性应变沿径向不变,即
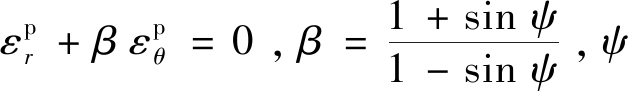
考虑剪胀特性,
为剪胀角。由几何方程式(3),得
(9)
式中:![]()
对式(9)积分,由r=R处位移连续条件,得
(10)
式中:![]()
塑性区煤体具有应变软化性质,由文献[22],假设煤的强度
随塑性应变
增长而按线性规律降低,即
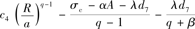
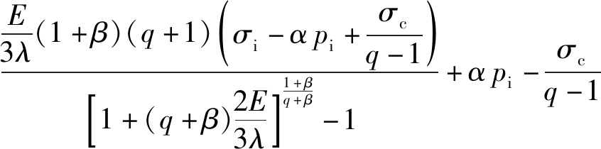
称为降模量,则由式(10)得后继屈服条件为
(11)
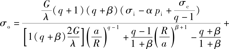
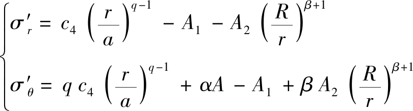
代入平衡方程,并由边界条件σ′r(a)=σi-αpi,得
(12)
式中:![]()
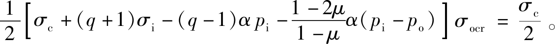
由r=R处应力连续条件,得塑性变形区半径R满足下式:
(13)
巷道煤岩变形系统由弹性变形区和塑性变形区组成。由于煤岩材料具有应变软化性质,塑性区的煤岩强度随应变的增加而降低,该煤岩变形系统的平衡状态是非稳定的。当外部载荷足够大时塑性区的大小达到临界范围,在外部扰动作用下,该煤岩变形系统将会失稳而发生复合灾害。因此,该煤岩变形系统的失稳判别准则就是发生复合灾害的判别准则,该煤岩变形系统的失稳条件就是发生复合灾害的条件。该煤岩变形系统的失稳条件与塑性区的大小密切相关,在巷道围岩的物理力学性质和几何形状与尺寸一定的条件下,塑性区的大小取决于外部载荷的大小。所以,圆形断面巷道发生复合灾害的条件用临界塑性区半径和临界载荷表示。
由式(13),令b→∞,得
(14)
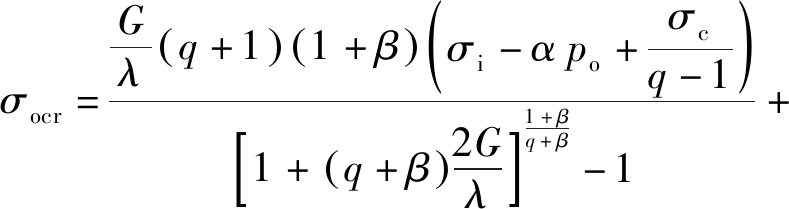
根据潘一山[20]在冲击地压扰动响应失稳判别准则的基础上提出的复合灾害发生的判别准则[4],即
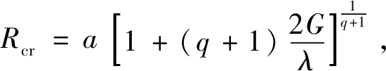
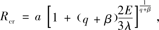
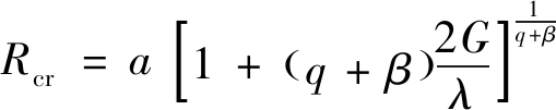
由式(14)得冲击地压-瓦斯突出复合灾害发生的临界塑性区半径Rcr为
(15)
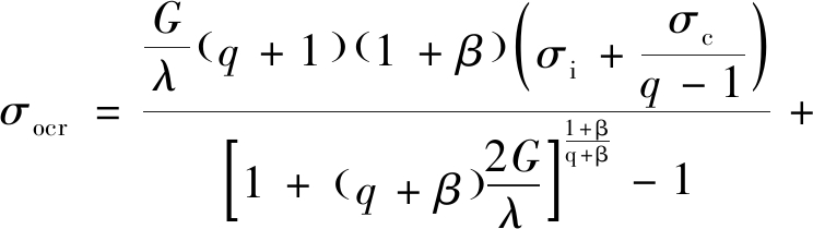
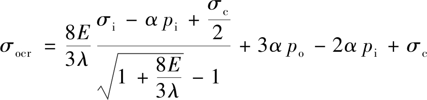
式(15)代入式(14)得冲击地压-瓦斯突出复合灾害发生的临界载荷σocr为
(16)
