新型指向式旋转导向钻井工具导向轴振动特性研究

张光伟,侯朋朋,李军强,马建青

(西安石油大学 机械工程学院,陕西 西安 710065)

摘 要:导向轴是指向式旋转导向钻井工具实现导向钻进的关键部件。在钻进过程中,导向轴受力复杂,易发生振动而影响旋转导向钻具的导向稳定性、精确性和可靠性,影响井眼轨迹控制、井壁质量和钻进效率等。以导向轴为研究对象,对其所受偏心环组的导向驱动力、旋转外套的转矩和地层岩石的侧向力进行受力分析,建立了导向轴力学模型,分析所受载荷。基于动力学理论和有限元方法对导向轴进行了纵向和横向2种振动的模态分析及谐响应分析;探讨了导向轴偏摆角对导向轴固有频率的影响,以及转矩、钻进压力和导向轴偏摆角对导向轴振动特性的影响。结果表明:导向轴偏摆角由0°增至6°过程中,横向振动固有频率增大较为明显,横向振动为导向轴的主要振动形式,距离导向节0.52 m处的导向轴与偏心环组连接处位置横向振幅较大;转矩和钻进压力对导向轴的纵向振动影响较大,随着转矩由1 000 N·m增大至1 600 N·m,导向轴的纵向振幅增大约1.3倍。

关键词:导向钻井工具;导向轴;偏摆角;振动模态

0 引 言

井下闭环旋转导向钻井技术代表了国内外钻井技术发展的最高水平和发展方向[1-2],标志着钻井技术向自动化和智能化方向推进[3],是解决越来越多现代多分支井、大位移水平井和超难定向井钻井过程中定向钻进不稳定和井眼轨迹难控制的核心技术[4-5]。中国石油天然气集团、中国石油化工集团、中国海洋石油总公司三大石油公司目前正大力开展旋转导向钻井技术研究,但旋转导向钻井技术在国内的应用尚不成熟[6-7],主要表现为导向钻具寿命短、关键部件易损坏、井眼轨迹难控制而出现偏差等,其中部分原因是由于旋转导向钻具结构复杂、井下作业环境恶劣,导致对旋转导向钻具动力学特性的井下试验、精确分析和定量计算非常困难。导向轴作为指向式旋转导向钻井工具的关键部件,在定向钻进过程中起着关键作用。

笔者研发了一种新型指向式旋转导向钻井工具[8]。该钻井工具的导向轴通过导向节与旋转外套连接,导向轴上部连接内外偏心环,并以导向节为支撑点做偏摆运动来实现导向控制,导向轴下部与钻头连接传递钻进压力和转矩以实现钻进破岩。由于内外偏心环旋转运动对导向轴产生的偏置力、地层岩石对导向轴钻头端的侧向力、以及钻进压力和转矩形成的交变载荷使导向轴易发生振动[9-10],剧烈的振动不仅会影响旋转导向钻具的导向能力、导向稳定性、精确性和可靠性,而且影响井眼轨迹控制、井壁质量、钻进效率等[11-13]。剧烈的振动和过度的循环动态载荷不仅加剧导向轴的磨损,甚至导致导向轴损坏、缩短导向轴的使用寿命[14-16]。因此,对导向轴的振动特性进行分析计算非常有必要。

1 导向轴的载荷分析及计算

导向轴通过导向节与旋转外套连接,旋转外套通过导向节将钻进压力和转矩传递给导向轴,驱动导向轴旋转。通过电机驱动导向轴上部安装的偏心环组旋转,在导向轴上部产生偏置力带动导向轴偏摆特定的角度实现导向控制。导向轴下端安装有钻头,导向轴将钻进压力和转矩传递给钻头以实现导向破岩钻进,具体结构如图1所示。

1—外偏心环驱动电机;2—外偏心环连接法兰;3—外偏心环;4—内偏心环;5—内偏心环连接法兰;6—内偏心环驱动电机;7—导向轴;8—导向节;9—密封装置;10—支撑球座;11—旋转外套
图1 指向式旋转导向工具导向机构示意
Fig.1 Schematic of steering mechanism of pointing rotary steering tool

