基于松散层拱结构理论的岩层控制研究

汪 锋1,2,3,陈绍杰1,2,许家林4,马 波1,丁希阳5,刘尊欣5

(1.山东科技大学 能源与矿业工程学院,山东 青岛 266590;2.山东科技大学 矿山灾害预防控制省部共建国家重点实验室培育基地,山东 青岛 266590;3.安徽理工大学 煤矿安全高效开采省部共建教育部重点实验室,安徽 淮南 232001;4.中国矿业大学 煤炭资源与安全开采国家重点实验室,江苏 徐州 221116;5.汶上义桥煤矿有限责任公司,山东 济宁 272100)

摘 要:针对我国华东和华北部分矿区厚松散层下采煤诱发工作面压架、突水和地表塌陷等问题,在系统总结采动覆岩承载结构理论相关学术进展的基础上,基于前人研究成果,提出了厚松散层的松散层拱结构模型,综合理论分析、数值模拟、现场探测和工程应用等方法研究揭示了松散层拱对载荷传递、岩层运动及地表沉陷、覆岩破断失稳的影响机理。研究结果表明:松散层拱的形态为长轴位于工作面走向的椭圆,当松散层厚度大于松散层拱矢高和厚度之和时,松散层在运动变形过程中能够形成松散层拱。工作面回采过程中,松散层拱周期性失稳并逐渐向上部发展,控制着其上覆岩层移动和变形,同时将上覆地层载荷向采空区四周转移,受松散层拱承载作用影响,松散层下部岩层载荷分布可以划分为松散层拱内卸压区、松散层拱基增压区和松散层拱外原岩应力区,进一步获得了考虑松散层拱载荷传递效应的松散层载荷折减系数计算公式,修正了关键层判别时的松散层载荷折减系数的计算方法。松散层拱的破断和失稳将导致地表快速下沉,地表下沉速度会随松散层拱周期性破断失稳而呈现出跳跃性变化,当松散层中能形成松散层拱且关键块体能够保持稳定,厚松散层地质条件下开采时采空地层不会出现切落,地表不会出现塌陷,据此得到了厚松散层下开采地表不发生塌陷的工作面临界采宽和临界采高。松散层拱载荷传递作用下,基本顶的初次破断距增大、周期破断距增大,关键块不易发生滑落失稳和回转变形失稳,得到了适用于厚松散层条件下的工作面支架工作阻力的计算公式。研究成果在山东某矿6304工作面进行了工程应用,共计开采煤炭资源35万t,实现了厚松散层下工作面的安全开采。

关键词:岩层控制;承载结构;松散层拱;载荷传递;地表塌陷

0 引 言

我国部分矿区煤系地层中分布有厚松散层,如淮南、皖北、淮北、兖州、新汶、开滦等矿区48个煤矿中松散层厚度最大为752 m,最小为100 m,平均为319 m。松散层主要由黏土、砂石、砂土等疏散沉积物构成,其力学特征和移动变形规律与随机介质最为接近;而基岩是赋存于松散层或风化层下部相对完整的岩石,如泥岩、页岩、砂岩等,其力学特性与梁或板类似。由于松散层特性与基岩不同,厚松散层矿区煤炭开采引起的覆岩运动及地表沉陷与薄松散层条件存在较大差异。因此,需要进行厚松散层条件下岩层控制理论研究。

近年来,我国在厚松散层岩层控制理论研究方面取得了丰富的成果和工程实践经验,但厚松散层下采煤引起的工作面突水、采场支架压死、地表塌陷等灾害仍时有发生。在厚松散层下开采工作面压架、突水事故方面,针对皖北矿区厚松散层、高承压含水层地质条件,文献[1-2]通过研究厚松散层中承压含水层的载荷传递效应,揭示了皖北矿区厚松散层下开采工作面压架、突水机理,并基于含水层水位变化与覆岩运动的联动效应建立了工作面压架、突水灾害预警方法,成功指导了皖北矿区厚松散层下煤炭的安全开采实践;针对淮南矿区厚松散层地质条件,谢广祥等[3]研究了厚松散层采动围岩三维力学分布特征,提出了厚松散层应力壳模型,成功指导了淮南矿区工作面及巷道围岩控制,煤与瓦斯协调开采,顶板及底板突水灾害防治等工程实践;针对神东矿区浅埋厚砂土层地质条件,黄庆享等[4]提出了工作面基本顶岩层初次来压“非对称三铰拱”结构模型,推导了浅埋厚砂土层载荷传递因子的计算公式,揭示了神东矿区浅埋深厚松散层条件下工作面压架机理。在厚松散层覆岩运动及地表沉陷规律方面,左建平等[5-6]在采动覆岩破断规律力学分析的基础上,提出了厚松散层采动覆岩“类双曲线”型整体移动模型;刘义新等[7]通过物理模拟研究了厚松散层条件下工作面上覆岩土体移动变形规律,表明厚松散层下采煤时地表移动盆地边缘收敛缓慢,边界角小;李德海等[8]通过现场实测得到了厚松散层开采地表受采动影响敏感,地表移动变形衰退时间长,下沉速度和系数大等特征;鞠金峰等[9]以朔州矿区厚松散层下采煤引起的地表塌陷为背景,揭示了厚松散层下开采地表塌陷机理。煤炭开采引起的采动损害与岩层运动有关,而认清采场上覆岩层及地表运动规律的关键在于揭示采动覆岩承载结构类型及其演化规律。现有的基于梁或者板结构提出的采动覆岩承载结构理论研究的重点集中于基岩,只考虑基岩中结构对岩层运动的影响,研究时均将上覆松散层简化为均布载荷作用于基岩顶界面而忽略了其内部承载结构。已有研究表明,松散层中能够形成具有稳定承载能力的松散层拱。文献[10]建立了“拱梁”结构模型,提出了基于“拱梁”结构模型的地表出现拉裂缝的力学判据;文献[11]建立了厚松散层薄基岩综放开采条件下松散层拱力学模型,揭示了松散层拱与采动覆岩裂隙发育演化间的联系;文献[12-13]在普氏拱及无铰拱理论的基础上,建立了松散层拱承载力学模型,揭示了松散层拱对覆岩移动、变形、破断、失稳的影响机理。

