冲击荷载作用下不同煤阶煤的结构演化特征研究

李 冰1,2,3,陈 锋1,2,3,姜沛汶1,2,3,任建刚1,2,3,刘见宝1,2,3,4,宋志敏1,2,3,4

(1.河南工程学院 环境与生物工程学院,河南 郑州 451191;2.煤矿环境地质灾害综合治理技术河南省工程实验室,河南 郑州 451191;3.河南省煤产地土壤污染检测与治理工程研究中心,河南 郑州 451191;4.河南理工大学 资源环境学院,河南 焦作 454000)

摘 要:瓦斯的高效抽采和合理利用对于防治煤矿瓦斯灾害、改善空气质量和增加清洁能源供应都具有十分重要的意义。为探讨冲击荷载对煤体的微观孔隙结构和大分子形态学结构的影响,以褐煤(HM)、烟煤(YM)和无烟煤(WY)为研究对象,利用分离式霍普金森压杆(Separated Hopkinson Pressure Bar,SHPB)冲击试验系统模拟冲击应力在不同衰减过程中的冲击波和应力波,结合低温液氮和拉曼光谱测试数据,研究了冲击荷载作用下不同煤阶煤的结构演化特征和规律。结果表明,在冲击荷载的作用下,褐煤、烟煤和无烟煤的液氮总吸附量、总比表面积和总孔体积都减小(例如,在冲击荷载分别为0、0.5、0.75和1.0 MPa时,HM-0、HM-1、HM-2和HM-3的BJH总比表面积分别为7.066、6.611、4.468和3.548 m2/g),微孔均逐渐向过渡孔或中孔转化,微孔的占比减小,而过渡孔和中孔的占比之和增大。冲击荷载可以促进微孔中吸附的瓦斯有效解吸,提高过渡孔和中孔中瓦斯的扩散和渗流速度,很好地解释了煤储层在外载扰动的过程中会产生超量煤层气这一宏观现象。随着冲击荷载的逐渐增大,不同煤阶煤拉曼光谱D1峰的峰位置逐渐向高波数移动,G峰的峰位置逐渐向低波数移动,ID1/IG逐渐增大,且冲击荷载后不同煤阶煤的ID3/Itotal均较原始煤样所有减小。这表明,冲击荷载导致不同煤阶煤大分子形态学结构中微晶结构单元的破坏,微晶生长程度向无序化方向升高的方向发展,大分子内缺陷程度逐渐增加,无定形碳的相对量减少。

关键词:煤;冲击荷载;微观孔隙结构;大分子形态学结构;低温液氮;拉曼光谱

0 引 言

瓦斯是与煤炭共生的一种清洁能源,同时也制约着我国煤矿的安全生产。瓦斯的高效抽采和合理利用对于防治煤矿瓦斯灾害、改善空气质量和增加清洁能源供应都具有十分重要的意义[1-2]。煤矿中瓦斯的存储、扩散和运移主要是通过煤体的孔裂隙结构进行的。通过合理的外部扰动改造煤储层,增加煤层渗透性,有利于增加煤层中瓦斯的解吸、扩散和运移,从而提高煤层瓦斯抽采效果,降低煤矿瓦斯灾害的发生率。目前,通过外部扰动改造煤储层的方式主要包括:①冲击荷载,如深孔爆破、CO2相变致裂和电脉冲冲击波等[3-5];②物理场激励,如声场、电磁场、静电场等[6-7];③流体冲载,如高能气体、水力压裂等[8-9]。目前,国内外研究学者对冲击荷载对煤储层的改造作用进行了研究,取得了一些研究进展。例如,徐颖等[10]分析了冲击荷载下类煤岩组合体的能量耗散与破碎规律,结果表明,煤组分由于受到岩组分变形抑制作用而能量集聚程度更高,破碎耗能密度与破碎程度大于同等冲击强度下的煤单体,破碎过程岩组分的能量转移亦加剧了煤组分的破碎程度。朱婧菲[11]研究了冲击荷载下含瓦斯煤岩的动态响应特征,发现冲击荷载下煤岩的应力-应变曲线表现出“陡增平缓陡增屈服跌落”的变化趋势,随着瓦斯压力的增大,煤岩的强度不断下降,且煤岩的峰值应变随瓦斯压力逐渐减小,两者之间成线性递减关系。王以贤等[12]研究了冲击荷载对无烟煤微观孔隙结构的分形影响,表明:对于渗流孔,冲击荷载提高了瓦斯的渗流与运移速度,对于吸附孔,冲击荷载减小了吸附孔的吸附能力,促进了瓦斯的解吸,分形维数具有明显的冲击方向性,且吸附孔的分形维数明显小于渗流孔,研究结果可为冲击荷载促进瓦斯抽采机理的探讨提供参考。然而,关于冲击荷载对煤的微观孔隙结构和大分子形态学结构,特别是对不同煤阶煤影响的研究还比较少,还有待于进一步深入研究。

基于此,笔者以不同煤阶煤(褐煤、烟煤和无烟煤)为研究对象,利用分离式霍普金森压杆(SHPB)冲击试验系统模拟冲击应力在不同衰减过程中的冲击波和应力波,结合低温液氮和拉曼光谱测试数据,对冲击前后不同煤阶煤的微观孔隙结构和大分子形态学结构进行研究,以期获得冲击荷载作用下不同煤阶煤的结构演化特征及规律。该研究的开展将有利于进一步完善和丰富煤储层的强化改造理论,对于高效经济的煤层瓦斯抽采具有重要的推广价值和现实意义。

