煤矸石胶结充填管路输送不满管流及其防治方法研究

黄玉诚,段晓博,王瑜敏,罗浩天,郝宇鑫

(中国矿业大学(北京) 能源与矿业学院,北京 100083)

摘 要:煤矸石胶结充填料浆质量浓度高,若管路布置和管输参数不合理,充填过程中容易发生不满管流及管路输送故障。为了探究煤矸石胶结充填管路输送不满管流产生的原因与危害,提出相应的防治对策,结合矸石高浓度充填料浆管路输送的实践,建立了泵送充填管路输送模型;基于浆体管道输送基本理论,研究了充填不满管流的产生原因,提出了不满管流状态的理论判别式;根据不满管流输送过程中浆体的运动特征,探讨了不满管流对管路输送系统的危害;结合实例分析提出了不满管流输送状态的防治途径。结果表明:影响充填料浆输送状态的主要因素有充填流量、管道的几何参数和布置方式、料浆的流变特性和密度。输送过程中,充填料浆及输送参量匹配不合理,在垂直钻孔管顶部,高浓度料浆将出现拉断现象,由连续体变为不连续体,导致了管道输送的不满管流状态。随着浆体拉断区的进一步发展,垂直钻孔管上部出现空管段,并呈现一定的真空度,处于负压状态,浆体由固、液两相流状态转变成固、液、气(汽)三相流。浆体状态的变化,恶化了充填管路输送的稳定性,对管路输送系统产生明显的影响和危害:“水锤”冲击作用、对管壁的冲蚀磨损、水平管道振动、料浆发生淤积堵塞、损害充填泵。为了避免管路输送不满管流状态的发生,管路建设中要合理选定垂直钻孔位置;实际充填工作中,可以适当提高料浆浓度或减小非主干管道的内径以增大管道摩擦阻力,以保持浆体满管流输送状态。

关键词:煤矸石;充填开采;管路输送;不满管流;料浆浓度

0 引 言

随着煤炭开采技术和矿山充填技术的迅速发展,以及国家相继发布关于鼓励煤矸石等有效处理和利用的政策法规,从资源回收和环境保护的角度出发,采用煤矸石充填采煤技术开采“三下”压煤已成为煤矿绿色开采的一个重要方向[1-3]。传统的煤矿低浓度水砂充填(料浆质量分数40%以下)采煤,充填体强度低、整体性差,充填脱水细泥污染井下环境,充填效率低,不适应现代煤矿高效机械化采煤方式。相比之下,高浓度胶结充填技术(如膏体或似膏体充填),由于具有浓度高不需脱水(或微量脱水),充填体强度高,整体性好,井下作业环境好,控制顶板下沉效果显著等优势,更适合煤矿机械化高效采煤的技术要求,受到越来越多的关注[4-6]

长期以来,由于技术经济等各方面因素的制约,在煤矿只有极少数采用水砂充填法采煤。大规模采用胶结充填法处理采空区进行采煤始于最近十几年[7-9]。目前,对于煤矿胶结充填开采的研究主要侧重于充填开采技术和工艺的开发与应用,关于充填材料固体力学特性、充填采场围岩的力学作用机理、覆岩运动规律及围岩控制理论的研究也不断兴起,对于矸石胶结充填料浆流体力学性能及管道输送特征等的研究相对较少[10-14]。但是,高浓度胶结充填(如膏体或似膏体充填)的料浆质量浓度一般达到75%以上,实际充填过程中容易发生输送故障[15-17]。特别是由于管路布置和充填参数不合理,往往造成充填管路不满管流状态,垂直钻孔管上部出现空管段,导致管路输送稳定性变差,甚至发生堵管或破管事故。

基于上述研究现状,从管路系统和充填参数的优化考虑,笔者结合实践研究煤矸石胶结充填管路输送不满管流的产生原因、危害及其防治途径,以提高管路输送的稳定性,改善充填输送工艺效果。

1 泵压充填管路输送模型

对于质量浓度75%以上的矸石高浓度胶结充填,管路输送阻力比较大,通常采用充填泵加压输送,其管路输送模型如图1所示。

1—料浆制备站;2—充填泵;3—地表管路;4—垂直钻孔;5—井下管路;6—管道出口
图1 充填管路输送模型
Fig.1 Backfill pipeline transportation model