针对厚松散层地质条件下采煤引起的工作面压架、突水及地表塌陷等问题,在系统回顾采动覆岩承载结构理论相关学术进展的基础上,基于前人的研究成果,提出了厚松散层的“松散层拱”结构模型,并以山东某矿6304工作面为例研究了松散层拱在岩层控制中的应用。

1 采动覆岩承载结构总结

为解释采矿过程中矿山压力现象,国内外学者提出了众多经典的采动覆岩承载结构模型。国外学者于1916年、1928年、1950年和1954年分别提出了“悬臂梁”、“压力拱”、“铰接岩块”、“预成裂隙”等采动覆岩承载结构。上述假说分别从不同方面解释了矿山压力显现现象,为我国采动覆岩承载结构理论的建立奠定了基础。经过多年的煤矿现场实践,在大屯、阳泉、开滦等多个矿区采动覆岩移动变形规律研究的基础上,钱鸣高院士等提出了“砌体梁”理论[14],建立了采场整体力学模型[15],给出了“砌体梁”的“S-R”稳定条件[16],揭示了基本顶岩层的“O-X”型破断规律[17],建立了采场“支架-围岩”力学关系,指导了支护效果评价[18],研究成果为从理论上研究岩层移动规律和采场矿压现象提供了依据。宋振骐院士提出了“传递岩梁”理论,认为支架存在“给定变形”和“限定变形”2种工作方式,提出的“内外应力场”揭示了工作面支承压力与上覆岩层运动间的关系[19]。随着对岩层控制科学研究的不断深入,钱鸣高院士等于1996年提出了岩层控制的关键层理论[20]。关键层理论认为在采场上覆煤系地层中,对上覆地层移动变形起全部或部分承载和控制作用的岩层称为关键层,对上覆全部岩层起控制作用的岩层称为主关键层,而对部分岩层起控制作用的为亚关键层。覆岩中亚关键层通常不止1层,但主关键层仅有1层,主关键层的破断规律直接影响地表下沉和移动规律。随着对上覆岩层移动规律的深入研究,针对不同采矿地质条件,部分学者在现有理论的基础上又提出了众多相应的采动覆岩承载结构模型与理论,如覆岩托板控制结构模型[21],类拱式、拱梁式和梁式结构模型[22],OX、F和T型结构模型[23]。时至今日,经过了近40年的科学研究和工程实践探索,我国学者在采动覆岩承载结构理论研究方向逐渐形成了自己的理论体系,促进了采矿科学基础理论发展,为我国岩层控制理论及技术研究做出了巨大贡献。

2 岩层控制的松散层拱结构

工作面回采过程中,采场上覆松散层颗粒间产生不均匀位移并逐渐形成了既能在松散层不同区域颗粒间传递载荷又能对采场上覆岩层发挥承载作用,并能够对采场起到保护作用的承载结构,即松散层拱承载结构[12],如图1所示。

LarchHarchδarch—松散层拱的跨度、矢高和厚度;Lm—工作面宽度;∑h—主关键层底界面与煤层顶界面间的距离;h0—松散层拱上覆松散层厚度;q—松散层拱作用下主关键层上覆载荷分布函数;l1—松散层拱基峰值应力与松散层拱外轮廓线间的水平距离;l2—松散层拱基峰值应力与松散层拱内轮廓线间的水平距离;l3—松散层拱内轮廓线与松散层拱中轴线间的水平距离
图1 松散层拱结构示意[12]
Fig.1 Diagrammatic sketch of ASUL[12]

