急倾斜煤层瓦斯钻孔有效抽采范围的精准确定

王 刚1,2,李怀兴1,2,常 博1,2,3

(1.山东科技大学 安全与环境工程学院,山东 青岛 266590;2.山东科技大学 矿山灾害预防控制省部共建国家重点实验室培育基地,山东 青岛 266590;3.国家能源集团新疆能源有限责任公司,新疆 乌鲁木齐 830027)

摘 要:为了明确急倾斜煤层瓦斯抽采钻孔的有效抽采范围,合理布置抽采钻孔位置,以乌东煤矿43号煤层为例,利用数值模拟得到急倾斜煤层瓦斯钻孔有效抽采范围随时间变化规律,建立急倾斜煤层钻孔周围气体渗流单元模型,推导了急倾斜煤层有效抽采范围的数学模型并结合现场实测结果对数值模拟和数学模型进行验证,且平均相对误差率较小(均小于5%)。数值模拟结果显示:与常规煤层瓦斯钻孔有效抽采范围相比,急倾斜煤层有效抽采距离与抽采时间呈非线性关系;在抽采过程中,有效抽采范围随时间的增加,在钻孔平面不同方向上扩展速度不同,最终趋于稳定后有效抽采范围呈椭圆形区域。通过对急倾斜煤层钻孔周围煤壁上受力状态分析,认为有效抽采范围出现差异的原因主要是钻孔的出现改变了原有的地应力的分布状态,钻孔周围煤壁的稳定性遭到破坏,其附近一定范围内的煤体物理力学性质发生改变,此外,地应力的重新分布对钻孔周围煤层渗透率也产生一定影响。为定量研究垂直于钻孔二维截面上有效抽采范围随时间变化的发展趋势,通过急倾斜煤层有效抽采范围的数学模型得到急倾斜煤层有效抽采范围表达式,分析不同方向上抽采距离扩展速度造成的差异程度,对急倾斜煤层瓦斯抽采钻孔的现场应用具有一定指导作用。

关键词:急倾斜煤层;瓦斯抽采;有效抽采范围;瓦斯渗流

0 引 言

煤层瓦斯是影响当前煤矿安全生产的重大隐患。瓦斯抽采可以有效防治瓦斯灾害[1],通过抽采可大幅降低煤层中的瓦斯含量,减少开采过程中的瓦斯涌出,提高煤矿生产的安全性;同时,抽采出来的高浓度瓦斯还可以加以利用[2]。目前,在煤层中瓦斯渗流规律与治理方面,程卫民等[3]在遗煤自燃与瓦斯爆炸耦合灾害致灾特性研究的基础上,分析了耦合灾害发生原因、判定原理和判定方法,研究了综放采空区瓦斯与遗煤自燃耦合灾害危险区域的空间分布规律;王登科等[4]以原煤为研究对象,开展了含瓦斯煤的各向异性渗流规律的研究,重点分析了含瓦斯煤渗透率各向异性动态变化规律和瓦斯优势流动方向的转变现象;张冲等[5]通过试验测定了三轴加载条件下煤体的瓦斯渗流速度及温度联合响应规律,研究了瓦斯渗流速度及温度与突出煤失稳破坏之间的关系;王刚等[6-8]采用含瓦斯煤热流固耦合三轴伺服渗流试验系统,研究煤岩在变轴压加载下的变形破坏和瓦斯渗流演化规律,对比分析了甲烷吸附在真三轴应力环境中对煤体变形和渗透率等影响的作用机理。

在瓦斯有效抽采半径研究方面,刘三钧等[9]基于瓦斯压力和瓦斯含量抛物线方程关系,推导出瓦斯压力变化与瓦斯抽采率的关系,发明了基于瓦斯含量的相对压力测定有效半径技术;李瑞芝等[10]提出测定钻孔周围煤体特定时刻的瓦斯含量,以确定有效抽采半径的方法,并开展了现场试验研究;孙玉峰等[11]在分析现有抽采半径测定方法的基础上,采用瓦斯抽采流量法,按照既定抽采率确定抽采半径,利用含量指标法进行了验证,取得了一致结果;张亚洲等[12]根据天地王坡煤矿单一煤层开采、顺煤层钻孔抽采的特点,基于流量法对顺煤层钻孔分组布孔,得到钻孔不同间距条件下抽采纯量、抽采率与抽采时间的相关关系。刘佳佳等[13]考虑Klinkenberg效应、有效应力和解吸收缩影响,建立流固耦合模型,揭示了多物理场耦合作用下本煤层顺层钻孔瓦斯抽采渗流机制;舒才等[14]利用瓦斯抽采量确定有效抽采半径,建立有效抽采半径的数学模型,并在兴隆煤矿进行测验,实测结果与模型计算结果基本一致;张明杰等[15]结合钻孔瓦斯自然涌出规律,建立钻孔瓦斯自然排放影响圈内瓦斯含量、瓦斯涌出量和残存瓦斯量之间的函数关系式,提出以钻孔瓦斯自然涌出有效影响半径代替抽采负压影响下的有效抽采半径。

在急倾斜特厚煤层瓦斯治理方面,孙炳兴等[16]针对阿刀亥煤矿综放工作面瓦斯来源进行了分析,并通过数值模拟的方式找到了适合阿刀亥煤矿特有煤层赋存条件的瓦斯抽采技术;陈建强等[17]在分析急倾斜煤层瓦斯赋存特征的基础上,总结出急倾斜煤层综放工作面瓦斯涌出特点,提出了防治瓦斯的相关措施;张新战等[18]针对急倾斜特厚煤层分阶段综放开采下易导致瓦斯突然急剧释放、瓦斯超限及综合治理难题,提出基于矿压调控的瓦斯立体抽采工艺;褚丕晶等[19]对急倾斜、厚煤层、高瓦斯的复杂煤层的上隅角瓦斯治理,在单纯的上隅角埋管基础上配合架后中、高位穿层钻孔进行瓦斯抽采,配合做好管理方面的工作,在大黄山豫新煤业取得了很好的抽采效果。

