安全科学与工程

煤矿重复扰动“采动-采空”地面井抽采技术及应用

张志刚1,2,李日富1,2

(1.瓦斯灾害监控与应急技术国家重点实验室,重庆 400037;2.中煤科工集团重庆研究院有限公司,重庆 400037)

摘 要:为攻克煤矿开采重复扰动地层导致地面井变形破坏的技术难题,深入分析了重复扰动下地层的移动规律、地面井的变形破坏力学机理、失效方式与特征,发现地面井破坏的直接原因是发生了过量的位移变形,据此总结分析出地面井破坏失效的判识条件:①套管剪切位移量超过其管内直径;②套管的最小拉伸安全系数小于阈值“1”。在此认识基础上提出了“避、抗、让、疏、护”五大地面井防护技术理念,能够从井位选择、井身结构、钻完井工艺、安全防护装置等方面有效减少重复扰动地面井的破坏性位移量。应用技术成果在岳城煤矿设计5口地面井,实现了“采动-采空”地面井持续抽采,累计抽采标况纯瓦斯量约5 240 万m3,保障煤矿安全生产的同时提高了瓦斯抽采利用量。进一步分析地面井抽采数据发现,采动区地面井经过5 a持续运行后的抽采影响半径超过800 m。

关键词:采动区地面井;重复扰动;瓦斯抽采;抽采影响范围

0 引 言

煤层瓦斯(煤层气)既是威胁煤矿安全生产的危险源,又是宝贵的清洁能源,实现煤与煤层气共采是半个多世纪以来我国煤矿发展的宏伟目标[1-4]。煤矿采动区地面井抽采技术能够充分利用地下煤炭开采引起的“卸压增透效应”,采用负压将煤岩层的卸压瓦斯抽采至地表,可以克服我国含煤地层“三低”(低压、低渗、低饱和)的缺点,是实现煤与煤层气共采目标的适用技术[5-6]。在“十一五”“十二五”国家油气开发科技重大专项的资助下,我国的地面井压裂预抽及采动区瓦斯地面井抽采技术得到了长足发展,先后形成了煤矿区地面控压粉排采、采动区大孔径地面直井、采动区地面L型顶板定向井等一系列技术成果,并在山西、淮南、淮北等全国各大矿区得到了成功应用,建成了晋城单一厚煤层开采条件及淮南煤层群开采条件煤层气抽采示范工程基地,初步形成了煤与煤层气共采的良好局面[7-15]

目前的地面井技术只是针对单次采动影响下的研究成果,对多次扰动下地面井变形及结构优化研究较少。中国煤系地层具有明显的煤层组(群)特征,随着开采深度和开采强度的增加,大部分煤矿需要进行重复扰动煤层回采作业,单次采动影响的采动区地面井技术无法完全适用,亟需对多次扰动地面井技术开展深入研究及试验应用。

笔者在总结分析重复扰动下地面井变形特征及力学机理的基础上,提出重复扰动下地面井安全防护与抽采设计技术,通过现场试验考察验证了新技术的适用性,并进一步分析了地面井抽采影响范围,为我国煤矿重复扰动地面井“采动-采空”持续抽采瓦斯技术的应用提供了指导。

1 重复扰动地面井变形破坏机理

地面井贯穿整个采场覆岩并与井壁围岩结为一体,地层在采动影响下发生移动破坏,使得其内部的地面井套管随之发生变形,因此可以通过研究重复扰动采场覆岩的移动规律分析施工在其内部的地面井的宏观变形特征。

前期研究表明[16-17],采场覆岩移动可能引起地面井套管发生挤压缩颈、剪切错断和拉伸破断3种形式的变形,其中剪切和拉伸变形是主要方式。在重复扰动影响下,采场覆岩的层间横向滑移表现为反复“增大→减小”的来回错动过程,层间竖向离层呈现出“增大→增大”的持续增加特征。

为研究重复扰动下地面井变形力学机理,假设初次采动后地面井仍整体处于竖直状态,则在地面井的相同位置产生的离层变形和剪切位移分别是初次最终位移与重复扰动产生的位移的叠加。