1 样品制备与试验过程

1.1 样品制备

研究主要围绕冲击荷载前后不同煤阶煤的结构演化开展研究。样品包括褐煤、烟煤和无烟煤,褐煤取自山西神木矿区,烟煤取自内蒙古鄂尔多斯东达联营矿区,无烟煤取自山西昔阳矿区。煤样均来自于矿井采煤工作面同一煤层的临近区域,以尽量减小煤样间物理化学结构的先天差异。煤样的准备根据GB/T 50266—2013《工程岩体试验方法标准》进行[13]。煤样SHPB冲击试验所用煤样确定为ø50 mm的圆柱形煤样,长径比取为0.5,即高度为25 mm。将每个煤样进行仔细打磨,两端不平行度控制在0.02 mm以内,垂直度不大于0.02 mm,直径的误差控制在0.1 mm以内。

1.2 试验过程

1.2.1 SHPB冲击试验

SHPB冲击试验系统主要由子弹发射系统、杆件系统和信号采集系统组成。具体的冲击试验过程为:将煤样放入入射杆和透射杆之间,三者紧密接触。通过气室中的高压气体的释放,推动子弹撞击入射杆,在入射杆中产生一维应力脉冲。当脉冲到达入射杆与煤样、煤样与透射杆的接触面时,会发生反射和透射。通过贴在入射杆和透射杆上的应变片,采集入射信号、反射信号和透射信号。子弹速度由激光测速装置得出。冲击试验完成后,保存数据并收集相关煤样品进行下一步的测试。试验设置3个冲击气压,分别为0.50、0.75和1.00 MPa,将褐煤未经过冲击试验和冲击荷载分别为0.50、0.75和1.0 MPa得到的4个煤样品分别命名为HM-0、HM-1、HM-2和HM-3。同理,将烟煤4个样品分别命名为YM-0、YM-1、YM-2和YM-3,将无烟煤4个样品命名为WY-0、WY-1、WY-2和WY-3。为了保证冲击前后低温液氮测试和拉曼测试数据的可对比性,试验样品均取自冲击前后圆柱体中轴线附近的煤颗粒。

1.2.2 低温液氮测试

选取12个煤样品圆柱体中轴线附近的煤颗粒,用球磨机粉碎后,过筛,得到粒径为0.17~0.25 mm(60~80目)的试验样品,随后将煤样品放入真空干燥箱内,在110 ℃下加热8 h,以保证煤样品中的杂质在长时间加热后蒸发、排出。煤样品预处理结束后,进行低温液氮测试。低温液氮测试利用的是康塔AUTOSORB IQ型全自动比表面积与孔隙度分析仪,可测定孔径为0.35~500 nm。利用等温线吸附支的数据,由BJH法获得12个煤样品的比表面积、孔体积以及孔径分布的数据。

目前常用的煤孔径结构划分方案主要有2种, B.B. Ходот提出的十进制孔径分类系统和国际纯粹与应用化学联合会(IUPAC)的划分方案[14]。笔者采用的是十进制划分法,即微孔:<10 nm,过渡孔:10~<100 nm,中孔:100~<1 000 nm,大孔:≥1 000 nm。一般来说,微孔主要构成瓦斯的储存空间,过渡孔主要构成瓦斯的扩散空间,中孔主要构成瓦斯缓慢层流渗透空间,而大孔主要构成瓦斯强烈层流渗透空间[15]

1.2.3 拉曼光谱测试

拉曼光谱测试对煤样品一般无特殊的粒径要求,试验所用的煤样品均为微粒状。拉曼测试所用仪器为inVia Reflex型显微激光拉曼光谱仪,测试的激光波长为532 nm。

2 结果与讨论

2.1 煤样基本参数测定

2.1.1 工业分析

工业分析主要测定煤中的水分、灰分、挥发分以及固定碳的百分含量。煤的工业分析是了解煤质特性的主要指标,也是评价煤质的基本依据。根据GB/T 212—2008《煤的工业分析方法》测得3种煤样的工业分析数据,见表1。由表1可以看出,褐煤(HM)、烟煤(YM)和无烟煤(WY)的固定碳质量分数分别为48.28%、53.85%和72.15%。

表1 不同煤阶煤的工业分析和显微组分
Table 1 Industrial analysis and maceral composition of different rank coals

煤样工业分析/%显微组分质量分数/%水分灰分挥发分固定碳类质体镜质体惰质体HM6.348.9136.4748.282.1861.5736.25YM7.1410.3728.6453.852.0170.5927.40WY2.4316.678.7572.150.9682.8116.23

2.1.2 显微组分

利用具有透射光和反射荧光功能的生物显微镜,对煤中的各显微组分百分含量进行数点法定量统计,根据各显微组分不同的加权系数计算出类型指数,从而确定有机质类型。煤的显微组分主要包括类脂体、镜质体和惰质体。根据GB/T 8899—2013《煤的显微组分组和矿物测定方法》测得3种煤样的显微组分数据见表1。可以看出,褐煤(HM)、烟煤(YM)和无烟煤(WY)的镜质体质量分数分别为61.57%、70.59%和82.81%。