2.1 松散层拱形成条件

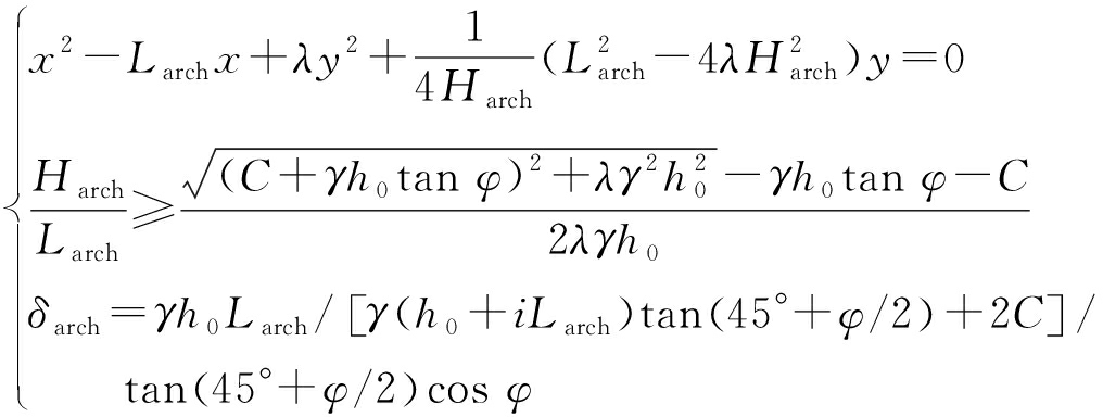
鉴于松散层拱类似于结构力学中的无铰拱,文献[13]建立了松散层拱承载力学模型,通过理论计算,分别得到了松散层拱的形态特征方程、矢跨比方程和厚度方程,见式(1)[13]

(1)

式中:xy为松散层拱形态特征方程中任意一点的坐标;i为松散层拱矢高和跨度的比值,i= Harch/Larchγ为基岩容重,kN/m3α为基岩破断角,(°);C为松散层黏聚力,MPa;φ为松散层内摩擦角,(°);λ为侧压系数。

研究表明:松散层拱的形态为长轴位于工作面走向的椭圆,随着侧压系数的增大松散层拱的高度逐渐减小而厚度逐渐增大,随着松散层内摩擦角和黏聚力的增大松散层拱的高度和厚度均减小。如图1所示,要使松散层中能够形成稳定的松散层拱,在不考虑松散层拱下方离层时,松散层厚度ΣH必须大于等于松散层拱的矢高和松散层拱厚度的和,得到临界松散层厚度HC[24]

(2)

2.2 松散层拱空间演化规律

采用PFC2D数值模拟软件分析松散层拱的空间演化规律,数值模拟中模型的尺寸为250 m×150 m,其中松散层厚度为100 m,煤层厚度为5 m。工作面回采过程中,采场上覆岩层垮落和力链演化特征如图2所示。由于松散层拱为采动覆岩承载结构,工作面回采过程中,松散层中集结形成了形态为拱形的强力链,松散层拱的形态可以采用力链区内外包络线表示。随着工作面的回采,松散层拱随着主关键层的周期性破断而周期性演化,松散层拱的矢高、跨度和厚度逐渐增大,当松散层拱的高度超过松散层厚度时,松散层拱消失。主关键层初次破断之前,采场上覆岩层的承载结构为关键层,松散层中力链呈拱形分布形态,如图2a所示;当主关键层破断后,松散层中力链呈现明显的拱形分布,采场上覆岩层的承载结构松散层拱,如图2b所示;当主关键层进入周期破断阶段时,松散层拱的跨度和高度随着工作面宽度的增加而逐渐增大,如图2c所示;当松散层拱的高度超过松散层厚度,松散层中力链的分布也到达模型顶界面,此时松散层拱失稳破坏,如图2d所示,数值模拟结果与文献[25]物理模拟结果一致。

图2 松散层拱演化数值模拟
Fig.2 Numerical simulation of ASUL evolution

3 松散层拱对覆岩运动的影响机理

3.1 松散层拱对载荷传递的影响

传统上在研究工作面回采过程中采动应力场的演化规律时,通常是将松散层简化为均布载荷忽略了松散层拱引起的载荷分布特征的改变。在第2.2节数值模型中主关键层、亚关键层和煤层处布置应力测线,获得松散层拱空间演化过程中应力演化规律如图3所示。松散层拱控制着上覆地层下沉和变形,同时将上覆地层荷载向两侧的拱基处转移;受松散层拱承载作用影响,松散层下部岩层载荷分布可以划分为松散层拱内卸压区、松散层拱基增压区和松散层拱外原岩应力区,如图1所示;随着松散层拱的周期性演化,松散层拱基处应力峰值呈现先增大后减小的变化规律且第1周期松散层拱形成时峰值应力达到最大值,数值模拟结果与文献[25]物理模拟结果一致。

