中国煤科首席科学家成果专题

煤矿巷道支护与加固材料的发展及展望

康 红 普1,2,3

(1.中煤科工开采研究院有限公司,北京 100013;2.煤炭科学研究总院 开采研究分院,北京 100013;3.煤炭资源高效开采与洁净利用国家重点实验室,北京 100013)

要:我国煤矿巷道支护与加固方法主要有4种形式,包括棚式支架、支柱、砌碹支护、喷射混凝土及巷道用液压支架等围岩表面支护型;锚杆与锚索围岩锚固型;注浆加固围岩改性型及联合控制型。系统介绍各种支护材料与构件的力学特性,注浆加固及充填材料的物理力学性能,分析其支护加固效果及适用条件。指出我国煤矿已形成了包括金属材料、非金属材料及复合材料的煤矿巷道支护加固材料体系,实现了从木材到金属的支护材料革命,被动支护到主动支护的技术革命。不仅显著提高了巷道围岩控制效果,而且降低了巷道维护成本,为煤矿实现安全、高效建设与生产提供了可靠的保障。最后,分析了支护加固材料与构件存在的问题,对其未来的发展进行了展望。

关键词:煤矿巷道;巷道支护;加固材料;支护构件

0 引 言

井工开采是我国煤矿的主要开采方式,开采前需要掘进各种类型的井筒、巷道与硐室,井巷工程的畅通与稳定是保证煤矿正常生产的基本前提。同时,井巷工程的施工速度、维护成本都显著影响煤矿的经济效益。

煤系沉积岩地层特点决定了煤矿巷道与其他行业相比具有显著的特征,主要表现为软岩、强采动、大变形[1]。煤岩体强度普遍比较低;煤岩体中各种尺度的结构面发育,围岩破碎;中东部地区开采深度大,地应力高;80%以上的巷道受工作面采动影响,采动应力数倍于原岩应力;无煤柱开采技术得到广泛应用,采动影响更加强烈;随着煤炭产量的不断增加及大型采掘装备的广泛采用,要求的巷道断面越来越大;对于回采巷道,还要求采前必须稳定,采后又能及时垮落。

针对上述煤矿巷道地质与生产条件及围岩变形、破坏特点,我国开发了多种形式的巷道支护加固技术[2-3]。按支护加固原理可分为4 种形式[4]:①棚式支架、支柱、砌碹支护等巷道围岩表面支护型;②锚杆与锚索巷道围岩锚固型;③注浆加固巷道围岩改性型;④上述2种及以上方法联合控制型。

煤矿巷道支护与加固技术包括理论、设计、材料、施工工艺、装备及矿压监测等诸多内容,其中支护、加固材料是核心内容。总结我国煤矿巷道支护、加固材料及构件的发展状况,取得的主要研究成果,并对今后的发展提出建议。

1 煤矿巷道支护加固材料类型

我国煤矿巷道支护经历了从木支护、砌碹支护、型钢支护到锚杆、锚索支护的发展过程。巷道支护与加固涉及的材料类型很多[5],可分为金属材料、非金属材料及复合材料,见表1。在金属材料中,型钢是制作各种金属支架的主要材料,钢筋、钢绞线用于制作锚杆与锚索。非金属材料类型很多,包括木材、砖、岩石、砂、水泥、混凝土,高分子材料等,用于制作非金属支架,及喷浆、充填、锚固、注浆等。复合材料包括金属与非金属复合材料,无机有机复合材料等,用于制作支架、支护构件及喷层、注浆等,以进一步提高支护与加固效果。

表1 煤矿巷道支护加固材料类型

Table 1 Types of support and reinforcement materials for coal mine roadway

材料类型主要材料支护形式金属材料钢筋,钢管,钢绞线,钢板,型钢等金属支架、支柱,金属锚杆与锚索等非金属材料木材,砖,岩石,砂,水泥,混凝土,高分子材料,玻璃钢等木支架,木垛,砌碹支护,喷射混凝土,混凝土支柱,巷旁充填支护,注浆,锚固剂,玻璃钢锚杆等复合材料金属与非金属复合材料,无机有机复合材料等钢筋混凝土,钢管混凝土支架,金属塑料复合锚杆、复合网,无机有机注浆材料等

2 巷道支护材料与构件

巷道支护形式是指支护力作用在巷道围岩表面的支护,包括各种棚式支架、支柱、砌碹支护(钢筋)混凝土支护及喷射混凝土等,见表2。

表2 巷道围岩表面支护形式分类

Table 2 Classification of roadway surface supports

分类依据类 型支护材料木材、钢材、料石、水泥、混凝土、预应力钢筋混凝土、钢管(方钢)混凝土支护结构支架、砌碹、支柱、木垛、液压支架支护特性被动支护,主动支护(液压支架、支柱)变形特性刚性支架,可缩性支架断面形状梯形、矩形、拱形(底板敞开式),圆形、马蹄形、环形(封闭式)设置方式构件预制,现场架设,现场喷、浇、注

2.1 棚式支架

棚式支架是煤矿巷道最早的支护形式,属于被动支护,只有当围岩压紧支架时才会承载。棚式支护形式经历了从木支架、砌碹支架、装配式钢筋混凝土支架、型钢支架到钢约束混凝土支架的发展过程。在2000年以前,棚式支架的用量很大,是巷道主体支护方式。随着锚杆支护技术的大面积推广应用,棚式支架所占的比例逐年降低。由于煤矿巷道的多样性及我国巷道地质条件的复杂性,目前,棚式支架仍然在部分巷道中使用。

金属支架是应用最广泛的棚式支架(图1),是用于制作金属支架的钢材(混凝土)。工字钢与U型钢是常用的制作金属支架的型钢[6]。一般工字钢用于制作刚性支架,U型钢用于制作可缩性支架。支架钢材主要有16Mn、20MnK、A5、A6等,前两者主要用于U型钢,屈服强度不小于350 MPa,拉伸强度不小于520 MPa,延伸率不低于16%。

图1 巷道金属支架材料断面
Fig.1 Cross-section of steel sets for roadways

工字钢制作的刚性支架一般为一梁两柱,断面呈梯形、矩形。U型钢可缩性支架具有多种架型,断面多为拱形,根据巷道断面不同支架节有3~5节或更多,支架节相互搭接并用连接件连接。巷道需要封底时,可采用圆形、马蹄形、环形等全封闭式架型。