笔者主要研究导向轴的振动特性,将导向轴和钻头视为刚性连接,以便于对导向轴进行受力分析和载荷计算,根据旋转导向钻具在实际使用中的损坏形式以及导向轴不具备较大长细比的特点,不考虑导向轴的扭转振动。

1.1 导向轴荷载分析

通过控制相互独立旋转的内外偏心环进行配合,组成一个偏心机构来驱动导向轴做偏摆运动实现导向控制的功能,此时导向轴顶部受到来自内外偏心环的偏置力。由于导向节处的支撑作用,导向轴在底部近钻头端受到地层岩石的侧向力;导向轴同时承载着旋转外套通过导向节传递给它的转矩和钻进压力。为方便分析计算,对导向轴的载荷分析做以下简化:①不考虑导向轴的工作面角,在二维平面上对导向轴进行受力分析和载荷计算;②导向轴钻头端的侧向力在轴向分量对钻进压力的影响忽略不计,导向轴的受力简化模型如图2所示。其中,F1为偏置力,F2为侧向力,F3为导向轴上的轴向力,F为钻具钻进压力,θ为导向轴的偏摆角度,M为转矩,L1L2分别为导向轴两端到导向节沿旋转外套轴线方向的距离。

图2 导向轴受力简化模型
Fig.2 Simplified model of guide shaft stress

根据导向轴的力学平衡条件得侧向力F2

F2cos θ=(F1L1)/L2

(1)

偏置力F1

(2)

其中:Fa为内偏心环的驱动力;Fb为外偏心环的驱动力;δ为内外偏心环驱动力的夹角,δ=ω2tω2为内偏心环转速,t为时间,导向轴上端偏心环组偏置力如图3所示。其中,R为偏心机构偏心距,r为外偏心环偏心距,w1为外偏心环转速。将内外偏心环的相关参数代入式(2)可得偏心环组的最大偏置力。

图3 导向轴上端偏心环组偏置力示意
Fig.3 Schematic of bias force of eccentric ring group at upper end of guide shaft

由式(1)、式(2)得侧向力F2

(3)

导向轴上的轴向力与钻进压力和导向轴的偏摆角有关,方向沿着导向轴指向钻头轴向力F3

F3=Fcos θ

(4)

1.2 导向轴偏摆角对载荷的影响

根据图2知,导向轴受到来自旋转外套通过导向节传递的转矩M和钻具钻进压力F,在实际钻井施工中,导向轴的偏摆角、转矩和钻进压力是根据实际的工况不断调节的,所以研究导向轴的振动情况须对导向轴在不同偏摆角、转矩和钻进压力的工况下进行分析计算。取实际钻井施工过程中常用的转矩、钻进压力和导向轴的偏摆角对导向轴的振动力学特性进行分析计算,见表1。

表1 导向轴常用钻进压力和转矩的取值
Table 1 Commonly used values of bit weight and torque for guide shafts

偏摆角θ/(°)0123456钻进压力F/kN100110120130140150160转矩M/(N·m)1 0001 1001 2001 3001 4001 5001 600

导向轴的偏摆角度在0°~6°内变化,导向节安装位置固定,根据式(3)应用Origin软件绘制侧向力随导向轴偏摆角度的变化曲线,如图4所示。由图4可知,导向轴偏摆角由0°增大至6°,侧向力F2的变化非常小,变化幅度为35 N,增大了0.5%,可忽略其变化,这里取其最大值F2=6 655.7 N。由式(4)可知,由于导向轴的偏摆角范围很小,因此导向轴偏摆角由0°增大至6°时,对导向轴轴向力的影响微小,认为导向轴的轴向力等于无偏摆角时对应的钻进压力。