以阜新恒大煤矿高瓦斯厚煤层掘进的运输平巷为例,分析高瓦斯煤层复合灾害发生的影响因素。该巷道位于太下层,煤层最大厚度是34 m,平均厚度是17.4 m;伪顶为厚1.1 m砂质泥岩,直接顶为厚1~8 m粉砂质泥岩,基本顶为厚10~40 m砂岩;底板为平均厚6 m砂质泥岩。该巷道为5 m×4.8 m的矩形断面,横截面积为24 m2。根据文献[21],矩形断面巷道围岩塑性区范围比相同横截面积的圆形断面略大,当圆形断面巷道半径取a=3 m时,2种不同断面巷道的塑性区深度大致相等。此时的圆形断面巷道半径可以称为等效半径。因煤层平均厚度是巷道半径的5.8倍,最大厚度是巷道半径的11.3倍,在忽略构造影响的条件下,可以假设巷道围岩是均匀、连续、各向同性的孔隙介质。
实测数据为:E=2.2 GPa,μ=0.35,λ=2.9 GPa,E/λ=0.75,C=2.8 MPa,φ=37°,ψ=26°,α=0.32;巷道埋深Ho=780 m,上覆岩层平均容重
kN/m2,则原岩应力σo=20.3 MPa;支护方式近似为弹性,支护阻力初始值σi0=0,最终值为σi=1.4 MPa;初始瓦斯压力po=3 MPa,巷道壁处瓦斯压力最终降至pi,min=0.15 MPa后保持基本稳定,此时支护应力也近似达到最终值。
模量比是煤岩单轴压缩全过程曲线峰前弹性模量与峰后降模量绝对值之比,而降模量也称软化模量,反映了煤岩材料的塑性软化性质,是煤岩变形系统平衡状态稳定性的决定因素,可见,模量比是影响临界塑性区半径的主要因素。对于复合灾害发生条件,由于瓦斯与煤岩骨架相互作用,降模量的大小与瓦斯压力或瓦斯含量存在相互关系,瓦斯压力增大时降模量会减小,因此,模量比对复合灾害的影响也间接反映了瓦斯因素对复合灾害发生条件的影响。
从现场实际情况的观测结果可知:在实施瓦斯抽采前,由于瓦斯压力较高,模量比较大,瓦斯突出危险性较大。实施瓦斯抽采后,瓦斯压力降低,模量比降低,虽然瓦斯突出危险性降低,但是发生复合灾害的危险性增加了,即实施瓦斯抽采后发生的复合灾害不仅具有瓦斯突出的部分特征,而且具有冲击地压的部分特征。因此,在实施防控措施时,单纯的瓦斯抽采不能完全解决复合灾害发生的问题,还应结合其他措施,如钻孔卸压降低煤体应力、煤层注水改善煤岩力学性质等,才能有效防控复合灾害。
1)临界塑性区半径的影响因素分析。由式(15)可知,临界塑性区半径Rcr的影响因素为模量比E/λ、泊松比μ、内摩擦角φ、剪胀角ψ。下面忽略各影响因素之间的相互耦合关系,分别对各个因素对临界塑性区半径的影响程度进行分析。在其他因素数值不变(实测值)的条件下,由式(15)可以得到单个因素对临界塑性区半径的影响规律,如图2—图5所示。
图2 模量比对临界塑性区半径的影响规律
Fig.2 Effect of modulus ratio on radius of critical plastic zone
