
移动扫码阅读
近奥灰承压水和薄隔水层条件给矿井的安全生产造成威胁,为更好地开展矿井防治水工作,开展该地质条件下的底板岩体变形破坏机制研究。在我国,受到奥灰水威胁的矿井有很多,有的矿区煤层距奥灰较远,隔水层厚,但中间夹有薄层灰岩含水层,深部开采时突水灾害威胁很大[1],如邯邢、开滦、焦作、山东甚至两淮矿区的深部带压开采都属于此类情形;有的隔水层薄,距奥灰近,如龙王沟矿属于此类情形,而且煤层厚度巨大(20 m以上),底板破坏剧烈、中间薄隔水层、底部奥灰极容易导通,而且在遇到破碎带及断层时,危险性增加,这给矿井安全生产带来很大威胁,需对底板岩体变形破坏机制进行研究,为防治水工作提供支撑。在底板岩体破坏方面,相关研究成果很多。如文献[2-3]提出了最早的“下三带”理论;黎良杰等[4]建立了采场底板突水的KS理论;文献[5-7]分析裂隙变形与突水的关系,研究了采动对岩体孔隙-裂隙类型升降变化的影响;王作宇等[8]提出原位张裂与零位破坏理论等。即使如此,受到复杂地质条件的影响,具体问题还应具体分析,理论应用时需要考虑具体边界条件。因此,以近奥灰、厚煤层和薄隔水层为背景开展底板岩体变形破坏机制研究。分析岩层结构特点,构建近奥灰薄隔水层底板岩层变形薄板模型,分析岩层在弹塑性条件下动变形特征和变形机制;分析地质力学环境确定应力边界条件,对底板岩体位移进行数值求解,得到了基于底板岩层变形的全程位移曲线、岩板受力分布和变形破坏形态,为矿井防治水工作提供支持。
龙王沟矿内煤层距离奥灰近,开采时受到突水威胁,需要研究底板破坏规律,为防治水工作提供依据。该矿位于准格尔煤田水文地质单元中部,是我国大型煤炭基地。主采煤层厚度在20 m以上,寒武奥陶系岩溶裂隙水至主采6号煤的平均距离为48 m,减去底板破坏深度后中间隔水层非常薄,底板岩层层位如图1所示。中间岩层以砂岩和砂质泥岩为主,煤层距马家沟组灰岩近。而且,在岩溶水发育区,岩溶水可通过封闭不良钻孔、断层构造破碎带、底板扰动裂隙带、岩溶陷落柱进入矿坑,是矿井最危险的充水水源,具有水量巨大、不易疏干的特点。而且煤层开采厚度大,底板破坏剧烈,隔水层薄、距奥灰近,给开采带来很大的困难,需要进行底板岩层移动破坏研究。

图1 矿井地层结构
Fig.1 Mine stratum structure
煤层开采导致底板岩层发生移动破坏,奥灰顶部风化条件下底板岩层变形破坏形态如图2所示。以风化带和底板破坏区为分界层,底板岩层从上而下可分为底板破坏区、中间岩层、奥灰顶部风化岩层和奥灰含水层。

图2 近奥灰薄隔水层底板破坏形态
Fig.2 Floor failure pattern with thin aquifuge near Ordovician limestone
底板破坏区是支承压力作用下压剪破坏区,其下方是中间较完整岩层,在煤层开采后,底板上方垂向应力解除,导致底板岩体状态的应力状态转换,由三向应力状态转换为两向应力状态或者单向应力状态。中间岩层受到扰动时间滞后煤炭开采。奥灰顶界面风化岩层是在成岩过程中形成的,风化岩层原是奥灰岩层,约从晚奥陶纪至中石炭纪,长期遭受风化剥蚀。奥灰含水层,岩性坚硬,强度大,裂隙发育不均,具有导水性。
龙王沟矿地面标高+1 200.5~+1 274.8 m,开采工作面埋深352~395 m。经典矿山压力理论[9-10]中,支承压力作用下,根据地基破坏机理形成的底板破坏深度Dmax为

(1)
式中:L为极限平衡区宽度,m;φ为岩体内摩擦角,(°)。
极限平衡区理论计算值偏小,采用数值解,参考工作面推进到工作面长度1/2(120 m)时,支承压力核区距煤壁约20 m,如图3所示。代入式(1)计算得到最大底板破坏深度Dmax=33 m。

