煤层气开采兼具能源利用、煤矿安全生产和生态环境保护等三重优势[1-3]。滇东-黔西煤层气资源储量约占全国10%,是继鄂尔多斯盆地东缘和沁水盆地之后的又一煤层气开采甜点区[4]。该地区煤层具有层数多而薄、不同物性煤岩层在垂向上交替频繁、储层间存在较大能量差异等赋存特点,学者们称之为“多层叠置含气系统”[5]。这一复杂的赋存条件,为高效开发煤层气带来了困难。鉴于此,学者们提出了单层开采、合层开采(合采)、接替开采和递进开采等增产制度,并认为合采是一种相对理想的开采制度[6-8]。
针对煤层气合采方面的研究,国内外学者取得了丰硕成果。在工程现场试验方面,美国在皮森斯盆地开展了埋深为1 560~2 560 m的煤层气合采试验,发现了65口单井煤层气产量稳定在10 890 m3/d左右[9-10];王家鹏[11]以云南老厂雨旺区块为研究对象,指出合采过程中应遵循“缓慢、稳定、连续、长期”的原则;孟艳军等[12]以柳林地区为例,指出储层物性差异,是造成层间干扰和流体“倒灌”的主要原因。在数值模拟试验方面,ZHAO等[13] 获得了两层合采过程中的流体运移规律,指出层间渗透率差是发生层间干扰的主要原因;赵岩龙[14] 采用灰色格子 Boltzmann 方法,开展了不同渗透率级差条件下的煤层气合采数值模拟研究,分析了合采过程中的层间扰动机理;张军建[15]针对典型煤层气井,开展了多层合采数值模拟研究,探讨了合采过程中孔渗动态变化规律。在物理模拟试验方面,彭守建等[16]针对叠置含气系统成藏条件,研制了多层叠置含气系统煤层气开采试验装置,探讨了合采过程中的储层参数变化规律;梁冰等[17]通过控制井底流压和回压,模拟了层间距对合采效果的影响;笔者[8]开展了层间压差为0.4 MPa的煤层气合采物理模拟试验,探讨了开采制度对流体运移特性的影响。
关于煤层气合采方面的研究,国内外学者已经开展了大量工作,且证实了物理模拟试验是一种重要的研究技术。然而,关于不同层间压差条件下的煤层气合采研究较少。鉴于此,本笔者通过自主研发的多层叠置含气系统煤层气合采物理模拟试验装置,开展不同层间压差条件下的煤层气合采试验,以探究储层流体动态响应规律,并系统分析层间压差对低压储层的压力、流体和产气的扰动机理。
煤层气合采试验,采用重庆大学具有自主知识产权的多层叠置含气系统煤层气开采物理模拟试验装置开展。装置主要包括叠置煤层试件箱体、主体承载支架、油泵加载系统、煤层气开采系统和数控系统[7],可以在室内模拟不同埋深、储层压力、层间距等条件下的煤层气合采全过程,并能同步实时监测采集储层压力、煤体温度、煤体变形和产气量等多物理场参数。试验装置如图1所示。

图1 多层叠置含气系统煤层气开采物理模拟试验装置
Fig.1 Physical simulation test device for commingled production of multi-layer superimposed CBM system