由图2可见,临界塑性区半径随模量比E/λ增大而增大。文献[17,19-20,22]均对模量比E/λ的物理含义进行了说明,模量比是煤岩单轴压缩应力应变曲线峰前弹性模量与峰后降模量之比。峰前简化为线性时弹性模量E为常数;降模量(也称软化模量)为峰后曲线斜率的绝对值,峰后简化为线性时降模量λ为常数。当煤岩单轴压缩应力应变曲线简化为双线性时,模量比E/λ为常数。可见,模量比E/λ与冲击能量指数具有对应关系,反映了煤的冲击倾向性,是反映复合灾害发生条件的重要影响因素。当E/λ=0时,λ→∞,Rcr=a,对应于巷道围岩为脆性材料,巷道内壁处刚出现屈服时,即失稳而发生复合灾害。当E/λ=∞时,λ→0,Rcr=∞,对应于巷道围岩为理想弹塑性材料,不具有应变软化性质,不可能发生复合灾害。当0<E/λ<∞时,为煤岩具有应变软化性质的通常情况,a<Rcr<∞,煤岩越脆硬冲击倾向性越大,越容易发生复合灾害。
图3 泊松比对临界塑性区半径的影响规律
Fig.3 Effect of Poisson′s ratio on radius of critical plastic zone
由图3可见,临界塑性区半径随泊松比μ增大而减小。当泊松比μ=0.5时,G=E/3,临界塑性区半径
与假设弹性区体积不可压缩的情况相同。
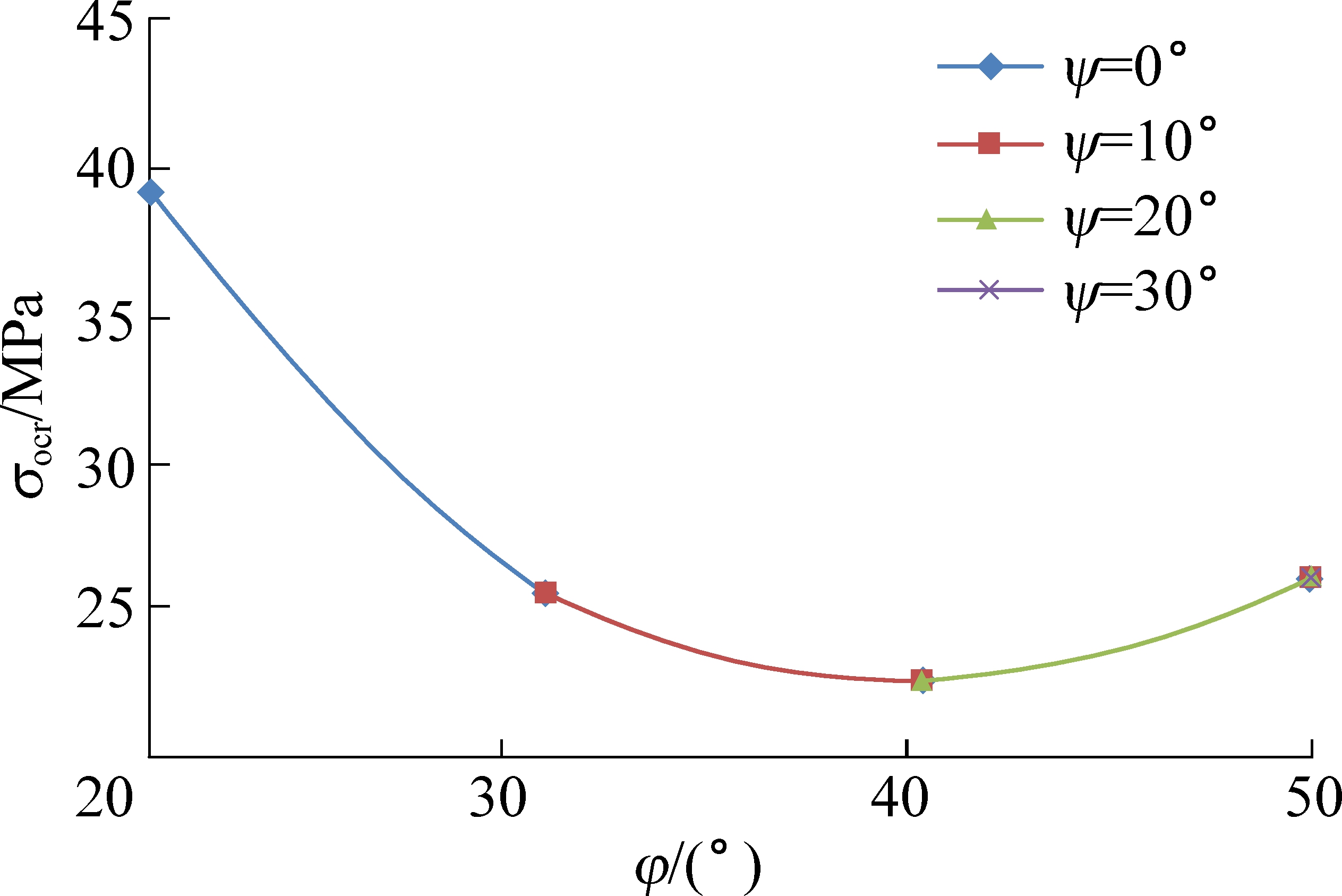
图4 剪胀角对临界塑性区半径的影响规律
Fig.4 Effect of dilation angle on radius of critical plastic zone
由图4可见,临界塑性区半径随剪胀角ψ增大而减小。当剪胀角ψ=0时,β=1,临界塑性区半径
与假设塑性区体积不可压缩的情况相同。
图5 内摩擦角对临界塑性区半径的影响规律
Fig.5 Effect of internal friction angle on radius of critical plastic zone
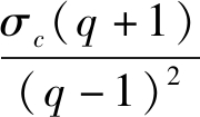
由图5可见,临界塑性区半径随内摩擦角φ增大而减小。如果假设弹性区和塑性区均为体积不可压缩,即μ=0.5(G=E/3),且ψ=0(β=1),同时取内摩擦角φ=30°(q=3),则临界塑性区半径
只与模量比有关。
临界塑性区半径Rcr/a与巷道围岩骨架的岩性(模量比E/λ、泊松比μ、内摩擦角φ、剪胀角ψ)有关,而与瓦斯压力和支护阻力无关,说明临界塑性区半径Rcr/a是巷道围岩骨架的固有性质,因此可以作为衡量巷道围岩复合灾害倾向性的一项指标。