钢约束混凝土支架是近年来开发与应用的复合材料支架。这种支架有2个方面的优势:①充填混凝土的钢约束材料其抗弯能力和稳定性显著增强;②核心混凝土柱处于钢约束的三向受压状态,其承载能力显著提高。钢约束混凝土支架主要有钢管混凝土支架[7]、方钢约束混凝土支架等[8]。文献[7]进行了直径140 mm、壁厚4.5 mm的钢管、C40混凝土、钢管混凝土及U29型钢的短柱压缩承载性能试验,得出极限承载力分别为449.9、257.3、1115.5和822.8 kN,可见钢管混凝土的承载能力远高于钢管和混凝土柱,比U29型钢提高了35.6%。钢管混凝土支架整架试验表明,由4节直径140 mm、壁厚4.5 mm、C40的钢管混凝土构件组成的圆形封闭支架,其极限承载力达1 504.1 kN。理论计算表明:直径140 mm、壁厚8.5 mm钢管用钢量与U29型钢相差不大,但其承载能力是U29型钢支架的3倍多,钢管混凝土支架承载能力比U型钢支架大幅提高。上述的钢约束混凝土支架承载能力大,适用于高应力、软岩、大变形巷道的支护与维修。

为了提高支架的稳定性,改善支架的受力状态,在支架间应设置拉杆,在架后设置金属网、背板或进行架后充填。架后充填可有效充填支架与巷道表面的空间,改善支架与巷道表面的接触状态,使支架受力更早、更均匀,显著提高支架承载能力和支护效果[9-10]。淮南、铁法等矿区的井下实践表明,在深部、软岩巷道等复杂困难条件下,采用U型钢可缩性支架并进行架后充填,支架阻力提高了5倍,巷道变形量下降90%,巷道支护状况得到根本改善。

砌碹是较早使用的巷道支护方式。制作砌碹支护的材料包括料石、砖、混凝土块、浇注(钢筋)混凝土等。砌碹支护主要用于煤矿井下永久性重点工程,如大巷、马头门、硐室及大型交叉点等。由于砌碹支护属于被动、刚性支护,施工工艺复杂、工程量大,其使用量逐年减少。目前,由于现浇(钢筋)混凝土支护的独特优势,还应用于井底车场马头门、大型硐室等特殊工程。

装配式钢筋混凝土支架分为普通钢筋混凝土支架与预应力钢筋混凝土支架。20世纪60年代初,我国煤矿就开展了普通钢筋混凝土支架的研究与应用,1973年开发出工字型预应力钢筋混凝土支架,并且形成了系列化、标准化。80年代初,又开发了高强钢筋混凝土预制弧板封闭型支架[11-12],且进行架后充填,显著提高了支架承载能力。

2.2 喷层

在巷道表面喷层首先可起到封闭围岩、防止风化的作用,同时喷层能对围岩施加径向约束,传递剪应力[13],喷层分类见表3。按喷层材料可分为水泥砂浆、混凝土等无机材料;高分子等有机材料;树脂与混凝土复合材料;钢纤维、塑料纤维等纤维增强材料。按喷层厚度可分为普通喷层(一般为50~150 mm)和薄喷(厚度小于30 mm)。按喷射工艺可分为干式、潮式、湿式喷射混凝土及水泥裹砂喷射混凝土。喷层可一次喷射完成,也可二次或多次喷射完成。

表3 喷层分类

Table 3 Types of shotcreting layers

分类依据类型喷层材料无机材料(水泥砂浆,混凝土),有机材料(高分子材料),复合材料(树脂与混凝土),纤维增强材料(钢纤维,塑料纤维)喷层厚度普通厚度,薄喷喷射工艺干式喷射混凝土,潮式喷射混凝土,湿式喷射混凝土,水泥裹砂喷射混凝土喷射次数一次喷射,二次或多次喷射

喷射混凝土是岩土工程领域应用最广泛的喷层技术,早在20世纪50年代我国煤矿就开始研究、试验应用喷射混凝土技术。通过不断研究,在喷射材料、工艺及设备方面均取得很大进展[14-15]。开发出多种专用喷射混凝土水泥、合成水泥,多种高效速凝剂、减水剂等;从普通喷射混凝土发展到钢纤维、塑料纤维增强喷射混凝土,显著提高了喷射混凝土的力学性能;喷射混凝土工艺从干式喷射、潮式喷射,发展到湿式喷射,提高了施工质量与效果。

薄喷是近些年发展起来的新的喷层技术[16]。喷层采用高分子材料、复合材料等,喷层厚度仅为5~10 mm,喷层具有良好的弹性和延展性,主要用于封闭围岩。

喷射混凝土常与锚杆、锚索共同使用,形成各种类型的锚喷支护,为煤矿各类易风化围岩巷道、维护时间长的巷道提供了有效、经济的支护手段。

2.3 单体支护与液压支架

巷道中使用的单体支护与液压支架有多种形式,见表4,主要用于工作面巷道超前支护,沿空留巷、回撤通道等强烈采动影响巷道及冲击地压巷道、特殊地段的加强支护。

表4 巷道用支柱与液压支架类型

Table 4 Types of props and hydraulic supports for roadways

类型材料支护形式单体支护木材,钢材,水泥,混凝土,约束混凝土,玻璃钢,乳化液,橡胶等木支柱,摩擦式金属支柱,单体液压支柱,各种顶梁,水泥、混凝土支柱,钢管混凝土支柱,玻璃钢支柱等液压支架金属,乳化液,橡胶等工作面超前液压支架,回撤通道液压支架,沿空留巷加强支护液压支架、挡矸支架,冲击地压巷道液压支架等

单体支护由单体支柱及顶梁、柱帽、柱靴等组成。木支柱是最早的单体支柱,依靠木材自身强度支撑顶板,依靠打紧木楔提供初撑力。木支柱属于被动支护,初撑力低,而且容易腐烂,已逐步被淘汰。摩擦式金属支柱依靠摩擦力与活柱的斜度获得工作阻力,通过升柱器、升柱楔可获得一定的初撑力,可提供一定的可缩量。单体液压支柱依靠液压提供阻力,通过安全阀保持阻力恒定。可提供较大的初撑力、稳定的工作阻力及较大的可缩量,属于主动支护。单体支柱可单根使用,也可2根或多根配合顶梁使用。我国煤矿很多工作面巷道超前支护采用单体液压支柱配金属铰接顶梁支护形式。

