深部动力灾害诱发机理及影响因素研究

郭怀广1,2,朱立凯3

(1.河南省瓦斯地质与瓦斯治理重点实验室——省部共建国家重点实验室培育基地,河南 焦作 454003;2.中煤科工集团沈阳研究院有限公司,辽宁 沈阳 110016;3.贵州理工学院 矿业工程学院,贵州 贵阳 550003)

摘 要:针对深部动力灾害诱发机理及影响因素复杂的问题,以红阳二矿动力灾害为背景,宏观统计了灾害空间分布规律,开展了不同参数条件下的动力灾害相似模拟试验,进而研究灾害诱发机理及影响因素。结果表明:红阳二矿煤与瓦斯突出分布存在着明显的区域性,突出发生主要集中在地应力较高区域或地应力急剧变化区域,突出次数和突出能力均随埋深的增加而增加,相对于倾出和压出,典型突出的变化规律更加明显;获得了红阳二矿突出强度、突出距离及相对突出强度与瓦斯压力、放散初速度指标之间的拟合经验关系;灾害性质随瓦斯压力增加发生转变(倾出-压出-典型突出),瓦斯压力是红阳二矿动力灾害诱发的主导因素;动力灾害诱发的关键在于煤体具有足够的瓦斯梯度,地应力对突出的1个重要作用在于地应力的快速释放能够使突出发生所需的瓦斯压力临界值降低;瓦斯放散初速度Δp对于突出强度有着明显正向影响作用;倾出和压出可视为煤体经过一定的破坏累积准备阶段后,发生的一次性破坏失稳,典型突出发动的关键在于具有高突出潜能的煤体和具有充分的瞬间释放条件,典型突出的全过程可视为煤体的力学失稳和高潜能突出煤体持续发展;动力判定指标Cm满足时,发生典型煤与瓦斯突出;若Cm不满足条件,则意味着突出潜能不足,对于局部发育或应力集中的软弱煤体,将发生倾出或压出灾害。

关键词:动力灾害;煤与瓦斯突出;煤体失稳

0 引 言

煤炭开采进入深部后,煤岩结构变化,以及层状介质变形破坏的时效性特点,使得动力灾害的诱发机理更加复杂。学者进行了相关研究:程远平等[1]认为地应力是煤与瓦斯突出的主要动力;文献[2-3]提出了煤与瓦斯突出是地应力、瓦斯、煤的力学性质和卸压区宽度4部分作用的结果;丁晓良等[4]试验研究表明煤在瓦斯渗流作用下的破坏属拉伸破坏,初次破坏煤体呈球冠状;文献[5-6]指出煤的破碎起动与瓦斯渗流的耦合是突出内在因素,大型煤与瓦斯突出对应恒稳推进,并给出了突出发生的判据;姜福兴等[7]提出了实时危险性的多参数监测和预警方法,并建设了多参数联合预警平台;文献[8-9]认为火成岩侵入带来的挤压作用使煤体强度降低,更易发生突出、冲击地压、水害等复合型动力灾害;刘喜军[10]认为煤岩瓦斯动力灾害诱发因素主要有煤岩固有的突出和冲击属性、地应力、开采深度、活动地质构造、外界动力、开采技术条件以及这些因素的叠加;张建国[11]研究认为平禹矿区瓦斯突出主要受地质构造、开采深度等因素的影响,在深部高应力和高压瓦斯气体的共同作用下,受工程扰动的影响,容易产生煤与瓦斯突出;袁瑞甫[12]通过平煤十矿典型冲击地压诱导煤与瓦斯突出动力灾害案例,分析了复合动力灾害发生的特点和条件,认为煤岩体性质及瓦斯条件、应力条件、开采扰动条件等是发生复合动力灾害的必备要素;庞军林[13]认为吕梁矿区地应力场以水平构造应力为主,并且水平应力的影响具有明显的方向性,是引起动力灾害频发的原因。

目前灾害诱发机理研究仍然在假说阶段,需要进一步研究各因素在灾害发展过程中的作用机制。笔者针对红阳二矿动力灾害特点,根据相似理论研发模拟试验系统,获得不同瓦斯压力、不同应力及放散初速度指标与灾害强度的经验关系,实验室条件下再现了红阳二矿动力灾害宏观特征变化规律,揭示红阳二矿动力灾害中影响因素的作用及诱发机理。