2)临界载荷的影响因素分析。由式(16)可知,临界载荷的影响因素为模量比、泊松比、内摩擦角、剪胀角、黏聚力、有效应力系数、瓦斯压力、支护阻力σi。下面忽略各影响因素之间的相互耦合关系,分别对各个因素对临界载荷的影响程度进行分析。
在其他因素数值不变(实测值)的条件下,由式(16)可以得到单个因素对临界载荷的影响规律,如图6—图13所示。
图6 模量比对临界载荷的影响规律
Fig.6 Effect of modulus ratio on critical load
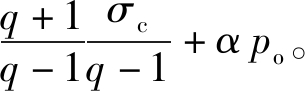
由图6可见,临界载荷随模量比E/λ增大而增大,表明降模量λ越大σocr越小,系统越容易失稳而发生复合灾害。当λ=∞时,λ→∞临界载荷最小,σocr=σoe=
当E/λ=∞时,λ=0,σocr=∞,对应于巷道围岩为理想弹塑性材料,不具有应变软化性质,不可能发生复合灾害。当0<E/λ<∞时,为煤岩具有应变软化性质的通常情况,煤岩越脆硬冲击倾向性越大,越容易发生复合灾害。
图7 泊松比对临界载荷的影响规律
Fig.7 Effect of Poisson′s ratio on critical load
由图7可见,临界载荷随泊松比μ增大而减小,表明泊松比越大σocr越小,系统越容易失稳而发生复合灾害。当泊松比μ=0.5时,G=E/3,σocr=
与假设弹性区体积不可压缩的情况相同。
图8 剪胀角对临界载荷的影响规律
Fig.8 Effect of dilation angle on critical load
由图8可见,临界载荷随剪胀角ψ增大而减小,表明剪胀角越大σocr越小,系统越容易失稳而发生复合灾害。当剪胀角ψ=0时,β=1,与假设塑性区体积不可压缩的情况相同。
图9 内摩擦角对临界载荷的影响规律
Fig.9 Effect of internal friction angle on critical load
由图9可见,临界载荷随内摩擦角φ增大而先增大后减小,表明内摩擦角很小或很大时σocr较大,系统不容易失稳。如果假设弹性区和塑性区均为体积不可压缩,即μ=0.5(G=E/3),且ψ=0(β=1),同时取内摩擦角φ=30°(q=3),则
图10 黏聚力对临界载荷的影响规律
Fig.10 Effect of cohesion on critical load
图11 有效应力系数对临界载荷的影响规律
Fig.11 Effect of effective stress coefficient on critical load
由图10、图11可见,临界载荷随黏聚力C增大而线性增大,随有效应力系数α增大而线性增大。虽然均为线性关系,但影响程度不同。图10的斜率较大,说明黏聚力的影响较强。图11的斜率较小,说明有效应力系数的影响较弱。取α=0,为不考虑瓦斯压力影响的情况,得