图4 侧向力随偏摆角度的变化曲线
Fig.4 Curve of lateral force with Angle of yaw

2 导向轴振动仿真计算

通过三维建模软件对导向轴进行实体建模,然后将模型导入到ANSYS/workbench软件中进行仿真计算。首先对导向轴进行模态分析[17-19],模态分析得到导向轴纵向和横向2种振动的前10阶固有频率和振动模态,分析导向轴的模态特性及其变化规律,然后对导向轴进行谐响应分析,得到导向轴在不同钻进压力、不同转矩和不同偏摆角时的幅频特性曲线和导向轴的位移曲线。横向为垂直于导向轴所在的旋转外套的中心轴的长度方向,纵向为导向轴所在的旋转外套的中心轴的长度方向。

2.1 导向轴振动的有限元法理论

基于有限元理论,将导向轴视为杆件结构,将导向轴分割为n个较小的弹性单元,单元的端点为节点,由于将导向轴分割成了长度为l 的微小单元体,因此可将每个单元的质量和刚度集中到节点上,导向轴有限元离散模型示意如图5所示,单元内各点的位移运用插值法同样表示在节点上。对每一个单元的特征参数精确分析,然后求解出每一个单元的特征参量。通过组集的方法对每个节点的特征参量叠加得到导向轴整体结构离散模型的质量矩阵和刚度矩阵。

图5 导向轴有限元离散模型示意
Fig.5 Schematic of finite element discrete model of guide shaft

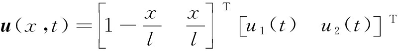
对离散模型的任一单元,以单元节点的位移ui(t)和ui+1(t)为节点坐标列写位移的计算式:

(5)

其中,Ni(x)为单元的形函数,表示1个节点坐标单位位移,其余节点坐标为零时单元的静变形函数,单元形函数为

N1(x)=1-x/l,N2(x)=x/l

(6)

将单元形函数代入式(5),构成单元内部的连续位移场,矩阵形式为

(7)

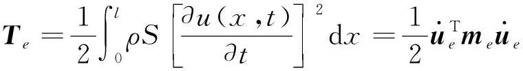
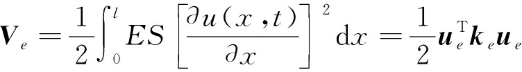
根据式(7)计算单元的动能和势能分别为

(8)

(9)

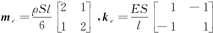
其中:ρ为单元密度;E为单元的弹性模量;S为截面面积;ue为单元位移矩阵;me为半日元质量矩阵;ke为单元刚度矩阵;为单元速度矩阵;e为离散模型中的任一单元。假设导向轴为线性材料,则ρSES为常数,由式(7)、式(8)可得单元的质量矩阵和刚度矩阵分别为

(10)

导向轴上存在轴向载荷,单元上作用有分布的轴向力f(x,t),则单元的广义力为

Fe=f(x,t)Ndx

(11)

根据节点坐标和全局坐标的关系,通过组集的方法将单元的质量矩阵me、刚度矩阵ke和单元的广义力Fe组合为系统结构的质量矩阵M、刚度矩阵K和系统结构的广义力F

(12)

(13)

(14)

根据拉格朗日方程得到导向轴结构离散模型在全局坐标系下的动力学方程为

(15)

2.2 仿真计算模型

进行导向轴模态分析,将导向轴实体模型导入到ANSYS/workbench中,定义导向轴的材料属性,对导向轴进行网格划分,先对导向轴整体进行划分再进行局部细化这样有助于提高计算精确度,然后对导向轴添加边界条件,定义导向轴模态求解阶数,最后进行仿真计算得到求解结果,导向轴的材料参数见表2。

表2 导向轴的材料参数
Table 2 Material parameters of guide shaft

材料密度/(kg·m-3)泊松比弹性模量/GPa屈服极限/MPa强度极限/MPa40CrNiMo7 8500.3201835980

根据导向轴在可控弯接头的旋转外套内部的具体安装情况对导向轴纵向振动和横向振动的模态分析边界条件进行设置。

1)纵向振动边界条件。导向轴与导向节连接处施加完全约束,限制其余各节点横向自由度,纵向不添加任何约束。

2)横向振动边界条件。限制导向轴顶部的纵向自由度,导向轴与导向节连接处施加完全约束,导向轴底部钻头处限制纵向自由度。

按照工程标准,设置导向轴模态求解的阶数为导向轴的前10阶模态。

2.3 导向轴模态分析

对导向轴分别进行不同偏摆角度的纵向振动和横向振动的前10阶模态分析求解,结果见表3。

表3 导向轴纵向和横向振动模态分析结果
Table 3 Modal analysis of longitudinal and transverse vibration of guiding shaft

