电法勘探在矿产开采、隧道掘进等地下工程施工领域中广泛应用,施工过程中通过查明坑道前方的地质情况,可有效避免水灾、动力地质灾害和瓦斯等灾害的发生,对保证财产及生命安全具有重要意义。直流电法是电法勘探中最常用的探测方法之一,与地质雷达法[1]、地震勘探法[2]、瞬变电磁法[3]等探测技术相比,具有探测距离远、操作简单、适应能力强等优点,然而直流电法勘探技术多采用点电源供电和常规的电阻率剖面装置进行测量,其探测结果通常会受到坑道后方及旁侧的机电设备、轨道、地形起伏、电磁干扰等因素影响,有时会造成掘进前方异常体的资料解译与实际工况产生较大偏差[4-5]。因此,为增加水平勘探深度,减小上述干扰因素影响,提高超前探测结果的准确性,国内外众多学者提出聚焦电法探测技术,并针对聚焦电法探测技术开展大量研究。
DOLL[6]在休斯敦试验中设计了七电极侧向测井技术,PANISSOD等[7]提出多电极在地面聚焦排列方式,并在侧向测井领域进行了可行性验证。阮百尧等[8-9]提出一种在掘进工作面上设立环状电极组,使探测电流场具有聚焦功能的新型探测装置与方法。文献[10-12]对直流聚焦电阻率法的超前探测距离及其影响探测距离的主要因素进行有限元数值模拟,并对多种电极组合进行对比分析,通过数值模拟得出了探测效果较为理想的电极组合装置,并从理论上验证了直流聚焦电阻率法探测技术对掘进正前方异常体探测具有较强的敏感性。目前,聚焦电法探测技术理论尚未成熟,有关掘进前方异常体具体方位的确定方法有待进一步的研究与探讨。基于此,笔者通过构建直流聚焦多点电源地电几何模型,改变屏蔽电极与主电极发射电流,对其空间电流场分布及聚焦与偏转效应探测特性进行正演模拟,此研究对异常体具体方位的资料准确解译及创成聚焦电法探测技术具有重要意义。
坑道直流聚焦多点电源探测是利用同性电流相互排斥的性质,使屏蔽电极形成的约束电场挤压主电极形成的探测电场,从而使主电极的电流场沿着某一方向聚焦传播,进而增大水平向前探测距离。依据坑道实际地质工况,运用COMSOL软件构建三维地电几何模型如图1所示。设地电模型的尺寸为80 m×50 m×50 m(长×宽×高),掘进工作面有效断面面积为6 m×6 m,至掘进工作面正前方一定距离处存在一异常体。

图1 三维地电几何模型
Fig.1 3D geoelectric geometric model
使主电极A布置在掘进工作面的中心位置,4个屏蔽电极A1、A2、A3、A4围绕主电极A对称布置在距掘进工作面后方3 m处的坑道壁上,测量电极N(N′)采用二极装置,分别对称布置在掘进工作面四周,距主电极A为1.5 m,如图2所示,所有电极均设置为铜材料。由于坑道空腔对探测结果具有较大影响[13-14],在几何模型中可将巷道空腔视为一个高阻异常体[15],所以其电阻率设置为1×1010 Ω·m。

图2 掘进工作面的电极布置点
Fig.2 Electrode arrangement ponits of tunnel face
在空间场有限元数值求解过程中,任意一点总电位V包含正常电位u0和异常电位u,即
V=u0+u
(1)
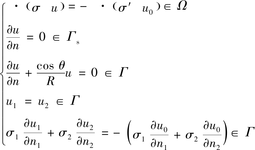
空间场异常电位u满足如下边值条件[16-19],即

(2)
其中,![]()
式中:σ为均匀介质的电导率;σ′为异常体的电导率;Ω为空间任意闭合面Γ所围成的空间区域;Γs为地面边界;n为边界法线方向;Γ∞为无穷远边界;RN为点源到边界的距离;θN为某点边界外法线的单位矢量n和RN的夹角。u1和u2分别为电导率σ1和σ2所在区域电位;n1和n2为分界面区域外法线方向。
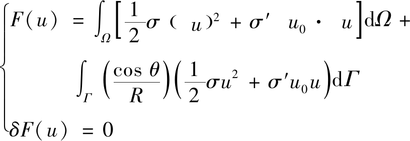
与式(2)等价的变分问题为