1 工程概况

1.1 动力灾害发生概况

对红阳二矿136次动力灾害实例进行了归类,获得了更加具体的倾出、压出和典型的突出形式及动力灾害分布规律如图1(强度为发瓦斯动力灾害突出煤量, t)及表1所示。研究表明,灾害的宏观特征随埋深的增加由压出类型向典型突出类型转变,突出发生的主导因素是瓦斯,但突出的区域性分布规律由地应力控制。

表1 动力现象分类汇总

Table 1 Classifications list of coal and gas outburst

项目井田区域南翼北翼类型突出压出倾出突出强度<50 t50~99 t99~499 t≥499 t次数76514958296836257占比/%56383643215027185

由图1a可得,随着埋深的增加,整体上突出强度和突出的瓦斯涌出量有相应的增加趋势,但存在随机性(一些区域发生较大强度的突出后,涌出的瓦斯量反而低于较小强度的突出),整体上离散性较少,表明虽然单次突出具有随机性,但总体具有随埋深增加而增加的趋势。由图1b—图1d可知,随着埋深的增加,典型突出和压出的突出强度有明显的随埋深增加而增加趋势,典型突出更加明显;倾出类型的突出强度和瓦斯涌出量并不具有明显随埋深增加而增加的规律;这表明不同突出类型的发生机制或主导因素并不相同。

图1 突出强度和瓦斯涌出量随煤层埋深变化规律

Fig.1 Variation of outburst intensity and gas emission quantity with buried depth of coal seam

1.2 动力灾害空间分布规律

对灾害地点煤埋深进行统计,获得动力灾害埋深和地应力空间分布规律(图2)。由图2知突出分布具有明显的区域性,灾害地点集中分布在地应力高峰处或者地应力变化剧烈的区域,这表明动力灾害的区域性分布规律在很大程度上是由地应力控制的。

图2 动力灾害空间分布与埋深、地应力场关系

Fig.2 Spatial distribution of dynamic disasters corresponds to distribution of buried depth and geo stress field

2 相似模拟试验

结合红阳二矿地应力、瓦斯等条件,以相似理论为指导,研制三维突出模拟试验装置,对瓦斯压力、地应力、瓦斯放散初速度与突出强度的关系进行相似试验模拟研究,获得红阳二矿突出规律形成的主导因素,进而获得各主要因素在煤与瓦斯突出中的作用机理及动力灾害的演变机理。

2.1 试验系统

试验采用型煤煤样进行,并作如下假设:各向同性,应力与应变成阶段线弹性,巷道形状简化为矩形,符合均布面力边界条件。力学模型如图3所示,其中x方向(水平方向)为突出口方向,即突出孔洞主轴方向,位移为0;y仍为水平方向,但与突出孔洞主轴方向垂直(以下称侧向),面力边界条件,施加约束力qxqy;顶部为伺服试验机承压板,位移为0;底部为试验机油缸,面力边界条件,施加约束力qz