新疆乌东煤矿矿区的煤层厚度大部分都大于8 m,属于急倾斜特厚煤层,随着开采深度的增加,瓦斯含量、压力和工作面瓦斯涌出量均随之增大。以现有的瓦斯钻孔有效抽采半径数学模型预测急倾斜煤层钻孔布置未能达到较好的效果。基于此,笔者通过数值模拟得到急倾斜煤层有效抽采范围的变化规律并进行分析,拟合出急倾斜煤层有效抽采范围方程,深入了解乌东煤矿瓦斯钻孔有效抽采范围,探究急倾斜煤层瓦斯钻孔有效抽采范围影响机制。

1 煤层概况及有效抽采半径确定依据

1. 1 煤层概况

乌东煤矿位于乌鲁木齐东北部,可开采煤层中43号煤层的煤层倾角43°~45°,总厚27.88 m,煤层初始透气性系数0.27 m2 / (MPa2·d),孔隙率4.55%。在煤层采掘过程中,瓦斯积聚、瓦斯浓度超限等现象严重威胁该煤矿的安全生产。瓦斯抽采作为解决煤层中瓦斯灾害的有效手段,其有效抽采半径的确定以及影响瓦斯有效抽采半径的因素成为急倾斜煤层优化钻孔布置的重要问题。

1. 2 钻孔有效抽采半径判定依据

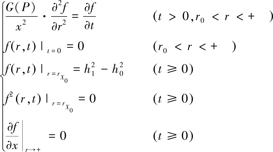
抽采影响半径指抽采钻孔在一定的抽采负压条件下抽采一定时间所能影响到周边煤体的区域半径,影响区域随时间的推移会逐渐增大至稳定到一个数值[20]。根据我国《煤矿瓦斯抽采达标暂行规定》,突出煤层工作面采掘作业前必须将控制范围内煤层的瓦斯含量降到始突深度的瓦斯含量以下或煤层的瓦斯压力降到始突深度的瓦斯压力以下[21]。若没能考察出煤层始突深度的煤层瓦斯含量或压力,则必须将煤层瓦斯含量降到8 m3/t以下,或将煤层瓦斯压力降到0.74 MPa以下;对于瓦斯涌出量主要来自开采层的采煤工作面还应以可解吸瓦斯含量为标准来判别抽采是否达标[20]。乌东煤矿43号煤层在0.1 MPa大气压下的瓦斯含量为不可解吸含量,根据6号煤层瓦斯吸附常数、工业分析数据,采用修正的Langmuir方程计算瓦斯压力。

(1)

式中:W为煤层的瓦斯含量,m3/t;a为煤的最大吸附量,m3/t;b为煤的吸附参数,MPa-1p为煤层绝对瓦斯压力,MPa;Ad为灰分,%;Mad为水分,%;n为单位体积煤中所含游离瓦斯量或为煤层孔隙率;ρARD为煤的视密度,取1.47 t/m3

根据式(1)计算出0.74 MPa瓦斯压力下对应的瓦斯含量为10.36 m3/t,为安全起见,选取瓦斯具体8 m3/t作为区域防突措施效果检验临界值,此时对应的临界瓦斯压力检验值经计算为0.5 MPa。

2 急倾斜煤层瓦斯抽采范围数值模拟

2.1 数值模型构建

急倾斜煤层钻孔瓦斯抽采是十分复杂的物理过程,由于煤层的非均质性,以及地应力等因素的影响,瓦斯在煤层中的运移规律非常复杂[22]。为简化数值模型的计算量,在数值模拟中将煤体视为瓦斯压力均匀分布的线弹性多孔介质体,煤层中瓦斯视为理想气体,忽略温度变化带来的影响,煤层中瓦斯解吸和吸附过程遵从Langmuir方程。

根据实测数据,43号煤层5004301工作面+500 m 水平最大主应力为15.6 MPa,垂直应力为中间主应力8.7 MPa,最小主应力为7.6 MPa。最大主应力方向N27.8°W,煤层走向N67°W,因此,煤层最大主应力与煤层倾向的夹角α取4.8°。煤层原始瓦斯压力为0.9 MPa,煤层渗透率为2.56×10-18 m2,煤层透气性系数为0.27 m2/(MPa2·d),钻孔深度为70 m,抽采负压为20 kPa。其他模拟参数如下:

瓦斯动力黏度μ/(MPa·s)1.08×10-11标准大气压Pn/MPa0.101 325煤层孔隙率n/%4.55煤的最大吸附量a/(m3·t-1)46.375煤的吸附参数b/MPa-10.853灰分Ad/%7.24水分Mad/%1.96

数值模拟中将钻孔周边的瓦斯流动视作径向流动[23],选取垂直于钻孔的二维截面图作为研究对象来反映抽采过程中瓦斯压力的变化规律。模型整体尺寸为:长18 m、宽8 m,设置钻孔直径为94 mm。计算模型网格如图1所示。

