“煤地质与煤结构”专题

京西煤制备氧化石墨烯分子结构模型的构建与优化

唐跃刚1,陈鹏翔1,李瑞青1,郇 璇2,徐靖杰1,樊江涛1,车启立1

(1.中国矿业大学(北京) 地球科学与测绘工程学院,北京 100083 2.英飞智信(北京) 科技有限公司,北京 100102)

摘 要:随着煤基碳材料的发展,石墨烯及石墨烯氧化物等二维碳纳米材料已成为目前新型材料中重要研究领域并成为研究热点。为查明煤基氧化石墨烯的化学成分组成和分子结构特征,以北京西山矿区侏罗纪门头沟系的8号煤层无烟煤为碳源,对京西原煤样和脱灰样进行了工业分析和元素分析,京西煤属于品质较好的低灰、低挥发分和特低硫无烟煤,脱灰后京西无烟煤的灰分产率从初始的9.26%下降到0.65%,表明矿物得到了有效去除。利用改良的Hummers氧化还原法制备煤基氧化石墨烯,并对制备的氧化石墨烯进行了核磁共振碳谱(13C-NMR)、扫描电子显微镜(SEM)、能量色散X-射线光谱(EDS)和X射线光电子能谱(XPS)等分析手段测试。通过Origin软件对所得数据进行分析和图谱拟合,得到了所制备煤基氧化石墨烯产品的元素比和产品结构参数。研究表明:京西煤基氧化石墨烯的芳香结构以苯、萘、蒽和菲为主;脂肪碳以次甲基、环烷烃的形式存在,其中含氧官能团以酚羟基和醚氧基为主,还含有大量的羧基。在此分析数据的基础上,构建了京西煤基氧化石墨烯的分子结构模型,并运用13C-NMR预测软件ACD/CNMR predictor对其进行了结构修正,所得到的GO-JX分子结构模型与试验核磁共振图谱较一致。

关键词:京西煤;煤基氧化石墨烯;分子结构;分子模型;结构优化

0 引 言

近年来,石墨烯及石墨烯氧化物等二维碳纳米材料在高端仪器[1]、能源、化学[2-3]、生物、医学等多领域中得到了广泛应用,并已成为研究热点[4-5]。生产石墨烯及其氧化物的主要来源是石墨、甲烷和乙炔等[6-8]。煤炭是储量最大的碳源,低廉而且易获得,无烟煤富含大稠环有机化合物,含碳量高,也是先进炭素材料的重要前驱体[9-10]。以无烟煤为原料制备石墨烯及其氧化物具有十分乐观的发展前景,已经引起了广泛关注,化学氧化还原法是目前制备煤基石墨烯最为广泛的方法[11-13]。然而煤基石墨的石墨化度、制备石墨烯过程的氧化程度和氧化石墨烯的还原程度对产物的物理化学特性影响极大,这与煤基石墨片层中引入的含氧官能团种类、数量和位置有极大关系。因此对无烟煤制备煤基氧化石墨烯过程中的结构演化还需深入研究。从分子尺度探讨煤基氧化石墨烯制备过程中分子结构的构建对煤基氧化石墨烯的研究和利用具有重要的理论意义。近年来随着碳达峰与碳中和等要求的提出,煤基新材料的研究将成为未来研究热点,煤基氧化石墨烯的制备与结构探讨,将有助于煤基氧化石墨烯的量产以及在未来新能源、新材料、军工、生物和医学上的应用。

采用扫描电子显微镜(SEM)、能量色散X-射线光谱(EDS)、X射线光电子能谱(XPS)和核磁共振(13C-NMR)等现代分析测试技术可有效研究煤基氧化石墨烯结构的组成和演化[14-17]。利用分析测试结果构建其分子模型,构建煤基氧化石墨烯的分子模型也是对其进行分子模拟的基础。多年来,精确的化学结构在氧化石墨烯中的应用一直存有争议。主要原因是材料结构的复杂性(包括样品之间的可变性),这是由于其非晶态、贝氏体特征(即物质的非化学计量原子组成)以及缺乏准确的分析技术来表征石墨烯氧化物特征。尽管存在这些困难,人们对氧化石墨烯结构的研究还是付出了大量的努力,并取得了很大的成功。目前最新的氧化石墨烯分子结构摒弃了基于栅格的模型,专注于非化学计量的、非晶的替代品。最广为人知的模型是Lerf和Klinowski模型[18-19]。这些模型在一定程度上可以解释表面的官能团能形成很强的化学键或可与一些极性有机物或聚合物相互作用[20-21],有利于与其他材料的复合,并在电极材料、工程材料与现代存储等相关领域中得到广泛应用[22-24]