(3)
使用正四面体网格局部自适应算法进行剖分,此方法可在电位变化较大的区域使网格自动加密,在电位变化较小的区域使网格自动变疏,既保持了空间场异常电位的求解精度,又提高计算效率[20]。求解过程中先将研究区域和边界进行单元积分计算,再将单元系数矩阵合成并变分处理,最终得到线性方程组
其中K与K′分别为异常电位向量和正常电位向量的总体系数矩阵,求解线性方程组即可得到聚焦电场各节点的异常电位的解。对于正常电位的求解,可根据聚焦多点电源电极组合方式来计算,由于所研究的问题为坑道条件下全空间分布,因此空间场中A点正常电位u0为主电极正常电位uA和屏蔽电极正常电位uA,i之和。
(4)
式中:I0为主电极的电流强度;Is为屏蔽电极的电流强度;ρ0为点源处电阻率;RA、RA,i分别为主电极及屏蔽电极到空间任意一点的距离。
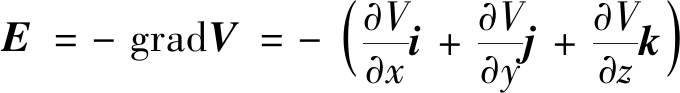
将各参数代入方程中即可得出各节点正常电位u0,最后将所得到的异常电位与正常电位相加即可求出各节点总电位V。为增加水平勘探深度,应增大电流密度,即使较多的电流沿掘进工作面正前方流过。电流密度的分布规律与电场强度完全相同,可用电场线的疏密程度进行度量。根据稳定电流场性质,空间场任意一点电场强度E与电位V满足如下方程:
(5)
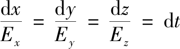
而电场线上任意一点的切线方向与该点的电场强度方向相一致,引入参量t,得到空间多点电流源电场线微分方程为
(6)
其中:Ex、Ey、Ez分别为沿x、y、z轴的电场强度分量。
设均匀围岩介质的电阻率为100 Ω·m,在掘进工作面正前方不存在异常体时,使主电极与屏蔽电极的电流强度均为0.1 A,空间电流场分布规律如图3所示。

图3 均匀介质空间电流场分布规律
Fig.3 Distribution law of current field in uniform medium space
从图3可以看出电场线从电极出发向四周扩散,在巷道正前方电场线分布较为密集,但随着距掘进工作面正前方距离的增加,电场线的密集程度逐渐减小;在偏离坑道中轴线的区域,电场线分布较稀疏,偏离中轴线的距离越大,电场线分布越稀疏。电场线的密集程度表示电流密度的大小,即电场线越密,电流密度越大,反之越小,这就证明了添加屏蔽电极后掘进工作面前方的电流密度会增大,此时对掘进工作面前方较远处介质探测会更加敏感。
设在坑道正前方15 m处存在某一低阻异常体(电阻率为1 Ω·m),使主电极与屏蔽电极的电流强度仍为0.1 A,此时空间电流场分布情况如图4a所示。当为高阻异常体时(电阻率为1 000 Ω·m),空间电流场分布情况如图4b所示。从图4可以看出,与图3一样,在巷道正前方电场线分布较为密集,随着距掘进工作面距离的增加电场线密集程度逐渐减小。对比图4a和图3,当坑道正前方存在低阻异常体时,异常体周围的电场线向其靠拢,异常体所在区域电场线变密,这是由于低阻体对电流具有吸引作用,导致电流密度增大。对比图4b和图3,当坑道正前方存在高阻异常体时,异常体周围的电场线沿其散开,异常体所在区域电场线变疏,这是由于高阻体对电流具有排斥作用,导致电流密度减小。