图1 计算模型网格示意

Fig.1 Schematic of computational model grid

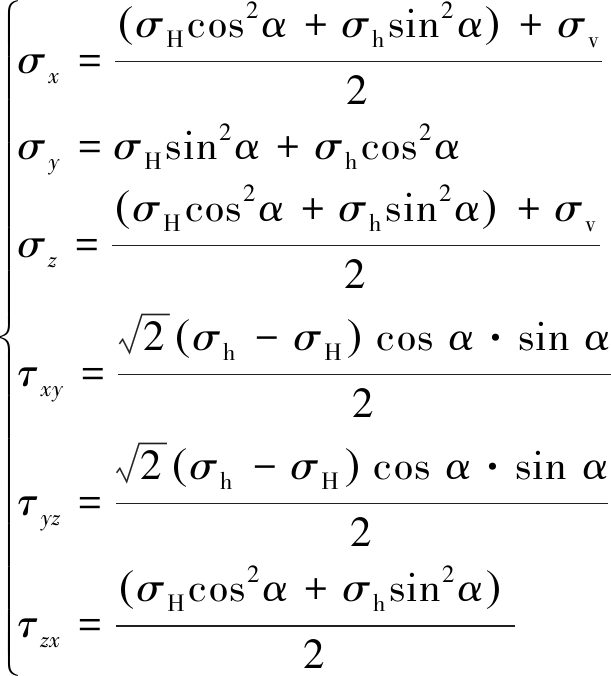
为明确施加在垂直于钻孔二维截面上的真实应力,笔者对钻孔周围所受地应力进行分解。钻孔周围孔壁受力状态如图2所示[24]

图2 瓦斯抽采钻孔孔壁应力状态

Fig.2 Stress state of gas drainage borehole wall

钻孔周围孔壁实际受力计算公式为

(2)

式中:σv为煤层铅直方向主应力,MPa;σH为煤层水平方向最大主应力,MPa;σh为煤层水平方向最小主应力,MPa;σxσyσzτxyτyzτzx分别为钻孔周围直角坐标系中XYZ方向上的正应力和剪应力分量,MPa。

进行坐标转换后可得,σx= 12.36 MPa,σy=7.63 MPa,σz= 12.36 MPa。由于数值模拟选取垂直于钻孔的二维截面作为研究对象,σz对有效抽采范围的影响暂不分析。

2.2 数值模拟结果分析

不同抽采时间下钻孔周围瓦斯压力分布如图3所示。XY方向分别代表钻孔平面水平、铅直方向以钻孔中心为原点向两边增加的抽采距离,由于抽采范围呈现对称性,且钻孔中心为原点,为方便计算和分析,定义钻孔中心到煤层瓦斯压力0.5 MPa处为该方向上有效抽采距离。

图3 不同抽采时间下钻孔周围瓦斯压力分布

Fig.3 Distribution of gas pressure around borehole under different extraction times

由图3可以看出,随着时间的增加,钻孔周围瓦斯压力逐渐减小。以0.5 MPa瓦斯压力范围作为有效抽采范围来看,随着时间的增加,有效抽采范围不断增大,在100 d后随着时间的增加,有效抽采范围增速逐渐减小,结合现场施工效率等多方面因素综合考虑,将100 d作为有效抽采范围稳定值。抽采范围从最开始的圆形范围开始向四周扩展,在第60 d出现X方向与Y方向有效抽采距离差异,X方向上有效抽采距离开始逐渐大于Y方向,第80 d有效抽采范围继续扩大,X方向与Y方向上有效抽采距离的差距继续加大,最终在100 d达到最大并趋于稳定,有效抽采范围呈X方向有效抽采距离大于Y方向的椭圆形区域。X方向与Y方向上有效抽采距离随时间变化的数据见表1。

表1 不同时间下有效抽采距离

Table 1 Effective drainage distance at different time

抽采时间/dX方向有效抽采距离/mY方向有效抽采距离/m200.920.90401.321.28601.661.54801.911.751002.021.84

结合图3可以发现,在钻孔开采前20 d,抽采出的瓦斯主要是钻孔周围煤壁中赋存的,相比于未钻孔状态,钻孔后煤层原岩应力遭到破坏,煤壁应力状态发生改变,靠近钻孔中心的煤壁在失去应力加载的情况下产生微小裂隙,原岩应力的突然卸载也导致周围煤壁孔隙率的增加,表现为渗透率增大,因而在抽采20—40 d,抽采范围近似为圆形,此时抽采范围主要受周围孔壁渗透率的影响;随着煤壁远离钻孔中心,抽采范围逐渐受到原岩应力的影响,X方向的应力逐渐大于Y方向,若将煤体视为线弹性多孔介质,X方向上在受到应力较大下压缩Y方向上的孔隙裂隙,导致Y方向上孔隙率减小,同理,Y方向上受到的应力小于X方向,则对X方向上孔隙裂隙的压缩程度较小,表现为X方向上的渗透率大于Y方向,因而在第60 d后X方向与Y方向的瓦斯压力降低量出现变化,即有效抽采距离出现差异,随着抽采时间和距离钻孔中心位移的增加,这种差异逐渐明显,在抽采范围稳定后形成了X方向和Y方向上有效抽采距离不一致的椭圆形范围。

3 数学模型构建

3.1 基本假设及条件

为定量描述急倾斜煤层有效抽采范围随时间变化的程度,笔者通过构建瓦斯压力状态方程得出抽采时间与有效抽采范围的函数关系。由2.2节的模拟结果得知,急倾斜煤层有效抽采范围是类似椭圆区域的,常规构建有效抽采范围方程较复杂,笔者在以圆形区域作为假设有效抽采范围的基础上结合数值模拟结果,调整X方向与Y方向有效抽采距离的关系,建立急倾斜煤层瓦斯有效抽采范围的数学模型。为简化数学模型并突出研究重点,做出以下假设[25-26]