煤结构是煤基氧化石墨烯的物质基础,煤的结构包括2个方面的内容:一是煤的化学结构即煤的分子结构,二是煤的物理结构即分子间的堆垛结构与孔隙结构[25-26]。目前,煤结构的研究方法与成果日趋完善和丰富,仅化学结构模型就达到了130多种[27],如:1942年,德国的FUCHS[28]基于化学方法提出了Fuchs烟煤模型;1975年,美国WISTER[29]建立了比较全面、合理的Wiser模型,适合高挥发分烟煤;1960年,英国GIVEN[30]建立了低变质程度的烟煤Given模型;1976年,WENDER[31]提出了第1个褐煤模型,也是现在常用的褐煤模型;1990年,HATCHE[32]基于固态13C核磁共振技术(NMR)和闪存裂解气质联用技术(GC/MS),构建了次烟煤结构模型;1996年,SHINN[33]构建了次烟煤的Shinn模型;1999年,PAPPANO[34]建立了无烟煤的三维分子模型。在煤的物理结构中,Hirsch模型、两相模型和单相模型最具代表性,Hirsch模型是1954年HIRSCH[35]利用双晶衍射技术对煤的小角X射线漫射研究后提出的;两相模型由GIVEN等[36]在1986年根据NMR氢谱发现煤中质子的弛豫时间有快和慢2种类型而提出的1种主-客模型;单相模型也叫缔合模型,是由NISHIOK[37]在1992年首先提出来的。现在煤结构模型朝综合变化方向发展,即物理、化学作用下的多相的混合物模型,其模型主有Oberlin模型[38]、Sphere(半球)模型[39]以及我国学者秦志宏等[40]在2017年用“自然类聚”的全组分分类法构造了煤的嵌布结构模型。众多煤结构的研究方法与成果为煤基氧化石墨烯结构的研究提供了借鉴和理论支撑。

为查明煤基氧化石墨烯的化学组成和分子结构特征,研究拟以北京西山矿区侏罗纪门头沟煤系的8号煤层无烟煤为碳源制备的氧化石墨烯为研究对象,结合工业分析、元素分析以及采用核磁共振碳谱(13C-NMR)、扫描电子显微镜(SEM)和X射线光电子能谱(XPS)等手段对其分子结构进行分析、模拟并构建结构模型。采用ADF软件的UFF力场对其进行结构优化,为采用分子动力学模拟从分子尺度研究煤基氧化石墨烯的微晶结构演化提供了模型基础。

1 样品的制备与试验方法

1.1 矿物脱除

京西无烟煤(JX)在高温石墨化及表征测试前需要脱矿预处理,以避免煤样中矿物质对石墨化过程及结构分析产生的负面影响。手选光亮煤并粉碎至200目(<74 μm)过标准筛。称取15 g粉末样加入聚四氟乙烯烧杯中与80 mL的5 mol/L盐酸溶液混合,在60 ℃的恒温水浴条件下搅拌24 h后离心分离过滤掉盐酸溶液,再向残留煤样中加入80 mL氢氟酸溶液(质量分数40%),之后重复上述的水浴与酸洗处理,用超纯水清洗过滤直至溶液为中性,最后放60 ℃真空干燥箱中进行24 h干燥,即得脱矿煤样JX-d。

称取5 g京西无烟煤脱矿样品放入准备好的石墨坩埚中,并转移至石墨化炉中。以5 ℃/min先升温至约1 000 ℃,在真空条件下进行1 h碳化处理,随后以20 ℃/min快速升温至2 800 ℃并维持此温度3 h,得到煤基石墨样品,记为G-JX。

1.2 氧化石墨烯的制备

采用改进的Hummers法合成煤基氧化石墨烯[41-43],过程如下:冰浴条件下,将1g硝酸钠(NaNO3)溶于35 mL硫酸(98%)中,保持体系温度<5 ℃,再加入1 g的G-JX石墨粉搅拌至均匀混合,后缓慢分多次加入5 g高锰酸钾并充分搅拌(≥2 h),得到混合悬浮液。将悬浮液转移至35 ℃水浴中并继续搅拌5 h使充分反应,得到黏稠膏状物质。将温度升高至98 ℃,用50 mL超纯水稀释样品后恒温反应15~20 min,取出烧杯并逐滴加入适量体积分数30%过氧化氢(H2O2)直至无气泡产生,确保完全去除残余高锰酸钾,最后将混合物离心,倾倒上清液。剩余黏稠物依次用体积比1∶10(盐酸∶水)的稀盐酸和超纯水洗涤至中性,且滤液中无用BaCl2溶液检测),即得氧化石墨。将氧化石墨分散在200 mL超纯水中,超声处理5 h后静置24 h,得到棕色悬浮液。提取悬浮液并离心后取上清液置于蒸发皿中,采用真空冷冻干燥获得氧化石墨烯固体,记作GO-JX。

1.3 测试方法

核磁共振碳谱(13C-NMR)由BrukerAV300型核磁共振仪测得,核磁探头为4 mm,转速为12 kHz,共振频率设定为75.47 MHz,循环延迟5 s,扫描为2 000~4 000次。为获得理想的核磁共振谱图,试验过程中采用了交叉极化(CP)、魔角旋转和TOSS抑制边带技术,接触时间为3 ms,谱宽设定在30 000 Hz。

扫描电子显微镜(SEM)测试使用Hitachi-SU8020型扫描电子显微镜,结合能谱仪,观测样品形貌特征及化学成分的点、面等定性定量分析。电镜分辨率为1.0 nm(15 kV);放大倍数范围:20~800 000倍。通过Photoshop、Digital Micrograph软件进行分析。