图3 三维突出模拟试验力学模型

Fig.3 Mechanical model for 3D simulation tests

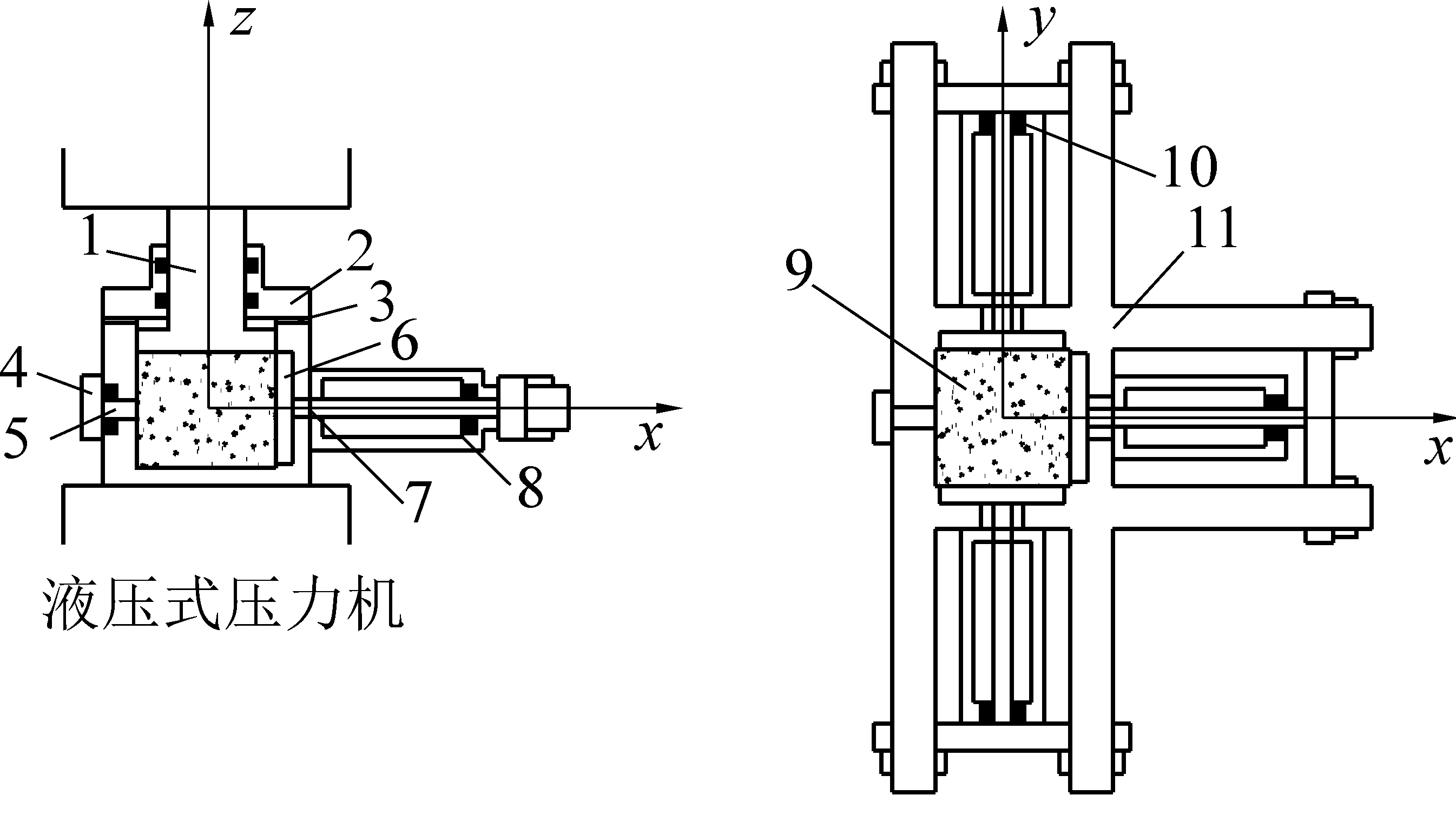
试验装置如图4所示:设计为矩形,容积为220 mm×220 mm×245 mm,壁厚40 mm,装置外形尺寸780 mm×540 mm×270 mm。根据实际需要加载不同应力和瓦斯压力。

1—活塞;2—顶盖;3——密封垫;4—突出口顶板;5—突出口;6—侧向承压板;7—油缸活塞;8—侧向专用油缸;9—煤样;10—O形圈;11—装置底座
图4 三维突出模拟试验装置结构

Fig.4 Tridimensional simulation and experiment system for coal and gas outburst

2.2 试验方法

试验煤样取自红阳二矿12号煤层(粒径为0.1 mm),按照煤层底板、煤层和煤层顶板空间顺序对应分层将煤样压制成型,每次加载时间为30 min。试验流程如图5所示。

图5 相似模拟试验流程

Fig.5 Flow chart of coal and physical similar simulation experiment

3 动力现象试验结果

3.1 瓦斯对动力现象的作用

为考察瓦斯对强度的影响,分别在不同瓦斯压力条件下进行研究。瓦斯压力为0~0.25 MPa时,无动力现象发生;压力0.35、0.42、0.55、0.65、0.80、0.95 MPa时,得到不同孔洞形状的动力现象效果和突出强度与瓦斯压力对应规律如图6、图7所示。