1) 煤层顶底板为不渗透且不含气体的围岩。

2) 钻孔周围的原始气压均匀分布,并且煤层中的原始瓦斯压力、瓦斯含量和温度在相同水平上保持一致。

3) 将瓦斯视为理想气体,并将瓦斯流动过程视为等温过程,遵循理想气体状态方程式。

4) 吸附气体符合Langmuir方程,可忽略煤层吸附气体的分析时间。

5) 煤层瓦斯渗流速度低,煤层瓦斯流量服从Darcy定律,钻孔周围煤层渗透率各向同性,渗流过程符合质量守恒。

6) 忽略沿钻孔方向的轴向气流,将钻孔周围的气流场视为轴对称径向流场。

3.2 煤层钻孔有效抽采范围的确定

以钻孔周围的圆形区域作为假设有效抽采范围,以圆柱体外任意薄壁单元为例,钻孔半径为x0,钻孔沿轴线的长度为L,壁厚dxX方向实际有效抽采距离为x,如图4所示。

图4 钻孔周围渗流单元模型

Fig.4 Seepage unit model around borehole

假设在时间为t,径向流场半径为x的煤壁上气体压力为P,质量流速为ρvx,则半径为x + dx的煤壁上质量流速[27]

(3)

式中:ρ为瓦斯压力P时的气体密度,kg/m3vx为气体径向流动的线速度,m/s。

假设在dt时间内单位体内气体质量增加,则在dt时间里单位体内气体质量增量ΔM可通过流入与流出单元体内气体质量的差值求出,忽略具有(dx)2的高阶项后,ΔM

(4)

根据气体含量的变化,dt时间里的气体质量增量也可以表示为

(5)

式中,为气体含量的变化率。

根据气流中的质量守恒定律,式(4)和式(5)可以组合为

(6)

式(6)是径向流场中的气流的连续性方程。

多孔介质中流体的渗透速度与压力梯度具有线性关系,服从达西定律[28-29]

(7)

式中:k为钻孔周围煤层的渗透率,为钻孔周围气体沿径向的压力梯度。

气体的状态方程[30-31]可以表示为

(8)

式中:Mg为气体的分子量; R为理想气体常数,J/(mol·K); T为煤层的绝对温度,K;Pn为标准大气压,MPa; ρn为气压Pn时的气体密度,kg/m3

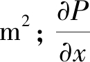
吸附气体和自由气体的总气体含量W方程可简化为

(9)

式中:c为煤质参数,c=1-Ad-Mad,%。

结合式(6)—式(9),可以获得煤层瓦斯流场中瓦斯压力函数的控制微分方程,该方程随时间和空间而变化。

(10)

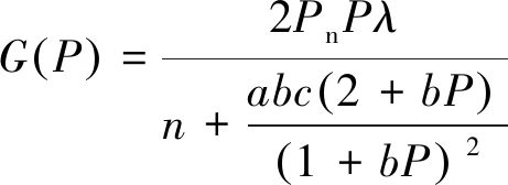
(11)

式(10)是在钻孔抽取过程中气体在钻孔周围流动的径向非恒定渗流的动态控制方程。G(P)为变量P的函数,其中λ为煤层的渗透系数,λ= k/(2μPn)。

瓦斯抽采钻孔周围煤层的渗透系数[32-33]可以用式(12)表示

λ=(X0-x0)λ0/(x-x0)

(12)

式中:λ0为初始渗透系数,m2 /(MPa2·d); X0为从煤层钻孔抽气的最大影响距离[32-33],m。

(13)

式中:P0为原始瓦斯压力,MPa;P1为钻孔抽气负压,kPa; q0为每单位钻孔长度的初始气体流速,m3/d。

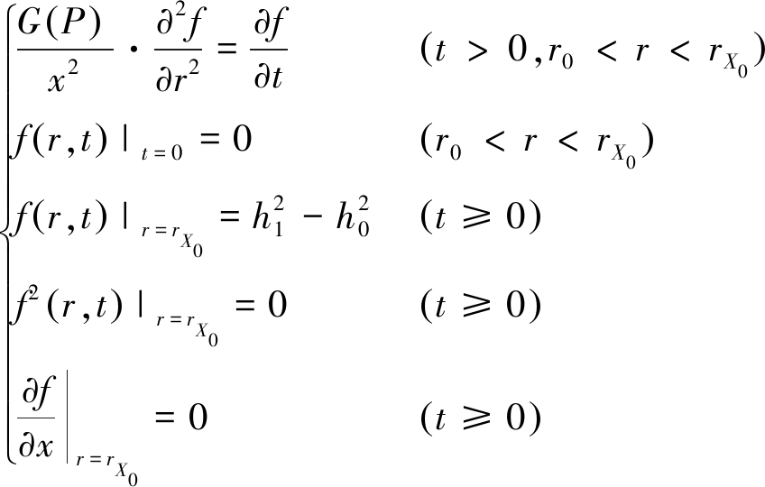
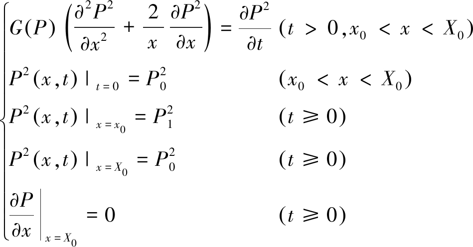
在初始值条件和边界条件的情况下,得出了井筒周围气流非稳态径向渗流的动力学控制方程,其计算公式为

