基于非线性渗透率模型的高抽巷精准抽采参数优化

徐 超1,2,3,4,李小芳2,陈晴晴2,曹明月2,申立华5

(1.中国矿业大学(北京) 共伴生能源精准开采北京市重点实验室,北京 100083;2. 中国矿业大学(北京) 应急管理与安全工程学院,北京 100083; 3.阳泉煤业(集团)有限责任公司,山西 阳泉 045000;4. 山东科技大学 矿山灾害预防控制重点实验室,山东 青岛 266590;5.中检集团公信安全科技有限公司,山东 枣庄 277100)

摘 要:利用高抽巷抽采工作面与断裂带卸压瓦斯是煤层群瓦斯治理的重要技术手段,为进一步提高高抽巷瓦斯抽采效果并实现精准抽采,基于砌体梁理论和“O”形圈理论建立采空区非线性渗透率模型,以此建立更符合实际情况的模拟模型,提高数值模拟结果的准确性,并将其运用到Fluent模拟软件中分析高抽巷在不同抽采负压、垂距、平距下对采空区瓦斯三维流场的影响规律,进而提出了高抽巷精准抽采的优化技术参数。结果表明,采空区渗透率分布特征规律为沿采空区倾向,进风、回风巷两侧渗透率大,阻力系数较小,中部渗透率较小,呈先减小后增大趋势分布;沿采空区走向方向,随着远离工作面,渗透率逐渐下降,在压实稳定区内基本保持稳定;采空区内瓦斯分布受风流及高抽巷抽采的影响,进风巷侧瓦斯浓度较低,回风巷侧瓦斯浓度较高,采空区瓦斯浓度分布等值线呈现“外凸”分布;当高抽巷平距为32 m,垂距为30 m,抽采负压为15 kPa时,抽采效果最佳,且采空区低浓度瓦斯分布范围较广,瓦斯浓度峰值最小,可以有效降低上隅角瓦斯浓度;通过对比现场实测高抽巷瓦斯抽采效果及上隅角瓦斯浓度和模拟结果,验证了模拟结果的准确性。研究结果可为高瓦斯煤层群精准开采及高抽巷参数优化提供理论依据。

关键词:高抽巷;采空区渗透率;合理层位;抽采负压;瓦斯抽采

0 引 言

瓦斯治理一直是我国煤矿开采过程中一大难题[1]。随着我国采煤机械化的发展,采煤工作面长度加长、开采强度加大,回采过程中瓦斯涌出量骤增,瓦斯超限隐患成为威胁煤矿安全生产的主要危险源之一[2-5]。因此,精准掌握瓦斯分区富集规律并应用合理的抽采技术方法,对于保障高瓦斯煤层安全精准开采是十分必要的[6-7]。针对高瓦斯煤层群瓦斯治理的难题,现有的解决措施有采空区管抽[8]、钻孔抽采[9-10]、巷道管抽、地面钻井等[11-12],其中高抽巷的应用较为广泛。高抽巷的精准抽采效果受到诸多因素的影响,例如层位布置、抽放负压和密闭质量等[13]。国内外学者针对高抽巷抽采瓦斯开展了大量研究。冯雪[14]通过构建采空区气体渗流模型,分析大佛寺煤矿高抽巷的最佳层位;马恒等[15]结合理论分析与数值模拟确定常村煤矿高抽巷最佳层位;靳晓华等[16]通过数值模拟,确定余吾矿的高抽巷合理层位布置;周华东等[17]通过分析采动过程中顶板的破断规律,来确定开元煤矿高抽巷的合理布置方案。目前的研究主要聚焦于高抽巷的层位布置,对于利用采空区非线性渗透率模型进行模拟确定高抽巷精准开采优化参数的研究较少。

因此,通过使用自定义UDF采空区非线性渗透率方程,实现采空区内多孔介质的非均匀性,并在此基础上,运用Fluent软件模拟分析抽采负压、垂距、平距对采空区瓦斯流场的影响,确定高抽巷精准抽采的最优参数;结合现场实测数据验证模拟结果的可靠性,研究结果为高瓦斯煤层群精准开采及高抽巷抽采参数优化提供理论依据。

1 采空区非线性渗透率模型

是否考虑煤层渗透率分布对煤层瓦斯抽采数值模拟结果有显著影响[18],煤中孔裂隙结构和内部瓦斯运移特性有着紧密关系[19]。为减小采空区渗透率分布对流场数值模拟精确程度的影响,司俊鸿等[20]在采空区非均质多孔介质孔隙分布规律的基础上,建立了采空区空隙率及渗透率数学模型。模拟中,垮落带和断裂带的黏性阻力系数(渗透率倒数)及空隙率采用自定义UDF,导入Fluent进行数值模拟计算。

根据砌体梁理论和采空区“O”形圈理论,得到式(1)—式(7)[21]。取进风巷一侧工作面和采空区的交点为坐标原点O,从工作面至采空区深部沿采空区走向方向为y轴的正方向,从进风巷至回风巷沿工作面倾向方向为x轴的正方向。沿走向方向,碎裂煤体的碎胀系数对采空区空隙率影响较大,空隙率呈负指数递减关系,岩石碎胀系数为岩石破碎后与破碎前的体积比,见式(1)。根据砌体梁理论得出采空区上覆岩层随着工作面推进的岩层下沉量近似公式,见式(2),沿采空区走向方向空隙率分布见式(3)。

(1)

(2)

(3)

式中:φ(x=0)为采空区底板上沿y轴方向空隙率变化曲线;Kp为破碎岩石的碎胀系数;φ为岩石的空隙率;hd为直接顶厚度,m;a为采空区内某一点至工作面的法向距离,m;H为采高,m;wb为基本顶下沉量,m;Kpd为直接顶破碎后岩块碎胀系数;l为基本顶破断后岩体长度,m。

根据经验公式得采空区底板上沿x轴方向空隙率的变化函数为

(4)

式中:L为采空区的倾向长度,m。

采空区非线性空隙率分布模型[22-23]

φ(xy)=φ(x=0)φ(y=0)

(5)

