近距离煤层群开采工作面瓦斯涌出量预测方法研究

马文伟1,2,付 巍1,2,薛彦平1,2

(1.中煤科工集团沈阳研究院有限公司,辽宁 沈阳 110016;2.煤矿安全技术国家重点实验室,辽宁 抚顺 122113)

摘 要:在进行近距离煤层群开采工作面瓦斯涌出量预测时,下部煤层由于受上部多个煤层开采的影响,瓦斯会多次释放,瓦斯含量将大幅降低,利用行标所述方法进行下部煤层工作面瓦斯涌出量计算时,将不可避免地造成预测结果的偏差。为准确计算近距离煤层群开采时工作面的瓦斯涌出量,引入开采层对邻近层瓦斯涌出影响系数,对当前行标中开采层瓦斯涌出量计算公式和邻近层瓦斯涌出量计算公式中煤层原始瓦斯含量和煤层残存瓦斯含量进行了修正,提出了修正后的开采层瓦斯涌出量计算公式和邻近层瓦斯涌出量计算公式。利用修正后的计算公式对河北某矿近距离煤层群开采条件下各煤层回采工作面的瓦斯涌出量进行算例分析,并与行标所述方法方法进行比对,结果表明,两者之间在计算首采层瓦斯涌出量时结果基本一致,偏差为0.35 m3/t,其余各煤层回采工作面的瓦斯涌出量计算值均有较大幅度的偏差,偏差最大时,按行标所述方法计算的结果是按修正后公式计算结果的4.45倍,两者偏差达到3.76 m3/t。结合矿井工作面实际瓦斯涌出情况,按照修正后的计算公式计算的工作面瓦斯涌出量结果更接近于矿井实际回采工作面的瓦斯涌出量,验证了所提出的修正后的开采层瓦斯涌出量计算公式和邻近层瓦斯涌出量计算公式的准确性。

关键词:近距离煤层群;瓦斯涌出量预测;原始瓦斯含量;残存瓦斯含量;瓦斯涌出影响系数

0 引 言

新建矿井或生产矿井新水平,都必须进行瓦斯涌出量预测,以确定新矿井、新水平、新采区投产后瓦斯涌出量的大小,预测结果作为矿井和采区通风设计、瓦斯抽采及瓦斯管理的依据,因此必须准确预测矿井或采掘工作面的瓦斯涌出量,提前采取必要的防治措施,以确保矿井的安全生产[1-3]。在矿井瓦斯涌出量预测方法的研究方面,专家学者进行了大量的研究,并取得了丰富的成果。最早进行矿井瓦斯涌出量方面研究的专家,提出矿山统计法和分源预测法,并在全国范围内进行了广泛的应用,于2006年发布了行业标准《矿井瓦斯涌出量预测方法》。随着现代科学技术的发展,特别是计算机技术的应用,学者们提出多种矿井瓦斯涌出量的计算方法,主要有数学模型法、灰色系统理论法、神经网络预测法等[4-9],但这些方法理论性较强,尚处于探索阶段。分源预测法仍是目前应用最为广泛的一种方法[10-12]

本煤层开采时,回采工作面的瓦斯涌出量是开采层和邻近层瓦斯涌出量之和,传统的分源预测法未考虑到上部邻近层开采对本煤层瓦斯涌出的影响,造成预测结果有一定程度偏差[13-16],特别是近距离煤层群开采时,下部本煤层由于受上部多个煤层开采的影响,瓦斯多次释放,在按照行业标准《矿井瓦斯涌出量预测方法》进行本煤层瓦斯涌出量计算时,将不可避免地造成预测结果的偏差,针对此种情况,笔者在前人研究的基础上,引入开采层对邻近层瓦斯涌出影响系数,建立了开采层和邻近层瓦斯涌出量计算公式,并利用河北某矿实测数据进行初步应用验证,以期对近距离煤层群开采时工作面瓦斯涌出量的准确预测提供参考。

1 回采工作面瓦斯涌出量计算

回采工作面的瓦斯涌出主要包括开采层(包括围岩)和邻近层瓦斯涌出,预测时一般用相对瓦斯涌出量表达,计算公式为

qc=q1+q2

(1)