X射线光电子能谱(XPS)使用RigakuX型射线衍射仪测试样品,使用粉末压片法制样。测试条件:射线频率λ=0.154 056 nm,测试电压为40 kV,测试电流为100 mA,速率为4(°)/min,扫描范围设定在2.5°~80°。利用Jade6.5、Origin2018进行拟合与分析。

2 结果与讨论

2.1 工业分析和元素分析

参照国标GB/T 212—2008《煤炭工业分析方法》、GB/T 31391—2015《煤的元素分析》对煤进行工业分析与元素分析,并依据GB/T 15224.1—1994《煤炭质量分级第1部分:灰分》、GB/T 15224.2—1994《煤炭质量分级煤炭硫分分级》和MT/T 849—2000《煤的挥发分产率分级》进行煤的质量分级,结果见表1。

表1 京西煤样的工业分析和元素分析
Table 1 Proximate and ultimate analysis of Jingxi coal sample

样品Ro,max/%工业分析/%元素分析/%MadAdVdafw(C)dafw(H)dafw(O)∗w(N)dafw(S)t,dH/CO/CJX7.124.519.263.9595.111.572.590.380.340.1980.020JX-d—6.350.654.4697.901.610.250.140.100.1970.001

注:Ro,max为样品平均最大反射率;O*氧含量由差减法所得;—为未检出。

由表1可知,京西无烟煤的灰分为9.26%,挥发分为3.95%,全硫质量分数为0.34%,属于品质较好的低灰、低挥发分和特低硫无烟煤。煤中碳、氢和氧相对质量分数分别为95.11%、1.57%和2.59%。脱灰后JX无烟煤的灰分产率从初始的9.26%下降到0.65%,脱除率为93%,表明矿物得到了有效去除。脱灰后JX无烟煤碳、氢元素含量有所提高,氧、氮、硫元素含量有明显下降。经过脱灰,样品H/C基本未变,O/C大幅下降。

2.2 核磁共振碳谱分析

煤基氧化石墨烯的碳按形式可分为芳香碳和脂肪碳。芳香碳包括质子化芳碳和非质子化芳碳。非质子化芳碳包括接氧芳碳、脂取代芳碳、桥接芳碳;脂肪碳中有脂环碳、烷烃中的碳、芳香环上烷基侧链中的碳和含氧官能团(如—COOH、—CO、—OCH3)中的碳等。

京西煤基氧化石墨烯的核磁谱图明显地分为3个峰[44],分别是位于0~100的脂肪部分、位于100~150的芳香部分和175~200的羧基、羟基部分。由于煤基氧化石墨烯的特殊结构,因此,无论脂肪族碳峰还是芳香族碳峰的强度都比较强烈。由于结构的复杂性,并考虑到核磁共振技术的限制,为了测得更多关于煤阶氧化石墨烯的结构和组成,研究采用Origin软件对GO-JX的核磁共振图谱进行了拟合,如图1所示。在拟合过程中,采用以下方法:在最低常数模式下扣除基线与背景,峰型选择常用的Gaussian模式,寻峰后参考样品特征去除多余的峰,拟合过程中调整相关参数以保证拟合最优化。

图1 京西煤基氧化石墨烯13C-NMR分峰拟合
Fig.1 Peak fitting of 13C-NMR spectrum of Jingxi coal-based grapheme oxide

GO-JX的核磁共振谱峰位的归属分类见表2。表2中各峰的相对面积为各峰的面积除以各峰总面积。由表2可知,京西煤基石墨烯的芳香结构和脂肪碳含量较高,对照归属峰位发现,其中含有大量的羧基。根据各官能团的峰位归属和相对含量(相对峰面积比)计算了GO-JX的12个结构参数见表3。

表2 京西煤基氧化石墨烯 13C-NMR分峰拟合的峰位归属
Table 2 Attribute of peak fitting of 13C-NMR spectrum of Jingxi coal-based grapheme oxide

峰序号化学位移峰型半峰宽/cm-1相对峰面积/%峰位归属15.84Gaussian3.960.64脂甲基碳210.87Gaussian7.360.80脂甲基碳316.55Gaussian5.170.51脂甲基碳422.22Gaussian8.960.43芳甲基碳530.55Gaussian9.701.81亚甲基碳645.29Gaussian16.465.41季碳、次甲基碳759.27Gaussian13.0320.09甲氧基及氧接亚甲基碳870.03Gaussian13.0313.53氧接次甲基碳984.22Gaussian20.544.93环内氧接脂碳10106.10Gaussian19.005.04质子化芳碳11118.79Gaussian13.035.96质子化芳碳12131.06Gaussian16.0621.38桥接芳碳13142.56Gaussian19.216.59侧支芳碳14156.64Gaussian8.081.97氧取代芳碳15166.21Gaussian11.684.00羰基羧基碳16173.81Gaussian6.170.92羰基羧基碳17180.02Gaussian8.961.24羰基羧基碳18187.37Gaussian6.731.62羰基羧基碳19193.45Gaussian8.491.96羰基羧基碳20201.29Gaussian6.341.17羰基羧基碳