由采场上覆岩层等效复合岩梁岩层界面位置处产生的层间拉剪合位移就是地面井套管发生的最大挠曲位移,也就是最容易发生剪切与拉伸破坏的区域[17-18]

重复扰动影响下,此处地面井套管截面的最大剪应力函数如下

(1)

式中:τmax为套管截面上的最大剪应力,MPa;E为梁的弹性模量,MPa;r1为套管外径,m;k为套管壁厚,m;u(x,k)i为截面处的层间剪切滑移合位移,m;y为剪切区域内沿套管的长度,m;a为位移函数的波长,m,是剪切区域宽度的2倍,与岩层物理力学性质和应力环境有关。

分析式(1)可知,地面井套管截面的最大剪应力随时间呈现波浪形变化特征(图1),曲线O-t1为第1次采动影响阶段,t1-t2(或t1-t3)为第2次采动影响阶段,曲线1和曲线2分别代表了第2次采动影响相对第1次采动影响的不同影响程度,曲线1表示第2次采动影响效应比第1次采动影响效应强,曲线2表示第2次采动影响效应比第1次采动影响效应弱;τ1为第1次采动影响时套管井身某截面位置的最大剪应力,τ2为第1次采动影响结束时套管井身某截面位置的剪应力,τ3(或τ4)为第2次采动影响时套管井身某截面位置的最大剪应力。

图1 重复扰动影响下地面井套管截面最大剪应力随时间的变化规律
Fig.1 Variation of maximum shear stress with time under repeated disturbance

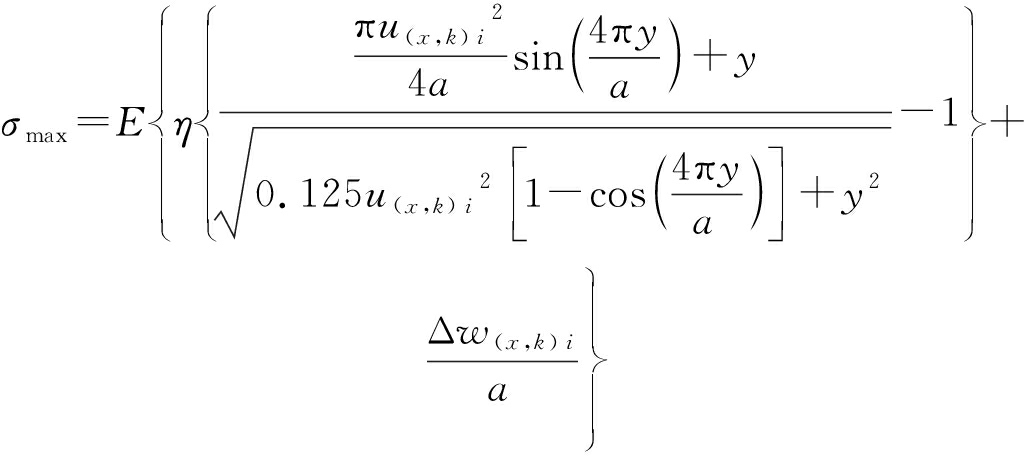
此处地面井套管截面的最大拉伸应力函数如下

(2)

式中:σmax为套管截面上的最大拉应力,MPa;η为考虑套管周围岩体塑性变形产生的对套管变形的缓解作用系数;Δw(x,k)i为横截面处的最大离层位移,m。

由式(2)可知,重复采动影响下地面井套管井身某截面最大拉伸应力随时间呈现递增变化特征(图2),曲线O-t1为第1次采动影响阶段,t1-t2(或t1-t3)为第2次采动影响阶段,曲线1和曲线2分别代表了第2次采动影响相对第1次采动影响的不同影响程度,曲线1表示第2次采动影响效应比第1次采动影响效应强,曲线2表示第2次采动影响效应比第1次采动影响效应弱;σ1为第1次采动影响时套管井身某截面位置的最大拉伸应力,σ2(或σ3)为第2次采动影响时套管井身某截面位置的最大拉伸应力。

