区域和局部突出危险性动态实时监测预警技术研究

宋大钊,何学秋,邱黎明,赵英杰,程肖禾,王安虎

(北京科技大学 土木与资源工程学院,北京 100083)

摘 要:为实现煤与瓦斯突出灾害的准确监测预警,将微震监测技术、震动波CT技术与声电瓦斯监测技术应用于煤与瓦斯突出矿井,分析了微震信号的时空演化特征规律,研究了震动波CT与应力异常、突出预兆、采掘工程的关系,深入挖掘了掘进期间的电磁辐射、声发射、瓦斯等监测数据的时空演化规律,建立了预警准则统一、预警指标统一、预警临界值统一的综合集成高可靠性预警方法,最终形成了逐级聚焦的突出危险区域-局部动态实时监测预警方法技术,并开展了煤岩动力灾害监测预警云平台的应用。结果表明:基于微震监测以及震动波速反演得到的区域应力场结果,可以预测采掘强扰动区、应力集中区,地质异常区共同组成的煤与瓦斯突出危险区,实现了突出危险区域预测;声发射12 h偏差值DA、声发射偏离异常频次N、电磁辐射24 h偏差值DE、电磁辐射偏离异常持续时间h、瓦斯涌出量Q、瓦斯涌出变化率I等指标对突出危险具有较好的响应,可进行局部突出危险预警。突出危险区域-局部动态实时监测预警技术首先通过微震动态监测区域动载扰动信息,结合震动波CT探测区域应力场的分布特征,初步划定突出危险煤层危险区域,随后集成电磁辐射、声发射、瓦斯等多参量综合监测实现突出危险的局部即时预警。

关键词:煤与瓦斯突出;多指标融合;区域预测;局部预警

0 引 言

煤与瓦斯突出是煤矿开采中最具破坏性和危害性的动力灾害之一[1],其造成的后果往往是最严重的。近几年来,随着浅层煤炭资源的逐渐枯竭和煤炭需求量的持续上升,我国煤矿开采深度和强度不断增加,煤与瓦斯突出灾害的威胁愈发严重[2]

《防治煤与瓦斯突出细则》规定[3]:煤层突出危险性预测分为区域突出危险性预测和工作面突出危险性预测。区域预测的任务是确定矿井、煤层和煤层区域的危险性;工作面(局部)预测的任务是在前者的基础上,及时预测局部地点即采掘工作面的突出危险性。

现有的区域突出危险性预测方法主要有:单项指标法[4]、突出预测综合指标法、综合地质指标法[5]、瓦斯地质区域预测[6]和瓦斯地质单元法等[7]。工作面(局部)预测的任务是确定采掘工作面前方煤体的突出危险性。现有的工作面预测方法主要是:钻屑瓦斯解吸法[8-10]、钻孔瓦斯涌出初速度法[11]等。以上这些方法多采用抽检、定点式指标,钻孔工程量大,人为因素干扰大,并且通常在一定程度上影响生产;时域上无法做到连续监测,空域上体现为“点评价”形式,难以反映采掘扰动过程区域性煤岩应力环境及煤与瓦斯突出危险动态演化过程[12]

近几年来,微震监测技术和震动波CT技术兴起。前者主要利用各种微震指标对冲击地压矿井煤岩体内的破裂情况进行定位,结合现场地质条件及采掘工艺,分析预测灾害的发生区域[13-15]。后者通过对地震波穿越地质体的走时和能量变化的观测,重建地质体内部的结构图像,是地下工程探测技术的最新发展。窦林名研究团队[16-17]将震动波CT技术和微震实时监测技术相结合,是目前煤矿冲击危险评价和预测的最新成果。他们在该领域做出了卓有成效的研究,已在数十个矿井取得了成功应用。

笔者拟通过微震监测系统、震动波CT技术系统和声电瓦斯监测系统构建煤与瓦斯突出多参量远程监测预警平台,开展多系统、多参量集成的监测预警研究,建立预警准则统一、预警指标统一、预警临界值统一的区域-局部突出危险性动态实时监测预警技术,并进行突出危险多参量集成预警远程系统云平台的运用。这对于提高煤矿瓦斯灾害监测预警及防控水平、实现矿井安全、高效生产具有重要的理论和实践意义。

1 突出危险区域动态预测方法

1.1 试验区与微震系统

本次试验现场选择在贵州盘江精煤股份有限公司金佳矿11224回采工作面。该工作面埋深340~400 m,煤层平均厚度1.2 m;设计倾向长180 m,走向长438 m,煤层倾角22°;平均原煤瓦斯含量10.8 m3/t,煤层坚固性系数为0.5~0.6。在工作面开切眼外侧为无煤地带,其边缘至开切眼最近距离约30 m。