图3 松散层拱对岩层载荷演化规律的影响
Fig.3 Effect of ASUL on stress evolution

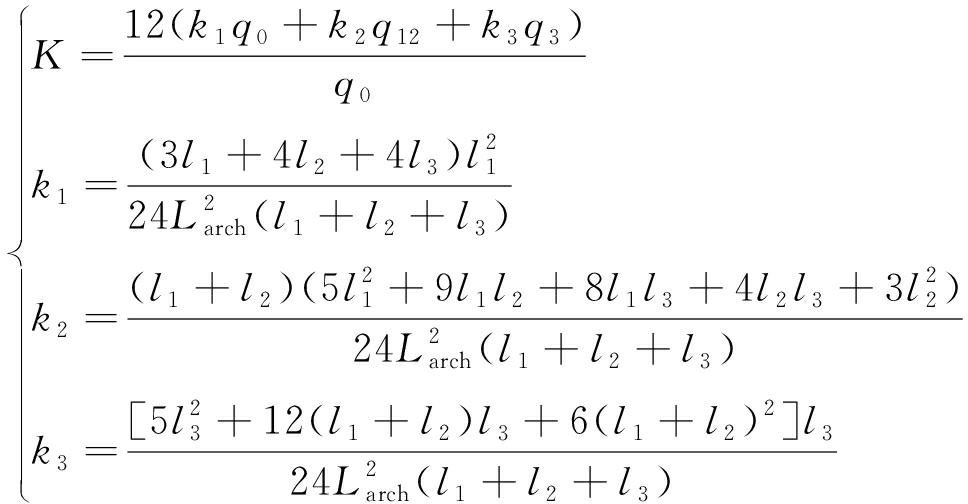
基于松散层拱载荷传递效应的数值模拟结果,文献[26]将图1所示主关键层上覆载荷简化为线性载荷,并将初次破断之前的主关键层视为两端固支梁,通过理论分析得到了松散层载荷折减系数K[26]

(3)

式中:q0为主关键层上原岩应力,MPa;q12为松散层拱基处的载荷峰值,MPa;q3为松散层拱下载荷峰值,MPa。

3.2 松散层拱对岩层运动的影响

传统上不考虑松散层拱承载作用时,工作面回采过程中,地表随主关键层的下沉而同步下沉,当主关键层的下沉速度达到最大值时,地表的下沉速度也同步达到最大值[20];但是当松散层中能够形成松散层拱时,由于松散层拱对上覆岩层及地表发挥承载控制作用,主关键层初次破断后地表的最大下沉值和最大下沉速度并没有达到最大值,而是随着松散层拱的周期性失稳继续增大;当松散层拱完全失稳破坏,地表下沉速度逐渐减小。如图4所示,当工作面采宽分别为70、85、110和120 m时,亚关键层、主关键层、松散层拱1和松散层拱2先后发生破断和失稳,地表下沉速度分别为7.66、13.50、34.39和44.05 mm/m,松散层拱和关键层的破断和失稳将导致地表快速下沉,地表下沉速度会随松散层拱和关键层的周期性破断失稳而呈现出跳跃性变化;当工作面采宽大于120 m时,松散层拱消失,地表下沉速度随着采宽的增大而逐渐减小[12]。松散层拱对岩层运动的影响规律得到了鲍店煤矿1312工作面地表沉陷实测数据的验证[27]

图4 松散层拱对岩层运动的影响[12]
Fig.4 Effect of ASUL on strata movement[12]

采场上覆岩层运动及地表沉陷规律与松散层中的松散层拱和基岩中坚硬顶板破断后的关键块体的稳定性相关,当松散层中能形成松散层拱且关键块体能够保持稳定,厚松散层地质条件下开采时采空地层不会出现切落,地表不会出现塌陷坑。除了受松散层力学特征、基岩和松散层厚度等因素影响外,松散层拱的形成与工作面采宽密切相关,根据式(1)和式(2)可以得到松散层中能够形成松散层拱的临界工作面宽度;而关键块体的稳定性与采高、直接顶厚度、冒落矸石碎涨系数及砌体梁结构上覆载荷相关,关键块体的稳定性主要取决于其稳定时的临界回转量ΔT与实际回转量Δ间的关系,当临界回转量大于实际回转量时,关键块体保持稳定,见式(4)。因此,可以基于松散层拱的形成条件确定工作面采宽,基于关键块体的稳定性条件设计工作面采高,最终达到控制地表不出现塌陷坑的目的。

Δ=M+(1-KP)∑hi

(4)

式中:M为采高,m;KP为直接顶的碎胀系数;Σhi为直接顶岩层的垮落高度,m;hKS为关键块厚度,m;qKS为关键块的载荷,MPa;lKS为关键块长度,m;σc为关键块强度,MPa。

3.3 松散层拱对覆岩破断失稳的影响

基于松散层拱载荷传递效应的物理和数值模拟结果,建立松散层拱载荷传递作用下覆岩破断失稳力学模型,理论分析可知,与传统的将松散层简化为均布载荷作用于基岩顶界面相比,松散层拱载荷传递作用下,基本顶的初次破断距增大、周期破断距均增大[25];关键块断裂度(厚度与长度的比)越大、转角越小,关键块越易发生滑落失稳;反之,关键块越易发生回转变形失稳;但是,考虑松散层拱影响时的计算结果明显大于传统计算方法,松散层拱载荷传递作用下关键块不易发生滑落失稳和回转变形失稳[13],如图5所示。

图5 关键块稳定性临界条件[13]
Fig.5 Limiting condition for stability of key blocks[13]

在此基础上,根据松散层拱载荷作用下关键块的稳定性分析结果,建立了松散层拱影响下的支架-围岩力学模型,得到了适用于厚松散层条件下的工作面支架工作阻力的计算公式[13],见式(5):

(5)

式中:P为支架工作阻力,kN;QBQD为关键块和直接顶重力,kN;lk为支架控顶区长度,m;W为关键块下沉量,m;φ′为关键块岩层内摩擦角,(°);ef为关键块上覆载荷系数,一般是根据现场试测或者试验获得。

