煤矿动力灾害广义“三因素”机理探讨

李海涛1,2,齐庆新1,2,赵善坤2,3,李宏艳2,3,舒龙勇2,3,陈理强4

(1.煤炭科学研究总院 深部开采与冲击地压防治研究院,北京 100013;2.煤炭资源高效开采与洁净利用国家重点实验室 ,北京 100013;3.煤炭科学技术研究院有限公司 安全分院,北京 100013;4.山东科技大学,山东 泰安 271019)

摘 要:目前煤矿动力灾害的机理类研究多基于单一要素开展,由此获得的结论具有相对独立性,进而使得动力灾害研究呈现出复杂化的趋势。为回归其弹性能大量积聚和剧烈释放的本质,增强相关研究的关联性,以弹性能积聚为线索,通过常识推理提出了煤矿动力灾害形成的基本逻辑,包括:持续的能量补给;保证能量形式为弹性能的介质属性;能够使弹性能积聚至致灾量级且可以失效的制约机制,并指出,“能量源”包括稳定和偶发2种形式,前者来自开采卸荷后的等效加载作用,后者来自动载扰动;“介质属性”狭义上指物质种类,但对于冲击倾向性、渗透性等受限于细观结构的属性同样纳入本概念中;制约机制则是弹性能积聚至致灾量级并产生剧烈释放的关键,以结构面和块体组合为具体形式,是实现人为干预防灾的切入点。并将其分别概括为“力源因素”、“物性因素”和“结构因素”,其中,物性因素是一切行为的基础,力源因素与结构因素具有密切的互馈作用,据此提出了广义“三因素”机理,给出了其潜在应用场景及未来研究方向。

关键词:动力灾害;冲击地压;煤与瓦斯突出;广义“三因素”

0 引 言

煤矿深部开采及其带来的挑战已成为无法回避的新常态。其中,冲击地压、煤与瓦斯突出以其复杂的形成机制和剧烈的破坏特征,成为威胁煤矿安全生产最为主要的动力灾害形式[1]。自1738年英国南史塔福煤田首次发生冲击地压、1834年法国鲁阿雷煤田首次发生煤与瓦斯突出以来,包括我国在内的多个主要采煤国家,在煤矿动力灾害(指冲击地压、煤与瓦斯突出)防控方面持续投入了大量资源,而机理研究作为有效防控的根本前提,更是各国学者关注的重点,配合着措施执行装备的强化[2-3],动力灾害防控实践取得了令人瞩目的成就。

但煤、岩介质具有极为复杂的天然构造和赋存状态,而采掘活动又在此基础上增加了人工结构(井巷、采空区及其空间组合等)和动态特征,同时,煤岩系统作为统一整体,发生在其内部的任何具体现象,天然受到系统内多种因素的综合影响。由此,使得目前在动力灾害危险性评估/评价、监测数据分析、防控措施设计等方面,仍存在经验依赖性强、现场针对性弱的短板。而构建逻辑清晰且具有较好兼容性的动力灾害认知体系则是解决上述问题的前提。由于气体参与下突出的破坏特征与冲击地压存在明显差异,实际研究中更多将2种灾害区别对待,但从力学角度而言,2种灾害均发生在由开采形成的“矿体-围岩”系统之中,其宏观尺度的基本力学模型并未因破坏特征不同而有所区别[4-5],即使进入细观尺度,2种灾害的研究也都围绕裂隙的发育展开,而不论是卸荷加载还是气体压力,其在灾害中的基本作用均体现为介质变形和裂隙发育[6-7]。由此,在求同存异的原则下,将此2种灾害的研究成果进行二次梳理,以获得抽象程度更高、更接近于本质的动力灾害认知将具备合理性和可行性。

为此,需将“矿体-围岩”系统具体化:首先,必然需要考虑介质的物理力学等固有属性;其次,矿体、围岩在工程尺度以块体组合的形式存在,进而涉及结构问题;最后,原岩应力和开采活动将为具体力学行为的发生提供动力。而类似概念,在齐庆新[8]提出的冲击地压“三因素”理论中已经有所阐述,即内在因素(煤岩的冲击倾向性)、结构因素(具有软弱结构面和易于引起突变滑动的层状界面)和力源因素(高度的应力集中或高变形能的贮存与外部的动态扰动),三者的相互作用是导致冲击地压发生最为主要的原因。该理论将冲击地压的发生机理明确到了具体的要素和逻辑上,对于防控工作具有切实的指导作用。而煤与瓦斯突出中的“综合作用假说”,也提出了包括地应力、瓦斯和煤的物理力学性质在内的“三要素”概念。但上述理论均面向单一灾害,导致各自概念的兼容性有限,但鉴于上述概念较好的可扩展性,有必要在煤矿动力灾害泛化研究的视角下实现上述认知的统一。

基于此,笔者在不拘泥于冲击地压和煤与瓦斯突出概念的前提下,从介质属性、荷载应力、裂隙发育、变形破坏等更为一般化的概念出发,以分析煤岩物理力学行为本源的方式,对煤矿动力灾害形成机理进行了更为泛化的探讨,在符合已有共识的前提下,提出了煤矿动力灾害广义“三因素”机理,明确了其内涵逻辑、力学模型等基本要素,并给出了其潜在应用场景和未来研究方向,为最终形成具有切实指导作用的煤矿动力灾害防控端理论体系做出了有益的探索。