(14)

该方程是二阶二元非线性偏微分方程,难以求解。 为获得其近似解析解,进行了变量替换的简化。对定解问题式(14)中的非线性偏微分方程的简化作变量代换,即

x=mer,m>0且m=cos t

(15)

考虑求解定解问题的方便性,对式(14)中的初值条件齐次化,经由以下函数变换,即

(16)

经过式(15)、式(16)的变换,式(14)可以变化为

(17)

式中:

煤层内的瓦斯流动是很缓慢的层流运动,也即煤层瓦斯在很小的压降下向煤层钻孔流动,根据克里琴斯基近似法,可以取G(P)≈G(P0),则有

(18)

根据有限流场和无限流场的关系,可令式(16)中的径向有限流场变成径向无限流场。对于煤层钻孔中瓦斯流动缓慢的事实,煤层延伸范围广大,一般的钻孔煤层瓦斯流动场不可能扩大影响到煤层外部边界。因此,径向瓦斯流动场的动力学模型可用半无限流动场的模型来描述。经上述处理后,径向瓦斯流场的定解问题式(14)可变成

(19)

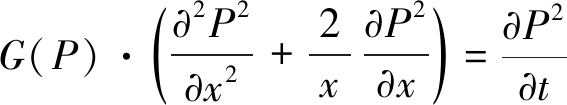
通过使用拉普拉斯积分变换和复变函数理论,并代入有效抽采范围判定界限,可以得出圆形抽采半径与抽采时间的关系,即

(20)

其中:erf(u)为概率积分函数,其值可以从误差函数数值表中查找。

式(20)是钻孔周围的径向流场中圆形有效抽采距离x与时间t的关系式,即实际椭圆形有效抽采区域X方向有效抽采距离与抽采时间的关系式。

通过软件Mathematica解算方程可以得到不同抽采时间下X方向的有效抽采距离,如图5所示。计算得出椭圆形有效抽采区域在X方向上的有效抽采距离,在第20、40、60、80、100 d分别为0.89、1.27、1.58、1.82、2.09 m,对数学模型计算得到的数据进行拟合,拟合方程如图6所示,可认为抽采时间与X方向上有效抽采距离在一定程度上呈线性关系。

图6 理论计算X方向有效抽采距离与抽采时间拟合分析

Fig.6 Fitting analysis of theoretical calculation of X-direction effective drainage distance and drainage time

图5 抽采时间与X方向有效抽采距离的关系

Fig.5 Relationship between drainage time and X-direction effective drainage distance

为得到椭圆形实际有效抽采范围,需要求得Y方向上实际有效抽采距离。由2.2节的数值模拟结果可知,随着时间的增加,X方向上与Y方向上有效抽采距离变化不一致,且随着时间的增加,有效抽采距离逐渐加大。

通过表2得到数值模拟中不同时间下X方向与Y方向的有效抽采距离,将X方向有效抽采距离随时间变化趋势与Y方向有效抽采距离随时间变化趋势进行拟合

y=1.140 72xt-0.048 89

(21)

结合式(20)和式(21),可得急倾斜煤层垂直于钻孔二维截面的有效抽采面积为

S=1.140 72πx2t-0.048 89

(22)

急倾斜煤层因其特殊的地质构造及地应力分布,导致在实际作业中钻孔周围有效抽采范围呈现椭圆形区域,因此在实际施工过程中,钻孔的排列可以相应地在Y方向上增加布置数量,达到瓦斯的高质量开采,保证施工作业的安全。

4 现场实测

4.1 测试方案与设计

根据乌东煤矿43号煤层5004301工作面实际情况,在工作面南巷2 180 m掘进工作面钻场布置了一组用于现场测试的钻孔。在抽采孔右侧相对完整且无明显裂缝和断层影响的地方布置5个水平分布的考察孔,如图7a所示,直径113 mm,深度25 m,孔间距0.5 m,采用基于聚氨酯发泡的综合水泥密封方法进行密封。密封孔长度在孔口20 m以内。抽采孔采用聚氨酯密封,采用D60 mm双反应器管作为密封管,密封深度为12 m。固化48 h后将压力表连接到每个孔并添加1 MPa氮气,使孔内气体压力达到1 MPa。每天观察并记录压力表的读数。现场实际施工如图7b所示。

图7 5004301工作面考察孔布置方案

Fig.7 Layout plan of inspection holes in No.5004301 working face

4.2 测试结果与分析

考察孔不同抽采时间下瓦斯压力如图8所示,从现场测得的气压变化趋势可以看出,1、2、3号考察孔随抽采时间的增加,气压下降逐渐缓慢,抽采9 d后,1号考察孔瓦斯压力从0.9 MPa降低至0.5 MPa以下,2号考察孔抽采瓦斯29 d后瓦斯压力从0.9 MPa降低至0.5 MPa以下,3号考察孔抽采56 d后瓦斯压力从0.9 MPa降低至0.5 MPa以下。4号考察孔的气压在25 d之后保持稳定,然后缓慢下降,抽采60 d后气压从0.9 MPa降低至0.7 MPa,不满足抽采标准。5号考察孔气压基本无明显变化,在0.9 MPa附近上下波动,说明该考察孔与抽采孔之间距离过大,抽采效果不明显。

图8 考察孔内瓦斯压力随时间的变化

Fig.8 Variation of gas pressure in observation hole with extraction time

现场实测X方向有效抽采距离与抽采时间拟合分析如图9所示。

图9 现场实测X方向有效抽采距离与抽采时间拟合分析

Fig.9 Fitting analysis of effective drainage distance and drainage time measured in X direction on site