4 松散层拱在岩层控制中的应用

4.1 6304工作面概况

山东某矿6304工作面宽度在开切眼侧为125 m、终采线侧为160 m,推进长度510 m,煤层厚度平均3.40 m,松散层厚度165.4~282.3 m,基岩厚度35.45~85.15 m。工作面上方地面大部分为农田,中部为公路,西南部为建筑物, 6304工作面布置如图6所示。6304工作面回采过程中将会面临地表塌陷、工作面压架和突水等3种潜在灾害的威胁。

图6 6304工作面布置
Fig.6 Layout of No.6304 working face

4.2 松散层拱在6304工作面岩层控制中的应用

4.2.1 松散层拱在导水裂隙带高度预计中的应用

导水裂隙带高度预计是6304工作面水体下安全开采的基础和前提。目前,我国普遍利用“三下”规程推荐的经验公式来预测导水裂隙带高度[28]。此外,文献[29]在研究了关键层对采动覆岩导水裂隙发育高度规律的基础上,提出了通过关键层位置来预测导水裂隙带高度的新方法。关键层判别正确与否直接关系着新方法预计结果的正确性,厚松散层条件下,由于受松散层拱载荷传递效应的影响,关键层判别时将松散层载荷折减系数纳入考虑。以6304工作面汶8-1钻孔为例,根据公式(3)计算得到松散层载荷折减系数K=0.55,此时根据导水裂隙带高度预计新方法,得到导水裂隙带高度为33.82 m,见表1。事实上,6304工作面基岩厚度为35.45~85.15 m,因此6304工作面在含水层下能够安全回采。

表1 导水裂隙带高度预计
Table 1 Prediction of height of water conducting fractured zone

层号厚度/m埋深/m岩性关键层位置14251.10251.10松散层—131.66252.76泥岩—128.14260.90砂质泥岩—112.32263.22粉砂岩—100.41263.632号煤层—97.87271.50泥岩—80.80272.30砂质泥岩—710.00282.30细砂岩主关键层61.10283.40粉砂岩—54.60288.00中砂岩—415.21303.21细砂岩亚关键层34.38307.59粗砂岩—24.21311.80细砂岩—14.32316.12中砂岩—03.02319.143号煤层—

4.2.2 松散层拱在地表塌陷预防与控制中的应用

浅埋深厚松散层条件下煤炭开采后采动覆岩发生多次塌陷并在地表形成了巨大塌陷坑[9,30-31],当松散层中能形成稳定的松散层拱承载结构时,采动覆岩不会出现剧烈塌陷,因而也不会出现大范围的塌陷坑。根据6304工作面条件,由于工作面宽度在开切眼侧为125 m,在终采线侧为160 m,因此在计算松散层拱形成的临界松散层厚度时,将2种采宽分别考虑。根据6304工作面中部的汶8-1钻孔柱状,当工作面宽度为125 m时,根据公式(3)计算得到临界松散层厚度为97 m;当工作面宽度为160 m时,计算得到临界松散层厚度为132 m。实际上,汶8-1钻孔揭露的松散层厚度为251.1 m,同时由于6304工作面上覆松散层厚度变化范围为165.40~282.3 m。因此,当工作面采宽为125 m和160 m时,计算得到的临界松散层厚度均明显小于地层中的松散层厚度,松散层中能够形成松散层拱;同时根据公式(5)计算关键块体不会发生滑落失稳,因此6304工作面回采过程中地表不会出现剧烈塌陷坑。

4.2.3 松散层拱在支架工作阻力计算中的应用

厚松散层薄基岩下采煤工作面发生过多起大范围压架灾害案例[1,32],目前通常是通过提高支架工作阻力来预防压架。尽管如此,支架压死现象仍时有发生。因此对于厚松散层薄基岩采煤工作面而言,需要科学计算支架工作阻力。针对6304工作面,当松散层中能够形成松散层拱时,支架工作阻力可以通过公式(5)计算确定。根据6304工作面中部的汶8-1钻孔柱状,当工作面宽度为160 m时,计算得到支架工作阻力为4 956 kN。事实上6304工作面选用额定工作阻力为4 800 kN的ZZ4800/18/38型支架,支架工作阻力比理论计算值略小。

4.3 现场实测结果及分析

6304工作面于2018年10月开始回采至2020年1月回采结束,共计开采煤炭资源35万t。6304工作面回采过程中,导水裂隙带未贯通松散层中的含水层,工作面顶板涌水量正常,避免了工作面突水灾害的发生,实现了含水层下安全采煤,证明了导水裂隙带高度预计结果正确。同时,在工作面回采过程中,对地表建筑物、农田和公路进行了多次现场观测,未有剧烈塌陷发生。由于工作面回采过程中未对采空区进行充填处理,地表仍会出现明显的移动变形,但避免了厚松散层下采煤地表塌陷坑的形成,说明预计能形成松散层拱的正确性。此外,由于工作面实际支架工作阻力小于理论计算值,工作面回采过程中对支架工作阻力进行全过程监测,2019年11月工作面中部40号和60号支架工作阻力变化曲线,如图7所示。工作面回采过程中,支架工作阻力总体分布于3 500~5 000 kN,40号支架的占比67%,60号支架的占比40%;支架工作阻力最大值为4 987 kN,比理论计算的工作阻力略大,超过额定工作阻力3.9%。工作面整个开采过程中,支架没有发生压架灾害事故,说明厚松散层支架工作阻力计算方法基本满足采场支护要求。因此,松散层拱的应用为6304工作面安全提供了理论基础。