2.1.3 冲击后照片

为了更直观地了解冲击荷载对煤样的破坏作用,冲击后不同煤阶煤的数码照片,如图1所示。由图1可以看出,冲击荷载对煤体结构有着一定程度的破坏作用,其中冲击荷载对褐煤的影响较小。而且,随着冲击荷载从0.50 MPa增加到0.75 MPa,再增加到1.00 MPa,不管是褐煤、烟煤,还是无烟煤,煤体的破坏程度均逐渐加大,细小粒径的煤颗粒数量增多。因此,从外观上看,冲击荷载确实可以对煤体的微观孔裂隙结构产生一定的改造作用。

图1 冲击后不同煤阶煤的照片
Fig.1 Digital photograph of different rank coals after shock load

2.2 低温液氮测试

2.2.1 液氮吸附-解吸等温线

液氮吸附-解吸等温线不同相对压力(P/Po)范围的形态可以反映煤样的表面物理特征及煤样与瓦斯之间的相互关系,相对压力的高低可以评价煤层储存性能,特别是煤层渗透性的优劣[16]。褐煤、烟煤和无烟煤的液氮吸附-解吸等温线如图2a、图2b和图2c所示。对于褐煤来说,HM-0、HM-1、HM-2和HM-3的液氮总吸附量分别为34.01、32.61、23.00和24.78 cm3/g。对于烟煤来说,YM-0、YM-1、YM-2和YM-3的液氮总吸附量分别为24.53、18.91、17.67和20.08 cm3/g。

图2 不同煤阶煤液氮吸附-解吸等温线
Fig.2 Liquid nitrogen adsorption-desorption isotherms of different rank coals

对于无烟煤来说,WY-0、WY-1、WY-2和WY-3的液氮总吸附量分别为39.37、31.55、27.62和26.37 cm3/g。可以看出,在冲击荷载的作用下,不管是褐煤、烟煤还是无烟煤,煤样品中的孔隙结构都在冲击荷载的作用下遭受到了不同程度的破坏,最终造成冲击荷载后煤样品的液氮总吸附量较原始煤样有所减小,这也表明冲击荷载作用对煤样品的吸附特性产生了影响。

2.2.2 比表面积和孔体积

12个煤样的BJH总比表面积、总孔体积、阶段孔比表面积和孔体积的数据总结见表2。图3为不同煤阶煤阶段孔比表面积占比图,图4为不同煤阶煤孔体积占比图。对于褐煤而言,原始煤样HM-0的总比表面积和总孔体积分别为7.066 m2/g和0.052 cm3/g,当冲击荷载分别为0.5、0.75和1.0 MPa时,HM-1、HM-2和HM-3的总比表面积分别降至为6.611、4.468和3.548 m2/g,总孔体积分别降至为0.050、0.035和0.030 cm3/g,说明冲击荷载会导致煤样的孔隙结构发生改变,导致总比面积和总孔体积均减小。而且,结合表2、图3a和图4a,可以看出,直径10 nm以下微孔的比表面积占比由HM-0的56.52%逐渐递减到HM-1的53.20%、HM-2的39.23%和HM-3的0,10 nm以下微孔的孔体积占比也体现出相似的规律。而对于10~100 nm的过渡孔以及100~1 000 nm的中孔的比表面积和孔体积占比,随着冲击荷载的逐渐增大,没有表现出明显的递增规律,但过渡孔以及中孔的比表面积和孔体积占比总和是逐渐增大的。这说明,在冲击荷载的作用下,褐煤的微孔逐渐向过渡孔或中孔转化。

对于烟煤而言,YM-0、YM-1、YM-2和YM-3的总比表面积分别为4.221、3.569、3.563和3.492 m2/g,总孔体积分别为0.037、0.029、0.026和0.030 cm3/g,总体而言,随着冲击荷载的逐渐增大,总比表面积和总孔体积逐渐减小。从表2、图3b和图4b可以看出,随着冲击荷载的逐渐递增,微孔的比表面积和孔体积占比逐渐减小,而中孔的比表面积和孔体积占比呈递增的趋势(除YM-1的中孔孔体积占比从39.31%弱微减小到YM-2的38.46%)。这表明,在冲击荷载的作用下,烟煤的微孔逐渐向过渡孔,过渡孔逐渐向中孔转化。

对于无烟煤来说,相对于原始煤样(WY-0),冲击荷载后3个煤样(WY-1、WY-2和WY-3)的总比表面积和总孔体积均减小,表现出与褐煤和烟煤相似的规律。而且,由表2、图3c和图4c可知,WY-1、WY-2和WY-3这3个煤样微孔的比表面积和孔体积占比相较于WY-0均有所减小,表明冲击荷载同样可以使煤样的微孔逐渐向过渡孔或中孔转化。

图3 不同煤阶煤阶段孔比表面积占比
Fig.3 Staged specific surface area ratio of different rank coals

图4 不同煤阶煤孔体积占比
Fig.4 Pore volume ratio of different rank coals

表2 不同煤样BJH阶段孔比表面积及孔体积
Table 2 BJH staged specific surface area and pore volume of different coal samples