图4 存在异常体时的电场分布
Fig.4 Electric field distribution in presence of abnormal body
设坑道正前方存在电阻率为1 Ω·m、长8 m、宽8 m、高8 m的低阻异常体,使主电极电流强度I为0.1 A,屏蔽电流强度Is分别为0、0.1、0.3、0.5 A时,通过测量电极N检测电位值,用电位变化百分比α来研究坑道前方异常体的变化特征,定义α为
(7)
其中:ρs=kV′/I为存在异常体时的视电阻率;ρ=kV″/I为无异常体时的视电阻率;k为装置系数;V′、V″为测量电位;此时有
(8)
当异常体位于掘进工作面前方不同距离时,得到电位变化百分比α随异常体距掘进工作面距离d改变的变化曲线如图5所示。当其他测量条件保持不变,设巷道正前方某一电阻率为1 000 Ω·m、长8 m、宽8 m、高8 m的高阻异常体时,得到电位变化百分比α随异常体距掘进工作面距离d改变的变化曲线如图6所示。

图5 低阻异常体聚焦效应探测α变化曲线
Fig.5 α changes curve of low resistance abnormal body during focusing effect detection

图6 高阻异常体聚焦效应探测时α变化曲线
Fig.6 α changes curve of high resistance abnormal body during focusing effect detection
从图5和图6中可以看出,当屏蔽电流强度Is为0时(无聚焦效应),异常体距离掘进工作面越近,α曲线梯度变化越大,异常体距掘进工作面大于12 m时,α曲线变化趋于平缓;当屏蔽电流强度Is为0.1、0.3、0.5 A时(有聚焦效应),α曲线梯度的变化随屏蔽电流强度的增大而增大,且在异常体距掘进工作面大于18 m时,α曲线梯度变化趋于平缓,即探测过程中有聚焦效应时探测效果较好,且至少可增大50%的探测距离。当异常体距离掌子较远时,随着屏蔽电流的逐渐增大,α曲线变化梯度逐渐减弱,且在探测过程中增大电流强度对探测仪器有较高要求,故探测时所选取的屏蔽电流强度不宜过大。从图5和图6还可以看出,当掘进工作面前方存在低阻异常体时,α为负值,即测量电极电位值较无异常体时变小;当存在高阻异常体时,α为正值,即测量电极电位值较无异常体时增大。
设在掘进工作面前方向上偏离坑道中轴线距离h分别为0、6、8、10 m处存在电阻率为1 Ω·m、大小为长8 m、宽8 m、高8 m的低阻异常体,使主电极与屏蔽电极的电流强度均为0.1 A,得到电位变化百分比α随异常体距掘进工作面距离d改变的变化曲线如图7所示。从图中可以看出,α变化梯度随异常体偏离坑道中轴线距离h的增加而减小,当h超过10 m时,α变化梯度不超过0.25%,即采用聚焦效应探测时对偏离坑道中轴线的异常体识别能力减弱,且偏离距离越大,探测效果越弱,这表明聚焦效应探测不适用于偏离坑道中轴线的异常体。

图7 异常体偏离掘进工作面中轴线时α变化曲线
Fig.7 α change curves when abnormal body deviates from axis of tunnel face
在掘进工作面前方向上偏离坑道中轴线距离h为8 m处存在电阻率为1 Ω·m、大小为长8 m、宽8 m、高8 m的低阻异常体,使主电极和屏蔽电极A1、A2、A4电流强度保持0.1 A不变,改变屏蔽电极A3电流强度与主电极A电流强度之比λ,使探测电场由向前无偏聚焦变为向上偏状态,分别用主电极上下两侧的测量电极N和N′检测其电位,得到电位变化百分比α随异常体距掘进工作面距离d改变的变化曲线如图8所示。从图8中可以看出,随着λ的增大,与异常体同侧的测量电极N得到的α曲线梯度变化逐渐增大,而与异常体异侧的测量点N′得到的α曲线梯度变化不明显,即当异常体位于掘进工作面前方偏离中心轴线向上时,改变屏蔽电流大小使探测电场向上偏转,通过对比上下两侧测量电极N和N′的α曲线变化情况可以确定异常体的具体方向。同理,当异常体位于掘进工作面前方偏离中心轴线不同方向时,改变屏蔽电流大小使探测电场向上或向下、向左或向右进行偏转扫描探测,分别对比主电极两侧测量电极得到的α曲线梯度变化规律,便可确定出异常体的具体方向,即靠近异常体一侧的测量电极得到的α曲线梯度变化较为明显,表明改变屏蔽电流大小可实现偏转扫描探测,对偏离坑道中轴线的异常体具有较好的探测效果。