叠置煤层试件箱体是在单一煤层试件箱体的基础上重新升级改造而成[19],试件箱体内部容积由原来的1 050 mm×410 mm×410 mm调整为1 050 mm×400 mm×400 mm,通过增加箱体壁厚度来提高箱体承载能力和提高其密封能力,箱体最大加载应力为10 MPa,最大密封压力为6 MPa。试件箱体底部重新设计加工了4个独立的透气钢板,保证煤层充气吸附过程可独立进行,同时,使得事件箱体由原先的“一井采一层”升级为“一井采四层”,即试件箱体内部可铺设4套独立含煤层气系统,每个煤储层体积为212 mm×380 mm×390 mm。试件箱体内部有效尺寸大,能降低边界效应的影响。此外,相邻煤储层之间、箱体四壁与煤储层之间均设置隔水阻气层(图2),从而为构建拥有4套不同压力系统的叠置煤层提供硬件基础。
针对黔西地区叠置煤层具有“煤层数多、煤层薄、煤层累计厚度大”的特点,且合采层数以4层居多[6-8,20],因此,从4层煤储层叠置出发,研究4层合采过程中的流体动态响应特征。结合试验装置特点,构思了叠置煤层示意图,如图2a所示。即煤层由上至下依次设计Ⅰ、Ⅱ、Ⅲ、Ⅳ号煤层,煤层之间铺设隔水阻气相似材料,起到隔水阻气的作用。

图2 煤层设计
Fig.2 Coal seam design
模拟材料的选取主要包括煤储层型煤相似材料和隔层相似材料。①型煤相似材料的配制,试验煤样取自贵州省金佳煤矿,型煤由不同粒径(0~0.15 mm,0.15~0.18 mm,0.18~0.25 mm,0.25~0.425 mm)的原煤煤粉、石膏和乳白胶按一定的质量比配比而成[4]。乳白胶主要作用是增强煤样塑性,石膏粉的作用是增强煤样强度。②隔水阻气相似材料的选取,叠置煤层之间常发育有高度隔水阻气作用细粒碎屑岩致密岩层,使得垂向上不同煤储层之间水力相互封闭,因此,隔水阻气层材料选取封隔性强的黏土,选用重庆市歌乐山的黄泥作为隔层相似材料骨料,同时添加石膏和乳白胶作为配料,并按照一定的优化配比方案配制[7]。配制的隔层相似材料具有较好的密封能力,能有效防止层间串流,其次,隔层材料的可塑性高,能够很好的填充与设备接触区域,使得煤储层具有较好的包裹效应,形成包裹体(图2b);最后,隔层材料的低强度特性能够保证应力加载过程中的应力传递。型煤相似材料和隔层材料的力学与渗透特性以及优化配比方案表以及煤样基本物性数据见文献[7-8,16]。
储层流体能量差异是影响多层叠置含气系统煤层气合采兼容性的重要因数,而层间压差是储层流体能量差异的直接反映。因此,制定层间压差分别为0.2、0.4和0.6 MPa的3组煤层气合采试验方案。具体试验方案见表1。需要指出的是:由于试件箱体较大,出于安全角度考虑,试验过程中使用CO2代替CH4;σHⅠ~σHⅣ分别为Ⅰ~Ⅳ号煤层最大主应力;σv为Ⅰ~Ⅳ号煤层中间主应力;σhⅠ~σhⅣ分别为Ⅰ~Ⅳ号煤储层最小主应力;PⅠ~PⅣ分别为Ⅰ~Ⅳ号煤储层初始储层压力。
表1 模拟试验方案
Table 1 Simulation test scheme

编号初始储层压力/MPaⅠ号煤层Ⅱ号煤层Ⅲ号煤层Ⅳ号煤层含水率/%11.01.21.41.621.01.41.82.231.01.62.22.86.0
试验步骤主要包括:①型煤制备,现场取样→破碎→筛分→烘干→搅拌。②试件成型与传感器安装,试件需要分4次进行成型,每次成型过程都需要进行传感器的安装,成型压力为7.5 MPa,保压时间为1 h,储层压力传感器布置如图3所示(图中P1~P40为测点1~40处的压力)。③箱体密封性检查,煤储层内部密封性检查借助氦气检查法,箱体盖板连接处的密封性检查借助肥皂水。④抽真空脱气。⑤地应力加载,各煤层的最大主应力、中间主应力和最小应力分别加载至5、4和3 MPa[16]。⑥充气吸附,在充气吸附之前先进行地应力加载,然后再进行充气吸附,吸附时间48 h[7]。⑦煤层气合采,待各煤层储层压力吸附平衡时,打开出口阀门,进行煤层气合采。⑧合采结束后改变试验方案,并开展下一次试验。