阶数纵向振动频率/Hz横向振动频率/Hz0°1°2°3°4°5°6°0°1°2°3°4°5°6°1516.71516.80517.01517.36517.82518.39519.03193.15193.11195.95195.49195.12194.62194.032516.83516.97517.25517.95518.92520.02521.45193.15197.84214.24234.31259.50287.68317.6031 501.401 501.501 501.401 502.201 502.701 503.201 503.60938.37937.92961.96952.01953.80947.78935.3441 502.101 502.401 502.401 502.801 503.501 504.001 505.00938.41939.05962.67958.60955.54951.34946.4752 438.202 438.302 437.902 437.402 437.002 436.002 435.20952.62954.03966.78967.94972.25977.34984.1462 769.802 769.902 769.402 770.802 771.602 772.002 772.001 449.901 447.201 473.001 462.401 474.901 479.001 474.3072 771.402 771.802 771.802 772.302 773.502 774.102 775.801 451.101 450.801 479.301 464.601 482.401 487.901 483.0082 940.702 967.102 962.402 940.902 963.702 929.102 955.801 578.201 579.001 587.601 590.601 595.001 600.201 606.5092 943.502 978.802 976.802 942.602 978.602 939.402 978.402 031.802 032.302 113.602 108.502 109.402 108.902 109.70103 153.203 153.203 153.103 153.203 153.203 153.203 153.102 031.902 032.702 115.502 112.902 116.302 120.402 125.60

为更直观地查看导向轴纵向振动和横向振动的各阶固有频率,用曲线图表示导向轴偏摆角度为0°、3°、6°时的纵向振动和横向振动的前10阶固有频率及相对应的振型,如图6、图7所示。图中Z和H分别表示纵向和横向振动,由图6可知导向轴纵向振动的前10阶固有频率随模态阶数的增加而增大,且增大较快增幅较大;导向轴横向振动的前10阶固有频率与纵向振动变化趋势一致,但横向振动的前10阶固有频率和变化幅度小于纵向振动;导向轴的纵向振动和横向振动的前10阶固有频率随导向轴偏摆角度的增大有微小增大。由图7可知,纵向振动的振型在前4阶振型较小且变化平稳,5~10阶振型剧烈波动最大值达到32 mm;横向振动振型在前6阶出现较大波动,7~10阶振型较小且变化平稳;导向轴的纵向振动和横向振动的振幅随导向轴偏摆角度的增大略微增大。

图6 不同偏摆角纵、横振动固有频率
Fig.6 Natural frequencies of longitudinal and transverse vibrations with different yaw angles

图7 不同偏摆角纵、横振动最大振型曲线
Fig.7 Maximum mode curves of longitudinal and transverse vibrations with different yaw angles

导向轴纵向和横向2种振动的2阶固有频率曲线如图8所示,由图8、表3可知,导向轴的偏摆角度对纵向振动的固有频率影响微小,可忽略导向轴偏摆角度对纵向振动固有频率的影响;导向轴偏摆角度对横向振动的固有频率影响显著,导向轴横向振动固有频率随导向轴偏摆角度的增大明显增大。

图8 纵横2种振动的2阶固有频率曲线
Fig.8 Second order natural frequency curves of vertical and horizontal vibrations

2.4 导向轴谐响应分析

对导向轴进行谐响应分析具有重要的工程意义,谐响应分析能够计算导向轴结构在模态分析得到的固有频率下,受到不同外载荷钻进压力和转矩时纵向和横向2种振动的共振频率和振幅的响应曲线[20-22],同时可以确定导向轴结构承受不同外载荷钻进压力和转矩时的稳态响应,可从响应曲线上获得峰值响应的频率值、响应值及变化趋势。