图8 偏转效应时α变化曲线
Fig.8 α change curves of deflection effect
1)无论坑道前方是否存在异常体,采用聚焦多点电源探测进行水平超前探测,掘进工作面正前方空间场电场线分布变密,其电流密度变大,对异常体探测会更加敏感。
2)当掘进工作面正前方存在异常体时,聚焦效应探测效果较好,且异常体为低阻体时,电位变化百分比α为负,反之为正。电位变化百分比α曲线梯度的变化随屏蔽电流强度的增大而增大,然而当异常体距掘进工作面大于18 m时,此时随屏蔽电流的增大,α曲线梯度变化趋于平缓,故探测过程中屏蔽电流的选取不宜过大。当掘进工作面前方偏离中心轴线处存在异常体时,聚焦效应探测效果随着偏离距离的增大逐渐变差,故聚焦效应探测不适用于查明偏离中轴线的异常体。
3)当掘进工作面前方偏离坑道中轴线某一距离处存在异常体时,改变屏蔽电流大小使探测电场进行偏转扫描探测,通过比较主电极四周各方位测量电极的电位变化百分比α曲线,若某一侧测量电极所得的α曲线梯度变化较大,则异常体位于该侧。
[1] 李 冬,杜文凤,许献磊.矿井地质雷达超前探测方法及应用研究[J].煤炭科学技术,2018,46(7):223-228.
LI Dong,DU Wenfeng,XU Xianlei.Study on advanced detection method and application of mine geological radar[J].Coal Science and Technology,2018,46(7):223-228.
[2] 赵 帝,杜文凤,勾精为,等.煤田三分量地震勘探观测系统设计方法研究[J].煤炭科学技术,2019,47(3):182-187.
ZHAO Di,DU Wenfeng,GOU Jingwei,et al.Study on design method of three-component seismic exploration &observation system in coalfield[J].Coal Science and Technology,2019,47(3):182-187.
[3] 薛国强,于景邨.瞬变电磁法在煤炭领域的研究与应用新进展[J].地球物理学进展,2017,32(1):319-326.
XUE Guoqiang,YU Jingcun.New development of TEM research and application in coal mine exploration[J].Progress in Geophysics,2017,32(1):319-326.
[4] 刘盛东,刘 静,岳建华.中国矿井物探技术发展现状和关键问题[J].煤炭学报,2014,39(1):19-25.
LIU Shengdong,LIU Jing,YUE Jianhua.Development status and key problems of Chinese mining geophysical technology[J].Journal of China Coal Society,2014,39(1):19-25.
[5] 刘志民,韩 雷,张伟杰,等.坑道聚焦双频激电法探测技术[J].煤炭学报,2016,41(12):3086-3094.
LIU Zhimin,HAN Lei,ZHANG Weijie,et al.Research on the detection technology of focusing dual-frequency induced polarization method in tunnel[J].Journal of China Coal Society,2016,41(12):3086-3094.
[6] DOLL H G.The laterolog:a new resistivity logging method with electrodes using an automatic focusing system[J].Transactions of the American Institute of Mining and Metallurgical Engineers,1951,192:305-316.
[7] PANISSOD C,LAJARTHE M,TABBAGH A.Potential focusing:a new multi-electrode array concept,simulation study,and field tests in archaeological prospecting[J].Journal of Applied Geophysics,1997,38(1):1-23.
[8] 阮百尧,邓小康,刘海飞,等.坑道直流电阻率超前聚焦探测新方法研究[J].地球物理学报,2009,52(1):289-296.
RUAN Baiyao,DENG Xiaokang,LIU Haifei,et al.Research on a new method of advanced focus detection with DC resistivity in tunnel[J].Chinese Journal of Geophysics,2009,52(1):289-296.
[9] 阮百尧,邓小康,刘海飞,等.坑道直流电阻率超前聚焦探测的影响因素及最佳观测方式[J].地球物理学进展,2010,25(4):1380-1386.
RUAN Baiyao,DENG Xiaokang,LIU Haifei,et al.Influential factors and optimum survey method of advanced focus detection with DC resistivity in tunnels[J].Progress in Geophysics,2010,25(4):1380-1386.