图7 瓦斯压力与突出强度关系

Fig.7 Relationship between gas pressure and outburst intensity

图6 不同瓦斯压力条件下动力孔洞形成形状

Fig.6 Shape of dynamic hole formed under different gas pressure

试验表明,瓦斯压力为0、0.15、0.25 MPa时,施加不同应力均不发生动力现象;当瓦斯压力达到0.35 MPa时发生动力现象,说明瓦斯压力是突出的必要条件。采用最小二乘法对数据拟合,可得到瓦斯压力与突出强度的经验公式:

Q=0.059+3.005/[1+exp(-11.63p+7.922)]
R2=0.988

(1)

式中:Q为突出强度(突出煤量),kg;p为瓦斯压力,MPa。

3.2 应力对动力现象的作用

在瓦斯压力0.35、0.42 MPa时进行地应力对突出强度作用的试验研究,结果详见表2。可以看出:瓦斯压力0.35 MPa时,低应力不发生动力现象,高地应力发生压出现象,强度为95 g;瓦斯压力0.42 MPa时,在垂直应力不大于23.47 MPa未发生突出,垂直应力28.61 MPa时,发生压出,强度为205 g,垂直应力32.27 MPa时,发生典型的突出,强度983 g。

表2 不同应力条件下动力灾害情况

Table 2 Results of outburst under different ground stress condition

瓦斯压力/MPa垂向压力/MPa水平压力/MPa侧向压力/MPa突出煤量/g突出情况0.3522.3618.3714.710无突出0.3528.6423.0419.760无突出0.3535.8028.8024.7095压出0.4220.5417.1513.700无突出0.4223.4719.6015.650无突出0.4228.6123.8919.07205压出0.4232.2726.9521.52983突出

突出瞬间地应力的快速释放对煤体的破坏产生明显影响,而煤体的破坏无疑增加了暴露面积,同时降低突出所需要的瓦斯压力梯度,这是红阳二矿动力灾害地点集中分布在地应力高峰值区域和地应力变化剧烈区域的原因。

3.3 煤体物性对动力现象作用

图8为突出强度Q与瓦斯放散初速度Δp的关系,对突出强度和瓦斯放散初速度指标数据进行拟合,可以得到关系式:

图8 煤的瓦斯放散初速度与突出强度关系

Fig.8 Relationship between index(Δp) and outburst intensity

Q=4.143×10-4Δp3.007-0.264
R2=0.907

(2)

总体上,随着瓦斯放散初速度指标的增大,突出强度正向增大,即表明煤的放散能力增强对于突出强度有着明显正向影响作用。

4 灾害诱发机理分析

4.1 动力灾害诱发模型

通过对国内外相关物理简化模型进行统计可知,其通常可分为4种模型即硬煤-软煤变化型、超前应力形成阻挡区型、石门揭煤突出型及关键结构模型(图9)。

图9 煤与瓦斯突出的物理模型[14-15]

Fig.9 Physical models for coal and gas outburst[14-15]

4.2 灾害诱发力学条件

动力灾害的发生有2个关键条件:①具有含高瓦斯压力的突出煤体,即煤体具有足够的突出潜能;②高瓦斯压力煤体的突然暴露,即瓦斯内能满足瞬间释放条件,从不同能量角度分析,倾出、压出与典型的突出主要区别在于瓦斯内能作用程度。突出能量的动力源有:煤体骨架受地应力的作用而产生的弹性潜能,贮存在煤体及孔隙内的瓦斯内能及周围煤岩体对突出煤体做的功,其中主要来源为前面2种,突出的能量与耗散的关系为

E1+E2+E3=w1+w2+w3

(3)

式中:E1为煤体骨架中的弹性潜能,J;E2为周围煤岩体如顶底板对突出煤体做的功,J;E3为煤体的突出潜能,J;w1为煤体的破碎功,J;w2为碎煤的移动功,J;w3为煤体发声发热等其他能形式的能量耗散,J。

对于处于三向应力状态煤体来说,E1按下式计算[16]

(4)

基于静水压力条件,可以估算煤体的弹性潜能

(5)