图3 传感器布置示意
Fig.3 Sensor layout
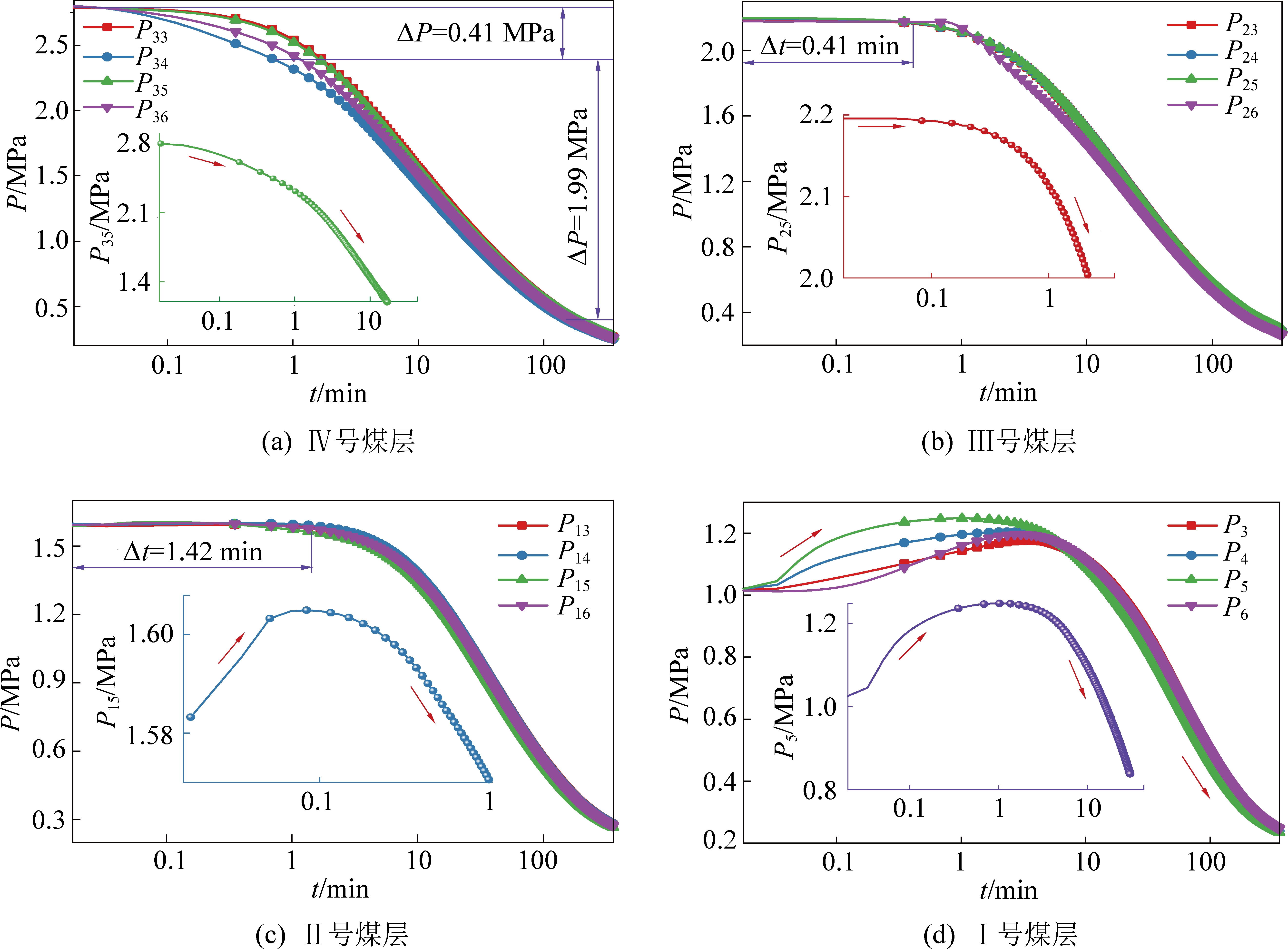
基于前期对储层压力时空演化规律[18]的认识,可知储层压力在X、Y、Z方向的演化特征具有相似性。因此,以X轴向的测点为例,分析合采过程中的储层压力动态演化,如图4所示。根据图4a可知,Ⅳ号煤层的储层压力具有阶段性变化特征,各阶段的压降速率大小存在明显差异。在合采瞬间,在压力梯度的驱使下,储层压力从2.8 MPa开始缓慢减小,压降速率小,储层压力下降量约为ΔP=0.41 MPa,即为阶段1。随着合采的进行,气体运移进入阶段2,储层压力骤降速率增加,储层压力下降量约为ΔP=1.99 MPa。当合采进入阶段3时,储层压力已经接近枯竭压力,储层压力梯度减小,气体运移困难,压降速率减缓。观察图4b、图4c可知,Ⅱ号、Ⅲ号煤层的储层压力演化规律与Ⅳ号煤层相似,即储层压力呈阶段变化,先缓慢减小,后急速骤降,最后又缓慢降低。然而,通过进一步仔细对比观察图4a—图4c,可以发现,Ⅱ号、Ⅲ号、Ⅳ号煤层的储层压力演化也存在微小差异,这种差异主要发生在阶段1,表现为Ⅳ号煤层在阶段1的储层压力存在微小下降趋势,Ⅲ号煤层在阶段1的储层压力存在延迟骤降现象,持续时间约为Δt=0.41 min,Ⅱ号煤层次之,约为Δt=1.42 min。对比观察图4d可知,尽管Ⅰ号煤层储层压力演化同样呈现阶段变化,但就阶段一而言,Ⅰ号煤层储层压力呈现明显上升现象,这和Ⅱ号、Ⅲ号、Ⅳ号煤层存在显著差异。基于上述分析可以得出以下结论:在多层叠置含气系统煤层气合采过程中,储层压力演化过程可被分为3个阶段,就阶段1而言,各煤层储层压力演化具有明显差异(具体差异后续分析),当开采至阶段2、阶段3时,各煤层储层压力均呈现先急速骤降,后缓慢减小的变化规律。
为了进一步细化了解合采过程中的储层压力演化类型,对阶段一进行局部放大处理,由图4中的局部放大图可知,Ⅳ号煤层储层压力呈急速骤降的变化趋势,Ⅲ号煤层储层压力演化呈现先线性变化后缓慢减小的规律,Ⅰ号、Ⅱ号煤层呈现先上升后下降的变化趋势,其中Ⅰ号煤层上升幅值最大,最大上升至1.25 MPa,Ⅱ号煤层上升幅值相对较小,最大上升至1.61 MPa。即储层压力演化可被划分为3种类型,第1种类型为骤降型,储层压力呈现非线性减小的变化趋势,以Ⅳ号煤层为代表;第2种类型为屏蔽型,储层压力演化先呈现维持初始储层压力不变,后缓慢减小,以Ⅲ号煤层为代表;第3种类型为倒灌型,储层压力演化呈现先上升至峰值,后缓慢减小,以Ⅰ号、Ⅱ号煤层为代表。

图4 储层压力时间演化曲线
Fig.4 Time evolution curve of reservoir pressure
分析认为:针对多层叠置含气系统煤层气合采,一个煤储层可视为一个独立的能量体,井筒连通了不同的储层压力煤层,即连通了不同的能量体,煤储层系统之间能量动态平衡状态遭到破坏,为寻求新的动态平衡,流体会从高能量含气系统向低能量含气系统转移。如果不同含气系统之间流体能量差异显著,则较高能量系统的流体倒灌进入较低能势系统中,如果不同含气系统之间流体能量差异相对较小,则较高能量系统的流体会屏蔽或抑制低能量含气系统的流体释放[5,20]。