金佳矿安装了波兰矿山研究总院研发的SOS微震监测系统。为了达到最好的监测效果,在11224工作面运输巷周边布置了7~8个传感器,从2017年6月18日到2018年5月31日进行了为期约1年的监测。期间,随着工作面掘进,在2017年10月15日对传感器位置进行了一次调整,将2号传感器调整至新位置,并增加了8号传感器,具体工作面布置如图1所示。

图1 11224工作面位置及微震传感器布置示意

Fig.1 Schematic of No.11224 coal mining face location and microseismic sensor layout

1.2 微震事件空间分布特征

2017年6月18日至2018年1月24日期间,11224工作面周围100 m范围内微震事件平面分布如图2和表1所示,共有微震事件868个。可以看出,微震事件主要集中在以下4个区域:煤柱影响区(R1)、工作面回风巷扰动区(R2)、工作面运输巷扰动区(R3)以及构造影响区(R4)。

图2 微震事件空间分布[2]

Fig.2 Spatial distribution of MS events[2]

表1 微震事件次数统计

Table 1 Micro seism events count

能量范围/J震动事件次数所占比例/%0~10014616.82100~1 00030835.481 000~10 00037643.3210 000~100 000354.03100 000~1 000 00030.35

显然,R1和R4两个区域分别受到多条上山巷道产生的多个煤柱诱发的应力集中,以及构造引起的较大的构造应力在附近煤岩体内部产生的应力集中,产生了较多的微震事件;而R2和R3区域则是由于巷道掘进期间,掘进工作面附近产生局部应力集中,同时动载扰动诱发了较多的微震事件。在R4区域内部有一个地质构造体,位于开切眼位置外约30 m处,微震频率和能量释放与巷道和地质构造距离密切相关,越接近地质构造区,微震能量和频次越大。

金佳矿微震事件能量几乎全部在104 J以下,这与冲击地压矿井相比(有大量能量在105 J以上的微震事件存在)[18],单个事件能量偏小1~2个量级。最大的3次能量超过105 J的微震事件有2次在运输巷扰动区与构造影响区叠加区域,说明此处煤体承受着较大的构造应力及扰动载荷。总结以上内容,容易得出微震频次、分布和能量指标对地质构造和掘进扰动有敏感的响应,可利用微震监测进行提前预测与定位地质异常。

1.3 区域应力场震动波CT反演分析

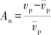
震动波CT技术在煤与瓦斯突出矿井尚未有应用的先例,因此,笔者借鉴了冲击地压矿井的通用指标:波速异常指标An及波速梯度异常指标VG(i,j)来表征应力场异常。两者的关系式见式(1)和式(2)。波速异常指标An

(1)

其中:vp为反演区域一点的纵波波速;为模型波速的平均值。巷道掘进过程中会经过地质构造破碎带等构造区域,构造区会存在大量裂缝及弱化带,纵波波速在经过裂缝及弱化带时会降低,岩体弱化及破裂程度与纵波波速降低大小相关,因此通过纵波波速的负异常也可以判断反演区域的破碎程度。

波速梯度值异常指标VG(i,j)为

VG(i,j)=V(i,j)grad(i,j)

(2)

式中:V(i,j)为(i,j)点的纵波波速;grad(i,j)为(i,j)点的梯度。

1.3.1 震动波CT反演区域应力场

选择11224运输巷掘进工作面水平标高+1 670 m处震动波CT切面分析区域应力场的分布及演化情况,如图3所示。

图3 11224运输巷掘进期间抽采期间震动波CT反演结果

Fig.3 Results of extraction seismic wave CT inversion during excavation of No.11224 haulage roadway

由图3可以看出,+1 670 m水平的波速正异常区域主要在运输巷掘进工作面后方150 m范围内及运输巷下帮100 m范围,呈现出应力增加的狭长带,此位置与地表山谷的位置具有一致性。波速负异常区表明煤岩层存在破碎区域,主要是由于巷道顶板存在沉降引起上部煤岩层破碎。掘进工作面前方波速正异常是由于巷道掘进对前方煤岩层的扰动导致的,属于正常现象,除此之外无应力异常。

综上,震动波CT反演的应力场结果与实际的应力异常相符合,震动波CT技术同样可以适用于煤与瓦斯突出矿井的区域应力场探测。

1.3.2 应力异常区与突出预兆事件空间对比

通过11224运输巷及开切眼掘进的跟踪监测,震动波CT探测得到的应力集中区与巷道掘进煤与瓦斯突出预兆事件、顶板动力显现事件等典型动力灾害预兆发生的空间位置相吻合。如图4可见,在应力场异常区边缘都曾发生过指标超限事件,而在震动波CT探测的应力集中区域内曾发生过动力显现,以上区域的波速异常系数An都在0.1以上。