1 煤矿动力灾害孕育及发生的基本逻辑

为实现回归本源的目的,相关结论应具有尽可能少的前置条件以强化其普适性,因此,首先采用常识性推理的方法对煤矿动力灾害的基本逻辑进行梳理。对于煤矿动力灾害,其最为关键的特征即突发性和破坏性。其中,突发性是其动力特征的描述,暗示着状态突变机制的存在;而破坏性则来自大量煤岩介质的高速抛出,是称其为“灾害”的依据。以此为线索反推:大量介质高速抛出时的主要能量形式为动能,该部分动能显然来自抛出前的势能转化,而转化效率则以弹性势能(弹性变形能)为最。因此,动力灾害的发生势必以大量的弹性能有效积聚为前提,该结论在行业内具有广泛的共识。

以大量弹性能有效积聚为切入点,为达到该状态,需遵守以下常识性逻辑:①必然存在持续的能量补给源头;②必然需要依赖于介质的某些属性以保证主体能量形式为弹性变形能;③必然存在某种制约机制以保证弹性能积聚至失稳致灾的量级;④制约机制必然会在特定条件下突然失效,形成大量弹性能以剧烈释放。

为更加直观地解释上述逻辑,可将其归纳为“气球”模型:以持续注入气体使气球爆炸为目的,“持续注入气体”对应逻辑过程①;整个过程“气球”应保持足够弹性,对应逻辑过程②;注入过程中需要卡紧注气入口,且不能有过度的“气体泄漏”,对应逻辑过程③制约机制的存在,以及弹性能积累速度应大于能量耗散速度的前提;当“气体”注入量达到“气球”极限,或者在未达到极限之前外部出现“针刺”等行为,则气球爆炸,对应逻辑过程④达到制约机制自身极限或出现外部扰动,破坏了平衡状态导致弹性能大量急剧释放,形成灾害,其流程如图1所示。

图1 动力灾害泛化研究基本逻辑
Fig.1 Basic logic of dynamic disaster generalization

2 持续能量源的形式及作用机制

对冲击地压而言,能量源形式可以是较大的埋深、悬臂的顶板、地质运动形成的构造等,总体以造成煤岩介质发生变形为特征;而对于煤与瓦斯突出,在上述形式的基础上,不断解吸的瓦斯也能够在特定条件下形成弹性变形能积聚,为突出时的煤体抛出提供动力。除上述相对稳定的能量源形式外,还存在矿震、爆破、回采扰动等偶发性的能量源,同样能够造成短时间的能量状态变化,但是否能够致灾,一般还需依赖于稳定能量源作用下弹性能积聚的量级[9]

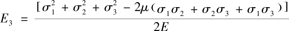
对上述能量源形式的作用机制,可依据开采阶段进行分析,多数能量源形式在开采前即存在,但由于原岩应力状态下煤岩系统总体处于平衡状态,因此,采前各能量源并未使介质产生额外变形,开采卸荷前介质处于三向应力状态,线弹性条件下以主应力表示的单元体三向受力条件存储能量E3

(1)

式中:σ1σ2σ3为最大、中间、最小主应力;μE分别为煤岩泊松比、弹性模量。

对于初始卸荷,应力状态转换为双向或单向,其能量状态也将相应随之跌落为E2E1,根据最小余能量原理[10],该部分跃迁产生的盈余弹性能E3-E2E3-E1将大部分转化为块体动能,一定程度可解释卸荷后煤岩的弹射以及含瓦斯煤层在揭煤石门处最易发生突出的现象。但现实条件下,并非每次卸荷都会造成块体抛出,因此,强调其对于煤岩的破坏作用可能更为确切。

与初始的快速卸荷不同,开采过程中的卸荷对于煤岩体的作用将更具持续性,可抽象为实验室内的卸围压过程,对应研究表明,随围压降低,其破坏形式也将由剪切破坏逐步向张拉劈裂过渡,其原因在于,三轴条件下的介质屈服主要服从摩尔-库仑准则,其形式为

σ1=[(1+sin φ)/(1-sin φ)]σ3+σc

(2)

式中:φ为煤体内摩擦角;σc为煤体单轴抗压强度。

而单轴条件下最小主应力σ3=0,其屈服仅需要满足σ1>σc即可,由于-1φ<1,故(1+sin φ)/(1-sin φ)>0,显然三轴条件下的屈服强度大于单轴条件,也由此解释了同轴压相似材料在低围压条件下强度更低的现象。由此,结合“矿体-围岩”模型(图2)。

图2 “矿体-围岩”相互作用系统模型
Fig.2 “Orebody-surrounding rock” model

模型外部应力环境由上覆岩层、周边地质构造等多种因素提供,为方便阐述,将应力分别投影至垂直和水平2个方向。煤炭开采将会导致局部承载实体减少,并由此引发局部应力重分布,以邻空实体煤为研究对象:失去部分承载实体的垂直方向荷载将更多的作用于邻空实体煤,由此产生顶板沉降和支承压力,二者均等效于竖向加载,靠近邻空面的煤体由于围压较低,更容易出现破坏,由外而内形成破碎区、裂隙区和弹性区,在煤壁深处开始出现弹性能积聚;失去部分承载实体制约的水平方向荷载,其促进邻空局部煤体向空区移动的趋势将增强,但由于同期竖向支承压力的提升,使得该区域煤岩接触面剪应力亦出现增加,进而能够与上述水平荷载的作用形成一定平衡,若由于某种原因该平衡丧失,则会引发黏滑;层状赋存的底板也将会由于水平荷载的作用产生向空区鼓出的趋势。此外,在上述卸荷引发的等效加载作用下,煤体内原生裂隙将出现张开闭合、发育贯通等行为,对于含瓦斯煤层,上述行为将直接影响瓦斯压力水平,而较高瓦斯压力的形成与煤体属性和制约机制均有关联,将在下文进行阐述。