图2 重复扰动下地面井套管截面最大拉伸应力随时间的变化规律
Fig.2 Variation of maximum tensile stress with time under repeated disturbance

上述分析意味着重复扰动下采动区地面井较单次采动影响下的地面井要经历更加剧烈的岩层移动影响,其发生变形破坏的可能性更大、变形方式更加复杂。

2 重复扰动“采动-采空”地面井防护与安全抽采技术

2.1 不同阶段地面井变形失效方式及特征

采动区地面井变形破坏失效方式与套管的基本变形形式密切相关。

1)变形失效方式。采动影响阶段,地面井套管的变形主要因采动影响导致的岩层滑移和离层的作用而产生,具体包括层间滑移剪切变形、层间离层拉伸变形和非均布荷载作用下的径向挤压变形3种类型[17]。目前国内煤矿区地面井深度一般不大于1 000 m,其局部地应力不超过40 MPa[19],而高强度(J55钢级及以上)的标准油井套管屈服强度普遍高于379 MPa,因岩层热膨胀、水润膨胀等原因造成的局部地应力集中现象很难导致套管发生挤毁,彻底堵塞产气通道;因此剪切、拉伸变形是其主要变形失效方式。

对于剪切错动变形,重复扰动影响下地层运动极其剧烈,岩层的反复错动过程造成地面井套管发生变形的程度不断变化,套管很难完全抵挡岩层的横向滑移不发生剪切破断。由于地面井是通过套管与井下采动裂隙连通,即使套管在某些部位发生了剪切横移,但只要没有被完全切断,那么采气通道就会贯通,不影响采空区卸压瓦斯的负压抽采;而一旦岩层的剪切位移量超过套管的有效通径,套管断面处的上下部分就会发生错离,此时采气通道就被完全堵塞无法产气。

对于离层拉伸变形,重复扰动影响下的层间离层位移是阶段性递增的,离层区域的井套截面拉伸应力随之不断增大,地面井套管一般为碳钢等弹脆性体材料,当拉伸应力大于井套抗拉强度极限时,地面井套管就会发生断裂,造成采气通道被扯断,井壁泥沙及碎岩迅速涌入,采气通道被侵占堵塞无法产气。

采动稳定(采空)阶段,地层移动基本停止,套管主要因地应力等受到均布挤压效应,因其具有高强度,一般不会发生直接的挤毁失效。但是由于套管在采动阶段变形易产生破裂,破裂附近的围岩碎屑、砂土或地下渗水在微震下会在此阶段从豁口处慢慢流入套管内,容易导致地面井因产气通道被逐渐堵塞而失效。

2)变形失效特征。无论是采动阶段的套管切断、扯断失效,还是采空阶段的产气通道堵塞失效,采动区地面井失效的主要原因都是产气通道被侵占,导致其抽采流量迅速降低,抽采负压急剧上升,产气能力逐渐消失。

2.2 地面井变形失效条件分析

由采动影响下地面井的变形失效特征可知,地面井的失效主要包括2种情况:当地面井套管被完全切断时,其产气通道发生堵塞现象丧失抽采功能,地面井破坏;当地面井套管发生拉伸断裂后,其产气通道发生扯断及堵塞现象丧失抽采功能,地面井破坏。同时,在重复扰动影响下,地面井井身发生了切断或堵塞等形式的破坏后,无论后期的采动影响如何变化,该地面井将处于持续失效状态。

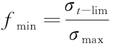
因地面井套管拉伸应力在横截面上近似均匀分布,引入最小拉伸安全系数(阈值)的概念,系数计算如式(3)所示,当最小拉伸安全系数小于1时,可以判定地面井套管将发生拉伸破坏。

(3)