式中:E为煤体的弹性模量,MPa;μ为煤体的泊松比;σ1σ2σ3为煤体承受的三向应力,MPa;σ0为煤体的原始应力,MPa;ρ为煤体的密度,t/m3

对于周围煤岩体对突出煤体做的功E2,由于顶底板岩石的弹性模量远大于煤体的弹性模量,顶底板弹性潜能对突出煤体做功远小于煤体的弹性潜能,突出过程中能量计算表明弹性能只占到突出总能量的千分之几,因此完全可以忽略。煤体内的突出潜能E3,根据热力学公式,参与突出启动的瓦斯内能为

(6)

式中:V1为参与煤与瓦斯突出的瓦斯体积,m3V1由2部分组成:①煤体瓦斯解吸的瓦斯含量Vf,其数值与煤的放散初速度有关,②突出煤体中的游离瓦斯含量VgP0为标准状态下的大气压力,MPa;n为过程指数,等温过程n=1,对于甲烷气体的绝热过程n=1.31,多变过程n=1.00~1.31。多数突出的实例表明[17],突出过程接近绝热过程,即n=1.25,则突出潜能为

E3=0.4V1(1.585p0.2-1)

(7)

煤体的破碎功w1主要为煤体被破碎成一定块粒度后新增加的表面积所需要的表面能,可表示为

w1=Sw

(8)

式中:w为突出形成单位新表面积耗费的能量,J/cm2S为煤破碎后新增比表面积,cm2/g。

对于煤体的破碎功也可将破碎后的煤体颗粒视为球形,则可以用煤体粒度大小来表示煤体的破碎功大小,并可通过实验室测定获得[18-19]

(9)

式中:γi为直径为di的颗粒在整体分布中所占的比例;V0为煤岩体抛出前的体积,m3i为粒径区间。

煤的移动功,即煤从煤壁抛向巷道所做的功[20],吨煤抛出功按下式进行计算:

(10)

式中:L为煤体的移动距离,m;g为重力加速度,m/s2f为摩擦因数;α为巷道的倾角,(°)。

根据突出能量的耗散关系,忽略煤体发声发热等形式的能量耗散w3和周围岩体做功E2影响,引入Cm参数指标来表示突出发动条件:

(11)

当突出诱发动力学判定指标Cm满足时,发生典型煤与瓦斯突出;若Cm不满足条件,但其数值较大时(或接近1时),则意味着突出潜能不足以主导全部煤体突出,但对于局部发育的软弱煤体或应力破坏的软弱煤体,则能形成较强的破坏作用,因而将发生具有一定突出特征(如煤的抛出距离较短、具有较弱的分选现象等)的突然倾出或突然压出;若Cm不满足条件,且数值较小时,则表示主要在地应力作用下的发生煤体倾出或压出,该破坏失稳不具有明显的突出特征。

5 结 论

1)红阳二矿动力灾害次数和强度均随埋深的增加而增加,压出和突出更加明显,动力灾害主要集中在地应力较高或煤层赋存条件急剧变化区域;突出强度、突出距离及相对突出强度与瓦斯压力、放散初速度指标之间存在正相关关系,指标的增大对于突出强度有着明显正向影响作用。

2)随着瓦斯压力增大动力灾害宏观特征由倾出逐渐向突出转变(倾出-压出-典型突出),瓦斯压力是红阳二矿动力灾害诱发的主导因素,地应力对突出的一个重要作用在于地应力的快速释放能够使突出发生所需的瓦斯压力临界值降低。

3)结合红阳二矿的动力灾害特点及形式获得了灾害类型划分的能量判定条件:动力判定指标Cm满足时,发生典型煤与瓦斯突出;若Cm不满足条件,则意味着突出潜能不足,对于局部发育或应力集中的软弱煤体,将发生倾出或压出灾害。

参考文献(References):

[1] 程远平,张晓磊,王 亮. 地应力对瓦斯及突出灾害作用研究[J]. 采矿与安全工程学报,2013,30(3):408-415.

CHENG Yuanping,ZHANG Xiaolei,WANG Liang.Controlling effect of ground stress on gas pressure and outburst disaster [J].Journal of Mining & Safety Engineering,2013,30(3):408-415.

[2] 周世宁,林伯泉. 煤矿瓦斯动力灾害防治理论与及控制技术[M]. 北京:科学出版社,2007,126-215.

[3] 胡殿明,林柏泉. 煤层瓦斯赋存规律及防治技术[M]. 徐州:中国矿业大学出版社,2006,115-127.