式中:qc为回采工作面相对瓦斯涌出量,m3/t;q1为开采层相对瓦斯涌出量,m3/t;q2为邻近层相对瓦斯涌出量,m3/t。

近距离煤层群开采时,回采工作面的瓦斯涌出量计算模型如图1所示,由于近距离煤层群的开采顺序一般为自上而下,故设定1号煤层为首采层,依次向深部n号煤层进行回采,煤层间距设为h1h2hn-1,假设最深部n号煤层也在1号煤层回采影响范围内。

图1 近距离煤层群回采工作面的瓦斯涌出量计算模型
Fig.1 Calculation model of gas emission in the mining face of contiguous seams

1.1 开采层相对瓦斯涌出量计算

根据行业标准《矿井瓦斯涌出量预测方法》,薄及中厚煤层开采时,开采层相对瓦斯涌出量q1可表示为

(2)

式中:K1为围岩瓦斯涌出系数;K2为工作面丢煤瓦斯涌出系数,其值为采出率的倒数;K3为准备巷道预排瓦斯对开采层瓦斯涌出影响系数;m为开采煤层厚度,m;M为开采层工作面采高,m;W0为煤层原始瓦斯含量,m3/t;Wc为煤运出地面后的残存瓦斯含量,m3/t。

1.1.1 煤的残存瓦斯含量分析

式(2)中,Wc为计算开采层瓦斯涌出量的核心数据之一,在《矿井瓦斯涌出量预测方法》中指出,瓦斯含量大于10 m3/t的高变质煤和低变质煤的Wc可根据表1所示数据取值,原始瓦斯含量小于10 m3/t的高变质煤的Wc可按式(3)计算。

(3)

分析表1可见,原始瓦斯含量大于10 m3/t的高变质煤和低变质煤的Wc的选取主要依据为煤的挥发分,当煤的挥发分大于26%时,纯煤的残存瓦斯含量均为2 m3/t,当遇到原始瓦斯含量较低的低变质煤时,可能会出现残存瓦斯含量比原始瓦斯含量大的情况,与实际不相符。

对于原始瓦斯含量小于10 m3/t的高变质煤,其残存瓦斯含量Wc采用式(3)进行计算,假设煤层原始瓦斯含量为8 m3/t,计算得到的残存瓦斯含量为0.000 96 m3/t,也与实际不符合。

表1 纯煤的残存瓦斯含量取值
Table 1 Residual gas content in pure coal

挥发分/%Wc/(m3·t-1)备注6~89~68~126~412~184~318~263~226~35235~42242~562煤的残存瓦斯含量亦可近似地按煤在0.1MPa压力条件下的瓦斯吸附量取值

综合分析,笔者认为运出矿井后的煤的残存瓦斯含量应该与煤本身的物理性质以及所处的环境有关,为统一计算且接近实际,可近似按照1个大气压下(地面气压),残留在煤中的瓦斯含量计算,可利用式(4)代替式(3)进行计算。


(4)

式中:ab为煤的吸附常数;Ad为煤的灰分,%;Mad为煤的水分,%;Φ为煤的孔隙率;γ为煤的视密度。

1.1.2 煤层原始瓦斯含量分析

在煤层群开采中,上部煤层的回采会引起下部煤层的瓦斯涌入上部煤层回采空间和采空区,当下部煤层回采时,其瓦斯含量相比其原始瓦斯含量有较大的降低,尤其是最下部开采层,将受到上部多个煤层开采产生的影响,造成绝大部分瓦斯的释放。笔者引入开采层i号煤层对邻近层j号煤层的瓦斯涌出影响系数ηij,结合图1的计算模型,各个煤层开采时的瓦斯含量可用式(5)计算。

(5)

式中:W01W02W03W0n分别为1、2、3…n号煤层原始瓦斯含量,m3/t;W0(1)W0(2)W0(3)W0(n)分别为1、2、3、…n号煤层开采时的瓦斯含量,m3/t;ηiji的取值为1、2…(n-1),j的取值为2、3…n,且i<j,该值的取值与标准《矿井瓦斯涌出量预测方法》中邻近层受采动影响瓦斯排放率相同。

故式(2)可改写为

(6)