除上述持续稳定的能量源形式外,还会由于天然矿震、人工爆破以及开采扰动等形成偶发性能量源,该类能量源往往以应力波的形式通过实体介质进行传播,其作用模式以能量状态扰动为主,而是否能够致灾,则更主要的取决于稳定能量源所形成的弹性能积聚量级,虽作用时间短,但其在准临界状态下诱发动力灾害的作用不容忽视。

综上所述,持续能量源依靠卸荷后的等效加载作用,能够为介质变形、裂隙发育、瓦斯解吸等基本行为的发生提供动力,但显然并不能由此即保证形成的能量形式为弹性能,进而引出弹性能积聚对于介质属性的依赖。

3 弹性能存储的介质属性条件及其影响机制

首先,需明确介质属性的研究尺度,否则在严格意义上所有问题都将是基本粒子的结构问题。目前对于动力灾害机理研究的尺度下限为细观尺度,主要关注在光学或常规电子显微镜下可见的材料细微结构[11],其尺寸大致处于10-4~1 mm量级,大于该量级则作为结构问题,小于该量级则进入微观原子级别,对于工程界还尚未显示出该尺度下的研究必要。因此,在动力灾害机理研究中,介质属性包括:物质类别(物理条件下无法改变)、细观结构特征(孔隙率、渗透率等)及其力学行为(单轴抗压强度、弹性能指数等)。即所谓煤岩属性是人为对于细观特征及其影响下力学行为的总结,这与介质宏观力学行为取决于细观特征演化的常识是相符的。

其次,弹性能积聚需要以具体的物质载体,可为固体也可为气体。对于冲击地压,其弹性变形能载体主要相对完整煤岩等固体,在持续力源的作用下,煤岩介质将出现变形、裂隙贯通及破坏,进而要求介质具有较大强度,使其在承载过程中保持较好的完整性,该类属性主要通过冲击倾向性指标进行描述;对于煤与瓦斯突出,除固体介质外,其弹性变形能还能够以气体为载体,该特征要求所涉及煤岩体具有较高的瓦斯含量,且能够充分解吸为游离态瓦斯进而形成承压状态,该类煤体的强度往往因瓦斯的存在而普遍较低,在荷载作用下易出现丰富的裂隙发育,通常以渗透率、瓦斯含量、孔隙压力等指标描述。

3.1 弹性能存储于固体

当弹性能存储于固体时,介质属性的作用机制可通过简化的细观含裂隙线弹性模型阐述,如图3所示。

图3 细观线弹性模型
Fig.3 Meso linear elastic model

其中,物质类别通过模型实体部分表征,其在纯物理条件下无法改变,主要参数为弹性模量E、泊松比μ、单元模型长度L以及受载条件下产生的均匀应变ε,细观结构则以简化为竖向发育的裂隙代表,其主要参数包括裂隙发育速度vc,模型上下端面受轴向匀速v位移加载。

模型尚未受裂隙切割时的承载面积为A0,由此,模型强度P可表示为

P=EεA0

(3)

受载过程中开始发育的裂隙将模型切割有N个子承载面,第i个子承载面长度为Ai。裂隙的发育将会改变介质的应力状态,其弱化效果可表示为

σc,i=σ0(1-Di),σc,iσc σc,i=0,σc,i>σc

(4)

式中:σ0为初始强度;σc,i为第i个子承载面的强度;Di为与第i个子承载面相关的损伤因子,σc为单轴抗压强度。

最先达到抗压强度的细观结构将发生破坏,若达到破坏标准的子承载面有n个,则模型总体的强度可表示为

(5)

由于裂隙长度对于介质强度的弱化作用十分复杂,此处作定性处理损伤因子DiDi可表示为

Di=ξvc,it/L

(6)

式中:ξ为与裂隙特征有关的调整系数;vc,i为第i个子承载面两侧裂隙的平均发育速度,将其作为常量处理;t为加载时间。

若采用恒定速率v的位移加载,加载时间t则模型应变ε

ε=vt/L

(7)

则模型强度P可表示为

(8)

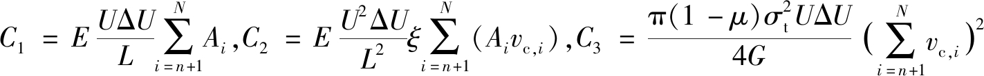
由此,进一步产生ΔU的位移,外部荷载做功增量ΔW

ΔW=PΔU=PvΔt

(9)

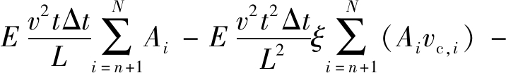
裂隙的能量损耗与其形态、密度等具有直接的关系,其量化关系十分复杂,为此,已有研究将其定性处理为裂隙总长度C的函数,产生ΔU位移期间,裂隙总长度增加ΔC,其能量损耗的增量[12]可表示为

(10)

式中:σt为裂纹尖端拉应力,与介质属性相关;G为剪切模量;裂隙总长度为裂隙长度增量。

由式(10)可知,裂隙发育引起的能量耗散,与裂隙总长度亦即裂隙发育时间相关,已有研究表明,较快的加载速率下试件将会表现出更强的脆性以及更大的强度,即快速加载条件下意味着更少的能量耗散,结合上式,裂隙发育时间t将是关键因素,而较快加载速率对应着不充分的裂隙发育时间,以此也解释了工作面推进速度对于冲击危险性的关键影响。