[4] 丁晓良,丁雁生,俞善炳,等. 一维含气多孔介质突然卸载破坏引起渗流变化的实验研究[J]. 爆炸与冲击,1997,17(1):15-21.

DING Xiaoliang,DING Yansheng,YU Shanbing, et al.Experimental study on seepage changes caused by sudden unloading failure of one-dimensional porous media containing gas [J].Explosion and Shock Waves,1997,17(1):15-21.

[5] 俞善炳,郑哲敏,谈庆明,等. 含气多孔介质的卸压破坏及突出的极强破坏准则[J]. 力学学报,1997,29(6):641-646.

YU Shanbing,ZHENG Zhemin,TAN Qingming,et al.Pressure relief failure and outstanding strong failure criteria of porous media containing gas [J].Acta mechanica sinica,1997,29(6):641-646.

[6] 陈 力,乔继延,丁雁生. 一维煤与瓦斯突出波模型[J]. 中国科学:物理学力学天文学,2014,44(1):68-78.

CHEN Li,QIAO Jiyan,DING Yansheng.A model of one-dimensional coal gas outburst wave [J].Scientia Sinica:Physica,Mechanica & Astronomica,2014,44(1):68-78.

[7] 姜福兴,杨光宇,魏全德,等. 煤矿复合动力灾害危险性实时预警平台研究与展望[J]. 煤炭学报,2018,42(2):333-339.

JIANG Fuxing,YANG Guangyu,WEI Quande, et al.Study and prospect on coal mine composite dynamic disaster real-time prewarning platform [J].Journal of China Coal Society,2018,42(2):333-339.

[8] 王 亮,程远平,聂 政,等. 巨厚火成岩对煤层瓦斯赋存及突出灾害的影响[J]. 中国矿业大学学报,2011,40(1):29-34.

WANG Liang,CHENG Yuanping,NIE Zheng,et al.Effects of an extremely thick igneous rock on gas occurrence and outburst disasters in a coal seam [J].Journal of China University of Mining & Technology,2011,40(1):29-34.

[9] 王 伟,程远平,王 亮,等. 巨厚火成岩对下伏煤层瓦斯赋存的控制作用[J]. 采矿与安全工程学报,2014,31(1):154-160.

WANG Wei,CHENG Yuanping,WANG Liang, et al.Controlling effect of extremely thick igneous rock on gas occurrence of underlying coal seam [J].Journal of Mining & Safety Engineering,2014,31(1):154-160.

[10] 曹 康,李忠辉,余得胜,等. 掘进工作面煤与瓦斯突出前兆特征及综合预警研究[J]. 煤炭科学技术, 2020, 48(11): 147-152.

CAO Kang, LI Zhonghui, YU Desheng,et al. Study on precursor characteristics and comprehensive early warning of coal and gas outburst risk in driving face[J]. Coal Science and Technology, 2020, 48(11):147-152.

[11] 张建国. 平禹矿区煤与瓦斯突出事故分析及防治技术[J]. 煤炭科学技术,2018, 46(10):9-15.

ZHANG Jianguo.Analysis and prevention technical of coal and outburst accidents in pingdingshan mining area[J].Coal Science and Technology,2018, 46(10):9-15.

[12] 袁瑞甫. 深部矿井冲击-突出复合动力灾害的特点及防治技术[J]. 煤炭科学技术,2013,41(8):6-10.

YUAN Ruifu.Features of dynamic disasters combined rockburst and gas outburst in deep coal mine and its preventive measures [J].Coal Science and Technology,2013,41(8):6-10.

[13] 庞军林. 动力现象频发矿区地应力测量及分布规律研究[J].煤炭科学技术,2012, 40(12):1-3,7.

PANG Junlin.Study on Geostress Measurement and Distribution Law of Dynamic Phenomenon Frequently Occurred in Mining Area [J].Coal science and Technology,2012, 40(12):1-3,7.

[14] 蒋承林,俞启香. 煤与瓦斯突出的球壳失稳机理及防治技术[M]. 徐州:中国矿业大学出版社,1998,44-47.

[15] 舒龙勇,王 凯,齐庆新,等.煤与瓦斯突出关键结构体致灾机制[J].岩石力学与工程学报,2017,2(36):347-356.