式中:Wc(k)k号煤层煤运出矿井后的残存瓦斯含量,m3/t,k的取值为1~n

1.2 邻近层相对瓦斯涌出量计算

以图1计算模型为例,开采近距离煤层群中各个煤层时,其邻近层的瓦斯涌出量计算如下。

1)开采1号煤层时,邻近层的瓦斯涌出量为

(7)

2)开采2号煤层时,邻近层的瓦斯涌出量为

(8)

3)开采3号煤层时,邻近层的瓦斯涌出量为

(9)

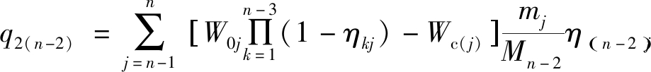
4)以此类推,开采n-2号煤层时,邻近层的瓦斯涌出量为

(10)

5)开采n-1号煤层时,邻近层的瓦斯涌出量为

(11)

经过式(7)—式(11)的类推分析后,邻近层瓦斯涌出量可归纳为

(12)

式中:mj为第j个邻近层煤层厚度,m;Mii号开采层工作面采高,m;ηkjk号煤层开采时邻近j号煤层的瓦斯涌出影响系数,%,当kj时,ηkj=0。

值得注意的是,当开采首采层时,无意义,定义其值为1。

2 算例分析

河北唐山某矿为高瓦斯矿井,井田内煤系地层由石炭、二叠纪煤岩系组成,区内自上而下7、8、9、12煤层为近距离煤层群,其中7、8、9煤层为全区可采煤层,12煤层为局部可采煤层。各煤层均以焦煤为主,局部为瘦煤或贫瘦煤,煤层赋存情况及各类参数见表2。

表2 煤层赋存情况及各类参数特征
Table 2 Condition of coal seam and characteristics of various parameters

煤层特征参数煤层编号78912平均厚度/m3.701.801.901.80与下邻近层间距/m4.449.8122.84—密度/(t·m-3)1.401.401.391.40孔隙率/%8.109.097.245.41水分Mad/%2.333.302.462.03灰分Ad/%25.9121.8823.2026.05吸附常数a/(m3·t-1)28.0617.7919.8630.30吸附常数b/MPa-10.04210.08520.05800.0313瓦斯含量/(m3·t-1)4.821.813.243.62

矿井在回采过程中,按照自上而下的顺序,先开采7煤层,再开采8、9、12煤层。该矿在同一时间在各个煤层均有回采工作面进行回采,故需对各个煤层的回采工作面瓦斯涌出量进行预测。

将表2中各煤层的参数代入式(4),可得7、8、9、12各煤层的残存瓦斯含量分别为0.16、0.18、0.15、0.12 m3/t。根据式(5)同时结合图1及表2的参数,计算可得各煤层在不同阶段的残余瓦斯含量,见表3—表5。

表3 7煤层开采后其余各煤层瓦斯含量
Table 3 Gas content of other coal seams after No.7 coal seam mining

参数煤层编号8912与7煤层间距/m4.4414.2537.09瓦斯涌出影响系数/%935011原始瓦斯含量/(m3·t-1)3.211.813.627煤层开采后各煤层瓦斯含量/(m3·t-1)0.220.913.22

2.1 开采层瓦斯涌出量预测

根据式(6)及表2—表5的数据,各个煤层开采时,开采层瓦斯涌出量见表6。

表4 8煤层开采后其余各煤层瓦斯含量
Table 4 Gas content of other coal seams after No.8 coal seam mining

参数煤层编号912与8煤层间距/m9.8132.65瓦斯涌出影响系数/%58187煤层开采后煤层瓦斯含量/(m3·t-1)0.913.228煤层开采后各煤层瓦斯含量/(m3·t-1)0.382.64

表5 9煤层开采后12煤层瓦斯含量
Table 5 Gas content of No.12 coal seams after No.9 coal seam mining

参数12煤层与9煤层间距/m22.84瓦斯涌出影响系数/%307、8煤层开采后瓦斯含量/(m3·t-1)2.649煤层开采后各煤层瓦斯含量/(m3·t-1)1.85

表6 开采层瓦斯涌出量计算结果
Table 6 Calculation results of gas emission in mining

计算参数煤层编号78912K11.31.31.31.3K21.281.201.201.28K30.870.850.860.85煤层厚度/m3.701.801.901.80工作面采高/m3.702.502.502.50开采时瓦斯含量/(m3·t-1)3.980.220.381.85残存瓦斯含量/(m3·t-1)0.160.180.150.12相对瓦斯涌出量/(m3·t-1)5.530.040.231.76