表3 京西煤基氧化石墨烯的结构参数
Table 3 Structure parameters of Jingxi coal-based grapheme oxide %

fafacf′afNafHafPafSafBafalf∗alfHalfOal51.8510.9140.9420.9410.991.976.5921.3848.157.367.6538.52

注:fa 为总芳香碳;为羧基羰基碳;fa为芳香环;为非质子化芳碳;为质子化芳碳;为氧接芳碳;为烷基芳碳;为芳香桥碳; fal为脂肪碳; 为甲基和季碳;为亚甲基和次甲基;为氧接脂肪碳。

根据表3中测得的数据进一步计算出京西煤基氧化石墨烯分子结构中的重要参数,GO-JX的芳香桥碳与周碳之比这与GO-JX样品中的芳香簇的尺寸密切相关[45]。桥周碳比大于1证实了无烟煤制备氧化石墨烯的成功,也反映了煤基氧化石墨烯结构是由单层碳原子六方堆积而成的结构特性。其中GO-JX中略大于这表明GO-JX的脂肪碳中亚甲基和次甲基的含量略高于甲基。

2.3 扫描电子显微镜测试分析

为研究制备好的京西煤基氧化石墨烯样品的形貌特征以及C、O、S、K和Mn元素的相对含量,计算JX-GO样品中氧碳原子个数比(O/C),收集构建京西煤基氧化石墨烯分子结构搭建的必要数据,故对JX-GO样品进行了SEM镜下形貌观察并结合EDS图谱进行化学组分分析。

煤基氧化石墨烯的SEM二次电子图像以及EDS谱图如图2所示,由图2可知,煤基氧化石墨烯样品的表面有较多的波纹形褶皱且多呈片状,这是由于经强酸的插层作用和氧化剂的氧化作用,使其层间距增大后经超声剥离而形成了薄层状的煤基氧化石墨烯。GO-JX的显微形貌层片较大,剥离效果较好,这是由于煤基石墨经过高温石墨化处理,使其芳香核重组,微晶尺寸大幅度增加,且缺陷度较小。

图2 京西煤基氧化石墨烯的SEM-EDS图
Fig.2 SEM-EDS image of Jingxi coal-based grapheme oxide

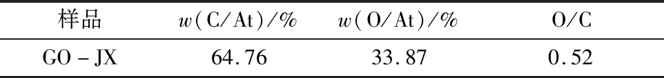
由EDS谱图中元素的半定量分析(表4)得到,煤基氧化石墨烯的元素均以碳、氧为主,GO-JX样品的氧含量很高,氧碳原子个数比(O/C)为0.52。在样品中均可见到少量的Mn、S、K等元素,这是因为对样品进行浓硫酸插层、高锰酸钾氧化后带入的和K未完全去除的缘故,但含量太少,无法在分子构建中形成1个单位的分子结构,故在之后的分子构建中不再画出。

表4 煤基氧化石墨烯元素的EDS半定量分析
Table 4 Semi-quantitative analysis of EDS of Jingxi coal-based grapheme oxide

样品w(C/At)/%w(O/At)/%O/CGO-JX64.7633.870.52

注:对样品进行面扫描获取元素的原子百分比后,进行半定量分析。

2.4 X射线光电子能谱分析

依据文献[46-47],通过解析 XPS 谱图对京西煤基氧化石墨烯中O元素形态的表征分析。采用Origin 8.5软件对京西煤基氧化石墨烯的XPS数据谱图进行分峰拟合,发现XPS谱图中主要存在2个主要峰位:①531.42 eV峰附近的羰基氧;②532.76 eV峰附近的酚羟基和醚基氧,如图3所示。通过对子峰相对面积的计算(表5),知GO-JX氧元素以酚羟基和醚氧基为主要存在形式,分子数量比为9∶1。

表5 京西煤基氧化石墨烯XPS O(1s)的组成
Table 5 Composition of XPS O(1s) of Jingxi coal-based grapheme oxide

项目峰位/eV归属相对面积/%O(1s)531.42C O10.96532.76C—O89.03

图3 京西煤基氧化石墨烯XPS O(1s)谱图
Fig.3 XPS O(1S) spectrum ofJingxi coal-based grapheme oxide

3 分子模型的基本结构

3.1 芳香结构

京西煤基氧化石墨烯含碳相对质量分数为71.80%,明显低于原煤的95.11%相对质量分数,这和氧化过程中引进插入大量含氧官能团和少量杂原子有关。芳香桥碳与周碳比XBP的平均为1.093。由此可知,GO-JX的芳香骨架的构成主要为苯、萘、蒽和菲,鉴于ACD/CNMR Predictor软件计算能力仅限于原子数目少于255个的分子,因此构建的模型中碳原子个数设计为163个,其芳香结构类型及个数见表6。

表6 京西煤基氧化石墨烯模型中的芳香结构
Table 6 Aromatic carbon structure in Jingxi coal-based grapheme oxide