由图12可见,临界载荷随支护阻力增大而线性增大,表明增大支护阻力可提高临界载荷,可有效防治复合灾害的发生。在实际工程中应恰当选择支护时机,并采用措施保证支护质量。
图12 支护阻力对临界载荷的影响规律
Fig.12 Effect of support resistance on critical load
图13 瓦斯压力对临界载荷的影响规律
Fig.13 Effect of gas pressure on critical load
由式(16)可得:当pi=po=0时,为无瓦斯情况,
当pi=po≠0时,为巷道刚开挖结束瓦斯尚未流动的情况,
![]()
由图13可见,临界载荷随原始瓦斯压力po增大而线性增大,随巷道内壁瓦斯压力pi增大而线性减小,随瓦斯压力差Δp=po-pi的增大而增大。
在原始瓦斯压力po一定的条件下,巷道刚开挖结束时瓦斯尚未流动,瓦斯压力差Δp=0,此时临界载荷最小,发生复合灾害的危险性最高,最容易发生复合灾害;之后,巷道内壁瓦斯压力pi逐渐降低,瓦斯压力差Δp逐渐增大,临界载荷也随之增大,发生复合灾害的危险性逐渐降低;巷道开挖后,经一段时间后,煤层瓦斯解吸与吸附达到平衡,瓦斯稳定渗流,瓦斯压力差Δp增大至最大值,临界载荷随之增大至最大值,发生复合灾害的危险性降至最低。这就从理论上解释了瓦斯抽采可有效防治复合灾害的原因。
1)以高瓦斯煤层中开挖的圆形断面巷道为例,以阜新恒大煤矿高瓦斯厚煤层运输平巷为工程背景,基于统一失稳判别准则得到了冲击地压-瓦斯突出复合灾害的发生条件,分析了相关因素对冲击地压-瓦斯突出复合灾害的影响。
2)临界塑性区半径的影响因素为模量比E/λ、泊松比μ、内摩擦角φ、剪胀角ψ。临界塑性区半径是巷道围岩骨架的固有性质,因此可以作为衡量巷道围岩复合灾害倾向性的一项指标。
3)临界载荷的影响因素为模量比、泊松比、内摩擦角、剪胀角、黏聚力、有效应力系数、瓦斯压力、支护阻力。模量比是复合灾害发生的主要影响因素,对于具有应变软化性质的巷道围岩,模量比的大小决定了发生复合灾害的危险程度。
4)增大支护阻力可提高临界载荷,有效防治复合灾害的发生。在原始瓦斯压力po一定的条件下,巷道刚开挖后内壁瓦斯压力pi逐渐降低,瓦斯压力差Δp逐渐增大,临界载荷也随之增大,发生复合灾害的危险性逐渐降低。从理论上解释了瓦斯抽采可有效防治复合灾害的原因。
5)笔者没有考虑各影响因素之间的耦合关系,只是初步探讨了各因素单独影响规律。由于复合灾害问题非常复杂,涉及瓦斯吸附解吸、瓦斯压力与煤体力学性质之间的相互影响、瓦斯与煤体骨架的相互作用等,将在今后进行深入研究。
[1] 付建华,程远平.中国煤矿煤与瓦斯突出现状及防治对策[J].采矿与安全工程学报,2007,24(3):253-259.