图7 工作面支架工作阻力
Fig.7 Working resistance of support in working face

5 结 论

1)系统回顾了国内外采动覆岩承载结构理论的研究进展,在前人研究成果的基础上,提出了岩层控制的松散层拱结构模型,借助散体力学和结构力学等理论知识得到了松散层拱的形态特征方程,矢跨比方程和厚度方程,指出了松散层拱形成的临界松散层厚度。

2)通过PFC2D数值模拟软件分析了松散层拱的空间演化规律及其对采动应力场的影响特征;揭示了松散层拱对载荷传递、岩层运动及地表沉陷、覆岩破断失稳的影响机理,并以山东某矿6304工作面为例研究了松散层拱在岩层控制中的应用,实现了厚松散层工作面的安全开采。

3)松散层拱结构模型的提出为厚松散层岩层控制提供了借鉴,对松散层载荷折减系数和厚松散层采煤工作面支架工作阻力进行了定量计算。但是,针对松散层拱结构仍存在诸多问题需要进一步研究,如不同采矿地质条件时厚松散层下采煤地表沉陷类型及形成机理,松散层拱承载时自身形变和位移特征,建筑荷载、地震荷载、地下水漏失与补给等扰动因素对松散层拱长期承载特征的影响。

参考文献(References):

[1] 许家林,王晓振,朱卫兵.松散承压含水层下采煤压架、突水机理与防治[M].徐州:中国矿业大学出版社,2012.

[2] 王晓振,许家林,朱卫兵,等.松散承压含水层水位变化与顶板来压的联动效应及其应用研究[J].岩石力学与工程学报,2011,30(9):1872-1881.

WANG Xiaozhen,XU Jialin,ZHU Weibin,et al.Research on connected effect between water level variation of unconsolidated confined aquifer and roof weighting and its application[J].Chinese Journal of Rock Mechanics and Engineering,2011,30(9):1872-1881.

[3] 谢广祥.综放采场围岩三维力学特征[M].北京:煤炭工业出版社,2007.

[4] 黄庆享.浅埋煤层长壁开采岩层控制[M].北京:科学出版社,2018.

[5] 左建平,孙运江,钱鸣高.厚松散层覆岩移动机理及“类双曲线”模型[J].煤炭学报,2017,42(6):1372-1379.

ZUO Jianping,SUN Yunjiang,QIAN Minggao.Movement mechanism and analogous hyperbola model of overlying strata with thick alluvium[J].Journal of China Coal Society,2017,42(6):1372-1379.

[6] 左建平,孙运江,文金浩,等.岩层移动理论与力学模型及其展望[J].煤炭科学技术,2018,46(1):1-11,87.

ZUO Jianping,SUN Yunjiang,WEN Jinhao,et al.Movement mechanism and analogous hyperbola model of overlying strata with thick alluvium[J].Coal Science and Technology,2018,46(1):1-11,87.

[7] 刘义新,戴华阳,姜耀东.厚松散层矿区采动岩土体移动规律模拟试验研究[J].采矿与安全工程学报,2012,29(5):700-706.

LIU Yixin,DAI Huayang,JIANG Yaodong. Model test for mining-induced movement law of rock and soil mass under thick unconsolidated layers[J].Journal of Mining & Safety Engineering,2012,29(5):700-706.

[8] 李德海,许国胜,余华中.厚松散层煤层开采地表动态移动变形特征研究[J].煤炭科学技术,2014,42(7):103-106.

LI Dehai,XU Guosheng,YU Huazhong.Study on features of surface dynamic movement and deformation caused by coal mining under thick alluvium[J].Coal Science and Technology,2014,42(7):103-106.

[9] JU Jinfeng,XU Jialin.Surface stepped subsidence related to top-coal caving longwall mining of extremely thick coal seam under shallow cover[J].International Journal of Rock Mechanics and Mining Sciences.2015,78:27-35.

[10] 黄庆享,张 沛,董爱菊.浅埋煤层地表厚砂土层“拱梁”结构模型研究[J].岩土力学,2009,30(9):2722-2726.

HUANG Qingxiang,ZHANG Pei,DONG Aiju.Mathematical model of “arch beam” of thick sandy soil layer movement in shallow seam[J].Rock and Soil Mechanics,2009,30(9):2722-2726.

[11] 杜 锋,白海波.厚松散层薄基岩综放开采覆岩破断机理研究[J].煤炭学报,2012,37(7):1105-1110.

DU Feng,BAI Haibo.Mechanism research of overlying strata activity with fully mechanized caving in thin bedrock with thick alluvium[J].Journal of China Coal Society,2012,37(7):1105-1110.

[12] 汪 锋,许家林,陈绍杰,等.松散层拱结构模型及其对覆岩运动的影响[J].采矿与安全工程学报,2019,36(3):497-504,512.

