
移动扫码阅读
我国西部地区位于印度板块与欧亚板块交界处,地质构造极其发育。区域上大型断裂与伴生断层发育,断层之间相互截断、相交等空间组合关系复杂,利用常规勘探方法准确断面组合难度大,交切关系计算困难[1-3]。同时,大断距、高幅度、窄条幅及复杂的断层组合样式,对网格剖分造成极大难度,导致网格形变严重、正交性差,影响后续数值模拟的速度和精度[4-7]。随着地质建模技术不断发展,构造建模和裂缝建模技术也不断向复杂化、精细化与大规模化推进[8-10]。
常规数值软件对复杂地质条件下的建模结果通常存在地层网格非常扭曲,导致层面模型不准确;出现大量的负网格、体积异常大网格;Petrel IJ网格编号不准确;针对有凹凸起伏、断面形态变化比较大的断层,很难完全拟合断层面[11-12],即使是经过平滑处理的断层面都很难拟合;若通过增加控制点的个数来拟合断层面,又会大幅增加人工交互的工作量[13-16];针对复杂的断层交切关系,通过编辑得到的断层交线与实际的断层交线差别较大。常规方法在构建地质模型时存在的问题会影响后续的属性建模、储量计算和数值模拟工作[17-19]。基于此,选择非结构化网格,利用petrel软件建立地质模型,根据地震数据基于属性插值方法,加载井口数据及地层参数,对双鱼石地区复杂构造进行建模,有效获取地质岩体及构造发育特征。
双鱼石区块主要位于四川省广元市剑阁县昭化区及利州区境内,构造单元上隶属上扬子克拉通北缘龙门山山前褶皱带,西邻龙门山逆掩推覆带,东接川北古中坳陷低缓区。由于受逆冲推覆挤压作用,整体褶皱变形、断裂发育,形成一系列呈北东南西向展布、近平行的褶皱断高构造群。工区内断块宽度为1~3 km、构造幅度50~550 m、断层断距80~300 m、断层搭配样式复杂(图1),对区域上大断距、高幅度、窄条带的构造建模难度大,需通过petrel构造建模技术更好地刻画双鱼石地区构造特征。

图1 双鱼石地区地质构造地震剖面
Fig.1 Seismic section of geological structure in Shuangyushi Area
采用非结构化网格对复杂构造进行精细表征,首先需要提取复杂构造的几何信息,以这些几何体为约束进行非结构化网格剖分。若断层等构造几何体十分复杂,采用结构化网格剖分,会造成网格数量巨大,且容易产生大量“病态三角形”[13,18-21],导致网格整体质量变差,计算不稳定,甚至不收敛,这也是目前制约非结构化网格技术大规模商业应用的主要原因之一。
为了处理双鱼石地区广泛存在的高角度复杂缝网,同时保留薄层分层信息,发展了三棱柱层状非结构化网格,其同样基于Delaunay三角形剖分,通过空间仿射变换进行三维网格重构,并还原三维离散裂缝(图2)。基于“复杂曲面弱化求交”算法,距离和夹角简化断层等构造几何体的复杂度,消除病态三角形,形成高性能非结构化网格剖分方法,实现了任意复杂缝网条件下的非结构化网格剖分(图3)。

图2 三棱柱网格剖分流程
Fig.2 Triangular prism meshing process

图3 复杂曲面弱化求交法[3]
Fig.3 Complex surface weakening intersection method[3]
非结构化网格中,性质最优的、最适合用于油藏数值模拟的有三棱柱网格和四面体网格(图4和图5),这2种网格在网格灵活度、复杂断层、裂缝表征精确度、地层信息描述以及数值计算收敛型等方面各有所长。主要通过2个技术来实现:优化搜索策略,仿照非结构化网格传导率连通表技术,提前形成网格节点距离连通表,与传导率联通表不同的是,距离联通表的连通系数为2个网格中心点距离;发展并行算法,每个网格的属性插值计算过程是独立实现,提高非结构化网格插值效率数十倍,建模时间与结构化网格相近。