由此可以得出X方向上瓦斯抽采距离与抽采时间的拟合方程。通过该方程可以合理地预测抽采20、40、60、80、100 d在X方向上的有效抽采距离,分别为0.79、1.23、1.56、1.82、2.02 m。通过分别对比数值模拟和现场实测得到的X方向有效抽采距离与理论计算得到的X方向有效抽采距离可以得到,数值模拟结果与理论计算结果平均相对误差率为4.01%,现场实测结果与理论计算结果平均相对误差率为4.13%,所得误差率均在5%以内,说明该数学模型具有一定的准确性。

5 结 论

1)通过数值模拟得到急倾斜煤层瓦斯钻孔有效抽采范围随时间变化规律,有效抽采范围随时间的增加在X方向与Y方向上有效抽采距离出现差异,且随着时间的增加,差异逐渐加大。

2) 对急倾斜煤层钻孔周围地应力状态进行分析,认为钻孔周围受力状态的变化影响钻孔平面X方向与Y方向上渗透率的变化,进而导致影响抽采范围出现差异。

3) 建立急倾斜煤层瓦斯平衡动态方程,解算出急倾斜煤层垂直钻孔方向二维截面内有效抽采范围,并设计瓦斯抽采方案对乌东煤矿43号煤层进行测试,得到急倾斜煤层瓦斯实际抽采距离,与数值模拟与数学模型得到的结果相比误差在5%以内。

参考文献(References):

[1] 刘 海,王 龙. 低渗煤层淹没射流扩孔瓦斯抽采有效影响半径模拟研究[J]. 煤炭科学技术,2019,47(8):135-141.

LIU Hai,WANG Long. Simulation study on effective influence radius of submerged yet for gas-drainage in low permeability coal seam[J]. Coal Science and Technology,2019,47(8):135-141.

[2] 缪协兴,钱鸣高. 中国煤炭资源绿色开采研究现状与展望[J]. 采矿与安全工程学报,2009,26(1):1-14.

MIAO Xiexing,QIAN Minggao. Research on green mining of coal resources in China:current status and future prospects[J]. Journal of Mining and Safety Engineering,2009,26(1):1-14.

[3] 程卫民,张孝强,王 刚,等. 综放采空区瓦斯与遗煤自燃耦合灾害危险区域重建技术[J]. 煤炭学报,2016,41(3):662-671.

CHENG Weimin,ZHANG Xiaoqiang,WANG Gang,et al. Reconstruction technology of gas and coal spontaneous combustion coupled hazard in fully mechanized caving goaf [J]. Journal of China Coal Society,2016,41(3):662-671.

[4] 王登科,吕瑞环,彭 明,等. 含瓦斯煤渗透率各向异性研究[J]. 煤炭学报,2018,43(4):1008-1015.

WANG Dengke,LYU Ruihuan,PENG Ming,et al. Exerimental study on anisotropic permeability rual of coal bearing methane[J]. Journal of China Coal Society,2018,43(4):1008-1015.

[5] 张 冲,刘晓斐,王笑然,等. 三轴加载煤体瓦斯渗流速度—温度联合响应特征[J]. 煤炭学报,2018,43(3):743-750.

ZHANG Chong,LIU Xiaofei,WANG Xiaoran,et al. Combination response characteristics of gas seepage velocity-temperature under triaxial loading[J]. Journal of China Coal Society,2018,43(3):743-750.

[6] 王 刚,武猛猛,程卫民,等. 煤与瓦斯突出能量条件及突出强度影响因素分析[J]. 岩土力学,2015,36(10):2974-2982.

WANG Gang,WU Mengmeng,CHENG Weimin,et al. Analysis of energy conditions for coal and gas outburst and factors influencing outburst intensity[J]. Rock and Soil Mechanics,2015,36(10):2974-2982.

[7] 王 刚,李文鑫,杜文州,等. 变轴压加载煤体变形破坏及瓦斯渗流试验研究[J]. 岩土力学,2016,37(S1):175-182.

WANG Gang,LI Wenxin,DU Wenzhou,et al. Experimental study of coal deformation and permeability characteristics of gas under variable axial compression loading[J]. Rock and Soil Mechanics,2016,37(S1):175-182.

[8] 王 刚,刘志远,王鹏飞,等. 考虑瓦斯吸附作用的真三轴煤体剪切渗流特性试验研究[J]. 采矿与安全工程学报,2019,36(5):1061-1070.

WANG Gang,LIU Zhiyuan,WANG Pengfei,et al. Experimental study on shear seepage characteristics of true triaxial coal body under the consideration of gas adsorption[J]. Journal of Mining & Safety Engineering,2019,36(5):1061-1070.

[9] 刘三钧,马 耕,卢 杰,等. 基于瓦斯含量的相对压力测定有效半径技术[J]. 煤炭学报,2011,36(10):1715-1719.

LIU Sanjun,MA Geng,LU Jie,et al. Relative pressure determination technology for effective radius found on gas content[J]. Journal of China Coal Society,2011,36(10):1715-1919.

[10] 李润芝,梁 冰,孙维吉,等. 顺层钻孔瓦斯抽采半径及布孔间距试验研究[J].中国安全科学学报,2016,26(10):133-138.

LI Runzhi,LIANG Bing,SUN Weiji,et al. Experimental study on both gas drainage radius and bedding borehole space[J]. China Safety Science Journal,2016,26(10):133-138.