对导向轴分别进行转矩和偏摆角度不变时,在不同钻进压力下的纵向和横向2种振动的谐响应分析;控制钻进压力和偏摆角度不变,在不同转矩下的纵向和横向2种振动的谐响应分析;控制钻进压力和转矩不变,在不同的导向轴偏摆角度下的纵向和横向2种振动的谐响应分析。钻进压力、转矩和导向轴的偏摆角度取值见表1,选择导向轴上安装内外偏心环组处的点A和导向轴近钻头端的点B,提取AB两点最大振幅和幅频特性结果数据来分析导向轴的振动特性以及导向轴的振动对导向系统的影响。将计算结果数据运用图形法进行可视化,得到导向轴纵向和横向2种振动条件下AB两点处的幅频特性曲线和不同钻进压力、转矩、偏摆角度的幅频曲线对比图。

导向轴纵向振动谐响应分析的结果曲线如图9—图12所示。其中图9为导向轴偏摆角度为0°时AB两点的幅频特性曲线,图10为控制转矩和钻进压力为最大值时A点的振幅曲线,图11、12为控制偏摆角度不变的幅频特性曲线。由图9可知,A点在频率为410、883 Hz附近发生剧烈共振,同时B点在频率为883 Hz附近发生剧烈共振,AB两点在1 829、2 522、3 122 Hz时均产生共振,振幅有所减小;由图10可知,导向轴上A点的纵向振幅随导向轴偏摆角度的增大整体呈增大趋势,偏摆角为0°~5°时振幅有微小波动幅度很小,6°时振幅急剧增加幅度较大,从侧面验证了常用导向轴偏摆角度范围的合理性。由图11可知,导向轴上A点的纵向振幅响应值随着钻进压力的增加而增大,当钻进压力由100 kN增至160 kN时,振幅增大了2倍,可知钻进压力对纵向振动的振幅影响很大。由图12可知,导向轴上A点的纵向振幅响应值随着转矩的增大而增大,当转矩由1 000 N·m增至1 600 N·m时,振幅增大了1.3倍。相较于转矩,钻进压力对导向轴的纵向振动影响较大。

图9 纵向振动幅频特性曲线
Fig.9 Amplitude-frequency characteristic curve of longitudinal vibration

图10 不同偏摆角度最大振幅曲线
Fig.10 Maximum amplitude curve of different yaw angle

图11 不同钻进压力的纵向振动幅频特性曲线
Fig.11 Amplitude-frequency characteristics of longitudinal vibration under different bit weights

图12 不同转矩的纵向振动幅频特性曲线
Fig.12 Amplitude-frequency characteristic curves of logitudinal vibration under different torques

导向轴横向振动谐响应分析的结果曲线如图13—图16所示,其中图13为导向轴偏摆角度为0°时AB两点的幅频特性曲线,图14为控制转矩和钻进压力为最大值时A点的振幅曲线,图15、图16为控制偏摆角度不变的幅频特性曲线。由图13可知,A点在频率为190、971、2 112 Hz附近发生剧烈共振,在190 Hz时振幅最大振动最强烈,B点在频率为1 457 Hz附近发生剧烈共振,振幅小于A点的最大振幅;由图14可知,导向轴上A点的横振幅随着导向轴偏摆角度的增大整体呈增大趋势,偏摆角在0°~5°时,振幅有较小幅度波动,6°时急剧增加幅度较大,再次从侧面验证了常用导向轴偏摆角度范围的合理性。可以看出导向轴偏摆角度对纵向振动和横向振动的影响趋势一致。由图15可知,导向轴上A点的横向振幅响应值随着钻进压力的增加有微小增大,几乎不变,可以看出钻进压力对导向轴横向振动的振幅影响微小。由图16可知,导向轴上A点的横向振幅响应值随着转矩的增大有微小增大,增大幅度非常小,可以看出转矩对导向轴横向振动的振幅几乎没有影响。相较于纵向振动,钻进压力和转矩对横向振动影响非常小。