在对比分析层间压差对储层压力的影响时,由于Ⅱ、Ⅲ、Ⅳ号煤层的初始储层压力不同,不具有对比性,因此,在对比分析层间压差对储层压力的影响时,仅对比Ⅰ号煤储层(以测点P5为例)。由图5层间压差对储层压力演化的影响可知,当层间压差分别为0.2、0.4和0.6 MPa时,P5分别上升至1.05、1.16和1.25 MPa,恢复产气时间,即储层压力从1 MPa开始下降的时间依次增加。

图5 层间压差对储层压力演化的影响
Fig.5 Effect of interlayer differential pressure on reservoir pressure evolution
由此可以得出结论,不同层间压差条件下的多层叠置含气系统煤层气合采过程中,低压储层受到的层间干扰程度不同,层间压差增大会扩大煤储层间的物性差异,致使层间干扰加剧,合采兼容性变差,最终呈现随着层间压差的增加,低压煤储层储层压力回升幅值增大,恢复产气时间增加。
根据上述分析可知,低压煤储层压力演化可分为扰动阶段(储层压力上升阶段)和非扰动阶段(储层压力骤降阶段)。为进一步细化分析合采对低压储层的影响,选取合采至t=0.5 min(扰动阶段)和t=50 min(非扰动阶段)时的XY平面的各测点储层压力值,绘制了流体流动场演化图,如图6所示。图6中的箭头表示流体流动方向,箭头越长表示流速越大;曲线表示储层压力等值线,等值线越密集表示储层压力梯度越大。流场绘制方法参考文献[7-8]。
由图6a—图6c可知,在扰动阶段,合采至t=0.5 min时,开采管附近区域的矢量箭头均指向四周,形成明显离心流,越靠近开采管,箭头长度越长。储层压力呈现以开采管为中心向四周骤降,流体流动方向和压力减小的方向一致。而造成离心流原因是:反向流动的流体倒灌进入Ⅰ号煤储层,即井筒和煤储层之间动态压力平衡作用,使一部分流体向Ⅰ号煤储层反向注入。距开采管远端区域的矢量箭头没有明显指向性,同时长度很小,表明这种反向流动形成的干扰效应并未对全部煤储层造成影响。通过进一步对比图6a—图6c可知,随着层间压差的增大,箭头长度逐渐变长,储层压力等值线逐渐变得密集,即层间压差越大,离心流现象越明显,储层扰动范围越广,造成上述现象原因是:过大的层间压差加剧了层间干扰现象,使储层内部流动状态发生变化。
由图6d—图6f可知,在非扰动阶段,开采管附近的矢量箭头均指向开采管,且越靠近开采管,箭头长度越长,流体流动速度越快。储层压力等值线以开采管为中心近似呈圆环形分布,储层压力等值线密度随着距开采管中心距离的减小而增大。储层压力以开采管为中心从内到外逐渐增加,流体运移是明显的向心流。

图6 层间压差对流体流动场的影响
Fig.6 Effect of interlayer pressure difference on fluid flow field
煤层气产能是评价合采效果的直接体现。q1、q2、q3和q4分别表示Ⅰ、Ⅱ、Ⅲ和Ⅳ号煤储层的瞬时流量,累积流量Q和产能贡献率X″的命名规则同上。瞬时流量q可通过流量计直接监测采集,累积流量Q是通过瞬时流量的积分获得,产能贡献率X″表示单一煤层的累积流量占叠置煤层总累积流量的百分比。