由此,若不考虑模型与外界的能量交换,则可获得在产生增量位移ΔU期间,综合了实体介质属性以及细观裂隙发育的弹性能增量ΔWe表达式为

ΔWeWWc=

(11)

由式(11)可以看出,即使实体部分为最简单的线弹性材料,也会由于细观结构(裂隙)的存在,使得弹性能的积聚状态趋于复杂,而要解释上述复杂性,则应从细观结构入手,并考虑加载条件这一最初动力。为此,将累积位移U和增量位移ΔU作为常量处理,则加载时间t及其增量Δt可表示为

(12)

则式(11)可表达为

(13)

以加载速率v为变量,则可进一步形式化为

(14)

由此,得到弹性能增量与加载速率的关系表达式,其物理意义为加载速率提升造成更多的弹性能积聚。但模型子承载面具有承载上限,加载速率的提升,在积聚更多弹性能的同时,也会造成更多子承载面的破断,进而丧失储能能力。由此,加载速率增大,在抑制裂隙发育,促进弹性能积聚的同时,也会由于子承载面更快达到破断极限,出现不利于储能的情况,即单一参量的线性增加,能够造成2种截然不同的结果,这就是造成复杂性的根源所在,如图4所示。

图4 裂隙发育与承载结构协同作用示意
Fig.4 Schematic of synergistic effect between crack development and bearing structure

综上所述,涵盖物质类别及细观结构影响的介质属性,对于弹性能积聚的影响具有显著的非线性机制,更为重要的是,对于天然煤岩介质的力学属性描述,必须给出对应的力学环境或限定标准加载条件,孤立的属性指标将不具备实际意义。

3.2 弹性能存储于气体

在煤与瓦斯突出领域,存储于气体且能够做功的能量更多被称为“瓦斯膨胀能”,其定义为煤体暴露面附近煤体质点受地应力作用破坏后大裂隙内以及由小裂隙(孔隙)最先释放到大裂隙中的瓦斯在向外界环境膨胀过程中转化出来的能量。地应力越大、煤体强度越低、瓦斯压力越大,初始瓦斯膨胀能就越大,发生突出的可能性就越大[13]。其做功形式与弹性能压缩后的回弹转化具有相似性,为保证阐述的统一性,将其作为存储于气体中的弹性能描述。

根据已有研究,虽然气体压力及其含量并不是造成突出启动的主要因素,但其对于维持突出过程的连续性,以及不断实现煤体的粉碎和抛出具有至关重要的作用[14]。其中,启动初期的煤体粉碎及抛出主要依靠启动前已经存储于气体中弹性能的膨胀做功,依据是否将突出考虑为绝热过程,该部分能量Wq可分别表示为[15]

(15)

(16)

式中:Mq为瓦斯气体质量;Uq为瓦斯气体分子量;T1为膨胀后的瓦斯(绝对)温度;CV为瓦斯气的定容分子热容量;P1P2为膨胀前后的瓦斯压力;γ=CP/CV(瓦斯气的定压分子热容/定容分子热容);R为普适气体恒量,其值约为8.314 J/(mol·K);T2为瓦斯温度。

由式(15)可知,考虑热交换与否,瓦斯压力对于该部分能量都具有直接影响。而在突出发动以后,正是由于煤壁深处具有较高瓦斯压力的煤体暴露,与孔洞中常态气压形成较大的压力梯度,才使得处于吸附状态的瓦斯解吸为游离态,进而为煤体的破碎和抛出提供新的动力,维持突出过程。显然,具有较高瓦斯含量是实现上述过程的前提之一。

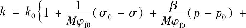
但与固体相比,气体具有天然的流动性,欲使解吸后的瓦斯形成压力,还需要将其限制在有限空间内[15],基于上述线弹性模型(图3),细观尺度形成该空间的主体仍为裂隙及实体介质,但在限制气体流动时,其相关特性将被概括为渗透率指标,符合前文关于介质属性的分析。在不考虑基质损伤效应的前提下,渗透率k与应力及瓦斯压力[17]的关系为

(17)

式中:k0为初始渗透率;M为约束轴向模量;σ0为初始地应力;σ为地应力;β为有效应力系数;p0为初始瓦斯压力;p为煤层瓦斯压力;K为煤体体积模量;φf0为骨架热膨胀系数;T为煤层温度;εmax为煤体极限吸附膨胀变形量;pL为Langmuir压力常数。

由式(17)知,影响渗透率的主控因素仍为外部荷载σ,荷载通过改变裂隙发育状态的方式对渗透率形成控制,而较低的渗透率则能够将游离瓦斯限制在有限空间内形成瓦斯压力p,进而对于渗透率形成反作用。由此也导致了介质属性影响下储能过程的复杂性。

由上述分析可知,无论弹性能存储于固体还是气体,介质属性对于能量存储产生影响的机制均受细观裂隙及实体变形的影响,验证了上文关于介质属性的分析,而产生影响的根本动力又均来自外部荷载,则验证了持续力源作为最根本条件的分析。

4 制约机制的形式及作用

上述研究同时表明在具备持续能量源和存储弹性能介质属性的前提下,岩体已能够开始积聚弹性能,但为使其积聚至致灾量级,还需要有类似于低渗透率的制约机制,以保证“更多”弹性能的积聚。渗透率隶属于细观尺度,笔者虽将其归纳在了介质属性范畴,但根据分形思想,各种尺度下煤岩裂纹分岔具有普遍自相似性,因此,在肉眼可见的宏观尺度同样应当存在类似的依附于结构特征的制约机制。