平舒煤矿15211工作面的主要参数:H=3 m,hd=6 m,Kpd=1.3,L=200 m,Dm=0.12 m。将参数代入式(5)得平舒煤矿采空区空隙率分布函数。

根据Ergun方程,推导出采空区非线性渗透率分布数学模型为

(6)

式中:α为采空区渗透率,m2φ(x,y)为采空区非线性空隙率分布函数;Dm为平均粒径,m。

黏性阻力系数k与采空区渗透率关系为[24]

(7)

2 采空区瓦斯流场模型构建

2.1 工程背景

平舒煤矿位于沁水煤田北部,主采15号煤层。15211工作面位于15号煤层西采区,煤层厚度多为3 m左右,平均厚度为2.21 m。工作面倾向长200 m,可采走向长度为1 112 m,倾角2°~10°。工作面采用倾斜长壁综合机械化采煤工艺,采用全部垮落法管理顶板,通风方式采用“U”型通风+顶板高抽巷抽采。

通过分源预测法以及网格法分析法得出平舒煤矿瓦斯绝对涌出量为69.5 m3/min,并结合实际采场涌出数据,设定垮落带瓦斯涌出量为59.4 m3/min,断裂带瓦斯涌出量为5.4 m3/min,工作面瓦斯涌出量为4.7 m3/min,代入瓦斯质量源项计算公式(6),得垮落带瓦斯质量源项为1.97×10-6 kg/(m3s),断裂带瓦斯质量源项为4×10-8 kg/(m3s),工作面瓦斯质量源项为1.87×10-5 kg/(m3s)。

(6)

式中:Qv 为模型立体瓦斯质量源项,kg/(m3s);Qg 为瓦斯涌出量,m3/s;ρg 为瓦斯密度,取0.716 kg/m3V为瓦斯涌出体积,m3

2.2 物理模型

根据实际情况对平舒煤矿采空区模型进行简化:设定工作面采场尺寸(长×宽×高)为200 m×5 m×3 m、采空区尺寸(长×宽×高)为200 m×150 m×50 m、进风、回风巷截面积为14.4 m3、高抽巷截面积为11 m3,建立模型如图1所示。

图1 采空区物理模型及网格划分示意

Fig.1 Schematic of physical model and grid division of gob

2.3 渗透率模型

平舒煤矿采空区渗透率变化如图2所示,渗透率呈“簸箕”状分布。沿倾向方向,进风、回风巷两侧渗透率大,阻力系数较小,工作面中部渗透率较小。走向方向,随着工作面的远离,渗透率逐渐减小,在压实稳定区内基本保持稳定。

图2 采空区渗透率

Fig.2 Permeability of gob

2.4 边界条件

进风巷设置为入口,速度设为2.89 m/s;回风巷、高抽巷设置为压力出口;垮落带和断裂带均设置为多孔介质,并根据垮落带和断裂带的黏性阻力系数(渗透率倒数)及空隙率分布方程,通过UDF自定义导入Fluent中使用,以此实现采空区多孔介质非均匀性。

2.5 模拟方案

运用Fluent软件模拟不同抽采负压(10、15、20、25 kPa)高抽巷位于不同垂距(20、30、40 m)、不同平距(22、32、42 m)时的采空区瓦斯三维流场,对比模拟结果确定高抽巷精准抽采参数。