液压支架是综采工作面的支护设备,具有支护阻力大、稳定性高等诸多优势。为解决单体支护强度低、稳定性差、支护效率低、劳动强度大等缺点,我国煤矿开发了工作面巷道超前液压支架[17-18],并在多个矿区进行了试验应用,取得良好效果。如山东新巨龙矿井1302工作面沿空巷道超前支护采用ZTC30000/25/50型液压支架,工作阻力达30 000 kN,支护强度达0.54 MPa,液压支架发挥了良好的支护作用,满足了工作面巷道超前支护的要求。

为提高回采工作面设备的回撤速度,采用预掘回撤通道,实现多通道搬家的巷道布置方式得到越来越多的应用。预掘回撤通道,特别是主回撤通道,要经受工作面超前支承压力影响的全过程,而且工作面要采透回撤通道,采动影响十分强烈,支护难度很大,必须对其进行加强支护与加固[19-20]。采用单体液压支柱配合钢梁支护有时不能有效控制回撤通道的强烈变形,保证回撤的安全。为此,采用液压支架或专门设计垛式液压支架进行加强支护。如晋城寺河矿4302大采高综采工作面,主回撤通道宽5 m,高3.8 m,沿回撤通道轴线安装2排垛式支架:一排支架型号ZZ12000/2.65/4.4,工作阻力12 000 kN;另一排支架型号ZZ7200/2.3/3.8,工作阻力7 200 kN。垛式支架配合其他支护保证了回撤通道的稳定和设备的安全撤出。

混凝土支柱作为预掘回撤通道、回风巷、二次或多次动压影响巷道的加强支护,在美国、澳大利亚等国家得到广泛应用[21]。混凝土支柱可以地面预制,也可井下现场制作。支柱表面一般有约束,包括充填袋、波纹管、钢丝或纤维箍、铁皮罐,甚至是钢管,以增加支柱的强度与稳定性。现场泵充混凝土支柱,由于具有施工方便、适应性强、可被采煤机割碎后带式输送机运出、施工机械化程度高等优势,成为混凝土支柱的主要形式。

我国煤矿近年来也引进、研发了泵充混凝土支柱技术,并在回撤通道、沿空留巷、工作面过空巷等工程中得到应用。图2为陕西何家塔煤矿工作面回撤通道实施的泵充混凝土支柱支护状况及支柱受力变化曲线(工作面刚采透回撤通道)[22-23]。混凝土支柱采用充填袋泵充施工,直径800 mm,高度3.2 m,回撤通道布置2排支柱,间距为1.8 m,排距为2.0 m。混凝土单轴抗压强度为42 MPa。

图2 工作面回撤通道混凝土支柱支护及受力变化曲线(陕西何家塔矿)
Fig.2 Longwall recovery room supported by concrete cribs and curve of force variation on them (Hejiata Coal Mine,Shaanxi)

由图2b可知,当工作面距回撤通道约2倍通道宽度之前,支护受力变化不大,之后缓慢上升;当工作面距回撤通道相当于通道宽度之后,支柱受力急剧增加,随后支柱受力趋于平缓。靠近工作面侧的两根支柱(6、7号)受力明显大于另一侧(5、8号),支柱最大受力接近2 000 kN。在整个回撤通道维护过程中,混凝土支柱没有发生明显的破坏,起到了有效的加强支护作用。

沿空留巷可取消区段煤柱、提高煤炭资源采出率;减少巷道掘进量,降低矿井掘进率,在适宜的条件下得到推广应用。然而,沿空留巷要经历2个工作面的采动影响,尤其是在本工作面后方,顶板会发生强烈沉降,出现剧烈底鼓。因此,沿空留巷需要进行加强支护与巷旁支护[24-25]。其中加强支护主要采用单体支柱配顶梁及专门设计的液压支架。

图3为淮南谢一矿5121B10工作面回风巷采用的DZ型单体支柱配HDJA-1000金属铰接顶梁加强支护方式[25]。一梁一柱,走向棚支护。超前工作面煤壁20~60 m单排,0~20 m三排,滞后煤壁100 m内三排支护。

图3 回风巷加强支护布置(淮南谢一矿)
Fig.3 Layout of additional enhanced supporting for tailgate(Xieyi Coal Mine,Huainan)

沿空留巷加强支护液压支架有多种形式。淮南矿业集团公司等研制出自移式主动强力控顶支架[26],如图4所示。支架由立柱、顶梁、四连杆机构及底座组成,4根立柱的工作阻力为8 000 kN,具有较高的主动支撑力和较大的护顶面积。前后相邻两架支架通过相互推拉实现自移行走。

图4 自移式主动控顶强力液压支架
Fig.4 Positive and intensive self-advance hydraulic support

图5为中煤科工开采研究院有限公司开发的自移式、两柱单元支架,初撑力为5 000 kN,工作阻力可达6 500 kN。这些加强支护液压支架在控制沿空留巷顶板下沉、旋转,保持巷旁支护稳定等方面起到重要作用。

图5 自移式两柱单元支架
Fig.5 Self-advance unit hydraulic support with two props

此外,随着煤矿开采深度、强度不断增加,冲击地压巷道越来越多。针对冲击地压巷道围岩变形、破坏特点,提出“三级”支护理念[27],除采用锚杆、锚索及全封闭U型钢支架外,还增设液压抬棚、门式支架或吸能液压支架,实现提高支护刚度的同时能快速吸能让位,达到控制或减弱巷道冲击地压的目的[28]

3 巷道锚固材料与构件

3.1 锚杆

我国煤矿从1956年开始在巷道中采用锚杆支护,经过60多年的研究与应用取得重大进展,已成为煤矿巷道的主体支护方式[29-30]。国内外锚杆有多种形式[31-33],见表5。锚杆支护构件一般包括锚杆(杆体、托板、螺母、垫圈、锚固装置等)及护表构件,如图6所示。

图6 锚杆支护构件
Fig.6 Components of rock bolting

表5 煤矿巷道锚杆类型

Table 5 Types of rock bolts for coal mine roadways

材料金属锚杆非金属锚杆复合锚杆杆体轴线直线曲线柔性杆体截面等截面,实心等截面,空心不等截面表面形状光圆螺纹复合锚固方式机械锚固黏结式锚固复合锚固杆尾结构螺纹墩头锚具楔缝式滑动结构无杆体间滑动杆体与锚固剂间滑动典型锚杆 圆钢、螺纹钢锚杆;缝管锚杆,胀管锚杆,中空注浆锚杆;蛇形锚杆;钢丝绳、钢绞线锚杆;D型锚杆,MCB型锚杆;结构滑动式可延伸锚杆;玻璃钢锚杆等