图13 横向振动幅频特性曲线
Fig.13 Amplitude-frequency characteristic curve of transverse vibration

图14 不同偏摆角度最大振幅曲线
Fig.14 Maximum amplitude curve of different yaw Angle

图15 不同钻进压力的横向振动幅频特性曲线
Fig.15 Amplitude-frequency characteristics of transverse vibration under different bit weights

图16 不同转矩的横向振动幅频特性曲线
Fig.16 Amplitude-frequency characteristic curves of transverse vibration under different torques

通过对导向轴进行模态分析和谐响应分析,利用所得的导向轴不同偏摆角度工作时的固有频率和在外载荷激励下的振幅和幅频特性曲线,并结合这些结果能够指导导向轴的结构优化设计,改善旋转导向钻具在现场应用效果。

3 结 论

1)导向轴纵向振动的固有频率随着模态阶次的增加显著增大,横向振动固有频率值小于纵向振动的固有频率值,二者变化趋势相同。偏摆角度对纵向振动的固有频率影响微小,前6阶固有频率每阶约增大3 Hz,横向振动固有频率随偏摆角度的增大明显增大,前6阶中,2阶固有频率增大较多,为124 Hz,其余增大约为30 Hz。

2)导向轴的主振动为横向振动,主要发生在低频率段内,振幅较大,振动强烈。纵向振动主要发生在高频率段内,振幅较小。发生横向振动时,导向轴与偏心环组连接处振幅较大。现场使用时可通过调节转速改变激振频率避开导向轴发生共振的频率。

3)导向轴纵向振动和横向振动的幅频特性都随导向轴偏摆角度的增加而增大,对纵向振动影响更大,最大振幅由0.33 mm增大至0.85 mm。钻进压力对纵向振动的幅频特性影响较为显著,最大振幅由0.15 mm增大至0.8 mm,对横向振动的影响微小可以忽略。转矩对纵向振动的幅频特性影响较小,对横向振动影响更小可以忽略。

参考文献(References):

[1] 王植锐,王俊良.国外旋转导向技术的发展及国内现状[J].钻采工艺,2018,41(2):37-41.

WANG Zhirui,WANG Junliang. Development of rotary steering technology in foreign countries and its status quo in China [J]. Drilling & Production Technology,2018,41(2):37-41.

[2] 王敏生,光新军.定向钻井技术新进展及发展趋势[J].石油机械,2015,43(7):12-18.

WANG Minsheng,GUANG Xinjun. Advances and trend of directional drilling technology [J]. China Petroleum Machinery,2015,43(7):12-18.

[3] 熊继有,温杰文,荣继光,等.旋转导向钻井技术研究新进展[J].天然气工业,2010,30(4):87-90,147.

XIONG Jiyou,WEN Jiewen,RONG Jiguang,et al. New progress in the research of rotary steerable drilling technology [J]. Natural Gas Industry,2010,30(4):87-90,147.

[4] 王 鹏,盛利民,窦修荣,等.国外旋转导向最新技术进展与发展趋势[J].钻采工艺,2013,36(6):32-35.

WANG Peng,SHENG Limin,DOU Xiurong,et al. Newest development and tendency of foreign rotary steerable systems [J]. Drilling & Production Technology,2013,36(6):32-35.

[5] 蔚保宁,陈永亮,王志峰,等.井下定向钻进技术在探测断层中的应用研究[J].煤炭技术,2019,38(7):12-15.

YU Baoning,CHEN Yongliang,WANG Zhifeng,et al. Application of downhole directional drilling technology in fault detection [J]. Coal Technology,2019,38(7):12-15.

[6] 孙铭新.旋转导向钻井技术[M].北京:中国石油大学出版社,2009.

[7] 石智军,姚 克,田宏亮,等.煤矿井下随钻测量定向钻进技术与装备现状及展望[J].煤炭科学技术,2019,47(5):22-28.