芳香结构数目芳香结构数目21112——

3.2 脂肪碳结构

煤基氧化石墨烯中脂肪结构以次甲基、环烷烃、氧接脂肪碳等形式存在。由核磁共振碳谱结果可知结构中含有大量的次甲基,环烷烃较少。这是因为烷基侧链长度随煤化度的增加减小很快,原煤反射率为7.12%,烷基侧链已极少出现。在氧化石墨烯制备过程中会大量造成氧接脂肪碳的形成,可造成氧接脂肪碳增多,这与表2与表3的结果(氧接脂肪碳占38.52%)一致。根据芳香桥碳与周碳之比为1.093,计算得氧化石墨烯结构模型中的芳香碳原子数量。由表3可知,京西煤基氧化石墨烯的芳香度fa为40.94%,进而得到可以得到京西煤基氧化石墨烯结构模型中脂肪碳原子的数量。

3.3 杂原子结构

根据煤基氧化石墨烯扫描电镜元素的半定量元素分析的结果可获得主要元素的比例和构建模型中确定的碳原子个数。对比表4和表1可知,由于制备过程中大量含氧基团的引入,煤基氧化石墨烯的O/C已高达0.52,这与13C-NMR结果中含有较多的含氧官能团一致。计算出分子模型中氧原子个数为58。由XPS结果可知煤基氧化石墨烯结构中含氧官能团以醚氧基和酚羟基为主,还含有大量的羧基。根据碳氧个数比以及官能团种类,在构建的煤基氧化石墨烯分子平均结构模型中放置32个醚氧基,16个酚羟基和10个羧基。扫描电镜(SEM)结果表明,煤基氧化石墨烯结构中氮和硫元素含量太少,在模型中无法构成1个分子结构单元,便不再绘制S和N的官能团。

4 模型的构建和结构优化

4.1 模型的构建

根据13C-NMR得到的结构信息并结合扫描电子显微镜和测试结果,得到京西氧化石墨烯的基本结构单元类型、元素占比和芳香度等参数。通过计算机辅助分子设计,建立了GO-JX的初始结构模型。利用ACD/CNMR软件计算GO-JX初始结构模型中各碳原子的化学位移,给出每个碳原子化学位移的线宽,假设每个峰为高斯峰,得到了GO-JX初始结构模型的13C-NMR模拟图谱。将模拟图谱与实验图谱进行对比,并多次微调优化GO-JX初始结构模型,最终得到的结构模型如图4所示。京西煤基氧化石墨烯的结构与Lerf模型[18]相似。包含2种区域:含未氧化苯环的芳香区域和含脂肪族六元环的区域。这2个区域的相对大小取决于氧化程度。每个氧化芳香环中官能团的分布不必相同,氧化环和芳香实体都是随机分布的。模拟图谱中的中酚(或芳族二醇)基团的形成表明环氧化物和羟基彼此非常接近。羧基、酯基和羰基等官能团则主要分布于片层边缘,这也是氧化石墨烯可具有化学稳定性的必要条件,比如在水和极性溶剂中能稳定存在。此外,京西氧化石墨烯的结构中还含有大量的醚氧基团,这与SCHOLZ-BOEHM[48]和DÉCNY[49]结构模型中的结论一致。京西氧化石墨烯的结构中几乎不含杂原子基团,比传统氧化石墨烯有更大的芳环体系,这说明高温石墨化处理后的脱灰煤样达到了理想的石墨化程度,更有利于制备氧化石墨烯。实验室图谱与模拟图谱对比如图5所示,在主要因素上,图谱的走势和2个主峰的位置及其强度基本一致,说明京西煤基氧化石墨烯模型构建的还原度较好。模型的结构参数见表7,京西煤基氧化石墨烯模拟结构中的C、O含量与表4中EDS半定量分析的结果基本吻合。

图4 京西煤基氧化石墨烯的结构平面模型
Fig.4 Plain structure model ofJingxi coal-based grapheme

图5 实验室图谱与模拟图谱对比
Fig.5 Comparsion of the experimental spectra with simulated

表7 京西煤基氧化石墨烯模型的结构参数
Table 7 Stureture parameters of Jingxi coal-based grapheme oxide

分子式相对分子质量元素质量分数/%CHOC163H58O65305464.051.9034.05

当然,构建的煤基氧化石墨烯分子结构模型仅是试验数据解析结果的集合,有必要对其进行试验验证或者模拟计算的进一步分析验证,根据反馈信息对其进行修正。试验验证、模拟计算以及反馈信息的修正会导致构建的分子模型出现差异,而这也正是我们积极探索和努力的方向。

4.2 模型的优化

自然情况下,大部分的分子是以最低能量状态存在的,并且能量最低构型最具代表性,因此它们的性质可代表研究系统的性质。在建模过程中,最低能量的模型构建是不确定的,所以研究的出发点是优化配置,将模型优化到最小能量,只有找到了代表性的系统,才能准确性的进行下一步的研究,从而使研究结果具有意义。

用ADF软件对煤基氧化石墨烯模型构建的案例并不多,采用ADF软件对得到的京西煤基氧化石墨烯的模拟模型进行几何优化。最终模型如图6所示,可看到,经过优化后的立体结构模型与模拟结构图十分吻合,说明此次利用ADF软件对煤基氧化石墨烯模型的构建效果是理想的。而且优化后的立体结构变的非常紧凑,具有很好的立体结构,这是京西煤基氧化石墨烯中大芳环体系之间π—π相互作用的结果。