制作锚杆杆体的材料包括金属、非金属及复合材料。金属材料主要是圆钢、螺纹钢(力学性能见表6、如图7所示)[34],钢管等;非金属材料包括木材、玻璃钢等;复合材料多是钢材与高分子材料的复合使用。锚杆钢材总体上经历了低强度、高强度到超高强度的发展过程;杆体表面形状也从圆钢、建筑螺纹钢,发展到煤矿锚杆专用的左旋无纵筋螺纹钢。玻璃钢锚杆是最常用的非金属锚杆[35],主要用于煤帮支护,便于采煤机切割。杆体材料的抗拉强度可达到600~700 MPa,可制成实心、空心杆体,杆体表面制成全螺纹、粗糙表面,以提高锚杆锚固力。最近研制的大直径玻璃钢锚杆(直径27 mm),杆体拉断力达278.3 kN,接近BHRB600型钢锚杆的拉断载荷。其抗剪载荷也能达到147.9 kN[36]

表6 锚杆杆体钢材力学性能

Table 6 Mechanical properties of steel bar for rock bolts

名称公称直径/mm屈服强度/MPa抗拉强度/MPa伸长率/%Q23514~2023538025BHRB33516~2233549022BHRB40016~2240057022BHRB50018~2550067020BHRB60018~2560078018BHTB60018~2560078025BHTB70020~2570087021BHTB80020~258001 00019预应力钢棒14~201 1401 27015

图7 锚杆螺纹钢杆体拉伸载荷-位移曲线
Fig.7 Tensile load versus displacement of rock bolt rebar samples subjected to extension

锚杆锚固方式按锚固原理分为机械式锚固、摩擦式、黏结式锚固及复合式锚固,黏结式又分为水泥锚固、树脂锚固;按锚固长度分为端部锚固、加长锚固及全长锚固;按施工方式分为卷式搅拌锚固、泵注锚固及复合锚固。

目前,树脂加长、全长树脂锚固高强度螺纹钢锚杆得到广泛应用,成为煤矿巷道锚杆的主要形式。树脂锚固剂有多种规格,按凝胶时间可分为超快速、快速、中速及慢速。锚固剂直径有23、28、35 mm等规格,长度一般为300~1 000 mm,单轴抗压强度超过60 MPa,基本满足了高强度锚杆锚固的要求。

此外,注浆锚杆将锚固与注浆有机结合[37],根据围岩条件可注水泥、高分子材料及复合浆液,为破碎围岩巷道提供了有效的加固方法。

护表构件包括大托板、钢带、钢梁、网等,见表7。护表构件可将锚杆支护组合成锚网、锚带(梁)、锚带(梁)网等形式,适用于不同的巷道地质条件。

表7 护表构件类型

Table 7 Types of surface retaining components

材料块状线状带状网状金属大托板(平托板、钢护板)钢筋托梁桁架钢绳钢带(W、M钢带)钢梁金属网(经纬、菱形、钢筋网)木托板非金属混凝土托板塑料托板——塑料网复合复合材料托板——复合材料网

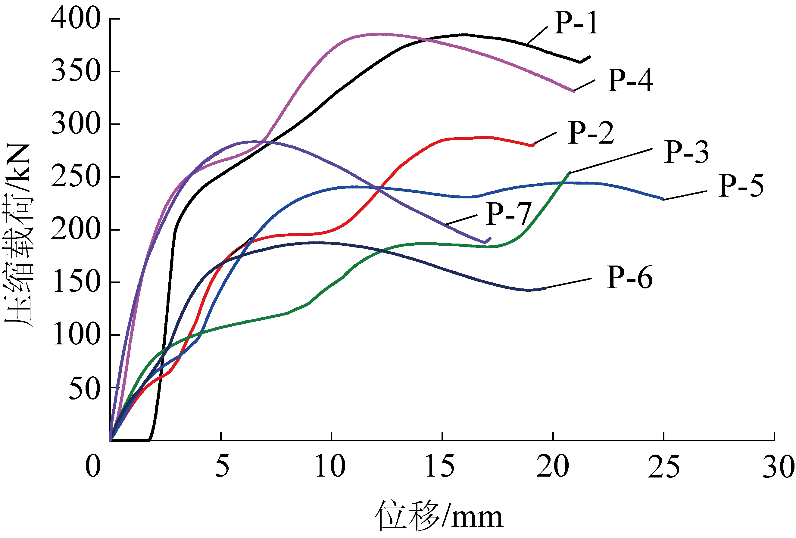
锚杆支护是系统工程,只有各构件的几何形状、参数及力学性能相互匹配,才能充分发挥锚杆支护系统的整体支护能力[38]。锚杆尾部结构包括杆尾螺纹、托板、螺母、球型垫圈、减摩垫圈等。图8为拱形托板的压缩载荷与位移关系曲线。典型的托板变形过程分为5个阶段:开始加载到托板底面落平、底面落平到周边开始翘起、周边开始翘曲到拱窝接触底面、拱窝接触底面到最大压缩载荷、最大压缩载荷至托板失效阶段。托板形状、几何尺寸、材质不同,导致托板承载能力、变形过程、变形量等存在明显差异。螺母、球型垫圈、减摩垫圈等构件应与托板相互匹配,才能使锚杆处于较好的受力状态。

图8 锚杆托板压缩载荷-位移曲线
Fig.8 Load displacement curves of plates under compression

图9为实验室模拟锚杆安装过程中杆尾弯曲角度的变化曲线。托板与钢带置于凹槽上,模拟凹凸不平的围岩表面。通过拧紧螺母给锚杆施加预紧力。随着螺母扭矩增加,托板旋转、杆体弯曲,而球形垫圈起调心作用,减小杆体的弯曲角度。从图9看出,球形垫圈的调心作用在螺母扭矩比较小时明显,当螺母扭矩到一定值后,球形垫圈失去调心作用。球形垫圈使杆体尾部弯曲角度减少了5.5°,明显改善了杆尾的受力状态。此外,锚固剂应与杆体匹配,确保锚杆-锚固剂、锚固剂-围岩之间界面有良好的黏结性能;托板的尺寸、强度与刚度应与钢带、钢筋托梁、金属网相匹配,避免托板压穿钢带、切断金属网丝等现象出现,导致支护构件、甚至支护系统失效。

图9 锚杆尾部构件弯曲或旋转角度变化曲线
Fig.9 Variation curves of bending or rotation angles on rock bolt end