3 数值模拟结果分析

研究高抽巷抽采负压和高抽巷位于不同垂距、平距对瓦斯抽采效果的影响,并提出抽采最优方案。

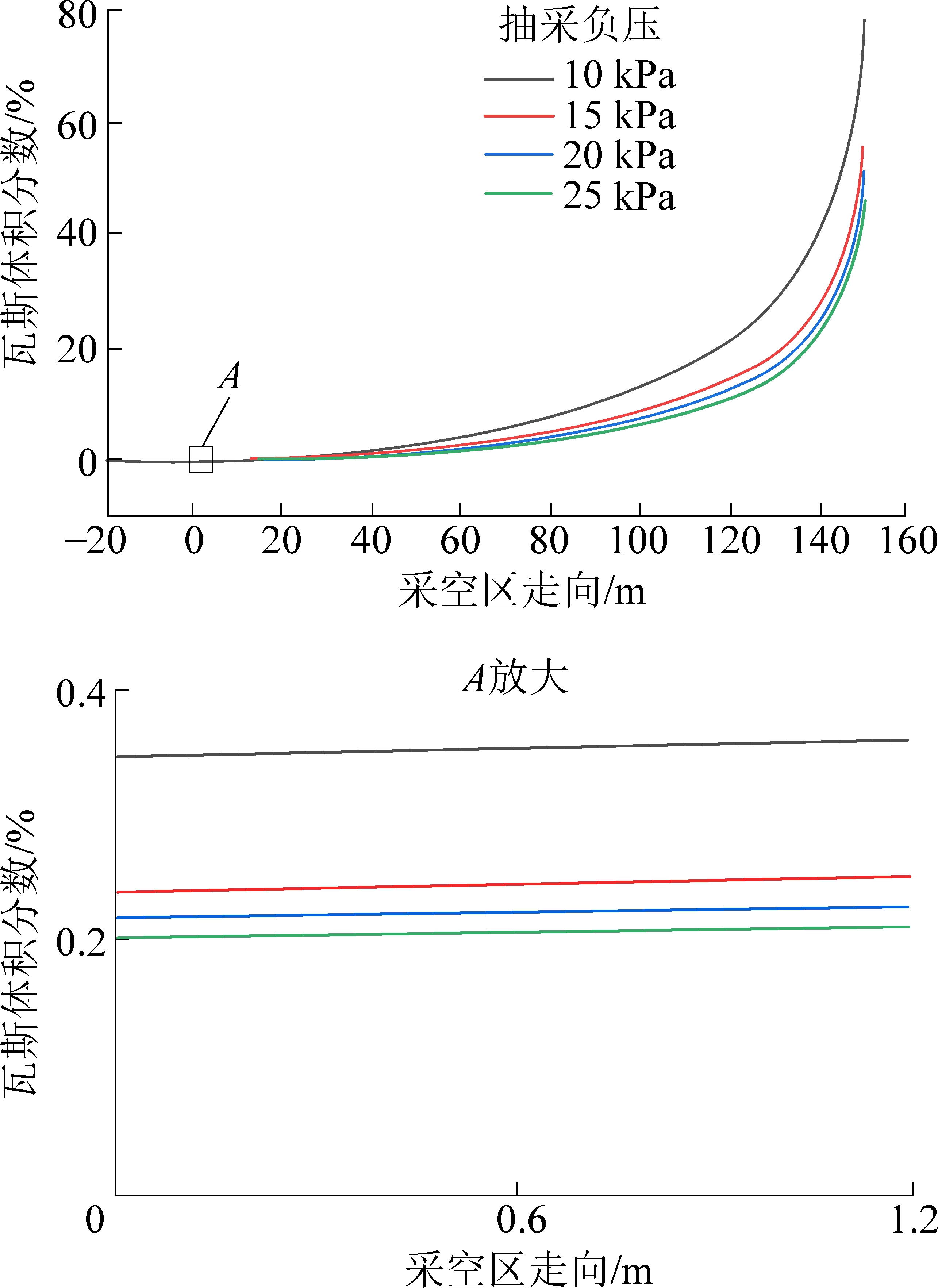
3.1 高抽巷抽采负压

经过数值模拟得,抽采负压为10、15、20、25 kPa时,采空区瓦斯体积分数峰值分别100.0%、70.7%、64.1%、56.7%。由图3得,抽采负压由10 kPa增加至15 kPa,采空区低浓度瓦斯(体积分数小于10%)占比增大15.38%;由15 kPa增加至20 kPa,低浓度瓦斯占比增大5.34%;由20 kPa增加至25 kPa,低浓度瓦斯占比增大3.17%。综上,增大高抽巷的抽采负压可一定程度上增加采空区瓦斯抽采量,但随着负压的增加,低浓度瓦斯范围提升幅度减慢,瓦斯流量变化较小,同时增加负压会增加采空区漏风情况以及增大采空区自然发火危险的可能性,综合分析采空区负压并非越大越好。

图3 不同负压下抽采瓦斯体积分数分段分布

Fig.3 Segmented distribution of drainage gas concentration under different negative pressures

采空区回风侧走向观测线上瓦斯体积分数如图4所示,随着高抽巷负压增大,观测线上的瓦斯浓度随之降低,但浓度变化梯度不均匀,负压由10 kPa增加至15 kPa,瓦斯浓度降低幅度较大,上隅角瓦斯浓度迅速降低,当抽采负压超过15 kPa,瓦斯浓度降低幅度减慢,上隅角瓦斯浓度虽在降低,但降低幅度较小。

图4 不同负压下回风侧瓦斯体积分数

Fig.4 Gas concentration on return air side under different negative pressures

随着负压的增大, 抽采瓦斯纯量随之增大但速度越来越小(表1)。负压的增大使得漏入采空区的风量增大,进入高抽巷的风量也随之增加,采空区内部瓦斯浓度逐渐减小。故随着负压的增大,抽采混量增加,但瓦斯浓度逐渐减小。

表1 不同负压瓦斯抽采参数

Table 1 Different negative pressure gas extraction parameters

负压/kPa抽采混量/(m3·min-1)抽采瓦斯纯量/(m3·min-1)抽采瓦斯体积分数/%1097.8747.8648.9115124.3257.9946.6520168.1859.6135.4525189.1159.6331.87

综上,当高抽巷抽采负压为15 kPa时,采空区低浓度瓦斯分布范围较大,瓦斯浓度峰值以及上隅角瓦斯浓度较低,抽采瓦斯纯量较大,超出15 kPa时,瓦斯浓度虽在降低,但参数变化较小。