式中:fmin为最小拉伸安全系数;σt-lim为套管的极限拉伸应力,MPa;σmax为套管截面上的最大拉应力,MPa。

因此,重复扰动影响下,地面井井身满足以下任一条件时,可以判断地面井发生破坏而失效:①套管剪切位移量超过其管内直径;②套管的最小拉伸安全系数小于阈值1。

2.3 地面井防护与安全抽采技术

2.3.1 地面井防护设计技术

通过分析地面井变形失效条件可以发现,采动区地面井发生破坏的直接原因都是由于位移过量造成的,因此,重复扰动地面井防护技术就是需要尽量减少采动区地面井的破坏性位移量。

结合单一采动影响防护技术的研究成果[20-21],针对重复扰动地面井变形破坏特征,从井位选择、井身结构、钻完井工艺、安全防护装置等方面提出了“避”、“抗”、“让”、“疏”、“护”五大地面井防护技术理念。

1)“避”的理念,通过合理选择地面井位置减少地面井的破坏性位移量。重复扰动影响下地面井变形破坏方式更加复杂,地面井位置应该以保证产气通道的稳定性为主,尽量延长有效抽采期间,因此井位宜选择在回风巷一侧的第1次采动影响的地表沉降拐点连线与第2次采动影响的地表沉降拐点连线的中间区域,合理布井区域如图3所示。

图3 地面井合理布井区域示意
Fig.3 Sketch map of reasonable well distribution area

2)“抗”的理念,通过提高井身结构的抗破坏能力减少地面井的破坏性位移。重复扰动地面井的生产套管宜使用N80以上钢级且壁厚不低于10 mm的管材,同时优化护井水泥环的厚度保证其对井身强度的增益。

3)“让”的理念,通过提前留设位移空间减少地面井的破坏性位移。设计大直径井身结构增加地面井的有效通径,同时利用局部固井工艺给地面井下部岩层移动较强烈的区域“让”出一定的变形空间。

4)“疏”的理念,通过使用三开筛管等结构保证抽采通道的畅通。采用三开筛管悬挂完井工艺可在增加导气筛眼的同时解决三开井段易缩颈、塌孔难题,优选空气钻进工艺可以大幅减少井底、井壁残存钻渣保障抽采通道的畅通。

5)“护”的理念,通过研发抗破坏防护装置、工艺减少地面井高危位置的破坏性位移量。开发偏转结构、伸缩结构、厚壁刚性结构等局部防护装置,或者利用外径缠绕匝丝对地面井局部井段实行重点防护。

2.3.2 地面井连续抽采技术

由于受井下工作面生产影响,采动区地面井抽采的瓦斯体积分数波动范围大(10%~90%),抽采管路需要按照行业标准进行“三级”防护设计,同时在管路上安设相应的参数监测装置,检测收集瓦斯浓度、抽采负压、氧气浓度、抽采流量等气体参数,同时进行如下操作以保证系统正常安全运行:

1)当对应的工作面推至距离采动区地面井60 m左右时应开机试运行,若负压急剧上升超过50~60 kPa,则停泵,然后根据工作面进尺按每5~10 m的频率开机试运行;当瓦斯浓度较高、产气量较小但持续稳定时,可开启管道上的调节阀门,直至负压稳定在30 kPa以下,开始连续运行抽采。

2)抽采负压检测:地面井抽采过程中负压急剧升高、混合流量自然变小时,适当降低抽采负压,并以不低于24 h/次的检测频度抽采运行。

3)氧气浓度检测:氧气浓度在采动区地面井正常运行后应相对稳定,密闭采空区抽采氧气体积分数一般应低于5%或长期保持一平衡值。

4)一氧化碳浓度检测:当开采煤层有自然发火危险时,应补充监测管道内气体的一氧化碳浓度,一氧化碳浓度临界值应依据矿区资料确定。

3 现场应用及抽采影响范围分析

3.1 现场工程试验

应用重复扰动地面井防护技术在岳城煤矿设计施工了5 口地面试验井,均取得较好的瓦斯抽采效果,截至2020年7月,累计运行约152个月,共计抽采标况纯瓦斯量5 239.83 万m3。成果的应用解决了地面井抽采范围内采煤工作面及回风巷瓦斯超限问题,回风巷瓦斯体积分数从0.56%降至0.33%,降幅58.75%。