图4 11224工作面顺煤层应力异常区分布[19]

Fig.4 Distribution of abnormel stress area along seam on No.11224 working face[19]

在2017年12月10日指标超限事件发生前,12月8日巷道炮后瓦斯浓度超限,12月10日开切眼掘进工作面发生小型压出,瓦斯异常涌出,巷道停止掘进。在随后12月14日、16日、18日、23日及24日的打钻过程中均出现打钻喷孔突出前兆。12月10日巷道掘进工作面位置的前方正是应力异常区。

在2018年1月22日发生11224运输巷开切眼发生过动力显现。该事件发生的直接原因为11224开切眼掘进工作面顶板冒落矸石。由图4所示,该事件发生区域为震动波CT探测的应力集中区域,这是发生本次动力显现的原因之一。

因此,突出危险事件位置与探测的区域应力场具有很好的对应关系。在震动波CT探测结果波速梯度变化大的位置更可能产生突出危险。在该区域进行掘进等作业时,应采取必要的防护措施。震动波CT反演区域应力场对突出危险区域预测及现场施工具有重要的指导意义。

1.4 突出危险区域预测准则

通过长时间的跟踪测试,发现在靠近地质异常、采掘强扰动和应力集中的区域,突出危险性显著增强,微震的频次和能量等参数表现出明显的上升趋势。基于长期的观测和规律分析,制定了地质异常、采掘强扰动和应力集中区域的预测准则,三者共同组成了煤与瓦斯突出危险区,其定义如图5所示。

图5 突出危险区定义示意

Fig.5 Definition of outburst dangerous area

1.4.1 地质异常区预测准则

把巷道掘进放炮引起的微震事件排除之后,可以得到自然震源微震事件。通过对自然震源微震事件频次进行时序分析,得到自然震源微震事件的时序分布特征,同时对自然震源微震事件发生的位置进行标注[20]。其预测准则见表2。

表2 地质异常区预测准则
Tabel 2 Prediction criteria of geological anomaly area

自然震源微震事件数区域预测连续3 d均可监测1次及以上地质构造区连续3 d平均每天为2次及以上地质异常区

1.4.2 强采掘扰动区微震事件预测准则

通过对主动震源、自然震源微震事件等全部的微震事件的时序特征进行分析,得到微震事件的能量特征[20],其预测准则见表3。

表3 强采掘扰动区微震事件预测准则
Tabel 3 Criteria for prediction microseismic event in strongly mining disturbed areas

自然震源微震事件能量区域预测单次微震能量在103 J量级以内,且日累计微震能量在104 J量级以内掘进弱扰动单次微震能量大于104 J量级,或日累计微震能量大于105 J量级掘进强扰动

注:该准则用于预测掘进工作面前方100 m范围内的扰动区。

1.4.3 应力集中区预测准则

通过CT反演软件构建反演模型,赋予模型波速平均值,则可用波速异常指标反映煤层应力的异常情况。笔者借鉴了冲击地压矿井的通用指标,选取波速异常指标An和波速梯度异常指标VG作为划分应力集中区域的指标。当An>10%,或An <-10%,或VG>%时,该区域为应力集中区。

2 突出危险局部多参量集成预警方法

2.1 声电瓦斯系统及其布置介绍

金佳矿采用KJ838声电瓦斯局部监测系统。该系统可实现实时连续监测采掘过程的声发射、电磁辐射、瓦斯浓度等数据,软件自动处理分析声电信号强度值、脉冲数、瓦斯浓度等,并统计分析各指标及其变化规律。声-电-瓦斯探头安装时,安装在11224运输巷距掘进工作面10~20 m范围内;红外甲烷传感器吊挂在煤壁中上部。声-电传感器随采掘工作面的进尺而移动,保持在工作面10~15 m以内,具体布置如图6所示。

图6 声-电-瓦斯探头安装位置示意

Fig.6 Installation position of acoustic-electrical-gas probe

2.2 局部多参量集成监测预警模型

大量的试验及现场工作经验表明,多参量监测预警对于煤与瓦斯突出预警可靠性的提高有所帮助。因此,笔者借助深KJ838声-电-瓦斯局部监测系统,分析突出危险征兆前后的电磁辐射信号、声发射信号以及瓦斯浓度数据响应特征,确定了金佳矿煤与瓦斯突出前兆信息特性及监测预警特征参量,并建立了突出危险局部多参量监测预警模型,模型如图7所示。

图7 突出危险局部多参量监测预警模型

Fig.7 Local multi parameter monitoring and early warning model of outburst danger