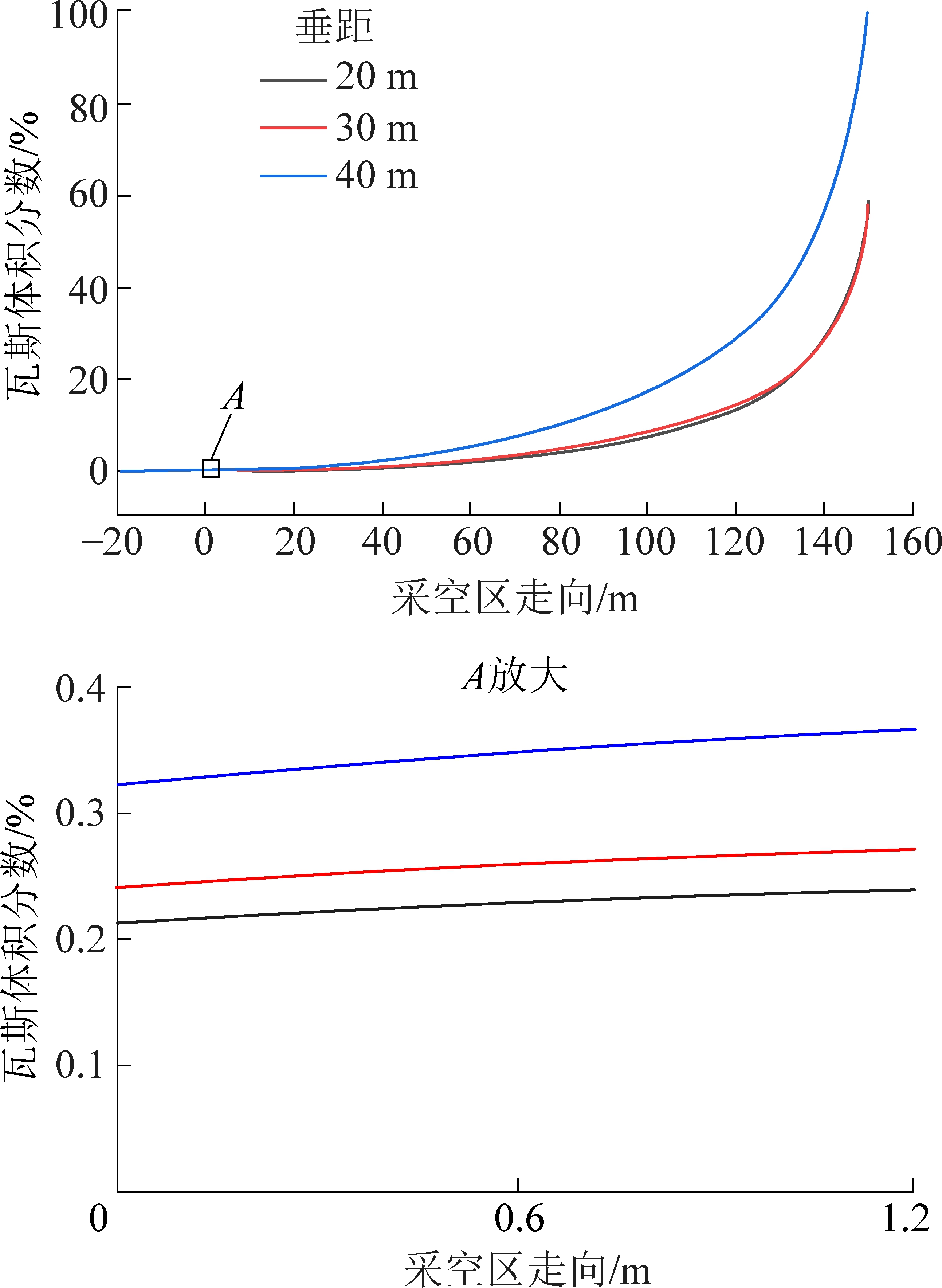
3.2 高抽巷垂直布置参数

为确定高抽巷最优垂距,在其他条件保持不变的情况下,分别设置其垂距为20、30、40 m。

3.2.1 瓦斯浓度分析

对比分析不同垂距下瓦斯浓度分段分布(图5)以及回风侧瓦斯浓度分布(图6)。

图6 不同垂距下回风侧瓦斯体积分数

Fig.6 Distribution of gas concentration on return air side under different vertical distances

图5 不同垂距下瓦斯体积分数分段分布

Fig.5 Segmented distribution of gas concentration under different vertical distances

经过数值模拟得,高抽巷垂距为20、30、40 m时,采空区瓦斯体积分数峰值分别83.9%、70.7%、100%。由图5得,当高抽巷平距为32 m,垂距为20 m时,采空区低浓度瓦斯占比为75.87%;垂距为30 m时,低浓度瓦斯占比为80.45%;垂距为40 m时,低浓度瓦斯占比为61.41%;采空区低浓度瓦斯分布范围越大,瓦斯浓度峰值越低,表明高抽巷对采空区瓦斯抽采效果越好。

由图6得,垂距为40 m时,瓦斯浓度较高,垂距为20和30 m时,采空区瓦斯浓度变化较小,且瓦斯浓度整体偏低。上隅角浓度随垂距的升高而增大,但体积分数变化梯度不均匀,在垂距为20 m和30 m时差距较小,仅为0.033%,在垂距30 m和40 m处的差距较大,为0.082%。

绘制不同垂距下z=0 m截面瓦斯浓度等值线(图7),z=45 m截面瓦斯浓度分布(图8),对比分析高抽巷不同垂距下抽采效果,坐标系同图2。

图8 不同垂距下z=45 m瓦斯浓度分布

Fig.8 Gas concentration distribution at z=45 m under different vertical distances

如图7所示,z=0 m截面瓦斯浓度等值线呈外凸分布。进风侧受进风巷风流影响,浓度较低,回风侧受采空区向工作面漏风的影响,浓度较高。随着高抽巷垂距增高,同一截面瓦斯浓度峰值先降低再升高,垂距为20 m时,最高体积分数为65.20%;垂距为30 m,最高体积分数为55.40%;垂距为40 m,最高体积分数为100%。对比垂距为20、40 m,垂距为30 m时瓦斯浓度等值线整体数值偏低。

图7 不同垂距下z=0 m截面瓦斯浓度等值线

Fig.7 Gas concentration contour of z=0 m section under different vertical distances

由图8得,瓦斯浓度沿着采空区走向和倾向都是增大的,和实际采空区瓦斯浓度相似,靠近回风巷一侧采空区深部瓦斯浓度达到极大值。垂距由20 m增加至30 m,瓦斯体积分数峰值减小了12%。垂距由30 m增加至40 m时,瓦斯体积分数峰值增长幅度较大,达75%。

由表2得,当高抽巷垂距为30 m时,抽采瓦斯纯量最大。这是由于抽采瓦斯纯量受瓦斯浓度及渗透率影响,垂距为40 m时,抽采浓度虽高但抽采混量小,垂距为20 m时,抽采混量大但抽采瓦斯浓度较低。

表2 不同垂距抽采瓦斯体积分数

Table 2 Drainage gas concentration in different offsets

垂距/m抽采混量/(m3·min-1)抽采瓦斯纯量/(m3·min-1)抽采瓦斯体积分数/%20134.1455.3541.2730124.3257.9946.6540116.6356.1248.12

综上分析,高抽巷瓦斯抽采效果随着垂距的增加先增大后减小。造成这种现象的原因是,当垂距为20 m时,高抽巷所在层位较低,位于断裂带的中下部,由于瓦斯的升浮效应,抽采不到高浓度的瓦斯,随着高度的增加,瓦斯浓度随之增高,因此随着高抽巷垂距的增加,抽采的瓦斯浓度越高,且瓦斯抽采量增加,此时高抽巷抽采效果较好,但是随着高抽巷垂距的持续升高,虽然瓦斯浓度在升浮效应下不断增大,但是岩层裂隙不发育,导致漏风通道阻力增加,高抽巷抽采瓦斯难度加大,抽采瓦斯纯量较少,高抽巷抽采效果较差。故综合分析,当高抽巷垂距为30 m,采空区低浓度瓦斯范围最大,瓦斯浓度峰值最小,且上隅角瓦斯浓度较低,抽采瓦斯纯量最大,对采空区瓦斯治理效果最佳。

3.2.2 采空区静压分析

通过对比不同垂距下的高抽巷所在截面静压分布(图9),确定高抽巷的最优垂距。

图9 不同垂距下高抽巷截面静压分布

Fig.9 Static pressure distribution of section of high-drainage roadway under different vertical distances