以岳城矿YCCD-02井为例,该井布置在1303工作面,工作面开采的4号煤层厚6.34 m,工作面斜长160 m,走向长约1 100 m,分上下2层开采,其中上分层开采厚度3.2 m,下分层开采厚度3.1 m。

YCCD-02井的设计运用到了“避、抗、让、疏”四大防护技术理念。

1)“避”的理念,地面井布置在2次重复扰动沉降拐点连线的中间区域,即距工作面回风侧约30 m,距开切眼约700 m。

2)“抗”的理念,采用三开结构,二级套管采用壁厚10.03 mm的N80钢级石油套管,使用G级高强度水泥固井,水泥环厚度约40 mm。

3)“让”的理念,二级井段套管直径300 mm,三级井段套管直径168.28 mm,同时创造性使用了下端局部固井工艺,在井身300~400 m位置处提前留设变形空间。

4)“疏”的理念,创造性使用了悬挂完井工艺安设三级筛管,使得筛管悬空放置可左右偏移,同时使用潜孔锤空气钻进减少井底、井壁残存钻渣。YCCD-02井井型结构如图4所示。

图4 采动区地面井井身结构
Fig.4 Mining area surface well shaft structure

YCCD-02井于2014-05-25开始抽采,截至2020-07-21,正常运行2 250 d,平均抽采负压34.54 kPa,标况纯瓦斯日流量1.58 万m3,平均瓦斯体积分数33.71%,累计抽采纯瓦斯量3 655 万m3。地面井部分抽采数据见表1。

表1 YCCD-02井日常抽采数据(部分)
Table 1 Daily production data(part) of YCCD-02 well

日期负压/kPa纯流量/(104 m3·d-1)体积分数/%累计量/104 m32014-06-1237.661.5660.7828.672014-08-1940.031.1254.64116.132014-11-2425.001.4419.20333.832015-03-2116.742.2238.27512.512015-06-0614.502.4843.24712.202015-09-0510.901.7050.20914.972016-01-0665.120.4851.501 063.062016-03-2250.820.3549.301 112.872016-08-0124.801.5443.501 260.192016-11-2025.401.9735.501 417.242017-04-0723.602.1542.001 756.212017-07-2625.351.5034.501 970.882017-12-1124.731.9737.502 278.202018-05-0525.412.0136.202 571.082019-06-0728.601.9235.203 190.46

3.2 地面井抽采影响范围分析

YCCD-02井所在的1303工作面位于一盘区中部,地面井距离盘区边界最远为807 m。一盘区周边为矿界或运输大巷,盘区整体呈四边形,尺寸为1 205 m×1 295 m,其内布置有1301工作面—1306工作面,各工作面间的隔离煤柱约30 m,且中间有联络巷互联,各工作面都是采用的分层开采工艺。截至2019年3月,随着一盘区所有的工作面开采完毕后,盘区密封管理,各工作面采空区顶板岩层内的采动裂隙场可能会互相贯通。

通过分析一盘区内各工作面开采接替时间与YCCD-02井日抽采瓦斯量变化曲线的关系有助于研究地面井的持续抽采实际影响范围。地面井运行后一盘区内剩余工作面的接替周期见表2,YCCD-02井的日抽采纯瓦斯量变化曲线如图5所示。

表2 1301(下)—1306(下)工作面开采周期
Table 2 Mining sequence of No.1301(lower)~ No.1306(lower)face

工作面开始回采日期回采结束日期回采长度/m1303(下)2014-02-162014-11-041 055.031306(上)2014-10-232015-03-28623.001304(下)2015-11-222016-07-121 035.701305(下)2017-03-012017-12-231 060.001306(下)2018-08-282019-03-26730.00