图4 三棱柱网格化模型
Fig.4 Triangular prism gridded model

图5 四面体网格化模型
Fig.5 Tetrahedral mesh model
非结构化网格针对高角度构造主要通过三棱柱网格及四面体网格进行划分。三棱柱网格在进行非结构化网格时能有效保留构造层信息、构造正交性良好,适合处理高角度裂缝、断层、薄层模型;四面体网格具有网格化灵活、断层、裂缝精细表征,适合处理复杂断层、裂缝网络。
网格的传导率与渗透率类似,通常认为是与流体性质无关的属性,为简单起见,笔者所有讨论均假设为单相流动问题且忽略重力影响。对任意控制体,流量公式可以表示如下:
Qi,j=Ti,jλ(pi-pj)
(1)
式中:Qi,j为单位时间中从网格块i到网格块j的流量;pi、pj为网格块压力;Ti,j为传导率,只与网格和多孔介质属性有关;λ为流度,和流体属性有关。
利用petrel对地质体数据网格剖分完毕之后,最重要的问题就是解决裂缝基质网格之间的传导率。离散裂缝模型的传导率计算可分为基质-基质(M-M)传导率、基质-裂缝(M-F)传导率和裂缝-裂缝(F-F)传导率,如图6所示。

图6 三维离散裂缝模三种传导率示意[5]
Fig.6 Three-dimensional conductivity model of three-dimensional discrete crack model[5]
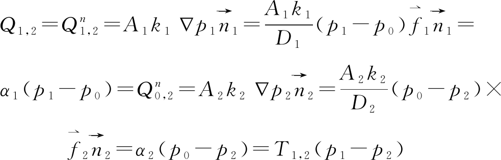
1)基质-基质(M-M)传导率。假设在每个网格内部,压力梯度方向沿着网格控制点与公共边(或公共面)形心连线的方向[13-14],则由流量守恒得:

(2)
式中:A为相邻网格接触面积,
为网格接触面法向量,
为压力梯度方向的单位向量,Qi,j为单位时间网格之间的流量,K为绝对渗透率,D为相邻网格中心间的距离,p为网格压力,Ti,j为网格之间的传导率。
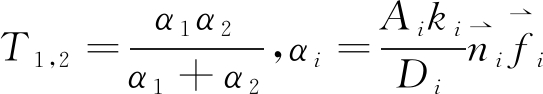
于是得到任意形状的基质网格间传导率的T1,2可通过下式进行计算:
(3)
式中:Ai为网格1、2相交面的面积;ki为网格各自的渗透率;Di为网格中心点到相交面中心点的长度;
为交面指向i网格的单位法向量;
为交面中心点指向i网格中心点的单位方向向量。
2)基质-裂缝(M-F)传导率。在计算传导率的时候,裂缝会被还原成原来的形态,因此基质-裂缝的传导率计算与基质-基质的传导率计算是完全一致的,只是式(3)中的αf变为
αf=Afkf/Di
(4)
3)裂缝-裂缝(F-F)传导率。通常针对裂缝-裂缝模型构建过程中,地质体中2个裂缝网格之间不存在公共面,无法直接使用式(2)进行计算[11,17-18]。为解决公共面不存在的问题,引入体积无穷小的虚拟网格“0网格”进行计算。“0网格”的特点是与相连两条裂缝都是“正交”连接的,即网格中心点连线0-1和0-2分别与其公共面正交。我们的假设是裂缝网格1到裂缝网格2发生的所有流动都是通过“0网格”传导的。因此有:
(5)
式中:Bi为网格i与网格0交面面积,即裂缝网格i的宽度;mi为裂缝网格渗透率。
由于“0网格”为设定为无穷小,即有:

(6)
因此:
(7)
当裂缝出现相交(包括分支、汇合等)情况的时候,会出现3条及以上相交裂缝网格间的传导率计算。与i类似,也在交点处加入“0网格”。
由于在网格中裂缝用线段表示,而在计算模型中考虑了裂缝的宽度,因此会引起总体积不守恒。当裂缝较多的情况下,这种误差就不能忽略。处理的方法是对和裂缝相邻的基质网格做体积修正,即计算基质网格体积时(计算传导率时只用到了中心点和交面的信息,无须修正)要从中减去与之相邻的裂缝网格体积的一半(图7)。

图7 计算模型与网格模型中裂缝网格的区别[9]
Fig.7 Difference between computational model and crack mesh in mesh model[9]
基于非结构化网格,选择双鱼石地区东北部区域(图8),建立三维地质网络模型,构建地层特征。