2.2.1 电磁辐射预警指标

电磁辐射是指煤或岩石等非均质材料在受载破裂过程中向外辐射能量的过程或现象,是非均质体各部分非均匀变速变形引起的电荷迁移和裂纹扩展过程中带电粒子变速运动而形成的[21-22]。根据煤矿井下实时跟踪监测数据及突出危险增加时电磁辐射参量的活动规律,在煤巷掘进工作面,突出危险性增加时,电磁辐射信号具有异常变化。根据其异常变化提出了以下3种电磁辐射预警特征指标。

1)电磁辐射强度值Ee

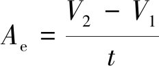
2)趋势预警指标Ae,其计算式为

(3)

式中:V2为当前时间点前3 min内的电磁辐射强度平均值;V1t时间前的3 min电磁辐射强度的平均值。

3)电磁辐射24 h偏差值DE。煤与瓦斯突出危险前后电磁辐射、声发射、均出现不同程度偏差。偏差程度的大小对反映突出危险程度具有重要意义。通过分析比较8、12、24、48 h的偏差值发现电磁辐射强度24 h偏差值、偏离异常持续时间对突出危险具有较好响应,电磁辐射强度24 h偏差值计算式为

(4)

式中:QE为实时强度;QEV为前24 h平均强度。

4)偏离异常持续时间h。当偏差值DE第1次出现≥0.5时,此时的时间点记为t0,此后时间段内开始小于0.5时的时间点记为t1,偏离异常持续时间h

h=t1-t0

(5)

2.2.2 声发射预警指标

煤岩体局部区域的弹性能快速释放时会向空间内释放声发射。煤岩体是非均匀的,其中存在各种微孔隙和裂缝,以至于煤岩体在地应力、瓦斯压力及采掘作用等影响下会发生突发性破裂,能量以弹性波的形式向外传递,产生声发射现象[23-24]。煤与瓦斯突出灾害在孕育和发生时,煤岩体会大量集聚弹性能,在释放时,必然存在声发射信号异常增强。分析煤矿井下实时跟踪监测数据及突出危险增加时声发射参量的活动规律,发现在煤巷掘进期间,突出危险性增加时,声发射信号具有明显的异常响应。根据异常数据及其异常变化提出了以下4种声发射预警特征指标。

1)声发射强度值Ea

2)声发射趋势预警指标Aa。计算式为

(6)

式中:V4为当前时间点前3 min内的声发射强度平均值;V3为Δt时间前的3 min声发射强度的平均值。

3)声发射12 h偏差值DA。通过分析比较8、12、24、48 h的偏差值发现声发射强度12 h偏差值、偏差异常频次等对突出危险具有较好响应,声发射强度24 h偏差值计算式为

(7)

式中:QA为此刻实时强度;QAV为前12 h平均强度。

4)声发射偏离异常频次N。当声发射强度偏差值≥20时定义为偏离异常。因此,偏离异常频次N为在12 h内声发射强度偏离≥20的次数累计值∑M。计算式为

N=∑M

(8)

2.2.3 瓦斯预警指标

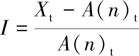
掘进工作面前方煤体瓦斯浓度的动态变化与煤体的突出危险性联系紧密,能为煤与瓦斯突出预测提供依据。在大量的突出事故中发现,在突出事故发生前几个小时或者几天内,瓦斯涌出量对比正常值表现出了明显的差异,通常可以把巷道中瓦斯涌出量Xt与瓦斯涌出变化率I作为煤与瓦斯突出预警模型的特征指标。瓦斯预警指标包括瓦斯浓度、绝对瓦斯涌出量、瓦斯涌出变化率I

(9)

式中:Xt为某时刻的瓦斯涌出量,大小为瓦斯浓度与风量的乘积;n为时间长度,取3 min;A(n)t为某时刻前n时间长度的平均瓦斯涌出量。

2.2.4 局部预警指标临界值确定与预警程度确定

将第2.2节中的电磁辐射预警指标、声发射预警指标和瓦斯预警指标中的各个子指标进行两两组合,通过遗传算法对监测的数据进行机器学习,不断地迭代优选获得各特征参量的预警临界值,并计算出预警效能R。选出每类特征参量中R值较大的2个特征参量作为预警模型的特征参量,经过大量运算得到电磁辐射指标里,R值最大的2个特征参量为24 h偏差值和偏移异常持续时间;声发射指标里,R值最大的2个特征参量为12 h偏差值和偏移异常频次;瓦斯指标里,R值最大的2个特征参量绝对瓦斯涌出量和瓦斯涌出变化率。并确定了每类特征参量中作为预警模型的特征参量临界值(C1C2)以及它们的警报持续时间,见表4。

表4 遗传算法迭代优选的特征参量
Tabel 4 Characteristic parameters of iterative optimization of genetic algorithm

监测系统优选特征参量临界值电磁辐射24 h偏差值DE0.82偏离异常持续时间h/min30.68声发射12 h偏差值DA20偏离异常频次3瓦斯绝对瓦斯涌出量Q/(m3·min-1)78瓦斯涌出变化率I2