SHI Zhijun,YAO Ke,TIAN Hongliang,et al. Present situation and prospect of directional drilling technology and equipment while drilling measurement in underground coal mine [J]. Coal Science and Technology,2019,47(5):22-28.

[8] 张光伟,展茂雷.新型全旋转动态指向式旋转导向钻井系统设计[J].石油机械,2016,44(5):13-17.

ZHANG Guangwei,ZHAN Maolei. Design of a new full rotation and dynamic pointthe-bit rotary steerable drilling system [J]. China Petroleum Machinery,2016,44(5):13-17.

[9] 何保生,王明杰,狄勤丰,等.带旋转导向工具的底部钻具组合动态应力有限元分析及优化[J].钻采工艺,2013,36(5):77-80.

HE Baosheng,WANG Mingjie,DI Qinfeng,et al. Finite element analysis and optimization of dynamic stress of BHA with rotary steering tool [J]. Drilling & Production Technology,2013,36(5):77-80.

[10] 刘金锁,刘盛东,张维鑫,等.钻柱振动录井技术的时频分析方法研究[J].煤炭科学技术,2019,47(7):183-188.

LIU Jinsuo,LIU Shengdong,ZHANG Weixin,et al.Research on time-frequency analysis method of drill string vibration logging technology[J].Coal Science and Technology,2019,47(7):183-188.

[11] 王文龙,胡群爱,刘化伟,等.钻柱纵向振动分析与应用[J].振动与冲击,2011,30(6):229-233.

WANG Wenlong,HU Qun’ai,LIU Huawei,et al. Analysis on longitudinal vibration of drill string and the corresponding application [J]. Journal of Vibration and Shock,2011,30(6):229-233.

[12] 王业强.旋转导向钻井工具导向力分配研究[D].大庆:东北石油大学,2016:26-40.

[13] 郑德帅,高德利,冯江鹏,等.推靠式和指向式旋转导向工具的造斜性能研究[J].石油钻采工艺,2011,33(6):10-13.

ZHENG Deshuai,GAO Deli,FENG Jiangpeng,et al. Study on deflection performance of backup and directional types of rotary steering tool [J].Oil Drilling & Production Technologys,2011,33(6):10-13.

[14] ENRICO B,JOHN D,ADRIANA M,et al. New rotary steerable drilling system delivers extensive formation evaluation for high build rate wells[C]//The SPE western regional menting.California:2015.

[15] 侯宝东,刘 伟,韩利宝,等.300℃定向钻井系统研究与应用[J].石油机械,2018,46(11):1-9.

HOU Baodong,LIU Wei,HAN Libao, et al. Research and application of 300 ℃ directional drilling system [J]. China Petroleum Machinery,2018,46(11):1-9.

[16] 张 鹤,狄勤丰,覃光煦,等.预弯底部钻具组合横向振动响应的快速求解[J].石油学报,2017,38(12):1441-1447.

ZHANG He,DI Qinfeng,QIN Guangxu,et al. Quick solution method for lateral vibration response of Pre-bent bottom-hole assembly [J]. Acta Petrolei Sinica,2017,38(12):1441-1447.

[17] 肖文生,王现锋,裴艳丽,等.基于 ANSYS 的钻柱纵向振动固有频率分析[J].钻采工艺,2011,34(5):93-95.

XIAO Wensheng,WANG Xianfeng,PEI Yanli et al. Natural frequency analysis of axial vibration of drill string based on ANSYS [J]. Drilling & Production Technology,2011,34(5):93-95.

[18] 王继红,汪 凯.汽车传动轴振动的仿真计算及优化[J].噪声与振动控制,2014,34(1):109-112.

WANG Jihong,WANG Kai.Simulation of vibration of an automobile transmission shaft and its optimization [J]. Noise and Vibration Control,2014,34(1):109-112.

[19] 闫向宏,孙建孟,张美玲,等.钻柱扭转和纵向振动的等效网络分析[J].工程力学,2011,28(2):229-233,245.