WANG Feng,XU Jialin,CHEN Shaojie,et al.Arch structure in unconsolidated layers and its effect on the overlying strata movement[J].Journal of Mining and Safety Engineering,2019,36(3):497-504,512.

[13] 汪 锋,陈绍杰,任梦梓,等.松散层拱结构及其对采动覆岩稳定性的影响[J].中国矿业大学学报,2019,48(5):975-983.

WANG Feng,CHEN Shaojie,REN Mengzi,et al.Effect of arch structure in unconsolidated layers on failure of the overlying strata[J].Journal of China University of Mining and Technology,2019,48(5):975-983.

[14] 钱鸣高.采场上覆岩层的平衡条件[J].中国矿业学院学报,1981(2):34-43.

QIAN Minggao.Conditions required for equilibrium of overlying strata at working area[J].Journal of China School of Mines,1981(2):34-43.

[15] 缪协兴,钱鸣高.采场围岩整体结构与砌体梁力学模型[J].矿山压力与顶板管理,1995,22(2):3-12.

MIAO Xiexing,QIAN Minggao.Solid structure and model of voussoir beam of face surrounding rock[J].Ground Pressure and Strata Control,1995,22(2):3-12.

[16] 钱鸣高,张项立,黎良杰,等.砌体梁的“S-R”稳定及其应用[J].矿山压力与顶板管理,1994,21(3):6-11.

QIAN Minggao,ZHANG Xiangli,LI Liangjie,et al.“S-R” stability for the voussoir beam and its application[J].Ground Pressure and Strata Control,1994,21(3):6-11.

[17] 钱鸣高,朱德仁,王作堂.老顶岩层断裂型式及对工作面来压的影响[J].中国矿业学院学报,1986,15(2):9-18.

QIAN Minggao,ZHU Deren,WANG Zuotang.The fracture types of main roof and their effects on roof pressure in coal face[J].Journal of China School of Mines,1986,15(2):9-18.

[18] 钱鸣高,刘双跃,殷建生.综采工作面支架与围岩相互作用关系的研究[J].矿山压力,1989(2):1-8.

QIAN Minggao,LIU Shuangyue,YIN Jiansheng.Research on the relationship of supports and surrounding rock in fully mechanized mining face[J].Ground Pressure,1989(2):1-8.

[19] 宋振骐.实用矿山压力控制[M].徐州:中国矿业大学出版社,1988.

[20] 钱鸣高,缪协兴,许家林,等.岩层控制的关键层理论[M].徐州:中国矿业大学出版社,2003.

[21] 吴立新,王金庄.连续大面积开采托板控制岩层变形模式的研究[J].煤炭学报,1994,19(3):233-241.

WU Lixin,WANG Jinzhuang.Study of deformation model of a controlling holding-plate when large area is extracted continuously[J].Journal of China Coal Society,1994,19(3):233-241.

[22] 姜福兴,宋振骐,宋 扬.老顶的基本结构形式[J].岩石力学与工程学报,1993,12(4):366-379.

JIANG Fuxing,SONG Zhenqi,SONG Yang.Basic structure forms of main roof[J].Chinese Journal of Rock Mechanics and Engineering,1993,12(4):366-379.

[23] 窦林名,贺 虎.煤矿覆岩空间结构OX-F-T 演化规律研究[J].岩石力学与工程学报,2012,31(3):453-460.

DOU Linming,HE Hu.Study of OX-F-T spatial structure evolution of overlying strata in coal mines[J].Chinese Journal of Rock Mechanics and Engineering,2012,31(3):453-460.

[24] 汪 锋.采动覆岩结构的“关键层-松散层拱”理论及其应用研究[D].徐州:中国矿业大学,2016.

[25] WANG Feng,XU Jialin,XIE Jianlin.Effects of arch structure in unconsolidated layers on fracture and failure of overlying strata[J].International Journal of Rock Mechanics and Mining Sciences,2019,114:141-152.

[26] WANG Feng,XU Jialin,CHEN Shaojie,et al.Method to predict the height of the water conducting fractured zone based on bearing structures in the overlying strata[J].Mine Water and the Environment,2019,38(4):767-779.

[27] 吴 侃,邓喀中,周 鸣,等.综采放顶煤表土层移动监测成果分析[J].煤炭学报,1999,24(1):21-24.

WU Kan,DENG Kazhong,ZHOU Ming,et al.The analysis of monitor conclusion about overburden displacement under condition of fully mechanized sublevel caving[J].Journal of China Coal Society,1999,24(1):21-24.

[28] 国家安全监管总局,国家煤矿安监局,国家能源局,国家铁路局.建筑物、水体、铁路及主要井巷煤柱留设与压煤开采规范[M].北京:煤炭工业出版社,2017.

[29] 许家林,王晓振,朱卫兵.基于关键层位置的导水裂隙带高度预计方法[J].煤炭学报,2012,37(5):762-769.

XU Jialin,WANG Xiaozhen, ZHU Weibin.New method to predict the height of fractured water-conducting zone by location of key strata[J].Journal of China Coal Society,2012,37(5):762-769.

[30] YAN Weitao,DAI Huayang,CHEN Junjie.Surface crack and sand inrush disaster induced by high-strength mining:example from the Shendong coal file,China[J].Geosciences Journal,2018,22(2):347-357.