2.2 邻近层瓦斯涌出量

依据式(12)及表3—表5,得出开采各煤层时,其邻近层瓦斯涌出量见表7。

表7 邻近层瓦斯涌出量计算结果
Table 7 Calculation results of gas emission in adjacent layers

开采煤层邻近煤层瓦斯含量/(m3·t-1)残存瓦斯含量/(m3·t-1)邻近层瓦斯排放率/%瓦斯涌出量/(m3·t-1)783.210.18931.3791.800.15400.34123.620.12120.20890.910.15600.48123.220.12180.569122.640.12280.67

2.3 工作面瓦斯涌出量计算

结合表6和表7,综采工作面瓦斯涌出量结果见表8。

表8 综采工作面瓦斯涌出量结果
Table 8 Results of gas emission in working face

开采煤层开采层相对瓦斯涌出量/(m3·t-1)邻近层相对瓦斯涌出量/(m3·t-1)工作面相对瓦斯涌出量/(m3·t-1)75.531.917.4480.041.051.0990.230.670.90121.7601.76

3 工作面瓦斯涌出量计算结果分析

由表8可见,当进行首采7煤层的开采时,工作面的相对瓦斯涌出量为7.44 m3/t,瓦斯主要来源于本煤层,本煤层瓦斯涌出约占总涌出量的74.3%。

1)当进行8煤层开采时,由于上部7煤层已经回采,在7煤层回采时8煤层作为邻近层瓦斯大部分已经释放,8煤层工作面相对瓦斯涌出量为1.09 m3/t,其中本煤层瓦斯涌出量只占总瓦斯涌出量的3.7%。

2)当进行9煤层开采时,上部7、8煤层已经回采,下部12煤层经过7、8煤层回采的影响,瓦斯已多次释放,9煤层工作面瓦斯涌出量为0.9 m3/t,其中本煤层瓦斯涌出量只占总瓦斯涌出量的25%。

3)当进行12煤层开采时,上部各煤层均已回采,且无邻近层,12煤层工作面瓦斯涌出量为1.76 m3/t。

为更好地说明问题,将本次各煤层回采工作面的相对瓦斯涌出量计算结果与按照标准《矿井瓦斯涌出量预测方法》所计算的结果进行对比,见表9。可见,两者的计算结果在首采层开采时基本一致,偏差为0.35 m3/t,在其余煤层开采时计算结果偏差相对较大,最大偏差为计算8煤层工作面相对瓦斯涌出量时,按标准所计算的结果是按修正后公式计算结果的4.45倍,两者偏差值达到3.76 m3/t。从矿井实际情况来讲,按照修正后计算公式所计算的结果更接近于各煤层工作面的真实瓦斯涌出量。

表9 回采工作面计算结果对比
Table 9 Comparison on calculation results of mining face

开采煤层按修正公式计算结果/(m3·t-1)按标准计算结果/(m3·t-1)偏差值/(m3·t-1)77.447.790.3581.094.853.7690.902.801.90121.763.681.92

4 结 论

1)在煤层群开采中,上部煤层的回采会引起下部煤层的瓦斯涌入上部煤层回采空间和采空区,当下部煤层回采时,其瓦斯含量相比其原始瓦斯含量有较大的降低,尤其是最下部开采层,由于受到上部多个煤层开采产生的影响,造成绝大部分瓦斯的释放。在针对近距离煤层群开采条件下本煤层回采工作面瓦斯涌出量的计算时,引入开采层对邻近层的瓦斯涌出影响系数,对煤的原始瓦斯含量和残存瓦斯含量进行修正,提出了修正后的开采层相对瓦斯涌出量计算公式。

2)在煤层群开采中,下部煤层的瓦斯会随着其上部煤层的回采多次释放,在引入开采层对邻近层的瓦斯涌出影响系数的基础上,通过递推归纳总结,提出针对近距离煤层群开采时邻近层相对瓦斯涌出量的计算公式。