注:电磁辐射、声发射、瓦斯监测系统的报警持续时间分别为6、30、12 min。

瓦斯预警方法如下:

1)当电磁辐射24 h偏差值/声发射12 h偏差值/瓦斯涌出量Xt大于临界值C1,或者瓦斯涌出变化率I大于临界值C2时,预警程度W加1(W初始值为0,无危险)。

2)当电磁辐射24 h偏差值/声发射12 h偏差值大于临界值C2,或者瓦斯涌出量Xt大于临界值C1且瓦斯涌出变化率I大于临界值C2时,预警程度W再加1。

3)当预警程度W达到最大值2时,进行初步预警,警报持续T时间。

综合预警程度计算式为(以电磁辐射综合预警程度Wd为例)

(10)

式中:max(Wi)为Wi的最大值,通常取2;Wii组合的预警程度;Ri为第i组合预警效能。

针对计算得到的电磁辐射综合预警值、声发射综合预警值、瓦斯综合预警值,按照式(11)得到综合预警程度。

(11)

式中:WdWsWv分别为电磁辐射、声发射和瓦斯综合预警程度;RdRsRv分别为电磁辐射、声发射和瓦斯综合预警程度预警效能。

计算出当前的综合警报程度后,并根据区域预测结果进行预警。若处于安全区域时,输出的警报级别按照综合预警程度均匀的分为4个级别:①当综合预警程度指标0≤Wz<0.25时,无危险;②当综合预警程度指标0.25≤Wz<0.5时,综合模型发出Ⅰ级警报;③当综合预警程度指标0.5≤Wz<0.75时,综合模型发出Ⅱ级警报;④当综合预警程度指标Wz≥0.75时,综合模型发出Ⅲ级警报。

2.3 突出危险多参量集成监测预警模型应用

2019年7月21、22日运输巷作业期间,巷道内的瓦斯体积分数一般处于0.25%~0.30%,无异常时波动较小。4时16分—7时5分瓦斯体积分数快速异常升高,达到0.5%。同时,于7月23日4时—9时期间,瓦斯体积分数再次出现较长时间异常增高,达到0.45%。这说明作业期间煤体内部瓦斯间断性快速向外释放,存在发生突出的风险。声电瓦斯监测系统监测到瓦斯异常变化前后瓦斯有效信号、电磁辐射、声发射的变化情况如图8、图9和图10所示。

图8 巷道瓦斯体积分数变化

Fig.8 Change of gas volume fraction in roadway

图9 巷道电磁辐射变化

Fig.9 Change of electromagnetic radiation in roadway

图10 巷道声发射变化

Fig.10 Change of acoustic emission in roadway

由图8—图10可知,在巷道作业过程中瓦斯异常发生前期,声发射信号表现出明显的急剧升高趋势,电磁辐射强度在瓦斯异常之前出现增加趋势,在瓦斯发生异常后达到最大值。根据建立的预警模型,综合图11—图14,电磁辐射对瓦斯异常事件预警响应较大,在2019年7月21日0时1分至8时2分持续性中危险预警,声发射则分别在7月21日3时12分进行了中危危险预警;瓦斯在监测过程中未发出中等以上危险预警;集成以上多参量的预警结果,7月21日0时20分—7月21日7时21分进行中突出危险预警。

图11 电磁辐射预警程度

Fig.11 Electromagnetic radiation warning degree

图12 声发射预警程度

Fig.12 Acoustic emission warning degree

图13 瓦斯预警程度

Fig.13 Gas warning degree

图14 多参量集成预警程度

Fig.14 Multi parameter integrated warning degree

针对此次瓦斯浓度异常增加事件,瓦斯预警监测未见中等预警以上异常,主要是由于最大瓦斯体积分数未超过0.5%。电磁辐射和声发射分别提前28 h和1 h进行了中等危险预警,多参量集成预警系统提前约27 h进行中危险预警。此次瓦斯浓度虽异常增加,但整体浓度值较低。但面对存在的异常现象,声电及多参量集成预警均表现出对异常事件较高的敏感性。

需要注意的是,突出危险局部多参量集成预警的结果是建立在区域预测的结果上的,即:以微震模型来进行区域预警,划分出危险期;在危险区域内综合考虑声发射、电磁辐射、瓦斯等局部监测预警的结果。

3 区域-局部突出危险性动态实时监测预警技术

区域-局部突出危险性多参量集成监测预警模型主要包括空间微震动态监测与区域预测、局部多参量集成监测预警2个部分。在突出矿井中开展突出危险的区域预测研究可以实现突出煤层的分区分级管理,提高突出危险防治措施的针对性。对于潜在的危险区域,如突出煤层巷道掘进工作面,或采用区域预测有异常或危险的区域进行局部监测,可以提高突出危险监测准确率。煤矿常用监测方法中电磁辐射、声发射、瓦斯等可以作为局部监测方法,另外,微震监测数据也可用于局部监测预警。