由图9得,沿倾向,从进风巷至回风巷侧,受高抽巷抽采负压的影响,压力逐渐增大。高抽巷抽采口与断裂带的交界处形成环形负压区,负压在走向上影响范围较大,有利于抽采靠近回风侧深部的瓦斯。随着垂距的增大,相同负压影响区增大,截面负压最高可达15 kPa,截面负压最小值先增大再减小。垂距为20 m时,截面上最低负压为651.3 Pa,垂距为30 m时,截面最低负压增大至1 083 Pa,垂距为40 m时,截面最低负压减小至772.8 Pa。高抽巷截面负压越大,对于采空区瓦斯抽采效果越好,故通过截面静压分布得垂距为30 m时抽采效果较好,和上述分析结果相同,验证了结果的准确性。

3.3 高抽巷水平布置参数

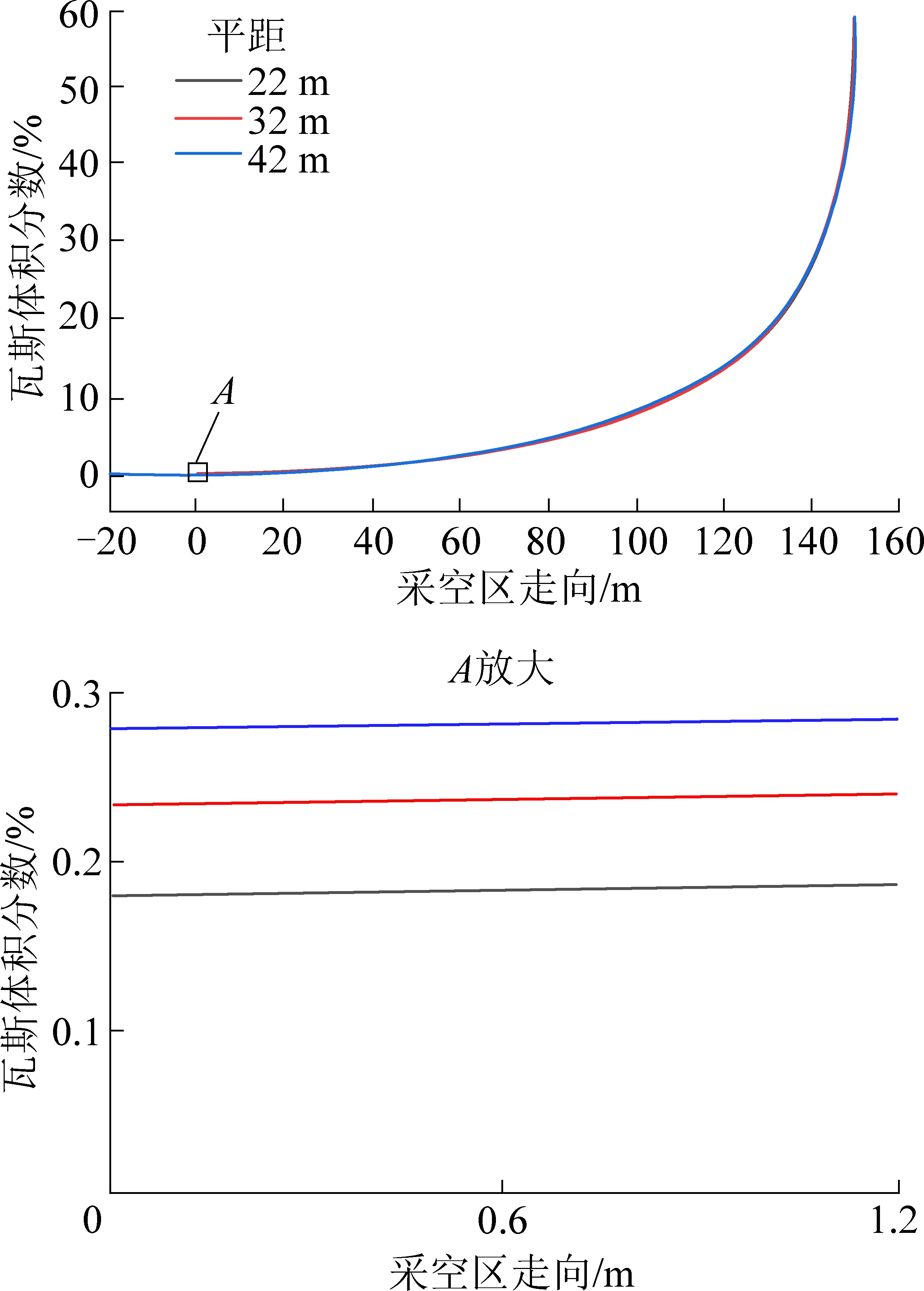
确定高抽巷最优垂距为30 m,其他条件保持不变,分别设置平距为22、32、42 m进行模拟。

3.3.1 瓦斯浓度分析

对比分析不同平距下瓦斯浓度分段分布(图10)以及回风侧瓦斯浓度分布曲线(图11)。

图10 不同平距下瓦斯体积分数分段分布

Fig.10 Segmented distribution of gas concentration under different horizontal distances

经数值模拟得,高抽巷平距为22、32、42 m时,采空区瓦斯体积分数峰值分别74.0%、70.7%、72.0%。由图10得,垂距为30 m,平距为22 m时,采空区低浓度瓦斯占比为81.68%;平距为32 m时,低浓度瓦斯占比为80.45%;平距为42 m时,低浓度瓦斯占比为81.29%。低浓度瓦斯分布范围越大,瓦斯浓度峰值越小,表明高抽巷的抽采效果越好。

由图11得,不同平距下采空区回风侧走向观测线上的瓦斯浓度变化较小,上隅角瓦斯浓度随着高抽巷平距的增大近似呈直线上升趋势。当高抽巷平距由22 m增大至32 m时,上隅角瓦斯体积分数由0.17%上升至0.24%,当高抽巷平距由32 m增大至42 m时,上隅角瓦斯体积分数由0.24%上升至0.28%。

图11 不同平距下回风侧瓦斯体积分数分布

Fig.11 Distribution of gas concentration on return air side under different horizontal distances