[11] 孙玉峰,许卫国,龚巍峥. 基于瓦斯流量法的瓦斯抽采半径确定方法[J]. 煤矿机械,2014,35(8):137-139.

SUN Yufeng,XU Weiguo,GONG Weizheng. Determination of gas drainage radius based on gas flow method[J]. Coal Mine Machinery,2014,35(8):137-139.

[12] 张亚洲. 顺层钻孔流量法测定有效抽采半径技术[J]. 煤炭工程,2019,51(S1):128-132.

ZHANG Yazhou. Effective extraction radius measurement using flow rate method of bedding borehole[J]. Coal Engineering,2019,51(S1):128-132.

[13] 刘佳佳,贾改妮,王 丹,等. 基于多物理场耦合的顺层钻孔瓦斯抽采参数优化研究[J].煤炭科学技术,2018,46(7):115-119,156.

LIU Jiajia,JIA Gaini,WANG Dan,et al. Study on optimization of gas drainage parameters with borehole drilled along seam based on coupling of multiphysics field[J]. Coal Science and Technology,2018,46(7):115-119,156 .

[14] 舒 才,王宏图,任梅青,等. 基于瓦斯抽采量的有效抽采半径数学模型及工程验证[J]. 采矿与安全工程学报,2017,34(5):1021-1026.

SHU Cai,WANG Hongtu,REN Meiqing,et al. Model of effective borehole gas drainage radius based on volume of gas drainage and its engineering verification[J]. Journal of Mining & Safety Engineering,2017,34(5):1021-1026.

[15] 张明杰,贾文超,梁锡明,等. 基于瓦斯自然涌出规律的有效抽采半径研究[J]. 中国安全科学学报,2018,28(10):98-104.

ZHANG Mingjie,JIA Wenchao,LIANG Ximing, et al. Research on effective extraction radius based on natural gas emission law[J]. China Safety Science Journal,2018,28(10):98-104.

[16] 孙炳兴,王忠乐,王永志. 急倾斜特厚煤层水平分段开采综放面抽采钻孔合理布孔层位的研究[J]. 煤矿开采,2011,16(6):77-80.

SUN Bingxing,WANG Zhongle,WANG Yongzhi. Research on rational position of methane drainage boreholes in full-mechanized caving mining steeply-inclined extremely-thick coal-seam by horizontal sublevel method[J]. Coal Mining,2011,16(6):77-80 .

[17] 陈建强,杨贵儒. 急倾斜煤层综放工作面瓦斯涌出治理[J]. 煤矿安全,2012,43(S1):12-16.

CHEN Jianqiang,YANG Guiru. Gas emission control at fully mechanized caving face in steep seam[J].Safety in Coal Mines,2012,43(S1):12-16.

[18] 张新战,陈建强,漆 涛,等. 急斜特厚煤层综放面瓦斯运移规律与综合治理[J].西安科技大学学报,2013,33(5):532-537.

ZHANG Xinzhan,CHEN Jianqiang,QI Tao,et al. Regularity of methane migration of heavy steep-thick coal seams in top-coal caving workings and comprehensive control[J]. Journal of Xi’an University of Science and Technology,2013,33(5):532-537.

[19] 褚丕晶,赵耀江,孙婷婷,等. 上隅角埋管配合架后穿层钻孔抽放瓦斯的方法在急倾斜、厚煤层中的应用[J]. 煤炭技术,2015,34(8):150-152.

CHU Pijing,ZHAO Yaojiang,SUN Tingting,et al. Application of buried pipe in upper corner with after wearing layer drilling method drainage gas in steeply inclined and thick coal seam[J]. Coal Technology,2015,34(8):150-152.

[20] 王忠忠,王晓丽,韩恩光. 唐安煤矿有效抽采半径测定研究[J]. 中国煤炭,2018,44(10):158-162.

WANG Zhongzhong,WANG Xiaoli,HAN Enguang. Study on gas effective drainage radius measurement in Tang’an coal mine[J]. China Coal,2018,44(10):158-162.

[21] 王韶辉.瓦斯抽采钻孔有效影响半径的理论模型及数值分析[J].中国西部科技,2015,14(9):38-43.

WANG Shaohui. Theoretical model and numerical analysis for the effective influence radius of gas drainage borehole[J]. West China Science and Technology,2015,14(9):38-43.

[22] 魏建平,王洪磊,王登科,等. 考虑渗流-扩散的煤层瓦斯流动修正模型[J]. 中国矿业大学学报,2016,45(5):873-878.

WEI Jianping,WANG Honglei,WANG Dengke,et al. An improved model of gas flow in coal based on the effect of penetration and diffusion[J]. Journal of China University of Mining & Technology,2016,45(5):873-878.

[23] 张天军,庞明坤,蒋兴科,等. 负压对抽采钻孔孔周煤体瓦斯渗流特性的影响[J]. 岩土力学,2019,40(7):2517-2524

ZHANG Tianjun,PANG Mingkun,JIANG Xingke,et al. Influence of negative pressure on gas percolation characteristics of coal body in perforated drilling hole[J]. Rock and Soil Mechanics,2019,40(7):2517-2524

[24] 程 亮,卢义玉,葛兆龙,等. 倾斜煤层水力压裂起裂压力计算模型及判断准则[J]. 岩土力学,2015,36(2):444-450.

CHENG Liang,LU Yiyu,GE Zhaolong,et al. Initiation pressure calculation model and judgment criterion for hydraulic fracturing of inclined coal seam[J]. Rock and Soil Mechanics,2015,36(2):444-450.