区域和局部突出危险性动态实时监测预警思路如下:

1)区域预测与动态监测主要通过微震监测和震动波速反演得到区域应力场结果,在此基础上预测采掘强扰动区、应力集中区、地质异常区共同组成的煤与瓦斯突出危险区。

2)根据区域预测结果,若处于安全区域时,区域-局部突出危险性预警结果为局部综合指标发出的警报,其预警结果与第2.2.4节中的预警结果一致。

根据区域预测结果,判断处于突出危险区域时,区域-局部预警结果为局部综合指标发出的警报的高一级,分为3个级别,其预警结果如下:①当综合预警指标0≤Wz<0.25时,综合模型发出Ⅰ级警报;②当综合预警指标0.25≤Wz<0.5时,综合模型发出Ⅱ级警报;③当综合预警指标Wz≥0.5时,综合模型发出Ⅲ级警报。

不同预警等级下采取相应的防治措施,区域和局部监测预警的流程如图15所示。

图15 区域和局部监测预警流程

Fig.15 Regional and local outburst risk monitoring and early warning flow

4 煤岩动力灾害监测预警云平台

根据历史数据挖掘结果,模型构建,开发了区域-局部突出危险性多参量集成监测预警平台,形成了“矿井-矿业集团-远程监测预警中心”三级监测预警网络,实现了突出危险区域-局部动态实时监测预警和对突出危险的远程诊断,并已经在国家能源集团新疆能源有限公司乌东矿、贵州盘江煤电集团有限责任公司金佳矿等多个矿井进行应用。平台主要功能和优势如下:

1)平台实现了微震、矿压、电磁、声发射、瓦斯等多源动态信息远程在线传输、存储和多源信息挖掘,可根据矿方监测设备进行扩展。

2)平台实时监测模块实现了对矿井各监测系统监测参数的实时采集和呈现,能将多个系统集中在一个屏幕进行显示和调用。

3)综合预警模块将区域与局部监测相结合,能够自动分析确定突出灾害优选指标及临界值,对优选指标(时,空,强)进行综合集成,实现单系统多参量综合集成。

4)平台能实时监测各系统运行情况,出现故障会及时识别和报警,为维护和修理提供便利。

5 结 论

1)现场实测得到了突出危险煤层掘进过程微震事件的时空变化特征规律,基于微震监测以及震动波CT探测结果,对采掘强扰动区、应力集中区、地质异常区等危险区域进行了探测,实现了对煤与瓦斯突出危险的区域预测。

2)基于煤巷掘进长期声电瓦斯跟踪监测,确定了声发射12 h偏差、声发射偏离异常频次、电磁辐射24 h偏差、电磁辐射偏离异常持续时间h、瓦斯涌出量、瓦斯涌出变化率等指标作为突出危险关键前兆信息的特征指标,形成了预警准则统一、预警指标统一、预警临界值统一的综合集成高可靠性预警技术与方法,实现了对突出灾害的局部预警。

3)形成了逐级聚焦的区域和局部突出危险性动态实时监测预警方法技术:在早期突出危险性评估的基础上,通过微震动态监测并结合震动波CT探测技术,初步划定突出危险区域;之后,集成电磁辐射、声发射、瓦斯等多参量综合监测实现突出危险的局部即时预警。

4)开发了突出危险性多参量集成预警远程系统平台,形成了“矿井-矿业集团-远程监测预警中心”三级监测预警网络,实现了突出危险性区域-局部动态实时监测预警和对突出危险的远程诊断。

参考文献(References):

[1] 袁 亮,姜耀东,何学秋,等.煤矿典型动力灾害风险精准判识及监控预警关键技术研究进展[J].煤炭学报,2018,43(2):306-318.

YUAN Liang,JIANG Yaodong,HE Xueqiu,et al.Research progress of precise risk accurate identification and monitoring early warning on typical dynamic disasters in coal mine[J].Journal of China Coal Society,2018,43(2):306-318.

[2] 何学秋,王安虎,窦林名,等.突出危险煤层微震区域动态监测技术[J].煤炭学报,2018,43(11):3122-3129.

HE Xueqiu,WANG Anhu,DOU Linming,et al.Technology of microseismic dynamic monitoring on coal and gas outburst-prone zone[J].Journal of China Coal Society,2018,43(11):3122-3129.

[3] 国家安全生产监督管理总局.防治煤与瓦斯突出细则[M].北京:煤炭工业出版社,2019.