[31] 许延春,曹光明,潘海兵,等.霍尔辛赫煤矿地表变形异常原因分析[J].煤矿开采,2012,22(4):61-64.

XU Yanchun,CAO Guangming,PAN Haibing,et al.Analysis of abnormal reasons of surface deformation of huoerxinhe coal mine[J].Coal Mining Technology,2012,22(4):61-64.

[32] 李江华,许延春,姜 鹏,等.巨厚松散层薄基岩工作面覆岩载荷传递特征研究[J].煤炭科学技术,2017,45(11):95-100.

LI Jianghua,XU Yanchun,JIANG Peng,et al.Study on load transmission characteristics of overburden rock above coal mining face in thin bedrock of super thick unconsolidated stratum[J].Coal Science and Technology,2017,45(11):95-100.

Research on ground control based on arch structure in unconsolidated layers theory

WANG Feng1,2,3,CHEN Shaojie1,2,XU Jialin4,MA Bo1,DING Xiyang5,LIU Zunxin5

(1.College of Energy and Mining Engineering,Shandong University of Science and Technology,Qingdao 266590,China;2.State Key Laboratory of Mining Disaster Prevention and Control Co-founded by Shandong Province and the Ministry of Science and Technology,Shandong University of Science and Technology,Qingdao 266590,China;3.Key Laboratory of Safety and High-efficiency Coal MiningMinistry of Education,Anhui University of Science and Technology,Huainan 232001,China;4.State Key Laboratory of Coal Resources and Safe Mining,China University of Mining and Technology,Xuzhou 221116,China;5.Wenshang Yiqiao Coal Mine Co.,Ltd.,Jining 272100,China)

Abstract:Aiming at the problem of support crushing,water inrush and surface collapse during longwall mining under thick unconsolidated layers widely distributed in some mine area of eastern and northern China,the arch structure in unconsolidated layers (ASUL) was established based on systematic summary of the relevant academic progress of load-bearing structure theory and the previous research results.By means of theoretical analysis,experimental simulation,field detection and engineering application,the influence mechanisms of ASUL on load transfer effect,strata movement and surface collapse,fracture and failure of overburden were revealed.The results show that the shape of ASUL is an ellipse whose major axis is located in the strike direction of the longwall face.The ASUL can form in the overlying strata when the thickness of the unconsolidated layer is larger than the sum of thickness and height of ASUL.During longwall mining,the ASUL prevents the overlying strata from subsiding and deforming and transfers the loading stress of the overlying strata to its abutment,which reduces the stress of the lower strata and the mine pressure.Given the effects of ASUL,the distribution of the loading can be divided into a reduced stress zone above the gob area,an increased stress zone under both sides of the base of ASUL,and an original zone outside ASUL.The formula of load reduction factor of unconsolidated layers considering the load transfer effect of ASUL is proposed.The calculation method of load reduction factor of unconsolidated layer is modified when the key strata was determined.The movement of the overlying strata is controlled by ASUL during excavation.In other words,if ASUL break,the strata controlled by ASUL will also break simultaneously.The value of the subsidence velocity of the overburden strata controlled by ASUL and ground surface is maximum when the ASUL fail.When ASUL can be formed in the thick unconsolidated layers and the key blocks can maintain self-stability,the overburden strata will not be slide and the surface will not collapse when mining under the geological conditions of thick unconsolidated layers.Accordingly,the critical width and height of longwall face are proposed to avoid surface collapse for longwall mining under thick unconsolidated layers.The first and periodic fractural interval of the key stratum will increase.However,the sliding and rotational failures of the voussoir beam structure will not occur under ASUL.The reasonable support resistance when mining under thick unconsolidated layers was put forward.The results of the theoretical calculations were verified through field observation performed in longwall face No.6304 in Shandong Province,China,a total of 350 000 tons of coal resources have been mined,and the safe mining of working face under unconsolidated layers has been realized.

Key words:ground control;load-bearing structure;arch structure in unconsolidated layers;load transfer;surface collapse

中图分类号:TD325

文献标志码:A

文章编号:0253-2336(2020)09-0130-09

移动扫码阅读

汪 锋,陈绍杰,许家林,等.基于松散层拱结构理论的岩层控制研究[J].煤炭科学技术,2020,48(9):130-138.doi:10.13199/j.cnki.cst.2020.09.016

WANG Feng,CHEN Shaojie,XU Jialin,et al.Research on ground control based on arch structure in unconsolidated layers theory[J].Coal Science and Technology,2020,48(9):130-138.doi:10.13199/j.cnki.cst.2020.09.016

收稿日期:2020-04-22 责任编辑:朱恩光

基金项目:国家自然科学基金资助项目(51904162);泰山学者工程资助项目(tsqn210812067);山东科技大学科研创新团队支持计划资助项目(2019TDJH101);山东省自然科学基金资助项目(ZR2018BEE001);安徽理工大学煤矿安全高效开采省部共建教育部重点实验室开放基金资助项目(JYBSYS2019205)

作者简介:汪 锋(1987—),男,安徽潜山人,博士(后),硕士生导师。E-mail:vangfeng@126.com