3.2 锚索

锚索具有长度大、预应力高、承载能力强等优势,已成为煤矿巷道锚固技术的重要组成部分。小孔径树脂锚固预应力锚索是煤炭科学研究总院1996年开发的单根钢绞线、树脂药卷快速锚固,适用于煤巷支护[39]。制作锚索索体的钢绞线规格及力学性能见表8,拉伸载荷与位移曲线如图10所示。索体可分为实心、空心,后者主要用于注浆锚索;按钢丝结构与数量可分为1×7、1×19结构及其他结构。最早的锚索采用1×7结构、直径15.2 mm的钢绞线;后来根据煤矿巷道围岩变形破坏的特点,不仅要高强度,而且要大延伸率,研制出1×19结构的大直径、高延伸率钢绞线[40]。此外,研制出多种形式的注浆锚索用空心钢绞线[41],并在井下得到推广应用。

表8 锚索钢绞线力学性能

Table 8 Mechanical properties of cable bolt strands

截面钢绞线结构公称直径/mm拉断载荷/kN延伸率/%实心1×71×1915.226017.835318.940921.653018.039920.350421.858228.6900≥3.56.56.57.07.0空心1+6,1+8,1+920~30350~650≥3.5

图10 锚索钢绞线拉伸载荷-位移曲线
Fig.10 Load displacement curves of steel strands for cables

4 巷道注浆加固与充填材料

4.1 注浆加固材料

注浆是指采用物理或化学方法将可固化的液体材料注入到破碎围岩中,以改善围岩力学性能与整体性的方法。注浆已成为巷道破碎围岩加固的有效途径。煤矿巷道用注浆材料有多种,见表9[42-43]

表9 注浆材料分类

Table 9 Classification of grouting maaterials

材料分类注浆浆液无机材料水泥浆,黏土浆,黏土水泥浆,水泥粉煤灰浆,水玻璃浆,水泥-水玻璃浆等有机材料环氧树脂类,甲基丙烯酸脂类,聚氨酯类,脲醛树脂类,丙烯酸盐类,丙烯酰胺类等复合材料有机无机复合注浆材料

按注浆材料的性质可将其分为3类:无机材料,以水泥基注浆材料为主,还有水玻璃浆等;有机材料,以高分子材料为主;及无机有机复合注浆材料。水泥基材料是使用很早、应用最广泛的注浆材料,可与黏土、粉煤灰、水玻璃及各种添加剂共同使用,获得不同的物理力学性能。针对传统水泥浆存在颗粒度大、渗透性较差、早期强度低、易离析和沉淀等问题,又研发出超细水泥基注浆材料[44]。该种超细水泥粒度分布达到D99≈10 μm,D50≈1.9 μm。其可注性高、能渗透到微细裂隙、黏结强度大,加固效果得到显著改善。

高分子材料由于黏度低、渗透力强、固化速度快等优点,在煤矿工作面、巷道加固工程中得到广泛应用[45]。特别是在时间紧、工期短、超前加固等工程中更能体现其优势。但高分子注浆材料也存在成本高、易着火、污染环境等问题。

无机有机复合材料是注浆材料的发展方向。不仅可降低注浆材料成本,又能保留无机、有机材料的优异性能。如煤炭科学研究总院开采研究分院开发出硅酸盐改性聚氨酯注浆材料,固化后形成聚氨酯网络(有机相)—硅酸网络(无机相) 三维结构互穿网络,固结体力学特性显著提升[46]。河南理工大学开发出微纳米无机有机复合注浆新材料[47]。水泥经超细化加工后粒径达到6.7 μm,比表面积为1 200 m2/kg。无机有机复合注浆材料能注入到10 μm的裂隙,6 h抗压强度达到6.8 MPa,渗透性和注浆效果得到显著提高。同时与高分子材料相比,注浆成本大幅降低。

4.2 充填材料

巷道充填材料主要包括沿空留巷巷旁充填材料及架后充填材料。

巷旁支护是沿空留巷的核心技术,关系到沿空留巷是否成功与安全。现有的沿空留巷巷旁支护类型见表10,分为柱式、垛式及墙式。其中涉及到现场充填的有前述的水泥、混凝土支柱,钢管混凝土支柱[48],及风力或泵送混凝土、高水材料充填墙等[49-50]。对于地质条件比较简单、煤层厚度不大的沿空留巷,可采用柱式、垛式巷旁支护;在一般及复杂条件下,墙式巷旁支护得到广泛应用,充填体材料主要有混凝土、高水材料等。合理的充填墙体不仅有较高的初期和后期强度,而且应有足够的变形能力,以适应沿空留巷顶板的下沉与旋转,同时能够起到隔离采空区的作用。如文献[24]采用的膏体充填巷旁支护材料,充填体宽度为2.5 m,高度1.6 m,5 d后抗压强度达10 MPa,最终抗压强度达14 MPa。井下试验过程中,墙体稳定,满足了沿空留巷的要求。

表10 沿空留巷巷旁支护类型

Table 10 Types of supports beside entries retaining along gob side

类型材料支护形式柱式木材,钢材,水泥,混凝土,钢管混凝土等木支柱、摩擦式金属支柱、单体液压支柱(单排、双排、丛柱),水泥、混凝土支柱,钢管混凝土支柱等垛式木材,矸石,料石,混凝土等木垛(实心、空心,单排、双排),矸石垛(带),料石砌垛,混凝土块砌带墙式料石,水泥,混凝土,高水材料等料石砌墙,混凝土块砌墙,风力或泵送混凝土、高水材料充填墙组合式上述2种或以上的不同组合

如前所述,架后充填是指在巷道支架与围岩表面之间构筑的固体垫层,以增加支架与围岩的接触面积,改善支架受力状态。充填材料的类型可分为松散、胶结及可缩性材料。松散材料(矸石,砂砾等)颗粒间无黏结,松散的堆积在一起;胶结材料(石膏,水泥砂浆,混凝土,高水材料等)颗粒间彼此黏结,形成强度较大的固结体;可缩性材料(木材,发泡水泥,发泡高分子材料等)受压后有较大的压缩性。如前所述,在U型钢可缩性支架后实施混凝土充填,显著提高了支架承载能力和巷道支护效果。

5 结论与展望

经过多年的研究与试验,我国煤矿巷道支护与加固材料取得了重大进展。巷道支护材料实现了从木材、水泥、混凝土到钢材的变革;加固材料经历了从黏土、水泥、高分子材料到复合材料的发展过程;形成了包括金属材料、非金属材料及复合材料的煤矿巷道支护与加固材料体系,支撑了巷道支护技术的历次革命,包括从木支护到金属支架的材料革命,被动的棚式支护到锚杆主动支护的技术革命,及单一支护方式到多种支护与加固方式协同控制的技术进步。新材料、新产品的不断开发应用,显著提高了巷道围岩控制效果,降低了巷道维护成本,为煤矿实现安全、高效建设与生产提供了坚实的材料基础。