煤样BJH总比表面积/(m2·g-1)阶段孔比表面积/(m2·g-1),阶段孔比表面积占比/%<10 nm10~<100 nm100~<1 000 nmBJH总孔体积/(cm3·g-1)孔体积/(cm3·g-1),孔体积占比/%<10 nm10~<100 nm100~<1 000 nmHM-07.0663.994,56.5202.540,35.9500.532,7.5300.0520.005 4,10.380 00.020 7,39.810 00.025 9,49.810 0HM-16.6113.517,53.2002.390,36.1500.704,10.6500.0500.004 7,9.400 00.020 3,40.600 00.025 0,50.000 0HM-24.4681.753,39.2302.417,54.1000.298,6.6700.0350.002 5,7.140 00.020 5,58.570 00.012 0,34.290 0HM-33.5480.000,0.0001.820,51.3001.728,48.7000.0300,00.004 7,15.700 00.025 3,84.300 0YM-04.2212.092,49.5601.948,46.1500.181,4.2900.0370.004 8,12.970 00.019 2,51.890 00.013 0,35.140 0YM-13.5691.644,46.0601.685,47.2100.240,6.7300.0290.002 6,8.970 00.015 0,51.720 00.011 4,39.310 0YM-23.5631.55,43.501.728,48.5000.285,8.0000.0260.002 2,8.460 00.013 8,53.080 00.010 0,38.460 0YM-33.4921.413,40.4601.709,48.9400.370,10.6000.0300.002 0,6.670 00.013 0,43.330 00.015 0,50.000 0WY-09.6894.857,50.1304.348,44.8700.484,5.0000.0590.006 5,11.020 00.034 5,58.470 00.018 0,30.510 0WY-15.4112.133,39.4202.720,50.2700.558,10.3100.0480.003 7,7.710 00.023 3,48.540 00.021 0,43.750 0WY-25.3072.099 0,39.550 02.789 0,52.550 00.419 0,7.900 00.0420.003 0,7.140 00.023 0,54.760 00.016 0,38.100 0WY-35.3422.111,39.5202.793,52.2800.438,8.2000.0400.002 8,7.000 00.021 2,53.000 00.016 0,40.000 0

2.2.3 孔径分布

不同煤阶煤液氮孔径分布图如图5所示,可以看出,12个煤样的孔径分布范围均比较宽泛,均含有微孔、过渡孔以及中孔。冲击荷载加载前,在10 nm以下的微孔范围内,HM-0存在着3.98 nm和5.42 nm的2个峰,YM-0存在着3.83 nm的1个峰,而WY-0存在着3.82 nm的1个峰。冲击荷载加载后,褐煤、烟煤和无烟煤微孔的占比均有所减小,这与比表面积和孔体积的分析结果相一致。这也表明,冲击荷载会使煤样的微孔逐渐向过渡孔或中孔转变。

图5 不同煤阶煤液氮孔径分布
Fig.5 Liquid nitrogen pore size distribution of different rank coals

总体而言,结合低温液氮测试结果可知,在冲击荷载的作用下,褐煤、烟煤、无烟煤的微孔均逐渐向过渡孔或中孔转化,微孔的占比减小,而过渡孔和中孔的占比总和增大。微孔主要构成瓦斯的储存空间,过渡孔和中孔分别构成瓦斯的扩散空间和缓慢层流渗透空间。因此,冲击荷载可以促进微孔中吸附的瓦斯有效解吸,提高过渡孔和中孔中瓦斯的扩散和渗流速度[12,17]。这也解释了煤储层在外载扰动的过程中会产生超量煤层气,从而导致煤与瓦斯的突出[18]

2.3 拉曼光谱测试

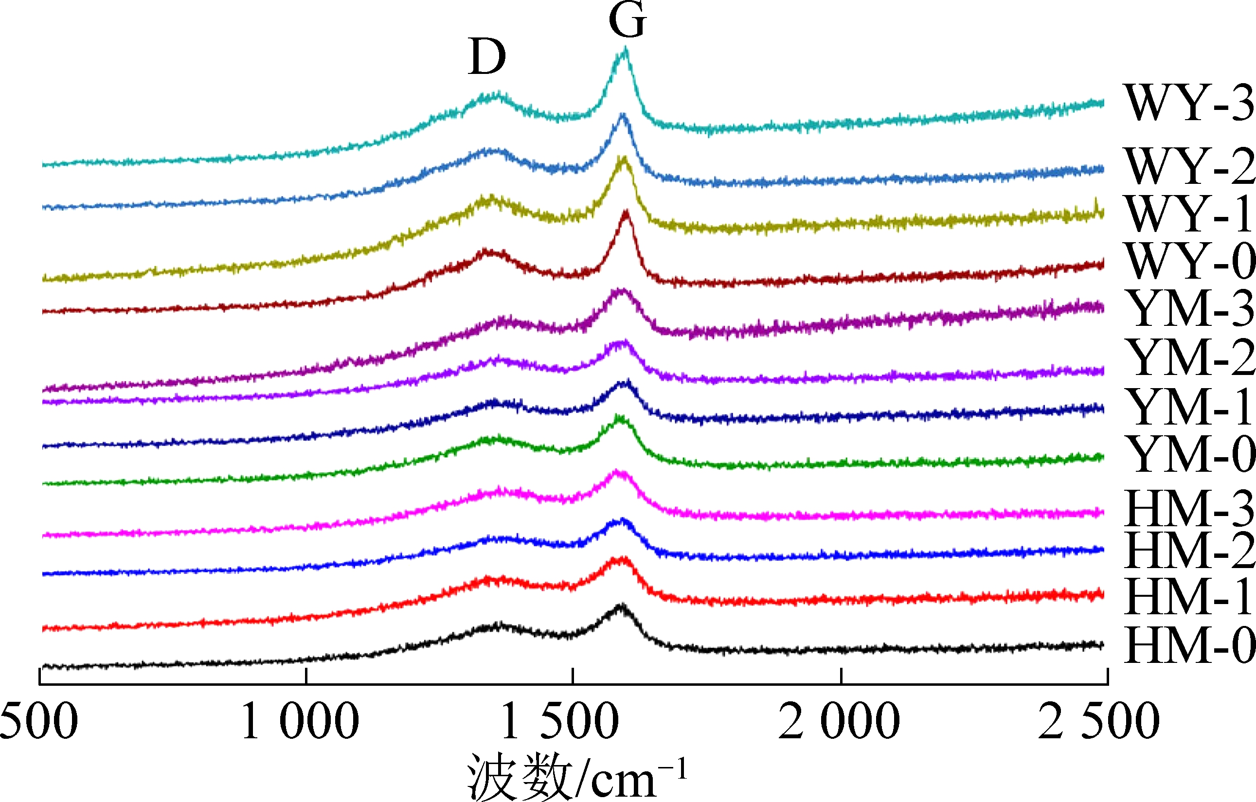
拉曼光谱是无损快速的检测技术,可以用来揭示煤样品内部无定型结构杂乱度和内部微晶结构有序度[19]。不同煤阶煤拉曼原始光谱图如图6所示,可以看出,12个煤样均含有2个明显的峰,1个是位于1 340~1 375 cm-1的D峰,另1个是位于1 580~1 592 cm-1的G峰。D峰的产生归因于煤大分子结构单元内的晶格缺陷或杂原子的存在,又称无序峰,G峰是拉曼光谱曲线内唯一类石墨特征谱峰[20]