图6 京西煤基氧化石墨烯的能量最优构型
Fig.6 Energy-minimum conformation for Jingxi coal-based grapheme oxide

几何优化采用UFF力场,UFF可对各个元素进行参数化,即所有力场参数设置都由特定的规则产生,适用性广泛,可对大部分的结构进行计算。在没有被特殊力场覆盖的体系中也可采用UFF进行预测,所以在测算煤基氧化石墨烯等结构时可采用UFF力场。总能量减小,优化后京西煤基氧化石墨烯结构总能量为43.439 kJ/mol,结构中的脂肪键、桥键等发生扭转,芳香片层排列规整。

5 结 论

1)京西煤基氧化石墨烯的芳香结构单元主要是以缩合程度为2的萘的结构为主,以苯环、蒽环和菲环为辅。

2)根据由13C-NMR得出的京西煤基氧化石墨烯结构参数,计算出芳香桥碳与周碳比为1.093,桥周碳比大于1证实了无烟煤制备氧化石墨烯的成功,也反映了煤基氧化石墨烯结构是由单层碳原子六方堆积而成的结构特性。脂肪碳以次甲基、氧接脂肪碳、环烷烃的形式存在,其中含氧官能团以酚羟基和醚氧基为主,还含有大量的羧基,几乎不含杂原子。

3)根据由13C-NMR、扫描电子显微镜和XPS分析得到的元素占比以及结构参数,完成了GO-JX初始化学结构模型的构建,利用ACD/CNMR predictor对GO-JX初始化学结构模型的13C-NMR谱进行了模拟,GO-JX模拟模型中羧基、酯基和羰基随机排布在结构边缘,醚氧基团分布其中。高温石墨化处理的脱灰煤样达到理想的石墨化程度后,更有利于制备氧化石墨烯,使得氧化石墨烯具有更大的芳环体系。根据模拟谱和实验谱图的比较,两个主峰的位置及其强度具有较好的一致性,GO-JX模型得到了很好的还原。

4)探索性的利用ADF软件对GO-JX的化学结构模型进行了修正,并成功的将GO-JX的分子结构模型进行了几何结构优化,获得了稳定的GO-JX分子结构模型,优化后总能量为43.439 kJ/mol,在大芳环大芳环体系π—π的相互作用下,GO-JX有着非常紧凑的立体结构。

致谢:由衷感谢北京门头沟西山煤矿领导和工作人员对本次采样工作的帮助,十分感谢北京大学分析测试中心和中国矿业大学(北京)煤炭资源与安全开采国家重点实验室对本论文试验的支持。

参考文献(References):

[1] MRINMOY D,CHOU,DRAVID. Grap-hene oxide as an enzyme inhibitor:modulation of activity of α-chymotrypsin[J]. Journal of the American Chemical Society,2011,133(44):17524-17527.

[2] GUO C,YANG H,SHENG Z,et al. Layered graphene/quantum dots for photovoltaic devices.[J]. Angewandte Chemie,2010,49:3014-3017.

[3] LIU J,CUI L,DUSAN L. Graphene and graphene oxide as new nanocarriers for drug delivery applications[J]. Acta Biomaterialia,2013,9(12):9243-9257.

[4] MARTIN P. Graphene in biosensing[J]. Materials Today,2011,14(7):308-315.

[5] YANG Y,ABDULLAH M,TANG Z,et al. Graphene based materials for biomedical applications[J]. Materials Today,2013,16(10):365-373.

[6] REINA A,JIA X,HO J,et al. Large area,few-layer graphene films on arbitrary substrates by chemical vapor deposition.[J]. Nano Letters,2009,9(1):30-35.

[7] VERMA V P,DAS S,LAHIRI I,et al. Large-area graphene on polymer film for flexible and transparent anode in field emission device[J]. Applied Physics Letters,2010,96(20):1-3.

[8] CHEN Z,REN W,LIU B,et al. Bulk growth of mono- to few-layer graphene on nickel particles by chemical vapor deposition from methane[J]. Carbon,2010,48(12):3543-3550.

[9] 传秀云,鲍 莹. 煤制备新型先进炭材料的应用研究[J]. 煤炭学报,2013,38(S1):187-193.

CHUAN Xiuyun,BAO Ying. Application of coal as raw materials in preparing new advanced carbon materials[J]. Journal of China Coal Society,2013,38(S1):187-193.

[10] KAPIL M,SUNNY E,MEYYAPPAN M,et al. Coal as a carbon source for carbon nanotube synthesis[J]. Carbon,2012,50(8):2679-2690.

[11] ZHOU Q,ZHAO Z,ZHANG Y,et al. Graphene sheets from grap-hitized anthracite coal:preparation,decoration,and application[J]. Energy & Fuels,2012,26(8):5186-5192.

[12] GAO F,QU J,ZHAO Z,et al. A green strategy for the synthesis of graphene supported Mn3O4 nanocomposites from graphitized coal and their supercapacitor application[J]. Carbon,2014,80(1):640-650.

[13] SANTOSH H V,WANG D,GERARDINE G B. Raw coal derived large area and transparent graphene films[J]. Ecs Solid State Letters,2013,2(7):M45-M47.