尽管如此,我国煤矿巷道支护与加固材料还存在不少问题,需继续不断研究与试验。

1)锚杆与锚索已成为煤矿巷道的主体支护方式,解决了一般条件巷道支护问题,但在高应力、强采动、大变形、冲击地压等复杂困难条件下,还出现锚杆、锚索破断及支护构件失效等现象,不能完全满足安全生产的要求。需要开发超高强度、大延伸率、高冲击韧性锚杆与锚索新材料;低黏度、高强度、高刚度全长锚固树脂锚固剂,及适应于含水、破碎围岩的新型锚固材料;根据现场需要,不断开发新的锚杆、锚索形式,进一步优化锚杆、锚索支护构件的几何形状与尺寸,提高支护构件的匹配性;进一步改善锚杆加工工艺,提高锚杆加工设备的精度,不断提高产品加工质量。

2)工字钢、U型钢支架材料基本定型,在不适宜单独采用锚杆、锚索支护的巷道中仍在使用。一方面要研究进一步提高支架稳定性和承载能力的技术和材料,如架后高效、低成本充填材料;另一方面进一步开发适用于软岩、高应力、大变形、冲击地压等巷道的新结构架型,如钢约束混凝土支架,防冲支架等,满足复杂困难巷道支护要求。

3) 无机、有机注浆加固材料虽然得到广泛应用,但不同程度地存在一些问题:水泥基材料渗透性较差、难以注入围岩细小的裂隙中;高分子材料成本高、易着火、污染环境。需要从原材料、配比、加工工艺等方面深入研究,开发更适合煤矿巷道围岩加固的低成本、环境友好型注浆材料,并与高压注浆工艺与设备相配合,显著提高围岩注浆加固效果。目前,无机有机复合注浆材料是未来发展方向,需要重点突破。

4) 充填材料在巷道支护加固中应用非常广泛,包括沿空留巷巷旁支护,架后充填,钢约束混凝土支架,泵充水泥、混凝土支柱等。需进一步开发高性能、低成本、易于输送的新型充填材料,并考虑矿井固体废弃物的处理与利用,以不断满足巷道支护对充填材料的承载能力、变形能力及耐久性等方面的要求。同时,可与充填开采紧密结合,促进绿色开采技术的推广应用。

5)巷道快速掘进与支护、提高成巷速度是急需解决的重大难题。现有巷道支护存在工序多、施工复杂等问题,很多是手工作业,还不能实现机械化、自动化、智能化。为此,需要突破传统技术,开发与掘进自动化、智能化相配套的新型巷道支护与加固材料、构件,及新的施工工艺及装备,以大幅提高掘进速度与效率,减少作业人员,实现巷道掘进与支护技术的跨越发展。

参考文献(References):

[1] 康红普. 我国煤矿巷道围岩控制技术发展70 年及展望[J]. 岩石力学与工程学报,2021,40(1):1-30.

KANG Hongpu. Seventy years development and prospects of strata control technologies for coal mine roadways in China[J]. Chinese Journal of Rock Mechanics and Engineering,2021,40(1):1-30.

[2] 陈炎光,陆士良. 中国煤矿巷道围岩控制[M]. 徐州:中国矿业大学出版社,1994:2-5.

[3] 侯朝炯. 巷道围岩控制[M]. 徐州:中国矿业大学出版社,2013:288-390.

[4] KANG H. Support technologies for deep and complex roadways in underground coal mines:a review[J]. International Journal of Coal Science and Technology,2014,1(3):261-277.

[5] 邢福康,蔡 坫,刘玉堂. 煤矿支护手册[M]. 北京:煤炭工业出版社,1993:75-180.

[6] 侯朝炯. 巷道金属支架[M]. 北京:煤炭工业出版社,1989:1-15.

[7] 高延法,王 波,王 军. 深井软岩巷道钢管混凝土支护结构性能试验及应用[J]. 岩石力学与工程学报,2010,29(S1):2604-2609.

GAO Yanfa,WANG Bo,WANG Jun. Performance test and application of concrete-filled steel tube support structure in deep soft rock roadway[J]. Chinese Journal of Rock Mechanics and Engineering,2010,29(S1):2604-2609.

[8] 王 琦,邵 行,李术才,等. 方钢约束混凝土拱架力学性能及破坏机制[J]. 煤炭学报,2015,40(4):922-930.

WANG Qi,SHAO Xing,LI Shucai,et al. Mechanical properties and failure mechanism of square type confined concrete arch centering[J]. Journal of China Coal Society,2015,40(4):922-930.

[9] 陆士良,王悦汉. 软岩巷道支架壁后充填与围岩关系的研究[J]. 岩石力学与工程学报,1999,18(2):180-183.

LU Shiliang,WANG Yuehan. Study on relationship between support with backfilling and surrounding rocks of roadway in soft strata[J]. Chinese Journal of Rock Mechanics and Engineering,1999,18(2):180-183.

[10] 王志根. 深井软岩巷道“三位一体”充填式复合支护技术研究[J]. 矿业安全与环保,2016,43(4):64-67.

WANG Zhigen. Research on“Three-in-one” compound stowing supporting technology for soft rock roadway in deep mine[J]. Mining Safety and Environmental Protection,2016,43(4):64-67.

[11] 李效甫. 钢筋混凝土弧板支架的力学性能试验[J]. 煤炭科学技术,1987,15(10):18-19.

LI Xiaofu. Mechanical test of steel rebar reinforced concrete arch support[J]. Coal Science and Technology,1987,15(10):18-19.

[12] 朱佑国,吴卫龙. 高强钢筋混凝土弧板支架与软岩性质的匹配[J]. 煤炭科学技术,1995,23(9):1-3.

ZHU Youguo,WU Weilong. Suitability of high strength reinforced concrete arch plate support and soft rock properties[J]. Coal Science and Technology,1995,23(9):1-3.

[13] 程良奎. 喷射混凝土[M]. 北京:中国建筑工业出版社,1990.

[14] 段振西. 喷射混凝土支护理论的分析[J]. 煤炭科学技术,1974,7(5):42-48.

DUAN Zhenxi. Analysis on shotcreting support theory[J]. Coal Science and Technology,1974,7(5):42-48.

[15] 方树林. 巷道喷射混凝土的力学性能及与锚杆支护相互作用的研究[D]. 北京:煤炭科学研究总院,2012.