由于Ⅱ、Ⅲ、Ⅳ号煤层的初始储层压力不同,不具有对比性,因此,在对比分析层间压差对煤层气产能的影响时,仅对比Ⅰ号煤储层,如图7a~图7c所示。由图可知,当存在层间压差时,在合采的瞬间,Ⅰ号煤储层的产气为负值,即储层流体释放遭到屏蔽,甚至发生了流体倒灌现象。当层间压差分别为0.2、0.4和0.6 MPa时,q1分别为-1.99、-3.89和-10.37 L/min,恢复产气时间,即瞬时流量q1从0开始增加的时间分别为0.68、3.74和5.54 min。累积流量Q1在合采瞬间为负值,表明发生了流体倒灌,随着层间压差的增大,流体倒灌量依次为0.42、3.73和7.97 L,随着合采的进行,煤层气逐渐恢复产气,合采至360 min时,合采累积流量依次为218.74、208.61和192.21 L,即随着层间压差的增大,低压储层的合采累积流量反而减小。从产能贡献率变化曲线可以看出,合采瞬间,Ⅰ号煤储层为负值,随着开采的进行逐渐增加,合采至360 min时,产能贡献率分别为20.61%、17.19%和14.62%。

图7 层间压差对煤层气产能的影响
Fig.7 Effect of interlayer pressure difference on CBM productivity
综上所述,在多层叠置含气系统煤层气合采过程中,由于储层之间存在能量差异,使得低压储层产气受到屏蔽或抑制,储层间能量差异越小,流体倒灌量越小,而随着储层间能量差异的增大,煤层气产量反而减小,产能却降低。因此,在进行多层叠置含气系统煤层气合采时,应优选层间压差较小的煤储层进行合采,降低层间干扰,优化合采兼容性,避免煤储层发生流体倒灌和产气抑制现象[20]。
1)在煤层气合采过程中,储层压力演化具有阶段性变化特征,储层压力变化曲线可分为骤降型、屏蔽型和倒灌型。层间干扰主要发生在合采初期,使得流体运移呈现离心流变化规律,表明煤层气发生反向流动,且反向流动主要发生在开采管附近。
2)一个煤储层可视为一个独立的能量体,合采时,井筒连通了不同的能量体,不同含气系统之间能量动态平衡状态遭到破坏,使得流体会从高能量含气系统向低能量含气系统转移。含气系统之间流体能量差异小时,高能量系统的流体会屏蔽或抑制低能量含气系统的流体释放,随着流体能量差异的增大,则高能量系统的流体会倒灌进入低能势系统中。
3)增大层间压差,层间干扰现象加剧,合采兼容性变差,储层压力回升幅值增大,煤层气流场离心流范围扩大,储层伤害面积增广。层间压差从0.2 MPa增加至0.4 MPa和0.6 MPa时,煤层气倒灌量分别从0.42 L增加至3.73 L和7.97 L,累积流量从218.74 L减小至208.61 L和192.21 L。
[1] 孙钦平,赵 群,姜馨淳,等.新形势下中国煤层气勘探开发前景与对策思考[J].煤炭学报,2021,46(1):65-76.
SUN Qinping,ZHAO Qun,JIANG Xinchun,et al.Prospects and strategies of CBM exploration and development in China under the new situation[J].Journal of China Coal Society,2021,46(1):65-76.
[2] 王公达,陈善文,孙 峰,等.抽采衰竭期注气增压强采欠压瓦斯技术研究[J].煤炭科学技术,2021,49(8):125-130.