[10] 柳建新,邓小康,郭荣文,等.坑道直流聚焦超前探测电阻率法有限元数值模拟[J].中国有色金属学报,2012,22(3):970-975.
LIU Jianxin,DENG Xiaokang,GUO Rongwen,et al.Numerical simulation of advanced detection with DC focus resistivity in tunnel by finite element method[J].The Chinese Journal of Nonferrous Metals,2012,22(3):970-975.
[11] 张 力,阮百尧,吕玉增,等.坑道全空间直流聚焦超前探测模拟研究[J].地球物理学报,2011,54(4):1130-1139.
ZHANG Li,RUAN Baiyao,LYU Yuzeng,et al.Study of full-space numerica1 modeling of advanced exploration in tunnel with DC Focus resistivity method[J].Chinese Journal of Geophysics,2011,54(4):1130-1139.
[12] 胡雄武,张平松,吴荣新,等.矿井多极供电电阻率法超前探测技术研究[J].地球物理学进展,2010,25(5):1709-1715.
HU Xiongwu,ZHANG Pingsong,WU Rongxin,et al.Study on the advanced detection technique by multi-electrode direct current resistivity in mines[J].Progress in Geophysics,2010,25(5):1709-1715.
[13] 岳建华,李志聃.矿井直流电法勘探中的巷道影响[J].煤炭学报,1999,24(S1):9-12.
YUE Jianhua,LI Zhidan.Roadway influence on electrical prospecting in underground mine[J].Journal of China Coal Society,1999,24(S1):9-12.
[14] 马炳镇,李 貅.矿井直流电法超前探中巷道影响的数值模拟[J].煤田地质与勘探,2013,41(1):78-81.
MA Bingzhen,LI Xiu.Roadway influences on advanced DC detection in underground mine[J].Coal Geology &Exploration,2013,41(1):78-81.
[15] 强建科,阮百尧,周俊杰,等.煤矿巷道直流三极法超前探测的可行性[J].地球物理学进展,2011,26(1):320-326.
QIANG Jianke,RUAN Baiyao,ZHOU Junjie,et al.The feasibility of advanced detection using DC three-electrode method in coal-mine tunnel[J].Progress in Geophysics,2011,26(1):320-326.
[16] 徐世浙,刘 斌,阮百尧.电阻率法中求解异常电位的有限单元法[J].地球物理学报,1994,37(S2):511-515.
XU Shizhe,LIU Bin,RUAN Baiyao.The finite element method for solving anomalous potential for resistivity surveys[J].Chinese Journal of Geophysics,1994,37(S2):511-515.
[17] 强建科,罗延钟.三维地形直流电阻率有限元法模拟[J].地球物理学报,2007,50(5):1606-1613.
QIANG Jianke,LUO Yanzhong.The resistivity FEM numerical modeling on 3-D undulating topography[J].Chinese Journal of Geophysics,2007,50(5):1606-1613.
[18] 杨振威,李晓斌,刘仰光,等.基于多重网格有限元法的大地电磁二维正演计算研究[J].地球物理学进展,2019,34(3):1132-1138.
YANG Zhenwei,LI Xiaobin,LIU Yangguang,et al.Study of 2D magnetotelluric forward based on multigrid finite element method[J].Progress in Geophysics,2019,34(3):1132-1138.
[19] 解海军,李志强,栗 升.线源直流电法有限元二维正演模拟[J].煤田地质与勘探,2019,47(1):194-199.
XIE Haijun,LI Zhiqiang,LI Sheng.Finite element 2D forward modeling of DC method with line source[J].Coal Geology &Exploration,2019,47(1):194-199.
[20] 蔡显新,王文凯,蒋燕英,等.一种有效的网格自适应方法[J].计算力学学报,2007,24(2):241-245.
CAI Xianxin,WANG Wenkai,JIANG Yanying,et al.An efficient moving grid method[J].Chinese Journal of Computational Mechanics,2007,24(2):241-245.