YAN Xianghong,SUN Jianmeng,ZHANG Meiling et al. Analysis of torsional and longitudinal vibration of drill strings using equivalent [J]. Engineering Mechanics,2011,28(2):229-233,245.

[20] 李思琪,毕福庆,李 玮,等.扭转冲击钻井稳态钻进动力学特性及现场应用[J].中国石油大学学报(自然科学版),2019,43(2):97-104.

LI Siqi,BI Fuqing,LI Wei,et al. Steady state drilling dynamic characteristics and field application of torsional percussion drilling [J]. Journal of China University of Petroleum (Edition of Natural Science),2019,43(2):97-104.

[21] 刘清友,孟庆华,庞东晓.钻井系统动力学仿真研究及应用[M].北京:科学出版社,2009.

[22] 高 峰,刘志强,周华群,等.反井钻具扩孔工况下的纵向振动分析[J].中国煤炭,2017,43(12):96-101.

GAO Feng,LIU Zhiqiang,ZHOU Huaqun et al. Analysis of longitudinal vibration of raise-boring machine under the reaming condition [J]. China Coal,2017,43(12):96-101.

Study on vibration characteristics of guiding shaft of newdirectional rotary steering drilling tool

ZHANG Guangwei,HOU Pengpeng,LI Junqiang,MA Jianqing

(College of Mechanical Engineering,Xian Shiyou University,Xian 710065,China)

Abstract:Steering shaft is a key component of directional rotary steering drilling tool to achieve steering drilling. When drilling,the steering shaft is subject to complex forces and is prone to vibration,which affects the steering stability,accuracy and reliability of the rotary steering drilling tool,thus affecting borehole trajectory control,wellbore quality and drilling efficiency. In this paper,the steering shaft was taken as the research object. The steering driving force of eccentric ring group,the torque of rotating jacket and the lateral force of stratum rock were analyzed and the mechanical model of the steering shaft was established to analyze the load. Based on the dynamic theory and finite element method,the modal analysis and harmonic response analysis of the longitudinal and transverse vibration of the guide shaft were carried out. The influence of the yaw angle of the guide shaft on the natural frequency of the guide shaft and the influence of the torque,the drilling pressure and the yaw angle of the guide shaft on the vibration characteristics of the guide shaft were discussed.The results show that when the yaw angle of the guide shaft increases from 0 to 6 degrees,the natural frequency of the transverse vibration increases significantly. Lateral vibration is the main vibration form of the guide shaft. The transverse amplitude of the connection between the guide shaft and the eccentric ring group is larger at the distance of 0.52 m from the guide joint. The torque and weight-on-bit have a greater impact on the longitudinal vibration of the guide shaft. As the torque increases from 1 000 N·m to 1 600 N·m,the longitudinal amplitude of the guide shaft increases by about 1.3 times. The research results provide theoretical references for the design of structural parameters of guide shaft,the improvement of guidance stability and accuracy,and well trajectory control.

Key words:steering drilling tool; steering shaft; yaw angle; vibration mode

中图分类号:TD41

文献标志码:A

文章编号:0253-2336(2021)10-0177-08

移动扫码阅读

张光伟,侯朋朋,李军强,等.新型指向式旋转导向钻井工具导向轴振动特性研究[J].煤炭科学技术,2021,49(10):177-184.doi:10.13199/j.cnki.cst.2021.10.024

ZHANG Guangwei,HOU Pengpeng,LI Junqiang,et al.Study on vibration characteristics of guiding shaft of new directional rotary steering drilling tool[J].Coal Science and Technology,2021,49(10):177-184.doi:10.13199/j.cnki.cst.2021.10.024

收稿日期:2021-03-27

责任编辑:李金松

基金项目:国家自然科学基金资助项目(51174164);陕西省自然科学基金资助项目(2018JM5015);西安石油大学研究生创新与实践能力培养资助项目(YCS19212055)

作者简介:张光伟(1961—),男,江苏无锡人,教授。E-mail:zhang-guangwei@163.com

通讯作者:侯朋朋(1994—),男,陕西西安人,硕士。E-mail:1239669620@qq.com