图8 双鱼石地区非结构化模型区域及原始建模数据
Fig.8 Unstructured model area and original modeling data in Shuangyushi Area
建模区域面积533 km2,该区域囊括了区块最复杂的断层样式及接触关系;建模层位:茅口组、栖霞组断层,区域共有大小断层52条,分别采用常规pillar和自由断面组合2种方法建模;选取3种网格进行三维地质建模,常规角点网格、三棱柱网格、四面体网格;网格设置中角点网格大小为100×100×10,总网格量160万;三棱柱网格大小为平面约50 m,垂向10 m,剖分困难;四面体网格大小为约50 m,总网格量约148万。
沉积相及属性建模过程中由于角点网格剖分质量太差,所以选择在四面体网格的基础上进行沉积相及属性建模,基于沉积相平面图进行确定性沉积相建模,基于井上的测井数据及平面图,进行约束性的序贯高斯属性模拟。
进行三角剖分时,对双鱼石地区使用Delaunay三角剖分表征断层面的几何形态,建立不依赖于pillar的断层面描述方法,能精确的表征弯曲的断层面;复杂断面自动求交,操作简单,提高效率,不受断面形态的影响,精确度高(图9)。

图9 三角剖分断层结构
Fig.9 Triangulation fault structure
基于复杂断层模型进行非结构化四面体网格剖分;剖分的网格质量高,体积均匀,不会有大量扭曲。结果表明,双鱼石地区断层主要以大角度逆冲断层形式产出,断裂延伸长度大,区域大断层伴生有大量的小型断裂(图10)。通过三角剖分技术,可以清楚的显示出双鱼石地区的断裂形态。

图10 双鱼石地区断裂发育特征
Fig.10 Characteristics of fault development in Shuangyushi Area
在剖分的非结构化网格基础上,基于井上的孔隙度、渗透率曲线,利用序贯高斯模拟方法,建立孔隙度、渗透率模型;由于工区的井比较少,所以利用储层厚度图对模型做平面趋势约束;进行渗透率建模时,把孔隙度模型作为约束体,进行协同建模,建立渗透率模型(图11)。

图11 双鱼石地区地层渗透率分布特征
Fig.11 Distribution characteristics of formation permeability in Shuangyu stone area
通过建立孔隙度、渗透率模型,双鱼石地区总体渗透率为0.11%~7.49%,平均渗透率为2.09%。茅口组渗透率为0.11%~7.49%,平均渗透率为2.39%;栖霞组渗透率为0.16%~3.20%,平均渗透率为1.49%。双鱼石地区总体孔隙度为0.01~1.052,平均孔隙度为0.26。茅口组孔隙度为0.01~1.069,平均孔隙度为0.32;栖霞组孔隙度为0.020 0~1.183 7,平均孔隙度为0.139 9。总体上双鱼石地区茅口组与栖霞组渗透率与孔隙度较小,属于致密岩层,不同区域上岩层孔隙度与渗透率有一定程度的变化,西南部渗透率略微高于东北部区域。
表1 双鱼石地区渗透率及孔隙度特征分布
Table 1 List of permeability and porosity characteristics of the Shuangyushi Area