[14] BAYSAL M,YÜRÜM A,YILDIZ B,et al. Structure of some western Anatolia coals investigated by FTIR,Raman,13C solid state NMR spectroscopy and X-ray diffraction[J]. International Journal of Coal Geology,2016,163:166-176.

[15] SONIBARE O O,HAEGER T,FOLEY S F. Structural characterization of Nigerian coals by X-ray diffraction,Raman and FTIR spectroscopy[J]. Energy,2010,35(12):5347-5353.

[16] 陈昌国,张代钧,鲜晓红,等. 煤的微晶结构与煤化度[J]. 煤炭转化,1997(1):45-49.

CHEN Changguo,ZHANG Daijun,XIAN Xiaohong,et al. The microcrystal structure and coalification degree of coal[J]. Coal Conversion,1997(1):45-49.

[17] ZHOU S,KIM S,RIEDO E,et al. Multilayer epitaxial graphene oxide:structural and chemical properties from a combined theoretical and experimental XPS study[R]. Ray Phaneuf Surfaces,Interfaces,and Thin Films:Kinetics,Dynamics,and Reactions:John Wiley and Sons. America,2012,P5.00005.

[18] LERF A,HE H,FORSTER M,et al. Structure of graphite oxide revisited[J]. Journal of Physical Chemistry B,1998,102(23):4477-4482.

[19] HE Heyong,RIEDL T,LERF A,et al. Solid-state NMR studies of the structure of graphite oxide[J]. Journal of Physical Chemistry,1996,100(51):19954-19958.

[20] HAO Rui,QIAN Wen,ZHANG Luhui,et al. Aqueous dispersions of TCNQ-anion-stabilized graphene sheets[J].Chemical Communications,2008(48):6576-6578.

[21] SHAN Chongsheng,YANG Huafeng,HAN Dongxue,et al. Water-soluble graphene covalently functionalized by biocompatible poly-l-lysine[J]. Langmuir,2009,25(20):12030-12033.

[22] WANG Yan,SHI Zixing,FANG Jianhua,et al. Graphene oxide/polybenzimidazole composites fabricated by a solvent-exchange method[J]. Carbon,2011,49(4):1199-1207.

[23] KONWER S,BORUAH R,DOLUI S. Studies on conducting polypyrrole/graphene oxide composites as supercapacitor electrode[J].Journal of Electronic Material,2011,40(11):2248-2255.

[24] 王立娜,陈成猛,杨永岗,等. 氧化石墨烯-酚醛树脂薄膜的制备及性能研究[J]. 材料导报,2010(18):58-60,64.

WANG Lina,CHEN Chengmeng,YANG Yonggang et al. The preparation and properties of graphene oxide sheets/phenolic resin composites[J]. Materials Reports,2010(18):58-60,64.

[25] 谢克昌. 煤结构和反应性的多方位认识和研究:I.煤的结构[J]. 煤炭转化,1992(1):24-30.

XIE Kechang. Multi-directional understanding and research on coal structure and reactivity:I. coal structure[J]. Coal Conversion,1992(1):24-30.

[26] 谢克昌. 煤的结构与反应性[M]. 北京:科学出版社,2002.

[27] MATHEWS J P,CHAFFEE A L. The molecular representations of coal:a review[J]. Fuel,2012,96:1-14.

[28] FUCHS W,SANDOFF A G. Theory of coal pyrolysis[J].Industrial & Engineering Chemistry Research,1942,34:567.

[29] WISER W H.Reported in division of fuel chemistry[J]. Preprints,1975,20(1):122.

[30] GIVEN P H. The Distribution of hydrogen in coals and its relation to coal structure[J]. Fuel,1960,39(2):147-153.

[31] WENDER I. Catalytic synthesis of chemicals from coal[J]. Catalysis Reviews,1976,14(1):97-129.

[32] HATCHER P G. Chemical structural models for coalified wood(vitrinite) in low rank coal[J]. Organic Geochemistry,1990,4(16):959-968.

[33] SHINN J H. From coal to single-stage and two-stage products:a reactive model of coal structure[J]. Fuel,1984,63(9):1187-1196.

[34] PAPPANO P,Mathews J P,Schobert H H. Structural determinations of Pennsylvania anthracites [J]. Preprints-American Chemical Society,Division of Petroleum Chemistry,1999,44:567-570.

[35] HIRSCH P B. X-Ray scattering from coals [J]. Proceedings of the Royal Society a:Mathematical,Physical and Engineering Sciences,1954,226:143-169.

[36] GIVEN P H,MARZEC A,BARTON W. The concept of a mobile or molecular phase within the macromolecular network of coals:a debate [J]. Fuel,1986,65(2):155-163.

[37] NISHIOKA M. The associated molecular nature of bituminous coal[J]. Fuel,1992,71(8):941-948.

[38] OBERLIN A. Chemistry and physics of carbon [M]. New York:Dekker,1980.

[39] GRIGORIEW H,Cichowska G. Spatial coal structure models [J]. Journal of Applied Crystallography,1990,23(3):209-210.

[40] 秦志宏.煤嵌布结构模型理论[J].中国矿业大学学报,2017(5):66-75.