提取z=0 m截面瓦斯浓度等值线(图12),z=45 m截面瓦斯浓度分布(图13),对比分析高抽巷不同平距下瓦斯抽采效果,坐标系同图2。

图12 不同平距下z=0 m截面瓦斯体积分数等值线

Fig.12 Gas concentration contour of z=0 m section under different horizontal distances

随着平距的增大,采空区瓦斯浓度峰值先降低再升高,对回风巷一侧采空区深部瓦斯的抽采作用也逐渐减弱。平距为22 m时,采空区瓦斯体积分数峰值为56.00%;平距为32 m时,瓦斯体积分数峰值为55.40%;平距为42 m时,瓦斯体积分数峰值为58.80%。不同平距下瓦斯浓度等值线整体数值相差较小。

由图13得,同一截面瓦斯浓度峰值先减小再增大,当平距为22 m时,瓦斯体积分数峰值为15.90%,平距为32 m时,瓦斯体积分数峰值为15.80%,平距为42 m时,瓦斯体积分数峰值为16.10%。

图13 不同平距下z=45 m瓦斯体积分数分布

Fig.13 Gas concentration distribution at z=45 m under different horizontal distances

由表3得,当高抽巷的平距为32 m时,抽采瓦斯纯量和抽采瓦斯浓度最大。这是由于高抽巷距离回风巷过近或过远时,所抽采的高浓度瓦斯区域都是有限的,因此导致抽采效率降低。

表3 不同平距瓦斯体积分数对比

Table 3 Comparison of gas concentration in different horizontal distances

平距/m抽采混量/(m3·min-1)抽采瓦斯纯量/(m3·min-1)抽采瓦斯体积分数/%22118.7047.2539.8132124.3257.9946.6542120.8750.6641.92

综上可得,高抽巷瓦斯抽采效果随着平距的增加先增大后减小。原因在于当高抽巷与回风巷距离为22 m时,此时由于距离采空区边界过近,采空区上部裂隙发育不完全,瓦斯流动阻力较大,且在高抽巷的抽采负压作用下,回风巷部分风流会流入高抽巷中,导致高抽巷不能有效抽采采空区瓦斯,抽采效果较差。当高抽巷与回风巷距离为42 m时,由于距离回风巷较远,对工作面上隅角的作用较小,且高抽巷没有布置在采空区风流汇集区域内,没有覆盖在瓦斯浓度较高区域,抽采出的瓦斯浓度较低,导致其抽采效果较差。综上分析,高抽巷平距为32 m时,低浓度瓦斯分布范围较大,瓦斯浓度峰值最小,上隅角瓦斯浓度较低,抽采瓦斯纯量最大,所以高抽巷平距为32 m时,可以有效抽采较高浓度的瓦斯,瓦斯抽采效果最佳。

3.3.2 采空区静压分析

通过对比不同平距下的高抽巷所在截面静压分布(图14),分析高抽巷的最优平距。

图14 不同平距下高抽巷截面静压分布

Fig.14 Cross-section static pressure distribution of high-drainage roadway under different horizontal distances

由图14得,随着高抽巷平距增大,相同负压影响区逐渐减小;截面负压最小值先增大再减小,平距为22 m时,截面最低负压为843.4 Pa;平距为32 m时,截面最低负压为1 083 Pa;平距为42 m时,截面最低负压为921.5 Pa,不同平距下,同一截面负压越大,对于采空区瓦斯抽采效果越好,故平距为32 m时抽采效果较好,结论与上述分析结果相同,验证了结果的准确性。

4 工程验证

平舒煤矿15211工作面的高抽巷布置为平距32 m,垂距30 m,抽采负压为15 kPa,对煤矿15211工作面进行为期6个月的瓦斯抽采数据采集,如图15所示。

图15 高抽巷瓦斯抽采混合量、纯量、体积分数以及上隅角瓦斯浓度随抽采时间变化

Fig.15 Change of mixed volume,scalar volume,concentration and upper corner gas concentration of high-drainage roadway with extraction time

由图15得,随着工作面的推进,开采第14 d后瓦斯浓度急剧升高,这是由于初次来压,高抽巷逐渐发挥作用,抽采的第15~180 d,高抽巷抽采瓦斯混合量平均为128.84 m3/min,抽采瓦斯纯量平均为64.81 m3/min,抽采瓦斯体积分数平均为48.07%,瓦斯抽采稳定并且效果较好,将现场实测数据与模拟结果进行对比分析,现场实测采空区上隅角平均瓦斯体积分数为0.32%;而模拟结果显示上隅角瓦斯体积分数为0.24%,出现误差的原因是实际开采过程,有漏风的影响以及模型网格划分的因素。综合分析,现场实测数据与数值模拟结果较为吻合,研究结果可靠。

5 结 论

1)根据采空区非线性空隙率分布函数,推导出采空区非线性渗透率分布函数。分析采空区渗透率分布特征规律。沿采空区走向,随着远离工作面,渗透率逐渐减小,在压实稳定区内基本保持稳定。沿工作面倾向,进风、回风巷两侧渗透率大,工作面中部渗透率较小。

2)数值模拟分析。根据模拟结果可得当高抽巷平距为32 m,垂距30 m时,高抽巷抽采瓦斯纯量最大,且采空区低浓度瓦斯分布范围较广,瓦斯浓度峰值最小,上隅角瓦斯浓度较低可达到精准抽采的目的;抽采负压为15 kPa时,对采空区瓦斯及上隅角瓦斯治理效果较好,且抽采效率最佳。

3)工程验证。经过对比现场实测数据,15211工作面高抽巷平距为32 m,垂距为30 m,抽采负压为15 kPa时,抽采效果较好,与数值模拟结果较为吻合,证明研究结果对平舒煤矿及其他类似煤矿精准开采及高抽巷参数优化具有指导意义。

参考文献(References):

[1] 徐 超,王 硕,郭海军,等. 煤中瓦斯非稳态扩散特征模型及实验验证[J]. 煤矿安全,2018,49(5):1-5

XU Chao,WANG Shuo,GUO Haijun,et al. Unsteady-state diffusion characteristics model of gas in coal and experimental verification [J]. Safety in Coal Mines,2018,49(5):1-5.