层系渗透率/%最大值最小值平均值孔隙度最大值最小值平均值茅口组7.490.112.620.011.070.14栖霞组9.600.113.090.021.180.32总计9.600.162.800.011.180.26
1)基于petrel建模软件,优化地质构造建模方法,针对获取的地球物理数据提出弱化相交网格剖分方法与非结构化网格法,对复杂构造区高陡构造的地质建模有较好的效果,将该方法运用于四川盆地双鱼石地区,直观有效解释了双鱼石地区断裂构造空间展布特征。
2)利用非结构网格法下的属性插值,建立三角剖分的复杂断层模型,恢复了双鱼石地区主要目标岩层茅口组与栖霞组的地层特征,对断裂切割地层的方式与组合特征有效恢复,区域上结合渗透率和孔隙度模型,得到双鱼石地区渗透率与孔隙度平面分布特征。
3)孔隙度与渗透率模型计算结果表明,双鱼石地区总体渗透率为0.11%~7.49%,平均渗透率为2.09%;孔隙度为0.01~1.052,平均孔隙度为0.26。总体上双鱼石地区茅口组与栖霞组渗透率与孔隙度较小,属于致密岩层,不同区域上岩层孔隙度与渗透率有一定程度的变化,西南部渗透率略微高于东北部区域。
[1] 薛林福,李文庆,张 伟,等.分块区域三维地质建模方法[J].吉林大学学报(地球科学版),2014,44(6):2051-2058.
XUE Linfu,LI Wenqing,ZHANG Wei, et al. A method of block-divided 3D geologic modeling in regional Scale[J]. Journal of Jilin University(Earth Science Edition), 2014,44(6):2051-2058.
[2] 李青元,张洛宜,曹代勇,等.三维地质建模的用途、现状、问题、趋势与建议[J].地质与勘探,2016,52(4):759-767.
LI Qingyuan,ZHANG Luoyi,CAO Daiyong, et al. Usage,status,problems,trends and suggestions of 3D geological modeling[J].Geology and Exploration,2016,52(4):0759-0767.
[3] 张文彪,段太忠,刘彦锋,等.定量地质建模技术应用现状与发展趋势[J].地质科技情报,2019,38(03):264-275.
ZHANG Wenbiao,DUAN Taizhong,LIU Yanfeng, et al. Application status and development trend of quantitative geological modeling[J]. Geological Science and Technology Information, 2019,38(03):264-275.
[4] 江艳平,芦凤明,李 涛,等.复杂断块油藏地质建模难点及对策[J].断块油气田,2013,20(5):585-588.
JIANG Yanping, LU Fengming, LI Tao, et al. Geological modeling difficulties and countermeasures of complex fault-block reservoir[J]. Fault-Block Oil & Gas Field, 2013,20(5):585-588.
[5] 王大华,王金铎,肖永军,等.柴北缘大柴旦地区山前带构造建模及演化研究[J].地学前缘,2016,23(5):1-10.
WANG Dahua, WANG Jinduo, XIAO Yongjun, et al. Structure modeling and evolution of piedmont zone in Dachaidan area north margin of Qaidam Basin[J]. Earth Science Frontiers,2016,23(5):1-10.
[6] 张洋洋,周万蓬,吴志春,等.三维地质建模技术发展现状及建模实例[J].东华理工大学学报(社会科学版),2013,32(3):403-409.
ZHANG Yangyang,ZHOU Wanpeng,WU Zhichun, et al. The development status of 3D geological modeling technology and modeling instances[J]. Journal of East China Institute of Technology( Social Science) ,2013,32(3):403-409.
[7] 黄瑞婕,刘红欣.基于三维地质建模的断裂构造识别技术[J].石油天然气学报,2010,32(2):217-220.
[8] 王 诏,刘 展,安聪荣,等.基于剖面的三维断层建模方法[J].西安石油大学学报(自然科学版),2015,30(6):50-54,61,9.
WANG Zhao,LIU Zhan,AN Congrong, et al. 3D fault modeling method based on profile[J]. Journal of Xi’an Shiyou University ( Natural Science Edition),2015,30(6):50-54,61,9.
[9] 吴志春,郭福生,林子瑜,等.三维地质建模中的多源数据融合技术与方法[J].吉林大学学报(地球科学版),2016,46(6):1895-1913.
WU Zhichun, GUO Fusheng, LIN Ziyu, et al. Technology and method of multi-data merging in 3D geological Modeling[J]. Journal of Jilin University(Earth Science Edition),2016,46(6):1895-1913.
[10] 王彦君,魏东涛,潘建国,等.一种断层相关褶皱定量建模的方法及应用[J].岩性油气藏,2012,24(4):99-103,128.
WANG Yanjun, WEI Dongtao, PAN Jianguo, et al. A quantitative modeling method for fault-related fold and its application[J]. Lithologic Reservoirs, 2012,24(4):99-103,128.
[11] 薛艳梅,夏东领,苏宗富,等.多信息融合分级裂缝建模[J].西南石油大学学报(自然科学版),2014,36(2):57-63.
XUE Yanmei, XIA Dongling, SU Zongfu, et al. Fracture modeling at different scales based on convergent multi-source information[J].Journal of Southwest Petroleum University:Science & Technology Edition,2014,36(2):57-63
[12] 陈更新,赵 凡,王建功,等.分区域多点统计随机地质建模方法:以柴达木盆地辫状河三角洲沉积储集层为例[J].石油勘探与开发,2015,42(5):638-645.