3)利用修正后的开采层及邻近层相对瓦斯涌出量计算公式对河北某矿近距离煤层群开采条件下各煤层回采工作面的瓦斯涌出量进行算例分析,并与行标所述方法进行比对,结果表明,两者之间在计算首采层瓦斯涌出量时结果基本一致,偏差为0.35 m3/t,在计算其余各煤层回采工作面的瓦斯涌出量时,计算值均有较大幅度的偏差,偏差最大时,按标准所计算的结果是按修正后公式计算结果的4.45倍,两者偏差达到3.76 m3/t。结合矿井工作面实际瓦斯涌出情况,按照修正后的计算公式计算的工作面瓦斯涌出量结果更接近于矿井实际回采工作面的瓦斯涌出量,验证了所提出的修正后的开采层瓦斯涌出量和邻近层相对瓦斯涌出量计算公式的准确性。

参考文献(References):

[1] AQ1018—2006,矿井瓦斯涌出量预测方法[S].

[2] 国家煤矿安全监察局.防治煤与瓦斯突出细则[M].北京:煤炭工业出版社,2019.

[3] 国家安全生产监督管理局,国家煤矿安全监察局.煤矿安全规程[M].北京:煤炭工业出版社,2016.

[4] 章立清,秦玉金,姜文忠,等.我国矿井瓦斯涌出量预测方法研究现状及展望[J].煤矿安全,2007,38(8):58-60.

ZHANG Liqing,QIN Yujin,JIANG Wenzhong,et al.Study status and prospect of methods for predicting amount of mine gas emission in China[J].Safefy in Coal Mines,2007,38(8):58-60.

[5] 程 波,颜文学,杨 亮,等.煤矿瓦斯涌出量预测方法的研究[J].中国煤炭,2019,45(11):63-67.

CHENG Bo,YAN Wenliang,YANG Liang,et al.Research on prediction method of gas emission in coal mine[J].China Coal,2019,45(11):63-67.

[6] 魏春荣,李艳霞,孙建华,等.灰分-分源预测法对煤矿瓦斯涌出量的应用研究[J].采矿与安全工程学报,2013,30(4):628-632.

WEI Chunrong,LI Yanxia,SUN Jianhua,et al.Gas emission rate prediction in coal mine by grey and separated resources prediction method[J].Journal of Mining &Safety Engineering,2013,30(4):628-632.

[7] 刘 军.急倾斜特厚煤层开采工作面瓦斯涌出量预测方法的建立及应用[J].矿业安全与环保,2019,46(1):47-51.

LIU Jun.Establishment and application of gas emission prediction method in mining face of steeply inclined and extra thick coal seam.[J].Mining Safety &Environmental Protection,2019,46(1):47-51.

[8] 刘 鹏,魏卉子,景江波,等.基于增强CART回归算法的煤矿瓦斯涌出量预测技术[J].煤炭科学技术,2019,47(11):116-122.

LIU Peng,WEI Huizi,JING Jiangbo,et al.Predicting technology of gas emission quantity in coal mine based on enhanced CART regression algorithm[J].Coal Science and Technology,2019,47(11):116-122.

[9] 毕建武,贾进章.基于SPSS的PCA-MRA回采工作面瓦斯涌出量预测[J].安全与环境学报,2014,14(5):54-57.

BI Jianwu,JIA Jinzhang.Prediction of gas emission quantity in the working face based on SPSS PCA-MRA[J].Journal of Safety and Environment,2014,14(5):54-57.

[10] 王孔善.关于分源预测法预测矿井瓦斯涌出量准确性和适用性的探讨[J].煤矿安全,2011,42(11):93-95.

WANG Kongshan.The investigate of the different source prediction accuracy and applicability to the mine gas emission[J].Safety in Coal Mines,2011,42(11):93-95.

[11] 崔洪庆,樊帅帅,关金锋.采煤工作面瓦斯涌出量分源计算[J].中国安全科学报,2015,25(10):78-82.

CUI Hongqing,FAN Shuaishuai,GUAN Jinfeng.Calculation of methane emission from different at coal mining face based on monitoring data[J].China safety Science Journal,2015,25(10):78-82.

[12] 徐青伟,王兆丰.矿山统计法瓦斯涌出量预测中存在的错误及修正[J].中国煤炭,2015(10):118-120.