图6 不同煤阶煤拉曼原始光谱
Fig.6 Raman original spectrograms of different rank coals

为定量化研究冲击荷载作用对拉曼光谱参数(峰类型、峰位置、峰面积和峰值等)的影响,需要对拉曼光谱的特征D峰和G峰进行分峰拟合。根据以往研究,拉曼光谱的D峰和G峰特征峰是由若干个分峰重叠的结果,需要根据拉曼位移及其振动模式来判断分峰的数量及相应波数[21]。富碳材料的拉曼特征谱峰带及振动模式见表3,笔者采用类似的分类方法进行分峰拟合[22]

表3 富碳材料拉曼特征谱峰带及振动模式
Table 3 Raman bands and vibration modes of carbonaceous materials

特征谱峰带拉曼位移/cm-1振动模式D1~1 350无序石墨晶格结构(石墨烯层边缘,A1g对称振动)D2~1 620无序石墨晶格结构(表面石墨烯层,E2g对称振动)D3~1 500无定形碳结构(高斯线性状)D4~1 200无序石墨晶格结构、多烯类或离子杂质(A1g对称振动)G~1 580理想石墨晶格空间群(E2g对称振动)

根据表3拉曼特征谱峰带及振动模式的分类标准,用Omnic 9.2对拉曼光谱进行25点平滑处理,截取800~2 000 cm-1波段拉曼峰,进行基线校正,随后用peakfit v 4.12进行拉曼光谱分峰拟合,其中对G、D1、D2和D4峰进行洛伦兹拟合,对D3峰进行高斯拟合,得到不同冲击荷载作用下褐煤、烟煤和无烟煤的拉曼分峰拟合图和拉曼分峰拟合参数,如图7、图8和图9所示,以及见表4、表5和表6,所有拟合结果的R2均大于0.99,表明拟合数据的准确性和可信度较高。基于分峰拟合结果,选择特征峰的峰位置、峰面积、峰位差G-D1、峰强比ID1/IG以及ID3/Itotal这5个分峰拟合参数来定量分析冲击荷载对煤样大分子形态学结构的影响。峰位差G-D1和峰强比ID1/IG可以用来评估富碳材料大分子的结晶度和缺陷,在某种程度上也可以反映芳香环的有序度和生长度,而峰强比ID3/Itotal间接地反映出无定形碳的相对量[20]

表5 不同冲击荷载作用下烟煤的拉曼分峰拟合参数
Table 5 Raman peak fitting parameters of bitumite under different shock load

样品类型峰型峰位置/cm-1峰面积G-D1ID1/IGID3/ItotalR2YM-0D41 262.018 223.1D11 355.045 527.4D31 458.017 024.6G1 585.670 409.8D21 633.63 638.1230.60.646 60.110 00.997 2YM-1D41 267.316 843.0D11 359.131 503.4D31 463.912 198.7G1 585.247 458.1D21 636.73 928.0226.10.663 80.109 00.998 4YM-2D41 268.418 314.9D11 363.041 836.2D31 465.710 530.6G1 581.360 849.8D21 640.85 279.5218.30.687 50.077 00.997 9YM-3D41 294.320 270.8D11 372.642 493.9D31 470.515 036.4G1 580.161 133.5D21 634.22 794.0207.50.695 10.106 10.996 5

续表

样品类型峰型峰位置/cm-1峰面积G-D1ID1/IGID3/ItotalR2WY-3D41 255.631 662.6D11 349.758 657.8D31 458.122 332.3G1 583.082 851.5D21 595.23 164.1233.30.708 00.112 40.990 1

表6 不同冲击荷载作用下无烟煤的拉曼分峰拟合参数
Table 6 Raman peak fitting parameters of anthracite under different shock load