CHEN Gengxin, ZHAO Fan, WANG Jiangong, et al. Regionalized multiple-point stochastic geological modeling:a case from braided delta sedimentary reservoirs in Qaidam Basin, NW China [J]. Petroleum Exploration And Development,2015,42(5):638-645.
[13] 于洪洲.准噶尔盆地西北缘哈拉阿拉特山前复杂构造带建模技术[J].天然气地球科学,2014,25(S1):91-97.
YU Hongzhou. Complicated structure modeling in front-zone of hala'alate mountain of northwestern margin, Junggar Basin[J]. Natural Gas Geoscience,2014,25(S1):91-97.
[14] 何紫兰,朱鹏飞,白 芸,等.复杂地质体三维实体建模方法[J].地质与勘探,2020,56(1):190-197.
HE Zilan,ZHU Pengfei,BAI Yun,et al. 3D solid modeling method for complex geological bodies[J]. Geology and Exploration,2020,56(1):0190-0197.
[15] 李兆亮,潘 懋,韩大匡,等.三维构造建模技术[J].地球科学,2016,41(12):2136-2146.
LI Zhaoliang, PAN Mao, HAN Dakuang, et al. Three-dimensional structural modeling technique[J]. Earth Science, 2016,41(12):2136-2146.
[16] 王 俊,肖立新,刘 翔,等.准噶尔盆地南缘齐古背斜复杂构造建模技术应用[J].新疆地质,2019,37(2):237-241.
WANG Jun, XIAO Lixin, LIU Xiang, et al. Modeling technology application for complex qigu anticline formation on south edge of Junggar Basin[J]. Xinjiang Geology, 2019,37(2):237-241.
[17] 雷德文,刘继山,张越迁,等.构造建模及三维可视化技术在准噶尔盆地的应用[J].新疆石油地质,2012,33(5):589-591.
LEI Dewen, LIU Jishan, ZHANG Yueqian, et al. Application of structure modeling and 3D visual technology to Junggar Basin[J]. Xinjiang Geology, 2012,33(5):589-591.
[18] 王丽宁,陈竹新,李本亮,等.龙门山冲断带北段构造解析及有利区带预测[J].石油勘探与开发,2014,41(5):539-545.
Wang Lining, Chen Zhuxin, Li Benliang, et al. Structural characteristics of the northern Longmenshan fold-thrust belt and the favorable exploration areas, Sichuan Basin, Southwest China [J]. Petroleum Exploration and Development, 2014,41(5):539-545.
[19] 谭锡斌,徐锡伟,李元希,等.龙门山中段中央断裂和前山断裂的晚新生代垂向活动性差异及其构造意义[J].地球物理学报,2015,58(1):143-152.
TAN Xibin, XU Xiwei, LI Yuanxi, et al. Differential Late-Cenozoic vertical motions of the Beichuan-Yingxiu Fault and the Jiangyou-Guanxian Fault in the central Longmenshan range and their tectonic implications[J]. Chinese J.Geophys. (In Chinese) , 2015,58(1):143-152
[20] 乔秀夫,姜 枚,李海兵,等.龙门山中、新生界软沉积物变形及构造演化[J].地学前缘,2016,23(6):80-106.
QIAO Xiufu, JIANG Mei,LI Haibing, et al. Soft sediment deformation structures and their implications for tectonic evolution from Mesozoic to Cenozoic in the Longmenshan[J]. Earth Science Frontiers,2016,23(6):80-106.
[21] 孟 文,陈群策,吴满路,等.龙门山断裂带现今构造应力场特征及分段性研究[J].地球物理学进展,2013,28(3):1150-1160.
MENG Wen, CHEN Qunce,WU Manlu, et al. Research on segmentation and characteristic of tectonic stress field of Longmcnshan Fault Zone[J]. Progress in Geophys, (In Chinese), 2013,28(3):1150-1160.
[22] 杨跃明,陈 聪,文 龙,等.四川盆地龙门山北段隐伏构造带特征及其油气勘探意义[J].天然气工业,2018,38(8):8-15.
YANG Yueming, CHEN Cong, WEN Long, et al. Characteristics of buried structures in the northern Longmenshan mountains and its significance to oil and gas exploration in the Sichuan Basin[J]. Nature Gas Ind. ,2018,38(8):8-15.
[23] 梁 瀚,肖富森,冉 崎,等.四川盆地龙门山前复杂构造带北段精细构造建模及对油气勘探的启示[J].天然气工业,2018,38(11):26-32.
LIANG Han, XIAO Fusen, RAN Qi, et al. Accurate structural modeling on the northern section of complex structural belt at Longmenshan piedmont in the Sichuan Basin and its implications for oil and gas exploration[J]. Nature Gas Ind.,2018,38(11):26-32.