以此视角对已有成果进行二次认知可发现,形成额外弹性能积聚的制约机制可依托于结构面,也可依托于实体介质的空间组合。前者主要通过制约滑动趋势形成额外弹性能积聚,代表性的要素为能够发生黏滑的结构面[18],如可活化的断层、夹持作用下的煤岩接触面等;后者主要通过将大量弹性能制约在有限空间内而产生作用,而有限空间又可分为介质自身实体所占空间,如开采形成的孤岛工作面、悬而不断的坚硬顶板(第2.1节侧重常规加载,此处则侧重超长悬臂结构带来的更多能量积聚)等,以及结构包裹的密闭空间,如煤与瓦斯突出中层裂形成的球壳后方空间[19]。此外,还有1种更为普遍的形式,即结构面与块体的组合,具体可描述为萌生于介质内部的结构面网格及其切割而成的空间块体组合,该形式也是造成煤岩力学行为高度离散等复杂特征的主要诱因。

对于结构面和块体组合各自的研究已相对丰富,但2者组合对于弹性能积聚的影响,则由于介质内生结构观测手段有限以及结构网络特征极为复杂,相关研究仍处于探索阶段。岩体结构力学指出,结构是控制岩体力学行为的根本[20],笔者认同该观点,并认为内生结构面空间分布模式是该形式下影响弹性能积聚的关键所在。为验证这一判断,开展常规试样与特殊结构面模式试样的对比力学试验,其中,前者基于常规试样进行正常力学加载,后者则包括:基于颗粒流软件仅考虑裂隙发育的数值模拟和基于含倾斜贯穿分界面试样的力学试验。

为保证与前述力学模型分析的一致性,同样采用位移加载控制,并以此为试验变量之一,扩充分析依据。其中,常规试验组试样取自同一原煤以尽可能保证试样行为具有可比性;数值模型加入不同属性单元以反映非均匀性;含倾斜贯穿分界面试样来自天然夹矸煤块。加载速率及各自应力-应变曲线如图5所示,各条件下单轴抗压强度结果见表1。

图5 不同模型多加载速率应力-应变曲线
Fig.5 Multi loading rate stress-strain curves of different models

表1 各加载条件下模型单轴抗压强度
Table 1 Uniaxial compressive strength of model under different loading conditions

组别编号加载速率(μm·s-1)单轴抗压强度/MPa常规试样vc10.504.93vc20.8310.87vc31.1613.57vc41.3315.57vc51.5010.48vc61.677.84vc71.835.03颗粒流模拟vk10.00110.12vk20.01010.23vk30.10010.42vk41.00011.57vk510.00012.65含贯穿面试样vm10.3329.46vm20.6613.90vm31.0012.34vm41.339.81vm51.678.54

根据研究,单轴抗压强度与能量存储状态具有良好的相关性[21],为此,以单轴抗压强度为分析指标。由图5a可知,当加载速率逐渐增大时,对于常规煤样,其强度表现出了先增加后减小的非线性趋势,而单纯考虑裂隙发育的颗粒流模拟结果则表现出强度随加载速率线性增加的结果,如图5b所示。结合前文分析,较快的加载速率将抑制裂隙发育,由此可解释常规煤样强度随加载速率增加的上升段和纯裂隙发育影响下的强度线性上升,但也由此表明仅考虑裂隙发育将与实际不符。注意到常规煤样加载过程中出现了显著的应力调整,且存在调整过程中强度上升的现象,依据前文基本力学模型,调整中的下降段显然来自子承载单元的破断,但上升段则表明破断后形成的新结构仍可能具有一定承载能力,如图6所示。

图6 破断后承载机制示意
Fig.6 Schematic of bearing mechanism after fracture

基于上述起源于细观的结构模式并推而广之,随加载类似结构将逐渐发育贯通至宏观尺度的结构面及其切割而成的块体组合,同样会出现“破坏-调整-重新承载-最终破坏”的过程。而上述发育贯通或天然内生总有概率会出现类似于图5c中倾斜贯穿分界面的内生结构面模式,结果显示,该条件下单轴抗压强度随加载速率增加表现出了显著的线性下降趋势,即该内生结构面模式直接破坏了弹性能形成有效积聚的条件。

更为一般化的描述为:特定的内生结构面模式将能够对总体力学行为及演化趋势起到控制作用。由此,从不利于弹性能存储的角度,反证了内生结构面模式对于弹性能积聚具有促进作用。

而制约机制在达到自身极限或准极限时出现外部干扰将会失效,进而造成已积聚大量弹性能的剧烈释放,形成动力灾害。由此可获得更为重要的结论:以结构为依托的制约机制,实现了动力灾害孕育和防控的统一,强化制约机制即为孕灾,弱化或消除制约机制即为防控,结构模式的干预或控制将是实现动力灾害防控的关键切入点。

5 广义“三因素”机理及其应用

5.1 广义“三因素”机理的提出

通过上述分析,可将动力灾害形成的基本逻辑进一步概括为明确概念。

1)对于持续能量源,其产生作用的主要机制类似于加载,可将其概括为“力源因素”,其定义为依据某种作用机制造成介质变形、破坏等力学响应,为弹性能积聚提供源头补给,且具有实际物质基础的相关要素,如开采导致的应力重分布和集中、坚硬顶板破断形成的扰动、解吸后存储于有限空间的瓦斯压力等。力源因素是形成动力灾害的根本动力,通过应力等指标对其状态的描述则是衡量危险性的重要依据。