样品类型峰型峰位置/cm-1峰面积G-D1ID1/IGID3/ItotalR2WY-0D41 261.023 285.2D11 346.044 797.8D31 434.721 900.3G1 590.168 712.1D21 629.22 152.2244.10.652 00.136 20.995 5WY-1D41 270.033 314.1D11 348.954 928.9D31 447.027 031.0G1 584.382 624.8D21 712.11 353.9235.40.664 80.135 70.993 7WY-2D41 254.028 240.0D11 348.347 510.4D31 458.423 085.1G1 583.368 118.9D21 639.73 802.8235.00.697 50.135 20.998 1

图7 不同冲击荷载作用下褐煤的拉曼分峰拟合
Fig.7 Raman peak fitting diagrams of lignite under different shock load

图8 不同冲击荷载作用下烟煤的拉曼分峰拟合
Fig.8 Raman peak fitting diagrams of bitumite under different shock load

图9 不同冲击荷载作用下无烟煤的拉曼分峰拟合
Fig.9 Raman peak fitting diagrams of anthracite under different shock load

由表4、5和6可知,不管是褐煤、烟煤,还是无烟煤,随着冲击荷载的逐渐增大,D1峰的峰位置逐渐向高波数移动(其中有个别例外,如WY-1煤样D1峰的峰位置为1 348.9 cm-1,而WY-2煤样D1峰的峰位置为1 348.3 cm-1),而G峰的峰位置逐渐向低波数移动,这就导致峰位差G-D1随着冲击荷载的逐渐增大而不断变小。两者波数差的减小可能是煤样大分子形态学结构中的微晶结构单元的破坏造成的[20,23],这或许从侧面也解释了为什么煤样中微孔的占比会减小。

表4 不同冲击荷载作用下褐煤的拉曼分峰拟合参数
Table 4 Raman peak fitting parameters of lignite under different shock load

样品类型峰型峰位置/cm-1峰面积G-D1ID1/IGID3/ItotalR2HM-0D41 244.924 786.3D11 345.648 377.9D31 441.523 423.9G1 582.080 211.5D21 750.31 849.4236.40.603 10.131 10.996 4HM-1D41 236.325 798.5D11 345.756 637.5D31 447.422 702.6G1 581.484 739.6D21 755.05 068.2235.70.668 40.116 50.997 7HM-2D41 209.020 111.8D11 353.147 654.4D31 451.613 838.8G1 580.869 142.1D21 760.51 782.1227.70.689 20.090 70.990 2HM-3D41 253.92 8217.7D11 354.459 548.6D31 447.722 445.2G1 579.385 879.1D21 767.13 253.0224.90.693 40.112 60.998 4

ID1/IG,HM-0、HM-1、HM-2和HM-3的ID1/IG分别为0.603 1、0.668 4、0.689 2和0.693 4,YM-0、YM-1、YM-2和YM-3的ID1/IG依次为0.646 6、0.663 8、0.687 5和0.695 1,而WY-0、WY-1、WY-2和WY-3的ID1/IG依次为0.652 0、0.664 8、0.697 5和0.708 0。不同煤阶煤的ID1/IG均随着冲击荷载的逐渐增大而逐渐增大,表明煤样的微晶生长程度往无序化方向升高的方向发展,煤样大分子内缺陷程度逐渐增加[20,24]。至于ID3/Itotal,可以看出,褐煤、烟煤以及无烟煤的ID3/Itotal没有随着冲击荷载的逐渐增大而表现出规律性的减小,但不同煤阶煤样冲击荷载后的ID3/Itotal均较原始煤样所有减小,表明冲击荷载可使煤样中无定形碳的相对量减少[20]

3 结 论

1)在冲击荷载的作用下,褐煤、烟煤和无烟煤的液氮总吸附量、总比表面积和总孔体积减小,微孔均逐渐向过渡孔或中孔转化,微孔的占比减小,而过渡孔和中孔的占比之和增大。

2)冲击荷载可以促进微孔中吸附的瓦斯有效解吸,提高过渡孔和中孔中瓦斯的扩散和渗流速度,很好地解释了煤储层在外载扰动的过程中会产生超量煤层气的原因。

3)随着冲击荷载的逐渐增大,不同煤阶煤拉曼光谱D1峰的峰位置逐渐向高波数移动,G峰的峰位置逐渐向低波数移动,ID1/IG逐渐增大,且冲击荷载后不同煤阶煤的ID3/Itotal均较原始煤样所有减小。这表明,冲击荷载导致煤样大分子形态学结构中微晶结构单元的破坏,微晶生长程度往无序化方向升高的方向发展,大分子内缺陷程度逐渐增加,煤样中无定形碳的相对量减少。

参考文献(References):

[1] ZHENG Cao,MA Dongmin,CHEN Yue,et al. Pore structure of different macroscopically distinguished components within low-rank coals and its methane desorption characteristics[J]. Fuel,2021,293:120465.

[2] QIN Lei,WANG Ping,LI Shugang,et al. Gas adsorption capacity changes in coals of different ranks after liquid nitrogen freezing[J]. Fuel,2021,292:120404.

[3] 曹有勋,马衍坤,毛小艺,等. 松软煤层多孔爆破的裂纹分布及区域电阻率响应实验研究[J]. 中国安全生产科学技术,2020,16(10):71-77.