FU Jianhua,CHENG Yuanping.Situation of coal and gas outburst in China and control countermeasures[J].Journal of Mining and Safety Engineering,2007,24(3):253-259.
[2] 胡千庭,赵旭生.中国煤与瓦斯突出事故现状及其预防的对策建议[J].矿业安全与环保,2010,39(5):1-6.
HU Qianting,ZHAO Xusheng.Present situation of coal and gas outburst accidents in China’s coal mines and countermeasures and suggestions for their prevention [J].Mining Safety and Environmental Protection,2010,39(5):1-6.
[3] 潘一山,李忠华,章梦涛.我国冲击地压分布、类型、机理及防治研究[J].岩石力学与工程学报,2003,22(11):1844-1851.
PAN Yishan,LI Zhonghua,ZHANG Mengtao.Distribution,type,mechanism and prevention of rockburst in China[J].Chinese Journal of Rock Mechanics and Engineering,2003,22(11):1844-1851.
[4] 潘一山.煤与瓦斯突出、复合灾害复合动力灾害一体化研究[J].煤炭学报,2016,41(1):105-112.
PAN Yishan.Integrated study on compound dynamic disaster of coal-gas outburst and rockburst[J].Journal of China Coal Society,2016,41(1):105-112.
[5] 姜耀东,潘一山,姜福兴,等.我国煤炭开采中的冲击地压机理和防治[J].煤炭学报,2014,39(2):205-213.
JIANG Yaodong,PAN Yishan,JIANG Fuxing,et al.State of the art review on mechanism and prevention of coal bumps in China[J].Journal of China Coal Society,2014,39(2):205-213.
[6] 徐晨阳.高瓦斯煤层冲击地压特征机理研究现状[J].山西大同大学学报(自然科学版),2014,30(1):69-72.
XU Chenyang.The mechanism of rock bursts characteristics of gas coal seam [J].Journal of Shanxi Datong University(JCR Science Edition),2014,30(1):69-72.
[7] 王 涛,王曌华,刘华博,等.冲击地压后瓦斯异常涌出条件及致灾原因分析[J].煤炭学报,2014,39(2):371-376.
WANG Tao,WANG Zhaohua,LIU Huabo,et al.Discussion about the mechanism of gas disaster induced by coal bump[J].Journal of China Coal Society,2014,39(2):371-376.
[8] 胡千庭,周世宁,周心权.煤与瓦斯突出过程的力学作用机理[J].煤炭学报,2008,33(12):1368-1372.
HU Qianting,ZHOU Shining,ZHOU Xinquan.Mechanical mechanism of coal and gas outburst process[J].Journal of China Coal Society,2008,33(12):1368-1372.
[9] 张福旺,李 铁.深部开采复合型煤与瓦斯动力灾害的认识[J].中州煤炭,2009(4):73-76.
ZHANG Fuwang,LI Tie.Cognizance on compound dynamic disaster of coal and gas in deep mining[J].Zhongzhou Coal Mine,2009(4):73-76.
[10] 朱丽媛,潘一山,李忠华,等.深部矿井冲击地压、瓦斯突出复合灾害发生机理[J].煤炭学报,2018,43(11):3042-3050.