[2] 朱红青,张民波,申 健,等. 常村矿2103工作面顶板走向高抽巷合理层位的确定[J]. 煤炭工程,2013,45(6):66-68.

ZHU Hongqing,ZHANG Minbo,SHEN Jian,et al. Determination on rational layer of high level gas drainage gateway along roof strike of coal mining face in Changcun mine [J]. Coal Engineering,2013,45(6):66-68.

[3] 王 凯,吴则琪,周爱桃,等.并联下行通风巷道瓦斯风压诱致风流紊乱研究[J]. 矿业科学学报,2016,1(1):49-57.

WANG Kai,Wu Zeqi,ZHOU Aitao,et al.Study on gas flow pressure caused airflow disorder in parallel downward ventilated roadways [J]. Journal of Mining Science and Technology,2016,1(1):49-57.

[4] 张宇菲,郭家豪,安 晨,等.高瓦斯矿井内错顶板瓦斯巷合理布设及应用[J].矿业科学学报,2018,3(1):29-38.

ZHANG Yufei,GUO Jiahao,AN Chen,et al.Reasonable layout and application of inner dislocated gas roadway at the first mining working face with high gas mine [J]. Journal of Mining Science and Technology,2018,3(1):29-38.

[5] 周爱桃,张 蒙,王 凯,等.布尔台矿综放工作面采空区瓦斯运移规律及瓦斯抽采优化研究[J].矿业科学学报,2020,5(3):291-301.

ZHOU Aitao,ZHANG Meng,WANG Kai,et al.Research on gas migration law and gas drainage parameters optimization in goaf of fully mechanized caving face in Buertai Coal Mine [J]. Journal of Mining Science and Technology,2020,5(3):291-301.

[6] 袁 亮.煤炭精准开采科学构想[J].煤炭学报,2017,42(1):1-7.

YUAN Liang. Scientific conception of precision coal mining [J]. Journal of China Coal Society,2017,42(1):1-7.

[7] 周爱桃,刘星魁,魏高举. 采动卸压瓦斯分区富集规律及协同抽采技术研究[J]. 工业安全与环保,2015,41(10):61-64.

ZHOU Aitao,LIU Xingkui,WEI Gaoju. Research on the rule of gas partition enrichment after the mining and pressure relief and the technology of synergistic extraction [J]. Industrial Safety and Environmental Protectio,2015,41(10):61-64.

[8] 苏现波,宋金星,郭红玉,等. 煤矿瓦斯抽采增产机制及关键技术[J]. 煤炭科学技术, 2020, 48(12): 1-30.

SU Xianbo,SONG Jinxing,GUO Hongyu,et al. Increasing production mechanism and key technology of gas extraction in coal mines[J]. Coal Science and Technology, 2020, 48(12):1-30.

[9] 张国华,侯凤才.预留瓦斯抽放钻场中钻场间距及布孔参数的确定[J].煤炭学报,2008,33(9):992-996.

ZHANG Guohua,HOU Fengcai.Parameter determination of the drilling field spacing and the bore about reserved gas drainage drilling field [J]. Journal of China Coal Society,2008,33(9):992-996.

[10] 刘彦青,孙永新,赵 灿,等. 采空区密闭联络巷埋管抽采瓦斯技术参数优化及应用[J]. 煤炭科学技术, 2020, 48(12): 131-140.

LIU Yanqing,SUN Yongxin,ZHAO Can,et al. Optimizing and application of technical parameters of gas drainage by buried pipe in closed connection roadway of gob[J]. Coal Science and Technology, 2020, 48(12): 131-140.

[11] 甘林堂.地面钻井抽采被保护层采动区卸压瓦斯技术研究[J].煤炭科学技术,2019,47(11):110-115.

GAN Lintang.Study on pressure relief gas drainage technology in mining area of ground drilling in protected layer [J]. Coal Science and Technology,2019,47(11):110-115.

[12] 杨永辰,胡成军,赵 贺,等. 高瓦斯煤层群瓦斯综合治理方案及分析[J]. 煤炭与化工,2014,37(2):8-10.

YANG Yongchen,HU Chengjun,ZHAO He1,et al. High gas coal seam group gas comprehensive control scheme and analysis [J]. Coal and Chemical Industry,2014,37(2):8-10.

[13] 聂百胜,王龙康,袁少飞,等. 张集矿17256工作面高抽巷的合理层位布置及应用[J]. 煤炭技术,2015,34(3):143-145.

NIE Baisheng,WANG Longkang,YUAN Shaofei,et al. Reasonable horizon arrangement and application of high pumping lane in zhangji coal mine 17256 working face [J]. Coal Technology,2015,34(3):143-145.

[14] 冯 雪.高抽巷层位对采空区自燃危险性影响的数值模拟分析[J].中国安全生产科学技术,2013,9(9):59-63.

FENG Xue. Numerical simulating analysis of spontaneous combustion risk of goaf in different positions of high drainage tunnel [J]. Journal of Safety Science and Technology,2013,9(9):59-63.

[15] 马 恒,王祥宇,张遵国. 高抽巷治理采空区瓦斯层位研究[J]. 中国安全生产科学技术,2019,15(1):81-87.

MA Heng,WANG Xiangyu,ZHANG Zunguo. Study on horizon of gas treatment in goaf with high drainage roadway [J]. Journal of Safety Science and Technology,2019,15(1):81-87.

[16] 靳晓华,王 娟,华明国.综放工作面高抽巷抽采瓦斯布置层位研究[J].中国安全生产科术,2018,14(4):95-100.

JIN Xiaohua,WANG Juan,HUA Mingguo. Research on arrangement horizon of high level drainage roadway for gas drainage in fully mechanized caving face [J]. Journal of Safety Science and Technology,2018,14(4):95-100.

[17] 周华东,许家林,胡国忠,等.综采工作面初采期局部高抽巷瓦斯治理效果分析[J].煤炭科学技术,2012,40(5):55-59.