CAO Youxun,MA Yankun,MAO Xiaoyi,et al. Experimental study on crack distribution and regional electrical resistivity response of soft coal seams after multi-hole blasting[J]. Journal of Safety Science and Technology,2020,16(10):71-77.

[4] 吴 迪,王翰阳,苗 丰,等. 超临界CO2作用下CO2渗流特性与煤层增透效果研究[J]. 煤炭科学技术,2020,48(10):90-96.

WU Di,WANG Hanyang,MIAO Feng,et al. Study on CO2 seepage characteristics and permeability enhancement effect of coal seam under supercritical CO2 condition[J]. Coal Science and Technology,2020,48(10):90-96.

[5] 张永民,邱爱慈,秦 勇. 电脉冲可控冲击波煤储层增透原理与工程实践[J]. 煤炭科学技术,2017,45(9):79-85.

ZHANG Yongmin,QIU Aici,QIN Yong. Principle and engineering practices on coal reservoir permeability improved with electric pulse controllable shock waves[J]. Coal Science and Technology,2017,45(9):79-85.

[6] 姜永东,李 业,崔悦震,等. 声场作用下煤储层渗透性试验研究[J]. 煤炭学报,2017,42(S1):154-159.

JIANG Yongdong,LI Ye,CUI Yuezhen,et al. Experimental study on characteristics of coal reservoir permeability under acoustic wave[J]. Journal of China Coal Society,2017,42(S1):154-159.

[7] 李彦斌,郭勇义,王 东. 电场对煤表面结构及瓦斯吸附性的影响[J]. 煤炭学报,2016,41(11):2786-2792.

LI Yanbin,GUO Yongyi,WANG Dong. Coal surface structure and gas adsorption under direct current electric field treatment[J]. Journal of China Coal Society,2016,41(11):2786-2792.

[8] 刘文博. 高能气体冲击增透过程中裂纹扩展规律的研究[D]. 太原:太原理工大学,2018.

[9] 张永将,黄振飞,季 飞. 基于水力割缝卸压的煤岩与瓦斯动力灾害防控技术[J]. 煤炭科学技术,2021,49(4):133-141.

ZHANG Yongjiang,HUANG Zhenfei,JI Fei. Prevention and control technology of coal-rock and gas dynamic disaster based on water jet slotting pressure relief[J]. Coal Science and Technology,2021,49(4):133-141.

[10] 李成杰,徐 颖,叶洲元. 冲击荷载下类煤岩组合体能量耗散与破碎特性分析[J]. 岩土工程学报,2020,42(5):981-988.

LI Chengjie,XU Ying,YE Zhouyuan. Energy dissipation and crushing characteristics of coal-rock-like combined body under impact loading[J]. Chinese Journal of Geotechnical Engineering,2020,42(5):981-988.

[11] 朱婧菲. 冲击荷载下含瓦斯煤岩动态响应特征研究[J]. 煤炭与化工,2020,43(1):105-107.

ZHU Jingfei. Study on dynamic response characteristics of coal and rock containing gas under impact loading[J]. Coal and Chemical Industry,2020,43(1):105-107.

[12] 王以贤,梁为民. 冲击荷载对无烟煤微观孔隙影响的分形研究[J]. 高压物理学报,2020,34(5):134-144.

WANG Yixian,LIANG Weimin. Fractal study on influence of impact load on microscopic pore of anthracite[J]. Chinese Journal of High Pressure Physics,2020,34(5):134-144.

[13] 王登科,刘淑敏,魏建平,等. 冲击载荷作用下煤的破坏特性试验研究[J]. 采矿与安全工程学报,2017,34(3):594-600.

WANG Dengke,LIU Shumin,WEI Jianping,et al. The failure characteristics of coal under impact load in laboratory[J]. Journal of Mining & Safety Engineering,2017,34(3):594-600.

[14] 刘世奇,王 鹤,王 冉,等. 煤层孔隙与裂隙特征研究进展[J]. 沉积学报,2021,39(1):212-230.

LIU Shiqi,WANG He,WANG Ran,et al. Research advances on characteristics of pores and fractures in coal seams[J]. Acta Sedimentologica Sinica,2021,39(1):212-230.

[15] B B 霍多特. 煤与瓦斯突出[M]. 北京:中国工业出版社,1966.

[16] 李焕同,陈 飞,邹晓艳,等. 基于低温液氮吸附法的陕南中低煤级煤孔隙结构特征[J]. 中国科技论文,2019,14(7):808-814.

LI Huantong,CHEN Fei,ZOU Xiaoyan,et al. Pore structure characteristics of medium and low rank coal in Southern Shaanxi based on low-temperature nitrogen adsorption method[J]. China Sciencepaper,2019,14(7):808-814.

[17] 王以贤,梁为民. 冲击荷载对无烟煤微纳观孔隙结构的影响[J]. 天然气工业,2019,39(9):73-81.

WANG Yixian,LIANG Weimin. Effect of impact loads on the micronanopore structure of anthracite coal[J]. Natural Gas Industry,2019,39(9):73-81.

[18] 董怡静,韩雨桢,候泉林,等. 煤变形产气的力化学机理探讨[J]. 煤炭学报,2017,42(4):942-949.

DONG Yijing,HAN Yuzhen,HOU Quanlin,et al. Mechanochemistry mechanism of gas generation during coal deformation[J]. Journal of China Coal Society,2017,42(4):942-949.