图3 工作面开挖120 m支承压力
Fig.3 Abutment pressure with working face excavation length of 120 m
2.3.1 中间层薄板变形机制
通过现场钻孔的岩心特征分析得到肥城煤田距奥灰顶界面10 m的深度范围内,奥灰裂隙发育,岩心破碎,取心率低[11],奥灰顶界面风化岩层强度较低。龙王沟奥灰顶界面风化带按照5 m计算,薄板厚度约为10 m。工作面斜长250 m,当工作面推进到120 m时,中间岩层在几何尺寸上符合薄板特征,按照薄板理论进行分析。而且当薄板的最大挠度小于薄板厚度的1/5时,属于薄板小挠度弯曲问题。
设有矩形薄板,长为2a,宽为2b,假设四端为固定端约束,底部为分布力约束。忽略中间岩层上方的破坏岩体重力影响,中间岩层的简化模型符合薄板弯曲模型,如图4所示。开采后,压剪破坏区下方的完整底板岩体为四边固定的薄板,受到均布载荷作用(水平地应力的分量σ′)。

图4 工作面推进120 m岩层变形实例
Fig.4 Calculation example of rock deformation with mining 120 m advance in working face
弹性薄板的基本微分方程:D▽2▽2w=q,其中,
为挠度;q为单位面积横向载荷;
为薄板的弯曲刚度,h为板厚,E和μ分别为材料的弹性模量和泊松比。
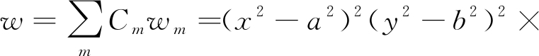
薄板的固定边条件是(w)x=±a=0,(∂w/∂x)x=±a=0;(w)y=±b=0,(∂w/∂y)y=±b =0。取挠度表达式为
![]()
(C1+C2x2+C3y2+…)
(2)
式中:Cm为互不依赖的待定系数;wm为满足全部边界条件的函数;m取1,2,……。
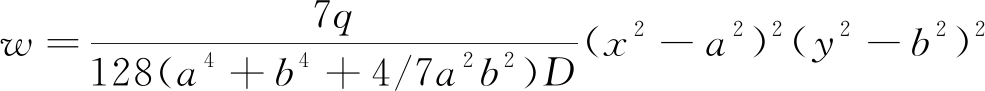
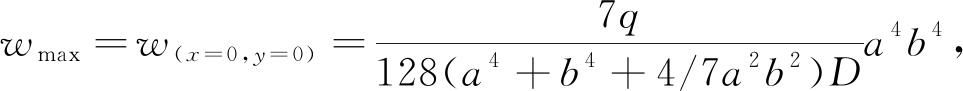
假设式(2)中只取一个系数C1,该式满足薄板四周固定的位移边界条件,用伽辽金法求解得到薄板的挠度方程为
(3)
取a=125 m,b=60 m,满足薄板的特征。h=10 m,弹性模量E=30 GPa,泊松比μ=0.3。煤层开采后,不考虑岩层自身重力时,在坐标系x′oy′中,采空区下方岩层仅受水平应力的分量σ′的作用时,按照煤层倾角为5°,计算得到应力分量为0.69 MPa,为计算方便暂视为弹性薄板基本微分方程中的均布分布载荷q。
将以上数值代入
计算得到中间岩层的最大变形为0.15 m。
2.3.2 裂纹型中间岩层破坏机制分析
一般条件下,地层岩体中有裂纹存在,或多或少,既与岩层的形成过程有关,又或是受到后期地应力的作用影响。裂纹的存在大幅增加了突水的危险性,若在底板岩层中存在裂纹,如图5a所示。在局部坐标系x′oy′中,在地应力分量σ′作用下,按照横力弯曲梁的正应力计算公式σ=(M/Iz)y′,M为岩层承受弯矩,Iz为横截面对中性轴的惯性矩,y′为至中性轴的距离。当拉应力区内应力达到岩层强度时,岩层发生破坏。当底板岩层存在裂纹时,则更加危险。

图5 张拉型裂纹薄板岩层剖面
Fig.5 Tensile cracks and rock beam model
基于薄板结构剖面模型,垂向上,受到底板垂向应力作用的过渡区分为受拉区和受压区,以梁的中性面为界,上方为拉应力区,下方为压应力区,如图5b所示。各区域中的裂纹受力不同,受拉区内,岩体中的裂纹满足I型张开型裂纹条件,当应力达到阈值,裂纹扩展。
I型应力强度因子
其中裂纹长度为2t;Y为修正系数;σ为作用在裂纹顶端处应力,即梁的正应力。当围岩应力达到裂纹的贯通强度时,岩体中的裂隙开始扩展贯通,裂隙继续发育。理论上,当岩体中存在裂纹时,裂纹附近的集中应力可以趋于无穷大(σ→∞),裂纹一旦扩展,便持续增加,直至断裂。尽管实际情况并非如此(因此裂纹尖端存在塑性区),但是裂纹的存在增加了突水的危险性。
龙王沟井田位于准格尔煤田中北部,地层走向近SN,倾向W,倾角多在5°以下,在井田局部区域(标高+700~+840 m)存在1个较大的挠曲带(图6),其走向平行且近似SN,向西倾斜,由于前期受到水平地应力的挤压形成[12-14]。开采工作面空间位置如图6所示。