[4] 韩建设,刘 军,黄元乐,等.单项指标法鉴定煤与瓦斯突出性的成功应用[J].煤炭科技,2017(1):64-67.

HAN Jianshe,LIU Jun,HUANG Yuanle,et al.Successful application of single index method in identification of coal and gas outburst[J].Coal Science & Technology Magazine,2017(1):64-67.

[5] 郭德勇,韩德馨,王新义.煤与瓦斯突出的构造物理环境及其应用[J].北京科技大学学报,2002(6):581-584,592.

GUO Deyong,HAN Dexin,WANG Xinyi.Outburst-prone tectonophisical environment and its applications[J].Journal of University of Science and Technology Beijing,2002(6):581-584,592.

[6] 袁崇孚.我国瓦斯地质的发展及应用[J].煤炭学报,1997,22(6):566-570.

YUAN Chongfu.Development and application of gas-geology in China[J].Journal of China Coal Society,1997,22(6):566-570.

[7] 杨陆武,彭立世,曹运兴.应用瓦斯地质单元法预测煤与瓦斯突出[J].中国地质灾害与防治学报,1997(3):22-27.

YANG Luwu,PENG Lishi,CAO Yunxing.Application of gas geological division in controlling coal and gas outburst[J].The Chinese Journal of Geological Hazard and Control,1997(3):22-27.

[8] 崔鸿伟.煤巷掘进工作面突出预测指标及其临界值研究[J].煤炭学报,2011,36(5):808-811.

CUI Hongwei.Research on the prediction indexes of coal roadway heading face outburst and its critical value[J].Journal of China Coal Society,2011,36(5):808-811.

[9] 桂祥友,徐佑林,孟絮屹,等.钻屑量与钻屑瓦斯解吸指标在防突预测的应用[J].北京科技大学学报,2009(3):285-289.

GUI Xiangyou,XU Youlin,MENG Xuyi,et al.Application of the value of drilling cuttings weight and desorption index for drill cuttings to preventing coal and gas outburst[J].Journal of University of Science and Technology Beijing,2009(3):285-289.

[10] 邱 微.基于KPCA与改进极限学习机的煤与瓦斯突出预测研究[D].阜新:辽宁工程技术大学,2019.

[11] 郝光生,袁德权,陈 宾,等.东大煤矿投产初期瓦斯涌出来源及防治技术研究[J].煤炭科学技术,2016,44(S1):75-77.

HAO Guangsheng,YUAN Dequan,CEHN Bin,et al.Study on source of gas emission and control technology for initial stage of production in Dongda Coal Mine[J].Coal Science and Technology,2016,44(S1):75-77.

[12] 邱黎明,李忠辉,王恩元,等.煤与瓦斯突出远程智能监测预警系统研究[J].工矿自动化,2018,44(1):17-21.

QIU Liming,LI Zhonghui,WANG Enyuan,et al.Research on remote intelligent monitoring and early warning system for coal and gas outburst[J].Industry and Mine Automation,2018,44(1): 17-21.

[13] LU Caiping,LIU Guangjian,LIU Yang,et al.Microseismic multi-parameter characteristics of rockburst hazard induced by hard roof fall and high stress concentration[J].International Journal of Rock Mechanics and Mining Sciences,2015,76:18-32.

[14] 吕进国,潘 立.微震预警冲击地压的时间序列方法[J].煤炭学报,2010,35(12):2002-2005.

LYU Jinguo,PAN Li.Microseismic predicting coal bump by time series method[J].Journal of China Coal Society,2010,35(12):2002-2005.

[15] 夏永学,康立军,齐庆新,等.基于微震监测的5个指标及其在冲击地压预测中的应用[J].煤炭学报,2010,35(12):2011-2016.

XIA Yongxue,KANG Lijun,QI Qingxin,et al.Five indexes of microseismic and their application in rock burst forecastion[J].Journal of China Coal Society,2010,35(12):2011-2016.

[16] 巩思园.矿震震动波波速层析成像原理及其预测煤矿冲击危险应用实践[D].徐州:中国矿业大学,2010.

[17] LI Zhenglei,HE Xueqiu,DOU Linming,et al.Rockburst occurrences and microseismicity in a longwall panel experiencing[J].Geosciences Journal,2018,110:1-17.

[18] 欧阳振华,孔令海,齐庆新,等.自震式微震监测技术及其在浅埋煤层动载矿压预测中的应用[J].煤炭学报,2018,43(S1):44-51.

OUYANG Zhenhua,KONG Linghai,QI Qingxin,et al.Self-shocking microseismic monitoring technology and its application in prediction of dynamic pressure in shallow coal seam[J].Journal of China Coal Society,2018,43(S1):44-51.

[19] 宋大钊,何学秋,窦林名,等.煤层突出危险微震区域探测技术研究[J].中国安全科学学报,2021,31(1):89-94.