ZHU Liyuan,PAN Yishan,LI Zhonghua,et al.Mechanisms of rockburst and outburst compound disaster in deep mine[J].Journal of China Coal Society,2018,43(11):3042-3050.
[11] 尹光志,李 星,鲁 俊,等.深部开采动静载荷作用下复合动力灾害致灾机理研究[J].煤炭学报,2017,42(9):2316-2326.
YIN Guangzhi,LI Xing,LU Jun,et al.Disaster-causing mechanism of compound dynamic disaster in deep mining under static and dynamic load conditions[J].Journal of China Coal Society,2017,42(9):2316-2326.
[12] 唐巨鹏,潘一山,杨森林.三维应力下煤与瓦斯突出模拟试验研究[J].岩石力学与工程学报,2013,32(5):960-965.
TANG Jupeng,PAN Yishan,YANG Senlin.Experimental study of coal and gas outburst under tridimensional stresses[J].Chinese Journal of Rock Mechanics and Engineering,2013,32(5):960-965.
[13] 佩图霍夫.预防复合灾害的理论与实践[C]//第22届国际采矿安全会议论文集.北京:煤炭工业出版社,1987.
[14] 章梦涛,徐曾和,潘一山,等.冲击地压和突出的统一失稳理论[J].煤炭学报,1991,16(4):48-53.
ZHANG Mengtao,XU Zenghe,PAN Yishan,et al.A united instability theory on coal(rock)burst and outburst[J].Journal of China Coal Society,1991,16(4):48-53.
[15] 梁 冰,章梦涛,王泳嘉,等.煤层瓦斯渗流与煤体变形的耦合数学模型及数值解法[J].岩石力学与工程学报,1996,15(2):135-142.
LIANG Bing,ZHANG Mengtao,WANG Yongjia,et al.Mathem-atical model and numerical method for coupled gas flow in coal seams and coal deformation[J].Chinese Journal of Rock Mechanics and Engineering,1996,15(2):135-142.
[16] 李 铁,蔡美峰,王金安.深部开采冲击地压与瓦斯的相关性探讨[J].煤炭学报,2005,30(5):562-567.
LI Tie,CAI Meifeng,WANG Jinan,et al.Discussion on relativity between rock burst and gas in deep exploitation [J].Journal of China Coal Society,2005,30(5):562-567.
[17] 李忠华.高瓦斯煤层冲击地压发生理论研究及应用[D].阜新:辽宁工程技术大学,2007.
[18] 王 振,尹光志,胡千庭,等.高瓦斯煤层冲击地压与突出的诱发转化条件研究[J].采矿与安全工程学报,2010,27(4):572-575.
WANG Zhen,YIN Guangzhi,HU Qianting,et al.Inducing and transforming conditions from rock burst to coal gas outburst in a high gassy coal seam[J].Journal of Mining and Safety Engineering,2010,27(4):572-575.
[19] 尹万蕾,潘一山,李忠华.高瓦斯煤层冲击地压发生条件与影响因素[J].力学学报,2017,49(3):716-725.
YIN Wanlei,PAN Yishan,LI Zhonghua.Condition and influence factor burst in high gassy coal seam[J].Chinese Journal of Theoretical and Applied Mechanics,2017,49(3):716-725.
[20] 潘一山.冲击地压发生和破坏过程研究[D].北京:清华大学,1999.
[21] 蔡光华,陆海军,陈宝银,等.矩形和直墙拱断面围岩巷道破坏的数值模拟研究[J].武汉工业学院学报,2011,30(1):74-78.
CAI Guanghua,LU Haijun,CHEN Baoyin,et al.Research on numerical simulation of surrounding rock laneway failure under rectangular and straight wall arch[J].Journal of Wuhan Polytechnic University,2011,30(1):74-78.
[22] 袁文伯,陈 进.软化岩层中巷道的塑性区与破碎区分析[J].煤炭学报,1986,11(3):77-86.
YUAN Wenbo,CHEN Jin.Analysis of plastic zone and loose zone around opening in softening rockmass[J].Journal of China Coal Society,1986,11(3):77-86.