QIN Zhihong. Theory of coal embedded structure model[J]. Journal of China University of Mining & Technology,2017(5):66-75.

[41] BOTAS C,LVAREZ P,BLANCO P,et al. Graphene materials with different structures prepared from the same graphite by the Hummers and Brodie methods [J]. Carbon,2013,65(6):156-164.

[42] HUMMERS W S,OFFEMAN R E. Preparation of graphitic oxide[J]. Journal of the American Chemical Society,1958,208:1334-1339.

[43] BOTAS C,ANA M P,PATRICIA ,et al. Optimi-zation of the size and yield of graphene oxide sheets in the exfoliation step[J]. Carbon,2013,63(2):562.

[44] TREWHELLA M. J,POPLETT I J F,GRINT A. Structure of Gr-een River oil shalekerogen:determination using solid state 13C NMR. Spectroscopy[J]. Fuel,1986,65(4):541-546.

[45] 郑昀辉,戴中蜀. 用NMR研究低温热处理对低煤化度煤化学组成结构的影响 [J]. 煤炭转化,1997(4):54-59.

ZHENG Junhui,DAI Zhongshu. Using NMR to research the influence of low temperature pyrolysis on the chemicalcomponent and structure of low rank coal[J]. Coal Conversion,1997(4):54-59.

[46] STEVEN D,CHAKRAVARTHY S K S,GIYN L B,et al. Surface characterization of carbon fibers using angle-resolved XPS and ISS [J]. Carbon,1995,33(5):587-595.

[47] GRZYBEK T,PIETRZAK R,WACHOWSKA H,et al. X-ray photoelectron spectroscopy study of oxidized coals with different sulphur content [J]. Fuel Processing Technology,2002,77/78:1-7.

[48] SZABO T,BERKESI O,DEKANY I. Drift Study of deuterium-exchanged graphite oxide[J]. Carbon,2005,43:3186-3189.

[49] SZABO,T,BERKESI O,FORGO P,JOSEPOVITS K,et al.,Evolution of surface functional groups in a series of progressively oxidized graphite oxides[J]. Chemistry of Materials,2006,18:2740-2749.

Model construction and optimization of molecule structure of coal-based grapheme oxide from Jingxi coal

TANG Yuegang1,CHEN Pengxiang1,LI Ruiqing1,HUAN Xuan2,XU Jingjie1,FAN Jiangtao1,CHE Qili1

(1.College of Geoscience and Surveying Engineering,China University of Mining and Technology-Beijing,Beijing 100083;2.Infe Intelligence & Information(Beijing) Technology Co.,Ltd.,Beijing 100102)

Abstract:With the development of coal-based carbon materials,graphene,graphene oxide and other two-dimensional carbon nano materials have become an important research field in new carbon materials. In order to clarify the chemical composition and molecular structure characteristics of coal based graphene oxide,coal based graphene oxide was prepared by modified Hummers oxidation-reduction method with anthracite from No.8 coal seam of Jurassic Mentougou coal measures in Xishan mining area of Beijing as carbon raw material. The roximate and ultimate analysis of Jingxi coal sample and demineralization coal sample were carried out. The results shown that Jingxi coal is low ash yield,low volatile and ultra-low sulfur anthracite with good quality. After demineralization,the ash yield of Jingxi anthracite decreased from 9.26% to 0.65%,indicating that the minerals have been effectively removed. The prepared graphene oxide was analyzed by 13C-NMR,SEM,EDS and XPS. The data were analyzed and fitted by Origin,and the element ratio and structure parameters of the product were obtained. The results showed that the aromatic structure of Jingxi coal based graphene oxide was mainly benzene,naphthalene,anthracene and phenanthrene; the aliphatic carbon was in the form of methylene and cycloalkanes,in which the oxygen containing functional groups were mainly phenolic hydroxyl and ether oxy,and also contained a large number of carboxyl groups. On the basis of the analysis data,the molecular structure model of Jingxi coal based graphene oxide was constructed and modified by the 13C-NMR prediction software ACD/CNMR predictor. The molecular structure model of GO-JX was consistent with the experimental NMR spectra.

Key words:Jingxi coal;coal based graphene oxide;molecular structure;molecular model;structure optimization

中图分类号:TQ53

文献标志码:A

文章编号:0253-2336(2021)06-0126-09

移动扫码阅读

唐跃刚,陈鹏翔,李瑞青,等.京西煤制备氧化石墨烯分子结构模型的构建与优化[J].煤炭科学技术,2021,49(6):126-134.doi:10.13199/j.cnki.cst.2021.06.015

TANG Yuegang,CHEN Pengxiang,LI Ruiqing,et al.Model construction and optimization of molecule structure of coal-based grapheme oxide from Jingxi coal[J].Coal Science and Technology,2021,49(6):126-134.doi:10.13199/j.cnki.cst.2021.06.015

收稿日期:2021-02-28

责任编辑:郭 鑫

基金项目:国家自然科学基金资助项目(41872175)

作者简介:唐跃刚(1958—),男,重庆人,教授,博士生导师,博士。Tel:010-62339302,E-mail:tyg@vip.163.com