SONG Dazhao,HE Xueqiu,DOU Linming,et al.Research on MS regional detection technology for coal and gas outburst hazard[J].China Safety Science Journal,2021,31(1):89-94.

[20] 王安虎.突出危险煤层区域应力场CT探测及多参量集成预警技术研究[D].北京:北京科技大学,2020.

[21] FRID V.Electromagnetic radiation method water-infusion control in rockburst-prone strata[J].Journal of Applied Geophysics,2000,43(1):5-13.

[22] FRID V.Calculation of electromagnetic radiation criterion for rockburst hazard forecast in coal mines[J].Pure & Applied Geophysics,2001,158(5/6):931.

[23] 曹树刚,刘延保,张立强.突出煤体变形破坏声发射特征的综合分析[J].岩石力学与工程学报,2007(S1):2794-2799.

CAO Shugang,LIU Yanbao,ZHANG Liqiang.Study on characteristics of acoustic emission in outburst coal[J].Chinese Journal of Rock Mechanics and Engineering,2007(S1):2794-2799.

[24] 高保彬,李回贵,李化敏,等.声发射/微震监测煤岩瓦斯复合动力灾害的研究现状[J].地球物理学进展,2014,29(2):689-697.

GAO Baobin,LI Huigui,LI Huamin,et al.Current situation of the study on acoustic emission and microseismic monitoring of coupling dynamic catastrophe for gas-filled coal-roce[J].Progress in Geophysics,2014,29(2):689-697.

Study on real time dynamic monitoring and early warning technology of regional and local outburst danger

SONG Dazhao,HE Xueqiu,QIU Liming,ZHAO Yingjie,CHENG Xiaohe,WANG Anhu

(School of Civil and Resource Engineering,University of Science and Technology Beijing,Beijing 100083,China)

Abstract:In order to realize the accurate monitoring and early warning of coal and gas outburst disaster,the microseismic monitoring technology,seismic wave CT technology and acoustic electric gas monitoring technology are applied to coal and gas outburst mine.This paper analyzes the space-time evolution characteristics of microseismic signals,studied the vibration wave CT and abnormal stress,highlight the omen,mining engineering,the relationship between dig deep during the excavation of electromagnetic radiation,such as acoustic emission,gas monitoring data of space and time evolution rule,set up warning principles unified,early warning indicators,early warning threshold unified integrated high reliability method,finally formed step by step the focus highlight the danger zone-local dynamic real-time monitoring and early warning method,and carried out the application of coal and rock dynamic disasters monitoring and early warning cloud platform.The comprehensive integrated early warning method of microseismic,seismic wave CT,electromagnetic radiation,acoustic emission,gas and other monitoring data is established,and finally the outburst risk area local dynamic real-time monitoring and early warning method technology is formed,and the coal and rock dynamic disaster monitoring is carried out The application of early warning cloud platform.The results show that: based on the regional stress field results obtained by microseismic monitoring and seismic wave velocity inversion,the coal and gas outburst risk area composed of mining strong disturbance area,stress concentration area and geological anomaly area can be predicted,and the outburst risk area prediction can be realized; acoustic emission 12 h deviation DA,acoustic emission deviation anomaly frequency N,electromagnetic radiation 24 h deviation value DE,electromagnetic radiation deviation abnormal duration h,gas emission Q,gas emission change rate I and other indicators have good response to the outburst risk,which can be used for local outburst risk early warning.Highlight the danger zone - local dynamic real-time monitoring and early warning method,first of all,through seismic dynamic load disturbance information dynamic monitoring area,combining with the vibration wave CT detecting the distribution features of the regional stress field,preliminary defined highlight the danger of coal seam area and then integrated electromagnetic radiation,acoustic emission,gas parameters comprehensive monitoring to achieve outstanding local real-time warning of danger.

Key words:coal and gas outburst; multi index fusion;regional forecast; local early warning

中图分类号:TD76

文献标志码:A

文章编号:0253-2336(2021)05-0110-09

移动扫码阅读

宋大钊,何学秋,邱黎明,等.区域和局部突出危险性动态实时监测预警技术研究[J].煤炭科学技术,2021,49(5):110-119.doi:10.13199/j.cnki.cst.2021.05.014

SONG Dazhao,HE Xueqiu,QIU Liming,et al.Study on real time dynamic monitoring and early warning technology of regional and local outburst danger[J].Coal Science and Technology,2021,49(5):110-119.doi:10.13199/j.cnki.cst.2021.05.014

收稿日期:2021-01-03责任编辑:赵 瑞

基金项目:国家自然科学基金资助项目(51774023,52004016)

作者简介:宋大钊(1985—),男,山东邹平人,教授,博士生导师。E-mail: song.dz@163.com