SHULongyong,WANG kai,QI Qingxin,et al.Key structural body theory of coal and gas outburst [J].Journal of Mining & Safety Engineering,2013,30(3):408-415.

[16] 吴财芳,秦 勇,傅雪海,等. 煤基块弹性能及其与地质控制因素之间的关系[J]. 中国矿业大学学报,2005,34(5):636-639.

WU Caifang,QIN Yong,FU Xuehai, et al.Coal mat rix flexibility energy and the relation with geological controlling factors [J].Journal of China University of Mining & Technology,2011,40(1):29-34.

[17] 谭学术,Syd S Peng,鲜学福.矿井复杂动力现象研究[M]. 重庆:重庆大学出版社,1992,102-107.

[18] 李启月. 深孔爆破破岩能量分析及其应用[D]. 长沙:中南大学,2008.

[19] 柳 铮. 煤岩动力灾害破坏规律及现场监测[D]. 北京:中国矿业大学(北京),2011.

[20] 魏风清,史广山,张铁岗,等. 基于瓦斯膨胀能的煤与瓦斯突出预测指标研究[J]. 煤炭学报,2010,35(S1):95-99.

WEI Fengqing,SHI Guangshan,ZHANG Tiegang, et al.Study on coal and gas outburst prediction indexes base on gas expansion energy [J].Journal of China Coal Society,2010,35(S1):95-99.

Discussion on mechanism and influencing factors of deep dynamic disaster

GUO Huaiguang1,2,ZHU Likai3

(1.State Key Laboratory Cultivation Base for Gas Geology and Gas Control, Jiaozuo 454003,China; 2.CCTEG Shenyang Research Institute,Shenyang 110016,China; 3 College of Mining Engineering, Guizhou Institute of Technology, Guiyang 550003, China)

Abstract:Aiming at the complex problems of the inducing mechanism and influencing factors of deep dynamic disasters, based on the dynamic disaster of Hongyang No. 2 Coal Mine, the spatial distribution of disasters was calculated, and similar simulation experiments of dynamic disasters under different parameter conditions were carried out to study the mechanism and influence of disaster inducing factor.The results show that: the dynamic disaster of Hongyang Coal Mine is mainly concentrated in the high stress and stress concentration area with obvious regional features. Compared with pour out and press out, the change rule of typical prominence is more obvious. The fitting empirical relations between outburst intensity, distance and relative outburst intensity, gas pressure and initial velocity of emission in Hongyang Coal Mine are obtained.With the increase of gas pressure dynamic disasters changed(pour out-delivery-typical outburst), the critical value of gas pressure needed for outburst can be reduced by the quick release of in-situ stress, the index(Δp) has a significant positive effect on the outburst intensity.Pour out and delivery can be treated as coal after certain damage accumulation stage, the one-time failure instability, the key to highlight the launch is typical has high potential of coal and has good moment release conditions, outstanding process can be regarded as typical coal mechanical instability and high potential to highlight sustainable development of coal.When the dynamic determination index Cm meet simultaneously, typical coal and gas outburst occurs. If Cm is not satisfied soft coal bodies with local development or stress concentration will suffer from dumping or compression disasters.

Key words:dynamic disasters; coal and gas outburst; coal instability

中图分类号:TD713

文献标志码:A

文章编号:0253-2336(2021)05-0175-07

移动扫码阅读

郭怀广,朱立凯.深部动力灾害诱发机理及影响因素研究[J].煤炭科学技术,2021,49(5):175-181.doi:10.13199/j.cnki.cst.2021.05.022

GUO Huaiguang,ZHU Likai.Discussion on mechanism and influencing factors of deep dynamic disaster[J].Coal Science and Technology,2021,49(5):175-181.doi:10.13199/j.cnki.cst.2021.05.022

收稿日期:2020-10-12责任编辑:朱恩光

基金项目:国家重点研发计划资助项目(2017YFC0804207);辽宁省自然科学基金资助项目(2019-ZD-0906);河南省瓦斯地质与瓦斯治理重点实验室开放基金资助项目(WS2020B08)

作者简介:郭怀广(1985—) ,男,河南焦作人,博士研究生,助理研究员。E-mail:guohuaiguang@yeah.net