[19] BEYSSAC Olivier,GOFFÉ Bruno,PETITET Jean-Pierre,et al. On the characterization of disordered and heterogeneous carbonaceous materials by Raman spectroscopy[J]. Spectrochimica Acta Part A:Molecular and Biomolecular Spectroscopy,2003,59(10):2267-2276.

[20] 张开仲. 构造煤微观结构精细定量表征及瓦斯分形输运特性研究[D]. 徐州:中国矿业大学,2020.

[21] WU Dun,LIU Guijian,SUN Ruoyu,et al. Influences of magmatic intrusion on the macromolecular and pore structures of coal:Evidences from Raman spectroscopy and atomic force microscopy[J]. Fuel,2014,119:191-201.

[22] SADEZKY A,MUCKENHUBER H,GROTHE H,et al. Raman microspectroscopy of soot and related carbonaceous materials:spectral analysis and structural information[J]. Carbon,2005,43(8):1731-1742.

[23] 李 霞,曾凡桂,王 威,等. 低中煤级煤结构演化的拉曼光谱表征[J]. 煤炭学报,2016,41(9):2298-2304.

LI Xia,ZENG Fangui,WANG Wei,et al. Raman characterization of structural evolution in the low-middle rank coals[J]. Journal of China Coal Society,2016,41(9):2298-2304.

[24] 李焕同,王 楠,朱志蓉,等. 高煤级煤—隐晶质石墨的Raman光谱表征及结构演化[J]. 煤田地质与勘探,2020,48(1):34-41.

LI Huantong,WANG Nan,ZHU Zhirong,et al. Raman spectrum characteristic and structural evolution of high rank coals-cryptocrystalline graphite[J]. Coal Geology & Exploration,2020,48(1):34-41.

Study on structure evolution features of different rank coals under shock load

LI Bing1,2,3,CHEN Feng1,2,3,JIANG Peiwen1,2,3,REN Jiangang1,2,3,LIU Jianbao1,2,3,4,SONG Zhimin1,2,3,4

(1.School of Environmental and Biological EngineeringHenan University of EngineeringZhengzhou 451191,China;2.Henan Engineering Laboratory of Comprehensive Treatment Technology of Environmental Geological Disaster in Coal MineZhengzhou 451191,China;3.Engineering Research Center of Soil Pollution Detection and Controlling in Coal Producing Area of Henan ProvinceZhengzhou 451191,China;4.School of Resource and EnvironmentHenan Polytechnic UniversityJiaozuo 454000,China)

Abstract:The efficient extraction and rational utilization of gas are of great significance for preventing and controlling the gas disaster,improving the air quality and increasing the supply of clean energy. In order to explore the influence of shock load on the microscopic pore structure and macromolecular morphological structure of coal,the lignite,bitumite and anthracite were taken as the research objects,and the Separated Hopkinson Pressure Bar (SHPB) impact test system was used to simulate the shock wave and stress wave of impact stress in the different attenuation processes In. combined with the test data of low temperature liquid nitrogen and Raman spectra,the characteristics and laws of structural evolution of different rank coals under the shock load were studied. The results showed that the total adsorption capacities,total specific surface areas and total pore volumes of lignite,bitumite and anthracite decreased under the effect of shock load. For example,when the shock load were 0,0.5,0.75 and 1.0 MPa,the total BJH specific surface areas of HM-0,HM-1,HM-2 and HM-3 were 7.066,6.611,4.468 and 3.548 m2/g,respectively. The micropores were gradually transformed into transition pores or mesopores,and the proportion of micropores decreased,while the sum of the proportion of transitional pores and mesopores increased. The shock load could promote the effective desorption of gas adsorbed in micropores and improve the diffusion and seepage velocity of gas in transitional pores and mesopores,which could well explain the macroscopic phenomena of the produce of excess coalbed methane in the process of disturbance in coal reservoir. With the increase of the shock load,the D1 peak positions of Raman spectrum for different rank coals gradually moved to the high wave number,the G peak positions gradually moved to the low wave number,and the ID1/IG gradually increased. After the shock load,the ID3/Itotal of different rank coals decreased compared with the original coal sample. This suggestted that the shock load leaded to the destruction of the microcrystalline structure units in the macromolecular morphological structure of different rank coals,and the degree of microcrystalline growth increased towards the direction of disorder. The degree of intramolecular defects gradually increased,and the relative amount of amorphous carbon also decreased.

Key words:coal; shock load; microscopic pore structure; macromolecular morphological structure; low temperature liquid nitrogen; Raman spectrum

中图分类号:TD618.11

文献标志码:A

文章编号:0253-2336(2021)10-0217-11

移动扫码阅读

李 冰,陈 锋,姜沛汶,等.冲击荷载作用下不同煤阶煤的结构演化特征研究[J].煤炭科学技术,2021,49(10):217-227.doi:10.13199/j.cnki.cst.2021.10.029

LI Bing,CHEN Feng,JIANG Peiwen,et al.Study on structure evolution features of different rank coals under shock load[J].Coal Science and Technology,2021,49(10):217-227.doi:10.13199/j.cnki.cst.2021.10.029

收稿日期:2021-03-21

责任编辑:郭 鑫

基金项目:国家自然科学基金资助项目(41872169,41972177,42002185)

作者简介:李 冰(1980—),男,河南许昌人,副教授,博士。E-mail:hngclb@126.com

通讯作者:宋志敏(1961—),男,河南荥阳人,教授,博士生导师,博士。E-mail:songzhimin1961@hotmail.com