2)弹性能存储对介质属性的要求可概括为“物性因素”,其定义为细观尺度范围内,能够在介质基本物理特性方面带来差异的相关要素,及其影响下特定力学行为的概括,其中,物质类别在物理条件下无法改变,而由细观结构决定的相关属性则可通过一定手段改变,如加载过程中的渗透率、水浸泡下的介质强度等。

3)制约机制主要依附于结构发挥作用,故将其概括为“结构因素”,其定义为天然或人为形成,能够破坏介质均匀性、连续性的要素(面元、块体)及其组成的空间体系,其在达到自身极限或准极限状态时出现外部扰动的情况下将失效并诱发灾害,如煤岩内的结构面网格体系、地质构造、煤柱及井巷空间等。结构因素的人为干预是调整应力状态,实现动力灾害防控的主要途径。

由此,基于动力灾害基本逻辑提炼出了影响其演化及发生的3个关键概念,分别为“力源因素”、“物性因素”以及“结构因素”。其形式类似于冲击地压领域的“三因素”理论,但由于相关研究均基于介质属性、荷载应力、裂隙发育、气体解吸等一般化概念,因此,相关结论并不受制于具体的煤矿动力灾害类型,为作区别,将上述概念组合称为广义“三因素”机理,其基本逻辑关系如图7所示。

图7 “三因素”逻辑关系示意
Fig.7 Schematic of “Three Factors” logical relationship

在广义“三因素”机理中,“物性因素”是最根本的基础,为后续一切力学行为提供底层支撑;“力源因素”是动力灾害发生的根本动力,其状态则是评价危险性的主要依据,兼具源头和结果的属性;“结构因素”是孕育和控制动力灾害的关键所在,能够为弹性能大量有效积聚提供制约机制,而制约机制失效是动力灾害发生的直接原因。

需要强调的是,在具体现象中物性因素显然全程参与,而结构因素与应力因素则具有密切的互馈关系:应力作用下改变结构特征,结构特征改变后应力状态同步调整,如此往复,直至稳定或破坏。

5.2 广义“三因素”的应用

广义“三因素”机理侧重于动力灾害防控,以形成对于动力灾害防控细节的针对性指导为最终目的,在其框架下,针对各要素的干预可衍生出动力灾害基础研究、技术转化和装备研发的具体方向。而本文已获得的结论则能够为具体矿井条件下动力灾害防控的介入和具体措施设计提供参考。

5.2.1 物性因素的改变

目前深部开采面临的一系列难题都是由煤岩属性的显著变化引起,如“脆-延”转化、强流变等,而上述特征根植于细观尺度下的某种变化,欲改变细观结构的相关特性,采用承压流体将是实现预期目标的可靠手段,煤层注水、煤体冻结等即为最常见的物性改变方法。

以煤层注水为例,其能够有效弱化煤的强度、弹性模量等,使其破坏趋于平缓,其主要机理在于水分子对于细观接触面属性以及裂隙张开度的改变,其实质可描述为水驱气的过程[19],而由此带来的物性改变,使其在坚硬煤层软化防冲和低渗煤层增透防突中均起到良好效果。注水在实验室及工程尺度下的干预效果如图8所示。

图8 煤层注水效果示意[22]
Fig.8 Schematic of coal seam water injection effect

5.2.2 力源因素的改变

对于改变力源因素,瓦斯抽采防突是显而易见的操作,此外,依据上文的加载速率力学试验,控制工作面推进速度对于改变煤体的受载情况也是有效手段,但同样由于内生结构面等因素的影响,工作面推进速度对于整体应力环境的影响也相对复杂,研究表明,冲击地压次数与工作面推进速度具有显著的非线性关联特征,且已通过实验室验证[23],如图9所示。此外,干预力源因素的手段还包括区域性的采掘布置调整、开采解放层等,如前文分析,其与结构的作用密不可分。

图9 冲击地压矿井数与工作面推进速度统计关系[23]
Fig.9 Statistical relationship between rock burst times and working face advancing speed

5.2.3 结构因素的改变

结构因素为能量积聚提供制约机制,是实现力学行为控制的关键,同样,结构作为直接干预手段,其最终效果将反应在应力状态上,并与力源因素反复互馈。以顶板水力压裂为例:通过在坚硬顶板预设位置人工水力致裂,使其如期断裂,避免形成过大的悬顶距,完成“顶板-煤体”空间结构的控制,其最终效果将通过应力类指标表征,如微震(图10)。

图10 顶板水力压裂效果示意[24]
Fig.10 Schematic of roof hydraulic fracturing effect

除上述块体结构外,前述分析中证明了基于介质内分界面的干预将更为灵活,但结构面网格与能量积聚的量化关系仍需在未来的研究中进一步深化。

6 结 论

1)动力灾害形成的基本逻辑包括:必然存在持续的能量补给源头,必然需要依赖于介质的某些属性以保证能量形式为弹性变形能,必然存在某种制约机制以保证弹性能积聚至失稳致灾的量级,且制约机制必然会在特定条件下失效以形成大量弹性能的突然释放。

2)能量源分为持续能量源和偶发性能量源,前者主要依据卸荷后的等效加载作用产生影响,是介质变形、裂隙发育、瓦斯解吸等基本行为发生的根本动力,将其归纳为“应力因素”。

3)煤岩介质属性包括物质类别、细观结构特征及特定力学行为的概括,而不论弹性能存储于固体或气体,实体介质变形与裂隙发育的相互作用,以及由此形成的介质属性,都是影响能量状态的关键,将其归纳为“物性因素”。

4)制约机制是弹性能积聚至致灾量级的关键,以结构面和实体介质的空间组合为主要形式,其失效是形成动力灾害的直接原因,由此统一了动力灾害的孕育及防控,是实现人为干预的关键途径,将其归纳为“结构因素。”

5)提出了广义“三因素”机理,并给出了其内涵定义以及各因素间的逻辑关系,指出了其潜在应用场景及未来研究方向。

参考文献(References):

[1] 齐庆新,潘一山,舒龙勇,等.煤矿深部开采煤岩动力灾害多尺度分源防控理论与技术架构[J].煤炭学报,2018,43(7):1801-1810.