图5 YCCD-02井日产纯瓦斯量变化曲线
Fig.5 Variation curve of YCCD-02 well daily production

分析图5发现,YCCD-02井的日抽采气量总体呈下降趋势。结合表2进一步分析发现,YCCD-02井的日抽采气量随着一盘区各工作面的开、停采表现出规律性地小规模起伏弹升,即当有工作面作业时,地面井抽采瓦斯流量会升高,而随着工作面的停采收作,地面井抽采流量会随之逐渐降低,表明每当生产作业工作面的采动裂隙与已有采空区贯通后,就成为地面井的新补充气源,如果没有新面的卸压瓦斯气源补充,地面井数据就逐渐降低;而1306(下)工作面在2019-03-26回采完毕后,一盘区再没有新工作面生产作业,YCCD-02井的日抽采瓦斯流量降低趋势明显。

上述分析表明,YCCD-02井经过5 a的持续抽采运行,其影响范围涵盖了整个一盘区的采空区区域,即YCCD-02井的最大抽采影响半径达到了800 m以远,这一发现对采动区地面井抽采影响范围及地面井群布置技术研究具有指导意义。

4 结 论

1)重复扰动下的采动区地面井较单次采动影响下的地面井要经历更加剧烈的岩层移动影响,采场覆岩的层间横向滑移表现为反复“增大→减小”的来回错动过程,层间竖向离层呈现出“增大→增大”的持续增加特征;由采场上覆岩层等效复合岩梁岩层界面位置处产生的层间拉剪合位移就是地面井套管发生的最大挠曲位移,也是最容易发生剪切与拉伸破坏的区域。

2)重复扰动地面井的失效主要包括2种情况:当地面井套管被完全切断时,其产气通道发生堵塞现象丧失抽采功能,地面井破坏;当地面井套管发生拉伸断裂后,其产气通道被扯断及堵塞丧失抽采功能,地面井破坏。重复扰动影响下,地面井井身满足以下任一条件时,可以判断地面井发生破坏而失效:①套管剪切位移量超过其管内直径;②套管的最小拉伸安全系数小于阈值1。

3)采动区地面井发生破坏的直接原因是套管在某部位发生了过量的位移变形,针对重复扰动地面井变形破坏特征,从井位选择、井身结构、钻完井工艺、安全防护装置等方面提出了“避”、“抗”、“让”、“疏”、“护”5大地面井防护技术理念,能够有效减少采动区地面井的破坏性位移量。

4)应用成果在岳城煤矿设计施工了5 口地面井,累计抽采标况纯瓦斯量约5 240 万m3,保障煤矿安全生产的同时提高了瓦斯抽采利用量,社会经济效果显著。其中,YCCD-02井经过5 a持续运行,其最大抽采影响半径超过800 m,这一发现对采动区地面井抽采影响范围研究及地面井群合理布置有重要意义。

参考文献(References):

[1] 贺天才,王保玉,田永东.晋城矿区煤与煤层气共采研究进展及急需研究的基本问题[J].煤炭学报,2014,39(9):1779-1785.

HE Tiancai,WANG Baoyu,TIAN Yongdong. Development and issues with coal and coal-bed methane simultaneous exploitation in Jincheng mining area[J].Journal of China Coal Society,2014,39(9):1779-1785.

[2] 李国富,李贵红,刘 刚.晋城矿区典型区煤层气地面抽采效果分析[J].煤炭学报,2014,39(9):1932-1937.

LI Guofu,LI Guihong,LIU Gang. Analysis on the ground extraction effect of coal-bed methane atypical area in Jincheng,China[J].Journal of China Coal Society,2014,39(9):1932-1937.

[3] 刘见中,孙海涛,雷 毅,等.煤矿区煤层气开发利用新技术现状及发展趋势[J].煤炭学报,2020,45(1):258-267.

LIU Jianzhong,SUN Haitao,LEI Yi, et al. Current situation and development trend of coalbed methane development and utilization technology in coal mine area[J]. Journal of China Coal Society,2020,45(1):258-267.

[4] 袁 亮.我国深部煤与瓦斯共采战略思考[J].煤炭学报,2016,41(1):1-6.