WANG Gongda,CHEN Shanwen,SUN Feng,et al.Study on technology of gas flushing unsaturated gas during drainage exhaustion period[J].Coal and Technology,2021,49(8):125-130.
[3] 秦 勇,申 建,沈玉林.叠置含气系统共采兼容性:煤系“三气”及深部煤层气开采中的共性地质问题[J].煤炭学报,2016,41(1):14-23.
QIN Yong,SHEN Jian,SHEN Yulin.Joint mining compatibility of superposed gas-bearing systems:a general geological problem for extraction of three natural gases and deep CBM in coal series [J].Journal of China Coal Society,2016,41(1):14-23.
[4] JIA L,PENG S J,XU J,et al.Fluid response characteristics of multilayer superimposed CBM production under the different number of gas-producing layers condition [J].Journal of Natural Gas Science and Engineering,2021,89:103858.
[5] 秦 勇,熊孟辉,易同生,等.论多层叠置独立含煤层气系统:以贵州织金一纳雍煤田水公河向斜为例[J].地质论评,2008,54(1):65-70.
QIN Yong,XIONG Menghui,YI Tongsheng,et al.On unattached multiple superposed coalbed-methane system:in a case of the Shuigonghe syncline,Zhijin-Nayong Coalfield,Guizhou [J].Geological Review,2008,54(1):65-70.
[6] PENG S J,JIA L,XU J,et al.The production schedule optimization of a multilayer superposed CBM system:an experimental study[J].Powder Technology.2020,373:99-108.
[7] 张超林.叠置含气系统煤层气开采制度优化及注二氧化碳增产机理研究[D].重庆:重庆大学,2018.
ZHANG Chaolin.Optimization of CBM drainage schedule and mechanism of CO2-ECBM recovery for superposed gas-bearing system [D].Chongqing:Chongqing University,2018.
[8] 贾 立.不同开采制度下叠置含气系统煤层气开采物理模拟试验研究[D].重庆:重庆大学,2019.