QI Qingxin,PAN Yishan,SHU Lognyong,et al. Theory and technical framework of prevention and control with different sources in multi-scales for coal and rock dynamic disasters in deep mining of coal mines[J].Journal of China Coal Society,2018,43(7):1801-1810.

[2] 姜耀东,潘一山,姜福兴,等.我国煤炭开采中的冲击地压机理和防治[J].煤炭学报,2014,39(2):205-213.

JIANG Yaodong,PAN Yishan,JIANG Fuxing,et al.State of the art review on mechanism and prevention of coal bumps in China [J].Journal of China Coal Society,2014,39(2):205-213.

[3] 袁 亮.我国深部煤与瓦斯共采战略思考[J].煤炭学报,2016,41(1):1-6.

YUAN Liang. Strategic thinking of simultaneous exploitation of coal and gas in deep mining[J].Journal of China Coal Society,2016,41(1):1-6.

[4] 李海涛,刘 军,赵善坤,等.考虑顶底板夹持作用的冲击地压孕灾机制试验研究[J].煤炭学报,2018,43(11):2951-2958.

LI Haitao,LIU Jun,ZHAO Shankun,et al.Experimental study on pregnancy mechanism of coal bump considering the clamping effect of roof and floor[J]. Journal of China Coal Society,2018,43(11):2951-2958.

[5] 舒龙勇,王 凯,齐庆新,等.煤与瓦斯突出关键结构体致灾机制[J].岩石力学与工程学报,2017,36(2):347-356.

SHU Longyong,WANG Kai,QI Qingxin,et al. Key structural body theory of coal and gas outburst[J]. Chinese Journal of Rock Mechanics and Engineering,2017,36(2):347-356.

[6] 黄维新,刘敦文,夏 明.煤与瓦斯突出过程的细观机制研究[J].岩石力学与工程学报,2017,36(2):429-436.

HUANG Weixin,LIU Dunwen,XIA Ming. Study of meso-mechanism of coal and gas outburst[J].Chinese Journal of Rock Mechanics and Engineering,2017,36(2):429-436.

[7] 姜耀东,赵毅鑫,何满潮,等.冲击地压机制的细观实验研究[J].岩石力学与工程学报,2007,36(5):901-907.

JIANG Yaodong,ZHAO Yixin,HE Manchao,et al. Investigation on mechanism of coal mine bumps based on mesoscopic experiments[J].Chinese Journal of Rock Mechanics and Engineering,2007,36(5):901-907.

[8] 齐庆新,刘天泉,史元伟,等.冲击地压的摩擦滑动失稳机理[J].矿山压力与顶板管理,1995,12(4):174-177,200.

QI Qingxin,LIU Tianquan,SHI Yuanwei,et al. Mechanism of friction sliding destability of rock burst[J].Ground Pressure and Strata Control,1995,12(4):174-177,200.

[9] 刘少虹,毛德兵,齐庆新,等.动静加载下组合煤岩的应力波传播机制与能量耗散[J].煤炭学报,2014,39(S1):15-22.

LIU Shaohong,MAO Debing,QI Qingxin,et al. Under static loading stress wave propagation mechanism and energy dissipation in compound coal-rock[J]. Journal of China Coal Society,2014,39(S1):15-22.

[10] 赵阳升,冯增朝,万志军.岩体动力破坏的最小能量原理[J].岩石力学与工程学报,2003,32(11):1781-1783.

ZHAO Yangsheng,FENG Zengchao,WAN Zhijun. Least energy principle of dynamical failure of rock mass[J].Chinese Journal of Rock Mechanics and Engineering,2003,32(11):1781-1783.

[11] 杨 卫.细观力学和细观损伤力学[J].力学进展,1992,22(1):1-9.

YANG Wei. Meso-mechanics and meso-damage mechanics[J]. Advances in Mechanics,1992,22(1):1-9.

[12] 谢和平. 岩石混凝土损伤力学[M]. 徐州:中国矿业大学出版社,1990.

[13] 蒋承林,王超杰,杨丁丁,等.初始释放瓦斯膨胀能与煤层瓦斯压力关系的修正[J].煤炭技术,2015,34(12):165-167.

JIANG Chenglin,WANG Chaojie,YANG Dingding. Amendment of relationship between expansion energy of initial released gas and gas pressure[J].Coal Technology,2015,34(12):165-167.

[14] 胡千庭,周世宁,周心权.煤与瓦斯突出过程的力学作用机理[J].煤炭学报,2008,33(12):1368-1372.

HU Qianting,ZHOU Shining,ZHOU Xinquan. Mechanical mechanism of coal and gas outburst process[J]. Journal of China Coal Society,2008,33(12):1368-1372.

[15] 郭臣业. 岩石和瓦斯突出发生条件及机理研究[D].重庆:重庆大学,2010.

[16] 张国华,梁 冰.煤岩渗透率与煤与瓦斯突出关系理论探讨[J].辽宁工程技术大学学报(自然科学版),2002,21(4):414-417.