图6 应力边界与工作面位置
Fig.6 Stress boundary and working face position
矿井酸刺沟(准格尔煤田南部)煤矿地应力测试表明[15]存在一种σHV型(σH>σV>σh)地应力场,σH、σv、σh分别为最大水平主应力,垂直主应力,最小水平主应力。设以开采方向为法线的斜截面的外法线n与主应力方向夹角为α,参考酸刺沟最大水平主应力,最大主应力σ1取7.94 MPa,最小主应力σ3取6.70 MPa,则该斜截面上的正应力σn和切应力τ分别为
(4)
(5)
工作面开采方向为法线的斜截面的外法线n与主应力方向夹角为α取38°。计算得到σn=7.47 MPa;τ=0.6 MPa。同理,可计算与外法线为n的斜截面相垂直面的正应力
和切应力τ′。
地面标高+1 200.5~+1 274.8 m,开采工作面埋深352~395 m。模型中选用的顶底板岩层力学参数见表1 [16]。模型长度600 m,宽度500 m,数值模型如图7所示。
表1 顶底板岩体力学参数
Table 1 Mechanical parameters of roof and floor rock mass

岩性泊松比弹性模量/GPa内摩擦角/(°)黏聚力/MPa抗拉强度/MPa煤层0.143.9151.50.7奥灰顶部风化岩层0.203.8201.00.5泥岩0.246.0122.70.9奥灰岩层0.3050.0407.15.3砂质泥岩0.2831.0363.41.2中粗砂岩0.3128.5356.01.5砂岩0.2222.0336.21.6粗砂岩0.3323.0356.41.5底板岩层0.3050.0407.15.3

图7 底板破坏数值模型
Fig.7 Numerical model for floor failure
1)岩层的受力状态。煤层开采造成底板破坏,包括剪切破坏和拉破坏。设定底板变形0.5 m时,得到采空区下方直接底板岩层受力大小及状态,如图8所示。两端受压中间受拉,形成类似薄板结构(图8b),岩层受到向上的最大垂向应力1.18 MPa,加快了岩层的破坏。

图8 岩层受力状态
Fig.8 Stress state of rock stratum
2)塑性破坏区特征。近奥灰特厚煤层开采的底板破坏形态(图9)显示,底板岩层破坏包括2部分:底板破坏区和风化带为中心的破坏区。风化带受扰动容易破坏,而且破坏区会向上方发育。工作面开挖250 m×250 m时,底板岩层或发生拉破坏或剪破坏,破坏区贯穿风化岩层上方的整个底板岩层。

图9 塑性破坏区形态
Fig.9 Shape of plastic failure zone of surrounding rock masses
3)监测点位移分析。测点布置,沿着工作面推进方向布置10条纵向测线,其中5号测线距离开切眼100 m,每条测线在垂直方向布置12个测点,其中,57、58号测点布置在风化岩层中,风化带上方布置51~56号测点,下方布置59~512号测点。监测点位移曲线如图10所示。
工作面回采250 m时,5号测线12个监测点瞬态位移变化如图10a所示,垂向上,监测点位移曲线存在2个明显的拐点,将12个监测点位移分为3段:[51,56]、[57,58]和[59,512],3段曲线分别对应着风化段上方岩层、风化段和奥灰层。56号位移0.196 m,57号位移0.137 m,58号位移0.09 m,59号位移0.012 m。奥灰顶部风化段对底板岩层变形影响明显。