[16] 张少波,吴建生,魏 群,等. 煤矿薄喷技术的理论与实践[J]. 煤炭科学技术,2017,45(4):1-7.

ZHANG Shaobo,WU Jiansheng,WEI Qun,et al. Theory and practices on thin spray-on technology of coal mine[J]. Coal Science and Technology,2017,45(4):1-7.

[17] 王国法,牛艳奇. 超前液压支架与围岩耦合支护系统及其适应性研究[J]. 煤炭科学技术,2016,44(9):19-25.

WANG Guofa,NIU Yanqi. Study on advance hydraulic powered support and surrounding rock coupling support system and suitability [J]. Coal Science and Technology,2016,44(9):19-25.

[18] 刘金海,姜福兴,孙广京,等. 深井综放面沿空顺槽超前液压支架选型研究[J]. 岩石力学与工程学报,2012,31(11):2232-2239.

LIU Jinhai,JIANG Fuxing,SUN Guangjing,et al. Selection of advanced hydraulic support in gob-side entry of fully mechanized caving face of deep mine[J]. Chinese Journal of Rock Mechanics and Engineering,2012,31(11):2232-2239.

[19] 郑书兵,康红普,董文敏,等. 大采高工作面撤架通道加固支护技术[J]. 煤炭科学技术,2006,34(10):33-36.

ZHENG Shubing,KANG Hongpu,DONG Wenmin, et al. Reinforced support technology of gateway for hydraulic powered supports removed from high cutting coal mining face[J]. Coal Science and Technology,2006,34(10):33-36.

[20] 吕华文. 回采工作面预掘回撤通道围岩变形机理及控制技术[D]. 北京:煤炭科学研究总院,2013.

[21] BARCZAK T M,TADOLINI S C. Pumpable roof supports:an evolution in longwall roof support technology[J]. Trans Soc Min Met Explor,2008,324:19-31.

[22] 王志超. 混凝土支柱力学性能研究及在回撤通道支护中的应用[D]. 北京:煤炭科学研究总院,2015.

[23] KANG H,LV H,ZHANG X,et al. Evaluation of the ground response of a pre-driven longwall recovery room supported by concrete cribs [J]. Rock Mechanics and Rock Engineering,2016,49:1025-1040.

[24] 康红普,牛多龙,张 镇,等. 深部沿空留巷围岩变形特征与支护技术[J]. 岩石力学与工程学报,2010,29(10):1977-1987.

KANG Hongpu,NIU Duolong,ZHANG Zhen,et al. Characteristics of surrounding rock deformation and supporting technology of gob-side entry retaining in deep coal mine[J]. Chinese Journal of Rock Mechanics and Engineering,2010,29(10):1977-1987.

[25] 柏建彪,周华强,侯朝炯,等. 沿空留巷巷旁支护技术的发展[J].中国矿业大学学报,2004,33(2):183-186.

BAI Jianbiao,ZHOU Huaqiang,HOU Chaojiong,et al. Development of support technology beside roadway in goaf-side entry retaining for next sublevel[J]. Journal of China University of Mining and Technology,2004,33(2):183-186.

[26] 袁 亮. 低透气性煤层群无煤柱煤气共采理论与实践[J]. 中国工程科学,2009,11(5):72-80.

YUAN Liang. Theory and practice of integrated pillarless coal production and methane extraction in multiseams of low permeability[J]. Engineering Science,2009,11(5):72-80.

[27] 齐庆新,李一哲,赵善坤,等. 我国煤矿冲击地压发展70 年:理论与技术体系的建立与思考[J]. 煤炭科学技术,2019,47(9):1-40.

QI Qingxin,LI Yizhe,ZHAO Shankun,et al. Seventy years development of coal mine rockburst in China:establishment and consideration of theory and technology system[J]. Coal Science and Technology,2019,47(9):1-40.

[28] 潘一山,肖永惠,李忠华,等. 冲击地压矿井巷道支护理论研究及应用[J]. 煤炭学报,2014,39(2):222-228.

PAN Yishan,XIAO Yonghui,LI Zhonghua,et al. Study of tunnel support theory of rock burst in coal mine and its application[J]. Journal of China Coal Society,2014,39(2):222-228.

[29] 侯朝炯,郭励生,勾攀峰. 煤巷锚杆支护[M]. 徐州:中国矿业大学出版社,1999.

[30] 康红普,王金华. 煤巷锚杆支护理论与成套技术[M]. 北京:煤炭工业出版社,2007:1-12.

[31] 康红普.我国煤矿巷道锚杆支护技术发展60年及展望[J].中国矿业大学学报,2016,45(6):1071-1081.

Kang Hongpu. Sixty years development and prospects of rock bolting technology for underground coal mine roadways in China[J]. Journal of China University of Mining & Technology,2016,45(6):1071-1081.

[32] LI C C. Rock bolting principles and applications[M]. Butterworth-Heinemann,2017.

[33] CAI M,Kaiser P K. Rockburst support reference book (Volume 1):Rockburst phenomenon and support characteristics[M]. Laurentian University,2018.

[34] Kang H,YANG J,MENG X. Tests and analysis of mechanical behaviours of rock bolt components for China’s coal mine roadways[J]. Journal of Rock Mechanics and Geotechnical Engineering,2015,7,14-26.

[35] 范世平,丁全录. 玻璃钢锚杆的应用研究[J]. 煤炭科学技术,1996,24(9):4-7.

FAN Shiping,DING Quanlu. Study on Application of Resin Fiber Bolt[J]. Coal Science and Technology,1996,24(9):4-7.

[36] 赵象卓,张宏伟,CAO Chen,等. 大直径玻璃钢锚杆工作面帮支护性能试验研究[J]. 中国安全科学学报,2019,29(2):118-124.

ZHAO Xiangzhuo,ZHANG Hongwei,CAO Chen,et al. Experimental study on panel side supporting performance of large diameter FRP bolts[J]. China Safety Science Journal,2019,29(2):118-124.

[37] 王连国,李明远,王学知. 深部高应力极软岩巷道锚注支护技术研究[J]. 岩石力学与工程学报,2005,24(16):2 889-2 893.

WANG Lianguo,LI Mingyuan,WANG Xuezhi. Study of mechanisms and technology for bolting and grouting in special soft rock roadways under high stress[J]. Chinese Journal of Rock Mechanics and Engineering,2005,24(16):2889-2893.

[38] 康红普,林 健,吴拥政,等. 锚杆构件力学性能及匹配性[J]. 煤炭学报,2015,40(1):11-23.