YUAN Liang. Strategic thinking of simultaneous exploitation of coal and gas in deep mining[J]].Journal of China Coal Society,2016,41(1):1-6.

[5] 胡千庭,梁运培,林府进.采空区瓦斯地面钻井抽采技术试验研究[J].中国煤层气,2006,3(2):3-6.

HU Qianting,LIANG Yunpei,LIN Fujin. Test of drawing technology on surface borehole in coal mine goal[J].China Coalbed Methane,2006,3(2):3-6.

[6] 文光才,孙海涛.煤矿采动区地面井瓦斯抽采技术[J].煤矿安全,2015,46(S1):26-29.

WEN Guangcai,SUN Haitao. Ground well gas extraction techniques of mining area in coal mine[J]. Safety in Coal Mines,2015,46(S1):26-29.

[7] 林 飞,盛 萍,李春颖.煤层气藏水平井分段压裂裂缝参数优化[J].中州煤炭,2016(2):58-60.

LIN Fei,SHENG Ping,LI Chunying. Fracture parameters optimization during CBM reservoir horizontal well staged fracturing [J].Zhongzhou Coal,2016,220(2):58-60

[8] 张遂安,曹立虎,杜彩霞.煤层气井产气机理及排采控压控粉研究[J].煤炭学报,2014,39(9):1927-1931.

ZHANG Suian,CAO Lihu,DU Caixia. Study on CBM production mechanism and control theory of bottom-hole pressure and coal fines during CBM well production[J].Journal of China Coal Society,2014,39(9):1927-1931.

[9] 张 群,葛春贵,李 伟,等.碎软低渗煤层顶板水平井分段压裂煤层气高效抽采模式[J].煤炭学报,2018,43(1):150-159.

ZHANG Qun,GE Chungui,LI Wei,et al. A new model and application of coalbed methane high efficiency production from broken soft and low permeable coal seam by roof strata-in horizontal well and staged hydraulic fracture[ J]. Journal of China Coal Society,2018,43(1):150-159.

[10] 袁 亮,郭 华,李 平,等.大直径地面钻井采空区采动区瓦斯抽采理论与技术[J].煤炭学报,2013,38(1):1-8.

YUAN Liang,GUO Hua,LI Ping, et al. Theory and technology of goaf gas drainage with largediameter surface boreholes[J].Journal of China Coal Society,2013,38(1):1-8.

[11] SUN Haitao,ZHAO Xusheng,LI Rifu,et al. Emission reduction technology and application research of surface borehole methane drainage in coal mining-influenced region [J]. Environment Earth Sciences,2017,76:336.

[12] 付军辉,林府进,孙海涛,等.采动区地面煤层气开发悬挂生产套管的研究及实践[J].矿业安全与环保,2014,41(3):82-84.

FU Junhui,LIN Fujin,SUN Haitao,et al. Study and practice of developing production casing with coalbed methane over mining area [J].Mining Safety and Environmental Protection,2014,41(3):82-84.

[13] 李日富,文光才,司 鹄.晋城矿区采动区煤层气地面井抽采技术试验[J].煤矿安全,2012,43(8):11-13.

LI Rifu,WEN Guangcai,SI Hu. Test of coal bed gas ground well extraction technology in mining subsidence area of Jincheng mining area [J].Safety in Coal Mines,2012,43(8):11-13.

[14] 付军辉,李日富,王 然,等.采动区瓦斯地面井抽采技术在含水地层矿区的应用[J].矿业安全与环保,2020,47(2):66-69.

FU Junhui,LI Rifu,WANG Ran, et al. Application of gas ground well extraction technology in aquifer formation in mining area [J].Mining Safety and Environmental Protection,2020,47(2):66-69.

[15] 李日富.煤矿采动区地面L型顶板水平定向井抽采技术及试验[J].矿业安全与环保,2017,44(2):12-15.

LI Rifu. Coal-bed methane extraction technology and test by ground L-type roof horizontal directional well in mining area in coal mine [J].Mining Safety and Environmental Protection,2017,44(2):12-15.