图10 监测点位移变化曲线
Fig.10 Displacement curve of monitoring points
监测点开采前、开采中和开采后的全程位移曲线如图10b所示。全程位移曲线与各点的位移曲线变化规律一致。根据监测点位移大小,12个测点的位移曲线可分为3类。12个测点的监测位移曲线以风化带为界分为3类:[51,56]、[57,58]和[59,512](图10b),亦分别对应3种底板岩层:风化段上方岩层、风化段和奥灰岩层。
1)构建了风化带影响下底板岩体变形破坏模型,以垂向上底板岩层变形的差异性为基础,计算得到了特厚煤层开采时底板破坏区深度,从理论上分析弹塑性条件下风化带上方完整岩层的扰动变形特征和基于I型应力强度因子的裂纹型岩层拉伸破坏机制。
2)计算结果表明岩层两端受压中间受拉,形成类似薄板结构,岩层受到向上的垂向应力,加快了岩层的破坏;岩层破坏通过底板破坏区和风化带破坏区向中间不断发育贯通。特厚煤层开采时,破坏区能够贯穿风化岩层上方的整个底板岩层。
3)监测点瞬态位移变化表明监测点位移曲线垂向上存在2个明显的拐点,将12个监测点位移曲线分为3段,分别对应着风化段上方岩层、风化段和奥灰层,奥灰风化带对底板岩层变形影响明显,需要采取相应加固措施。
[1] 尹尚先,王 屹,尹慧超,等.深部底板奥灰薄灰突水机理及全时空防治技术[J].煤炭学报,2020,45(5):1855-1864.
YIN Shangxian,WANG Yi,YIN Huichao,et al. Mechanism and full-time-space prevention and control technology of water inrush from Ordovician and thin limestone in deep mines[J]. Journal of China Coal Society,2020,45(5):1855-1864.
[2] 荆自刚,李白英.煤层底板突水机理的初步探讨[J].煤田地质与勘探,1980,8(2):51-56.
JING Zigang,LI Baiying. Preliminary study of water-inrush from floor[J].Coal Geology and Exploration,1980,8(2):51-56.
[3] 李白英.预防矿井底板突水的“下三带”理论及其发展与应用[J].山东矿业学院学报(自然科学版),1999,18(4):11-18.
LI Baiying.“Down Three Zones” in the prediction of the water inrush from coalbed floor aquifer-theory,development and application[J].Journal of Shandong Institute of Mining and Technology(Natural Science),1999,18(4):11-18.
[4] 黎良杰,钱鸣高,李树刚,等.断层突水机理分析[J].煤炭学报,1996,21(2):119-123.
LI Liangjie,QIAN Minggao,LI Shugang,et al.Mechanism of water inrush through fault[J]. Journal of China Coal Society,1996,21(2):119-123.
[5] 许延春,李见波.注浆加固工作面底板突水“孔隙-裂隙升降型”力学模型[J].中国矿业大学学报,2014,43(1):49-55.
XU Yanchun,LI .lianbo. “Pore-fractured lifting type” mechanical model for floor water inrush of the grouting enforcement working face[J]. Journal of China University of Minin g & Technology,2014,43(1):49-55.
[6] 许延春,李见波.注浆加固防治底板突水机理与应用[M].北京:煤炭工业出版社,2017.
[7] LI Jianbo.Water inrush from pregrouting fractures induced by min-
ing activities and its engineering control method optimization[J]. Advances in Civil Engineering,2019(5):1-10.
[8] 王作宇,刘鸿泉.承压水上采煤[M].北京:煤炭工业出版社,1993,14-17.
[9] 郑大同.地基极限承载力计算[M].北京:建筑工业出版社,1979:73-77.
[10] 钱鸣高,石平五.矿山压力与岩层控制[M].徐州:中国矿业大学出版社,2003:61.
[11] 施龙青,邱 梅,牛 超,等.肥城煤田奥灰顶部注浆加固可行性分析[J].采矿与安全工程学报,2015,32(3):356-362.
SHI Longqing,QIU Mei,NIU Chao,et al.Feasi bility analysis of grouting reinforcement of Ordovician top in Feicheng coalfield[J]. Journal of Mining and Safety Engineering,2015,32(3):356-362.
[12] 巨江鹏.龙王沟矿特厚煤层综放面矿压规律研究[D]. 西安:西安科技大学,2015.
JU Jiangpeng. Research on strata behavior regularity of fully mechanized face with extra-thick coal seam of Long Wang Gou Coal Mine[D]. Xi’an: Xi’an University of Science and Technology,2015.
[13] 折 智.龙王沟矿6上煤采空区下特厚煤层综放面矿压规律研究[D]. 西安:西安科技大学,2015.
ZHE Zhi.Research on strata behavior regularity of fully mechanized face under on 6 coal mining goaf of Long Wang Gou Coal Mine[D]. Xi’an :Xi’an University of Science and Technology,2015.
[14] 马海军.准格尔煤田龙王沟井田成煤环境及煤层厚度变化规律的分析[J]. 内蒙古石油化工,2006(5):38-40.
MA Dengjun.Analysis of coal forming environment and coal seam thickness change rule in longwanggou mine field of Zhungeer Coal Field[J]. Inner Mongolia Petrochemical Industry,2006(5):38-40.
[15] 张新荣.酸刺沟煤矿地质力学测试及其应用[J].煤矿开采,2012,17(1):30-33,99.
ZHANG Xinrong.Geomechanical parameters test and its application in Suancigou Colliery[J]. Coal Mining Technology,2012,17(1)30-33,99.
[16] 杨 浩.大采高综放工作面覆岩结构与支架载荷研究[D]. 西安:西安科技大学,2017.
YANG Hao. Study on strata structure & the load on support in large mining height top coal caving workface[D]. Xi’an:Xi’an University of Science and Technology,2017.