XU Qingwei,WANG Zhaofeng.The error existing in the predictions of gas emission quantity using mine statistical method and its correction[J].China Coal,2015(10):118-120.

[13] 马洪涛.瓦斯涌出量分源预测法与实测法差异性分析[J].煤矿机械,2017,38(6):56-58.

MA Hongtao.Analysis on gas emission separate source method and measurement method of variance[J].Coal Mine Machinery,2017,38(6):56-58.

[14] 潘竞涛.上部临近层开采对本煤层瓦斯涌出的影响分析[J].矿业安全与环保,2013,40(3):70-73.

PAN Jingtao.Analysis on impact of upper adjacent seam extraction on gas emission in mined seam[J].Mining Safety &Environmental Protection,2013,40(3):70-73.

[15] 戴广龙,汪有清,张纯如,等.保护层开采工作面瓦斯涌出量预测[J].煤炭学报,2007,32(4):382-385.

DAI Guanglong,WANG Youqing,ZHANG Chunru,et al.Forecast of the gas effused from the face in protective seam[J].Journal of China Coal Society,2007,32(4):382-385.

[16] 程建圣.特厚煤层六分层开采回采面瓦斯涌出量预测研[J].煤矿安全,2017,48(12):142-145.

CHENG Jiansheng.Study on prediction of gas emission from six-slicing mining face in extra thick coal seam[J].Safety in Coal Mines,2017,48(12):142-145.

Study on prediction method of gas emission rate in mining faces of contiguous seams

MA Wenwei1,2,FU Wei1,2,XUE Yanping1,2

(1.Shenyang Research Institute,China Coal Technology and Engineering Group,Shenyang 110016,China; 2.State Key Lab of Coal Mine Safety Technology,Fushun 122113,China)

Abstract:In the prediction of gas emission rate from the mining face of contiguous seams,the lower coal seam is affected by the mining of multiple upper coal seams,gas will be released many times,and the gas content will be greatly reduced.When using the method described in the industry standard to calculate the gas emission rate of the lower coal seam working face,it will inevitably cause the deviations in the prediction results.In order to accurately calculate the amount of gas emitted from the working face during the mining of contiguous seams,the influence coefficient of gas emission in mining layer to adjacent layer was introduced and the original coal seam gas content and residual gas content in the coal seam in the calculation formula for gas emission from the mining layer in the standard and the gas emission from the adjacent layer have been revised and the revised gas emission calculation formula of the mining layer and the gas emission calculation formula of the adjacent layer were proposed.The revised calculation formula was used to calculate the gas emission of each coal seam mining face under the condition of mining contiguous seams in a mine in Hebei.The calculation examples were analyzed and compared with traditional calculation methods.The results show that calculation results of the gas emission from the first coal seam between the two are basically the same with a deviation value of 0.35 m3/t.The calculated values of the gas emission from the coal mining face in the remaining coal seams have a large deviation the largest deviation value is 3.76 m3/t,and the result calculated according to the method described in the industry standard is 4.45 times of the result calculated according to the revised formula.Combined with the actual situation of gas emission in the working face,the result of gas emission calculated according to the revised calculation formula is closer to the gas emission of the actual working face of the mine,thus verifying the accuracy of the revised calculation formula of gas emission in the mining layer and the calculation formula of gas emission in the adjacent layer.

Key words:contiguous seams;prediction of gas emission rate;original gas content;residual gas content;influence coefficient of gas emission

中图分类号:TD712

文献标志码:A

文章编号:0253-2336(2021)07-0104-06

移动扫码阅读

马文伟,付 巍,薛彦平.近距离煤层群开采工作面瓦斯涌出量预测方法研究[J].煤炭科学技术,2021,49(7):104-109.doi:10.13199/j.cnki.cst.2021.07.014

MA Wenwei,FU Wei,XUE Yanping.Study on prediction method of gas emission rate in mining faces of contiguous seams[J].Coal Science and Technology,2021,49(7):104-109.doi:10.13199/j.cnki.cst.2021.07.014

收稿日期:2021-03-02

责任编辑:王晓珍

基金项目:国家科技重大专项资助项目(2016ZX05045-004-001)

作者简介:马文伟(1985—),男,山西大同人,助理研究员,硕士。E-mail:120598723@qq.com