KANG Hongpu,LIN Jian,WU Yongzheng,et al. Mechanical per-formances and compatibility of rock bolt components[J]. Journal of China Coal Society,2015,40(1):11-23.

[39] 李家螯,王圣公,崔惟精. 煤巷锚索支护技术[J]. 煤炭科学技术,1997,25(12):21-24.

LI Jia’ao,WANG Shenggong,CUI Weijing. Cable bolts support technology for coal mine roadway[J]. Coal Science and Technology,1997,25(12):21-24.

[40] 康红普,林 健,吴拥政. 全断面高预应力强力锚索支护技术及其在动压巷道中的应用[J]. 煤炭学报,2009,34(9):1153-1159.

KANG Hongpu,LIN Jian,WU Yongzheng. High pretensioned stress and intensive cable bolting technology set in full section and application in entry affected by dynamic pressure[J]. Journal of China Coal Society,2009,34(9):1153-1159.

[41] 马振乾,杨英明,张科学,等. 新型中空注浆锚索及其在动压巷道中的应用[J]. 煤炭科学技术,2015,43(7):15-19.

MA Zhenqian,YANG Yingming,ZHANG Kexue,et al. New hollow grouting anchor and application to dynamic pressure roadway[J]. Coal Science and Technology,2015,43(7):15-19.

[42] 张永成. 注浆技术[M]. 北京:煤炭工业出版社,2012:1-10.

[43] 康红普,冯志强. 煤矿巷道围岩注浆加固技术的现状与发展趋势[J]. 煤矿开采, 2013,18(3):1-7.

KANG Hongpu,FENG Zhiqiang. Status and development tendency of roadway grunting reinforcement technology in coal mine[J]. Coal Mining Technology,2013,18(3):1-7.

[44] 管学茂,仲启方. 超细水泥基注浆材料性能研究与工程应用[J]. 煤矿安全,2013,44(6):142-145.

GUAN Xuemao,ZHONG Qifang. Research on the performance of micro-fine cement-based grouting material and its engineering application[J]. Safety in Coal Mines,2013,44(6):142-145.

[45] 吴怀国,魏宏亮,田凤兰,等. 矿用高分子注浆加固材料性能特点及研究方向[J]. 煤炭科学技术,2012,40(5):27-29.

WU Huaiguo,WEI Hongliang,TIAN Fenglan,et al. Performances features and research orientation of mine high molecular grouting reinforcedmaterial[J]. Coal Science and Technology,2012,40(5):27-29.

[46] 冯志强,康红普,韩国强. 煤矿用无机盐改性聚氨酯注浆材料的研究[J]. 岩土工程学报,2013,35(8):1559-1564.

FENG Zhiqiang,KANG Hongpu,HAN Guoqiang. Polyurethane grouting materials modified by inorganic salts in coal mines[J]. Chinese Journal of Geotechnical Engineering,2013,35(8):1559-1564.

[47] 张海波,狄红丰,刘庆波,等. 微纳米无机注浆材料研发与应用[J]. 煤炭学报,2020,45(3):949-955.

ZHANG Haibo,DI Hongfeng,LIU Qingbo,et al. Research and application of micro-nano inorganic grouting materials[J]. Journal of China Coal Society,2020,45(3):949-955.

[48] 黄万朋,高延法,文志杰,等. 钢管混凝土支柱巷旁支护沿空留巷技术研究[J]. 中国矿业大学学报,2015,44(4):604-611.

HUANG Wanpeng,GAO Yanfa,WEN Zhijie,et al. Technology of gob-sideentry retaining using concrete-filled steel tubular column as roadside supporting[J]. Journal of China University of Mining & Technology,2015,44(4):604-611.

[49] 张 农,陈 红,陈 瑶. 千米深井高地压软岩巷道沿空留巷工程案例[J]. 煤炭学报,2015,40(3):494-501.

ZHANG Nong,CHEN Hong,CHEN Yao. An engineering case of gob-side entry retaining in one kilometer-depth soft rock roadway with high ground pressure[J]. Journal of China Coal Society,2015,40(3):494-501.

[50] 宋小伟. 柔模混凝土沿空留巷技术在常村矿的应用[J]. 煤,2019,28(1):22-23,57.

SONG Xiaowei.Application of soft-form concrete roadway retaining technique in Changcun Coal Mine[J]. Coal,2019,28(1):22-23,57.

Development and prospects of support and reinforcement materials for coal mine roadways

KANG Hongpu1,2,3

(1.CCTEG,Coal Mining Research Institute,Beijing 100013,China;2.Coal Mining BranchChina Coal Research InstituteBeijing 100013,China;3.State Key Laboratory of Coal Mining and Clean Utilization,Beijing 100013,China)

Abstract:There are four types of roadway support and reinforcement methods in China underground coal mines,including rock surface support type,such as framed support,props,masonry arch,shotcreting and hydraulic shield used in roadways; rock bolts and cables; rock modification with grouting,and combination of above-mentioned methods. The mechanical performances of the various support materials and components,and the physical and mechanical properties of grouting reinforcement and backfilling materials are systematically introduced,the support and reinforcement effects and their suitability are analyzed. It is pointed out that the system of roadway support and reinforcement materials containing metal,nonmetal and composite material for China coal mines has been formed,the support material revolution from wood to steel,and technology revolution from passive to active supports have realized. The control effect of rock surrounding roadway has been obviously enhanced,and the roadway maintenance costs have been reduced,which provides reliable assurance for safe and high-efficient construction and production of coal mines. Finally,the existing issues associated with support and reinforcement materials and components are analyzed,the development prospects in future are put forward.

Key words:coal mine roadways; roadways support; reinforcement materials; support components

中图分类号:TD32

文献标志码:A

文章编号:0253-2336(2021)04-0001-11

移动扫码阅读

康红普.煤矿巷道支护与加固材料的发展及展望[J].煤炭科学技术,2021,49(4):1-11.doi:10.13199/j.cnki.cst.2021.04.001

KANG Hongpu.Development and prospects of support and reinforcement materials for coal mine roadways[J].Coal Science and Technology,2021,49(4):1-11.doi:10.13199/j.cnki.cst.2021.04.001

收稿日期:2020-10-02责任编辑:郭 鑫

基金项目:国家重点研发计划资助项目(2017YFC0603000)

作者简介:康红普(1965—),男,山西五台人,研究员,博士生导师,中国工程院院士,中国煤炭科工集团科学技术委员会主任。E-mail:kanghp@163.com