ZHANG Guohua,LIANG Bing. Arterial discussion of relationship between penetrate-rate of coal-rock and breaking out of coal and gas[J].Journal of Liaoning Technical University(Natural Science),2002,21(4):414-417.

[17] 舒龙勇,齐庆新,王 凯,等.煤矿深部开采卸荷消能与煤岩介质属性改造协同防突机理[J].煤炭学报,2018,43(11):3023-3032.

SHU Longyon,QI Qingxin,WANG Kai. Coordinated prevention mechanism of pressure-relief and coal and rock properties modification for coal and gas outburst in deep mining of coal mines[J].Journal of China Coal Society,2018,43(11):3023-3032.

[18] 齐庆新,史元伟,刘天泉.冲击地压粘滑失稳机理的实验研究[J].煤炭学报,1997,22(2):34-38.

QI Qingxin,SHI Yuanwei,LIU Tianquan. Mechanism of instability caused by viscous sliding in rock burst[J].Journal of China Coal Society,1997,22(2):34-38.

[19] 蒋承林,俞启香.煤与瓦斯突出机理的球壳失稳假说[J].煤矿安全,1995,26(2):17-25.

JIANG Chenglin,YU Qixiang. Spherical shell destabilization hypothesis on coal and gas outburst mechanism[J]. Safety in Coal Mines,1995,26(2):17-25.

[20] 孙广忠.岩体结构力学[M].北京:科学出版社,1988.

[21] 齐庆新,彭永伟,李宏艳,等.煤岩冲击倾向性研究[J].岩石力学与工程学报,2011,30(S1):2736-2742.

QI Qingxin,PENG Yongwei,LI Hongyan. Study of bursting liability of coal and rock[J].Chinese Journal of Rock Mechanics and Engineering,2011,30(S1):2736-2742.

[22] 宋维源. 阜新矿区冲击地压及其注水防治研究[D].阜新:辽宁工程技术大学,2004.

[23] LI Haitao,ZHOU Hongwei,JIANG Yaodong,et al. Anevaluation method for the bursting characteristics of coal [J]. Rock Mechanics and Engineering,2016,49(8):3281-3291.

[24] 赵善坤,张广辉,柴海涛,等.深孔顶板定向水压致裂防冲机理及多参量效果检验[J].采矿与安全工程学报,2019,36(6):1247-1255.

ZHAO Shankun,ZHANG Guanghui,CHAI Haitao,et al. Mechanism of rockburst prevention for directional hydraulic fracturing in deep-hole roof and effect testwith multi-parameter[J].Journal of Mining and Safety Engineering,2019,36(6):1247-1255.

Discussion on generalized “Three Factors” mechanism of coal mine dynamic disaster

LI Haitao1,2,QI Qingxin1,2,ZHAO Shankun2,3,LI Hongyan2,3,SHU Longyong2,3,CHEN Liqiang4

(1.China Coal Research Institute,Deep Mining and Rockburst Research Institute,Beijing 100013,China; 2.State Key Laboratory of Coal Mining and Clean Utilization,Beijing 100013,China;3.Mine Safety Technology Branch,China Coal Research Institute,Beijing 100013,China; 4.Shandong University of Science and Technology,Taian 271019,China)

Abstract:At present,the mechanism research of coal mine dynamic disaster is mostly based on a single factor,and the conclusions obtained are relatively independent,which makes the research of dynamic disaster more complicated. In order to return to the essence of massive accumulation and violent release of elastic properties,and enhance the relevance of related research,this paper puts forward the basic logic of coal mine dynamic disaster formation through common sense reasoning,taking elastic energy accumulation as the clue,including:continuous energy source supply; medium property to ensure that energy form is elastic performance; restriction mechanism that can make the elastic energy accumulate to the disaster level and fail. It is pointed out that “energy source” includes two forms:stable and accidental. The former comes from equivalent loading after mining unloading,and the latter from dynamic load disturbance; in a narrow sense,“medium property” refers to the type of material,but the impact propensity,permeability and other properties restricted by the micro structure are also included in this concept; the restriction mechanism is the key to the accumulation of elastic energy to the disaster level and the violent release of elastic energy,taking the combination of structural plane and medium as the specific form,which is the entry point to achieve human intervention in disaster prevention. They are summarized as “force source factor”,“physical factor” and “structural factor”. Among them,physical factor is the basis of all behaviors,and force source factor and structural factor have close interaction. Based on this,the generalized “Three Factor” mechanism was proposed,and its potential application scenarios and future research directions were given.

Key words:dynamic disaster;rockburst;coal and gas outburst;generalization“Three Factors”

中图分类号:TD324

文献标志码:A

文章编号:0253-2336(2021)06-0042-11

移动扫码阅读

李海涛,齐庆新,赵善坤,等.煤矿动力灾害广义“三因素”机理探讨[J].煤炭科学技术,2021,49(6):42-52.doi:10.13199/j.cnki.cst.2021.06.005

LI Haitao,QI Qingxin,ZHAO Shankun,et al.Discussion on generalized “Three Factors” mechanism of coal mine dynamic disaster[J].Coal Science and Technology,2021,49(6):42-52.doi:10.13199/j.cnki.cst.2021.06.005

收稿日期:2021-03-15

责任编辑:曾康生

基金项目:国家重点研发计划基金资助项目(2017YFC0804201,2017YFC0804203);国家自然科学基金青年基金资助项目(51704159,51874176)

作者简介:李海涛(1987—),男,山东菏泽人,副研究员,博士。E-mail:catchyou@qq.com