[16] 李日富,梁运培,张 军.地面钻孔抽采采空区瓦斯效率影响因素[J].煤炭学报,2009,34(7):942-946.

LI Rifu,LIANG Yunpei,ZHANG Jun. Influencing factors of gas efficiency in goaf of ground borehole [J]. Journal of China Coal Society,2009,34(7):942-946.

[17] 孙海涛,文光才,孙东玲.煤矿采动区瓦斯地面井抽采技术 [M].北京:煤炭工业出版社,2017:81-94.

[18] 孙海涛.重复采动影响下地面井综合破坏机理及煤层气空间运移特征研究[R].北京:国家自然科学基金委员会,2018:25-31.

[19] 谢和平,林柏泉,周宏伟,等.深部煤与瓦斯共采理论与技术[M].北京:科学出版社,2017:4-7.

[20] 孙东玲,付军辉,孙海涛,等.采动区瓦斯地面井破断防护研究及应用[J].煤炭科学技术,2018,46(6):17-23.

Sun Dongling,FU Junhui,SUN Haitao,et al. Research and application of gas surface well breakage protection in mining area [J]. Coal Science and Technology,2018,46(6):17-23.

[21] 胡千庭,孙海涛.煤矿采动区地面井逐级优化设计方法[J].煤炭学报,2014,39(9):1907-1913.

HU Qianting,SUN Haitao. An optimization method of ground level well design in mining area [J]. Journal of China Coal Society,2014,39(9):1907-1913.

Research and application of “mining-gob”surface well extractionunder repeated disturbance in coal mines

ZHANG Zhigang1,2,LI Rifu 1,2

(1.State Key Laboratory of Gas Disaster Monitoring and Emergency Technology,Chongqing 400037,China;2.Chongqing Research Institute Ltd.China Coal Technology and Engineering Group,Chongqing 400037,China)

Abstract:In order to overcome the technical problem that the repeated disturbance of the ground in coal mining leads to more easily deformed and damaged surface wells,the paper analyzed the movement law of strata,the deformation mechanism of surface well,as well as the failure mode and characteristics,and found that the direct cause was excessive deformation of surface well. As a result,the identification conditions for failure of surface well were summarized as follows: ① the casing shear displacement exceeds the inner diameter of the pipe; ② The minimum tensile safety factor of the casing is less than the threshold value “1”. On the basis of this understanding,the five major surface well protection technology concepts such as “avoiding,resisting,yielding,dredging and protecting” were put forward,which can effectively reduce the repeated disturbance of the ground in terms of well location selection,well structure,drilling and completion technology and safety protection device. The research team used the results in designing five surface wells in Yuecheng Mine,all of which achieved “mining-gob” long-term continuous extraction,bringing about 52.4 million m3 pure gas volume in standard condition,which not only ensured the safe production of coal mine,but also improved the utilization of gas. Further analysis of the drainage data showed that the influence radius of surface well in the mining area after five years of continuous operation exceeded 800 m.

Key words:surface well in mining area; repeated disturbance; gas drainage;drainage influence range

中图分类号:TD822

文献标志码:A

文章编号:0253-2336(2021)10-0091-07

移动扫码阅读

张志刚,李日富.煤矿重复扰动“采动-采空”地面井抽采技术及应用[J].煤炭科学技术,2021,49(10):91-97.doi:10.13199/j.cnki.cst.2021.10.013

ZHANG Zhigang,LI Rifu.Research and application of “mining-gob”surface well extraction under repeated disturbance in coal mines[J].Coal Science and Technology,2021,49(10):91-97.doi:10.13199/j.cnki.cst.2021.10.013

收稿日期:2021-01-25

责任编辑:王晓珍

基金项目:国家科技重大专项资助项目(2016ZX05045001);重庆市科技创新领军人才计划资助项目(CSTCCXLJRC201911);山西省科技揭榜招标计划资助项目(20201101001)

作者简介:张志刚(1978—),男,山西忻州人,研究员。

通讯作者:李日富(1981—),男,山东威海人,研究员。E-mail:cqlirifu@163.com