ZHOU Huadong,XU Jialin,HU Guozhong,et al. Effect analysis on gas control with local high level gas drainage gateway at initial mining period of fully mechanized top coal caving mining face [J]. Coal Science and Technology,2012,40(5):55-59.

[18] 臧 杰,王 凯,刘 昂,等.煤层正交各向异性渗透率演化模型[J]. 中国矿业大学学报,2019,48(1):36-45.

ZANG Jie,WANG Kai,LIU Ang,et al. An orthotropic coal permeability model [J]. Journal of China University of Mining & Technology,2019,48(1):36-45.

[19] 郭海军,王 凯,崔 浩,等. 型煤孔裂隙结构及其分形特征实验研究[J]. 中国矿业大学学报,2019,48(6):1206-1214.

GUO Haijun,WANG Kai,CUI Hao,et al. Experimental investigation on the pore and fracture structure of the reconstructed coal and its fractal characteristics [J]. Journal of China University of Mining & Technology,2019,48(6):1206-1214.

[20] 司俊鸿,程根银,朱建芳,等.采空区非均质多孔介质渗透特性三维建模及应用[J].煤炭科学技术,2019,47(5):220-224.

SI Junhong,CHENG Genyin,ZHU Jianfang,et al.Three-dimensional modeling and application of permeability characteristics of heterogeneous porous media in goaf [J]. Coal Science and Technology,2019,47(5):220-224.

[21] 王少锋,王德明,曹 凯,等.采空区及上覆岩层空隙率三维分布规律[J].中南大学学报(自然科学版),2014,45(3):833-839.

WANG Shaofeng,WANG Deming,CAO Kai,et al. Distribution law of 3D fracture field of goaf and overlying strata [J]. Journal of Central South University(Science and Technology),2014,45(3):833-839.

[22] 梁运涛,张腾飞,王树刚,等.采空区孔隙率非均质模型及其流场分布模拟[J].煤炭学报,2009,34(9):1203-1207.

LIANG Yuntao,ZHANG Tengfei,WANG Shugang,et al. Heterogeneous model of porosity in gobs and its airflow field distribution [J]. Journal of China Coal Society,2009,34(9):1203-1207.

[23] 崔联兵.综放工作面采空区渗透率及漏风规律研究[J].煤炭科技,2018(1):56-58,69.

CUI Lianbing. Study on permeability and air leakage law of goaf in fully mechanized caving face [J]. Coal Technology,2018(1):56-58,69.

[24] 张睿卿,唐明云,戴广龙,等.基于非线性渗流模型采空区漏风流场数值模拟[J]. 中国安全生产科学技术,2016,12(1):102-106.

ZHANG Ruiqing,TANG Mingyun,DAI Guanglong,et al. Numerical simulation of air leakage flow field in goaf based on nonlinear seepage model [J]. Journal of Safety Science and Technology,2016,12(1):102-106.

Optimization of precise extraction parameters in high-drainage roadway based on nonlinear permeability model

XU Chao1,2,3,4,LI Xiaofang2,CHEN Qingqing2,CAO Mingyue2,SHEN Lihua5

(1.Beijing Key Laboratory for Precise Mining of Intergrown Energy and Resources,China University of Mining and Technology -Beijing,Beijing 100083,China;2.School of Emergency Management and Safety Engineering,China University of Mining and Technology-Beijing,Beijing 100083,China; 3.Yangquan Coal Industry(Group)Co.,Ltd.,Yangquan 045000,China;4. Key Laboratory of Mining Disaster Prevention and Control,Shandong University of Science and Technology,Qingdao 266590,China;5. China Certification & Inspection(Group)Gongxin Safety Technology Limited Company,Zaozhuang 277100,China)

Abstract:High-drainage roadway extraction working face and fracture zone pressure relief gas is an important means for coal seam group gas control. In order to further improve the gas extraction effect of high-drainage roadway and achieve precise extraction,based on the masonry beam theory and the "O" ring theory,this paper establishes a non-linear permeability model of the gob,so as to establish a simulation model that is more in line with the actual situation and improve the accuracy of the numerical simulation results. And apply it to the fluent simulation software to simulate and analyze the influence of the high-drainage roadway on the three-dimensional gas flow field in the gob under different suction pressure,vertical distance and horizontal distance,and then propose the optimized technical parameters of high-drainage roadway precise drainage. The results show that along the gob trend,the permeability on both sides of the air inlet and return roadway is large,and the resistance coefficient is small. Along the gob,as the working face moves away,the permeability gradually decreases,and basically remains in the compaction stable area stable; Affected by wind current and high-drainage drainage,the gas concentration on the side of the air inlet roadway is low,while the gas concentration on the side of the return airway is relatively high. The gas concentration distribution contour in the gob shows an "outward convex" distribution; When the horizontal distance of the roadway is 32 m,the vertical distance is 30 m,and the suction pressure is 15 kPa,the high-drainage roadway has the best drainage effect,which can effectively reduce the upper corner gas concentration; the gas drainage effect of the high-drainage roadway is measured on site the gas concentration in the upper corner verifies the accuracy of the simulation results. The research results can provide a theoretical basis for the precise mining of high gas coal seams and the optimization of high-drainage roadway parameters.

Key words:high drainage roadway; permeability of gob;reasonable horizon;suction negative pressure;gas drainage

中图分类号:TD712

文献标志码:A

文章编号:0253-2336(2021)05-0100-10

移动扫码阅读

徐 超,李小芳,陈晴晴,等.基于非线性渗透率模型的高抽巷精准抽采参数优化[J].煤炭科学技术,2021,49(5):100-109.doi:10.13199/j.cnki.cst.2021.05.013

XU Chao,LI Xiaofang,CHEN Qingqing,et al.Optimization of precise extraction parameters in high-drainage roadway based on nonlinear permeability model[J].Coal Science and Technology,2021,49(5):100-109.doi:10.13199/j.cnki.cst.2021.05.013

收稿日期:2020-11-13责任编辑:朱恩光

基金项目:国家自然科学基金资助项目(51974321);矿山灾害预防控制重点实验室开放课题基金资助项目(MDPC202018)

作者简介:徐 超(1988—),男,山东泰安人,副教授,博士。E-mail:xuchaocumt@126.com