JIA Li.Physical simulation experiment on superposed gas-bearing system production under different production schedules[D].Chongqing:Chongqing University,2019.
[9] OISNT H.Paying off for Tom Brown in White River Dom field’s tight sandstone deep coals [J].The American Oil and Gas Reports,2002,10:67-75.
[10] NELSON C R.In deep coalbed gas plays in the U.S.Rocky Mountain Region [C]//AAPG Annual Meeting.Denver:2003:5-8.
[11] 王家鹏.云南老厂雨旺区块煤层气井多层合采制度研究[J].中国煤层气,2020,17(6):29-33.
WANG Jiapeng.Study on multi-layer drainage system of cbm wells in Yuwang Block of Laochang Area in Yunnan.China Coalbed Methane,2020,17(6):29-33.
[12] 孟艳军,汤达祯,许 浩,等.煤层气开发中的层间矛盾问题:以柳林地区为例[J].煤田地质与勘探,2013,41(3):29-33,37.
MENG Yanjun,TANG Dazhen,XU Hao,et al.Interlayer contradiction problem in coalbed methane development:a case study in Liulin area.Coal Geology &Exploration,2013,41(3):29-33,37.
[13] ZHAO Y L,ZHAO L,WANG Z M,et al.Numerical simulation of multi-seam coalbed methane production using a gray lattice Boltzmann method[J].Journal of Petroleum Science and Engineering,2019,175:587-594.
[14] 赵岩龙.煤层气运移格子Boltzmann模型及层间干扰模拟研究[D].北京:中国石油大学(北京),2018.
ZHAO Yanlong.Lattice boltzmann model for cbm migration and simulation of interference in multi-layered coal seams[D].Beijing:China Universityof Petroleum(Beijing),2018.
[15] 张军建.中高阶煤储层孔裂隙结构及多层合采孔渗动态研究[D].徐州:中国矿业大学,2020.
ZHANG Junjian.Pore-fracture system characterization and dynamic variation of porosity-permeability duirng multi-layer drainage in middle and high rank coal reservoirs[D].Xuzhou:China University of Mining and Technology,2020.
[16] 彭守建,贾 立,许 江,等.叠置煤层气系统合采渗透率动态演化特征及其影响因素[J].煤炭学报,2020,45(10):3501-3511.
PENG Shoujian,JIA Li,XUJiang,et al.Dynamic evolution and its influencing factors of coal seam permeability dunng joint gas production of superimposed CBM system [J].Journal of China Coal Society,2020,45 (10):3501-3511.
[17] 梁 冰,石迎爽,孙维吉,等.层间距对双层煤层气藏合采解吸影响实验[J]中国矿业大学学报,2020,49(1):54-61.
LIANG Bing,SHI Yingshuang,SUN Weiji,et al.Experiment on influence of inter layer spacing on combined desorption of double-layer coal bed methane reservoir[J].Journal of China University of Mining &.Technology,2020,49(1):54-61.
[18] 彭守建,贾 立,许 江,等.不同地应力条件下平行钻孔抽采瓦斯运移特性实验分析[J].重庆大学学报,2019,42(8):79-89.
PENG Shoujian,JIA Li,XU Jiang,et al.Experimental analysis on the characteristics of gas migration extracted by parallel boreholes under different stress conditions[J].Journal of Chongqing University 2019,42(8):79-89.
[19] 刘 东,许 江,尹光志,等.多场耦合煤层气开采物理模拟试验系统的研制和应用[J].岩石力学与工程学报,2014,33(S2):3505-3514.
LIU Dong,XU Jiang,YIN Guangzhi,et al.Development and application of multi field coupling physical simulation test system for coal-bed methane (CBM)exploitation [J].Chinese Journal of Rock Mechanics and Engineering,2014,33(S2):3505-3514.
[20] 杨兆彪,张争光,秦 勇,等.多煤层条件下煤层气开发产层组合优化方法[J].石油勘探与开发,2018,45(2):297-304.
YANG Zhaobiao,ZHANG Zhengguang,QIN Yong,et al.Optimization methods of production layer combination for coalbed methane development in multi-coal seams[J].Petroleum Exploration and Development,2018,45(2):297-304.