[25] ZHAO D,LIU J,PAN J. Study on gas seepage from coal seams in the distance between boreholes for gas extraction[J]. Journal of Loss Prevention in the Process Industries,2018,54(7):266-272.

[26] LIN Haifei,HUANG Meng,LI Shuguang,et al. Numerical simulation of influence of langmuir adsorption constant on gas drainage radius of drilling in coal seam[J]. International Journal of Mining Science and Technology,2016,26:377-382.

[27] XU Hao,WANG Gang,GUO Yangyang,et al. Theoretical,numerical,and experimental analysis of effective extraction radius of coalbed methane boreholes by a gas seepage model based on defined criteria[J]. Energy Science & Engineering,2019,8(3):880-897.

[28] ZHANG Hao,CHENG Yuanping,LIU Qingquan,et al. A novel in-seam borehole hydraulic flushing gas extraction technology in the heading face:enhanced permeability mechanism,gas flow characteristics,and application[J]. Journal of Natural Gas Science and Engineering,2017,46:498-514.

[29] WANG Gang,JIANG Chenghao,SHEN Junnan,et al. Deformation and water transport behaviors study of heterogenous coal using CT-based 3D simulation[J]. International Journal of Coal Geology,2019,211:103204.

[30] XIA Tongqiang,ZHOU Fubao,LIU Jishan,et al. A fully coupled hydro-thermo-mechanical model for the spontaneous combustion of underground coal seams[J]. Fuel,2014,125:106-115.

[31] LIU Jia,QIN Yueping,ZHANG Shan,et al. Numerical solution for borehole methane flow in coal seam based on a new dual-porosity Model[J]. Journal of Natural Gas Science and Engineering,2019,68:102916.

[32] 周世宁,林柏泉. 煤层瓦斯赋存与流动理论[M]. 北京:煤炭工业出版社,1990

[33] 齐黎明,祁 明,陈学习. 抽采钻孔周围煤层瓦斯压力分布理论分析及应用[J].中国安全科学学报,2018,28(7):102-108.

QI Liming,QI Ming,CHEN Xuexi. Theoretical analysis of coal seam gas pressure distribution around drainage hole and its application[J]. China Safety Science Journal,2018,28(7):102-108.

Accurate determination of effective gas extraction range of gas drilling holes in steeply inclined coal seams

WANG Gang1,2,LI Huaixing1,2,CHANG Bo1,2, 3

(1.School of Safety and Environmental Engineering, Shandong University of Science and Technology, Qingdao 266590,China; 2.State Key Laboratory of Mining Disaster Prevention and Control Co-founded by Shandong Province and the Ministry of Science and Technology,Shandong University of Science and Technology, Qingdao 266590,China;3. National Energy Group Xinjiang Energy Co., Ltd.Urumqi 830027,China)

Abstract:In order to clarify the effective extraction range of gas drainage boreholes in steeply inclined coal seams and reasonably arrange the locations of drainage boreholes, taking Wudong Coal Mine No.43 coal seam as an example, and numerical simulations were used to obtain the effective drainage range of gas drainage holes in steeply inclined coal seams. According to the law of time change, the gas percolation unit model around the steeply inclined coal seam was established, the mathematical model of the effective drainage range of the steeply inclined coal seam was deduced, and the numerical simulation and mathematical model were verified by the field measurement results, and the average relative error rate was small (both are less than 5%). Numerical simulation results show that: compared with the effective gas drainage range of conventional coal seam boreholes, the effective drainage distance and drainage time of steep coal seams have a non-linear relationship; during the drainage process, the effective drainage range increases with time. The expansion speed is different in different directions of the borehole plane, and the effective drainage area becomes an elliptical area after finally stabilizing. Through the analysis of the force state on the coal wall around the boreholes in steeply inclined coal seams, it is believed that the main reason for the difference in the effective extraction range is that the emergence of the boreholes has changed the original distribution of ground stress, and the stability of the coal wall around the drilling was impaired, the physical and mechanical properties of the coal in a certain range nearby change.In addition, the redistribution of ground stress also has a certain impact on the permeability of the coal seam around the borehole. In order to quantitatively study the development trend of the effective drainage range on the two-dimensional section perpendicular to the borehole with time, the mathematical model of the effective extraction range of the steep coal seam was used to obtain the expression of the effective extraction range of the steep coal seam, and the extraction in different directions was analyzed. The degree of difference caused by the expansion speed has a certain guiding effect on the field application of gas drainage boreholes in steeply inclined coal seams.

Key words:steeply inclined coal seam;gas drainage;effective drainage range;gas seepage

移动扫码阅读

王 刚,李怀兴,常 博.急倾斜煤层瓦斯钻孔有效抽采范围的精准确定[J].煤炭科学技术,2021,49(5):91-99.doi:10.13199/j.cnki.cst.2021.05.012

WANG Gang,LI Huaixing,CHANG Bo.Accurate determination of effective gas extraction range of gas drilling holes in steeply inclined coal seams[J].Coal Science and Technology,2021,49(5):91-99.doi:10.13199/j.cnki.cst.2021.05.012

收稿日期:2020-11-11责任编辑:王晓珍

基金项目:国家自然科学基金资助项目(51974176,51934004);山东省自然科学杰出青年基金资助项目(ZR2020JQ22);2018年自治区引进高层次人才天池百人计划资助项目(新人社函〔2019〕39号)

作者简介:王 刚(1984—),男,山东临沂人,教授,博士生导师,博士。 E-mail:gang.wang@sdust.edu.cn

中图分类号:TD712

文献标志码:A

文章编号:0253-2336(2021)05-0091-09