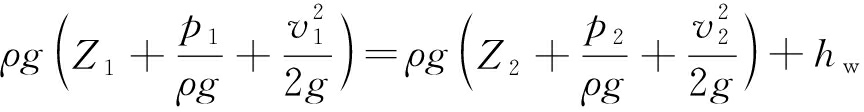
在图1中的垂直钻孔管上端B点取Ⅰ-Ⅰ断面,断面上的料浆压力p1,平均流速v1;在井下管道出口D点取Ⅱ-Ⅱ断面,断面上的料浆压力p2,平均流速v2Z1Z2分别为Ⅰ及Ⅱ两断面形心对基准面OO的几何高度;H0B点到D点的高差;H为垂直钻孔的高度。

在正常工作阶段,可以近似地认为充填料浆的运动属于稳定流,因此,对于Ⅰ、Ⅱ两断面,由伯努利方程可得到[18]

(1)

式中:hw为断面Ⅰ到断面Ⅱ管路摩擦阻力损失,Pa;ρ为料浆密度,kg/m3g为重力加速度,取9.8 m/s2

在管径相同的条件下,v1= v2p1p2以相对压力(相对大气压)表示,则在管道出口Dp2=0;则式(1)简化为

ρgZ1-Z2+p1=hw

(2)

并且Z1-Z2=H0,则式(2)可表达为

p1=hw-ρgH0

(3)

此外,hw由管路B点到D点的沿程阻力损失hy和局部阻力损失hj两部分组成[15]。其中

hy=fLBD

(4)

式中:f为管道摩擦阻力系数,Pa/m;LBDB点到D点的管道长度,m。

一般hj=(0.05~0.15)hy,这里取hj=0.1hy,则

hw=hy+hj=1.1fLBD=fwLBD

(5)

式中:fw为综合考虑沿程阻力和局部阻力的摩擦阻力系数,fw=1.1f

则由式(3)和式(5)可以得到

p1=fwLBD-ρgH0

(6)

2 充填料浆不满管流的产生原因及危害

2.1 充填料浆不满管流的产生原因

在矸石充填料浆泵压充填中,一般情况下全管路充满充填料浆,处于满管流输送状态。此时,在垂直钻孔管上端B点,p1≥0。即

p1=fwLBD-ρgH0≥0

(7)

但是,在井下充填作业中,随着采场或工作面位置的变化,井下水平管路长度不断变化。例如,当井下管路长度或太短时,在垂直钻孔管上部出现空管段,管道输送处于不满管流输送状态,如图2a所示。此时,垂直钻孔管上端B点,p1<0,由式(6)即

p1=fwLBD-ρgH0<0

(8)

这种条件下,在垂直钻孔管上端B点,垂直管顶部处于负压状态(相对于大气压),原连续流将会出现拉断现象,料浆要由连续体变为不连续体,在拉断区产生局部真空。

需要说明的是,B点的负压极限是真空负压,因此,式(8)中的p1并不表示B点的真实压力,表达的是BD管段的摩擦阻力损失与BD垂高能提供的浆体势能的差值。p1值越小,说明垂直管上部存在的空管段越长。随着p1的不断减小,料浆由最初的浆体柱逐渐被拉成一小段、一小段的分段体甚至成小团状、颗粒状,以一定的加速度冲向下部的浆体柱,如图2b所示。

1—地表水平管道;2—垂直钻孔;3—真空区;4—浆体柱;5—团(粒)状浆体;6—气 (汽)泡
图2 垂直管上部非连续流和不满管流示意
Fig.2 Schematic of discontinuous flow and non-full pipeline flow in the upper part of vertical pipe

2.2 充填料浆不满管流的危害

在图2中的充填料浆不满管流输送状态中,空管段处于负压状态,因此会呈现一定的真空度。此时,本是溶解在水中的空气游离出来,而且当真空区负压达到某一临界值后,部分水分会汽化,混杂在松散的料浆小团中,料浆固液两相流转变成固液气(汽)三相流。不满管流输送状态不仅引起浆体状态的变化,更重要的是对管路输送产生明显的影响和危害。

1)“水锤”冲击。当垂直管上部空管段高度较大时,垂直管顶部浆体以一定的加速度高速下落,甚至近似于“自由落体”运动状态,对下部浆体柱产生“水锤”冲击作用。

2)冲蚀磨损。浆体在高速下落过程中,以团状或段状形态,对空管段的管道内壁产生连续的射流冲击和冲蚀磨损。

3)管道振动。当料浆从垂直管顶部浆体经空管段下落到下部浆液面时,夹有气(汽)泡的团状料浆冲入浆液中,此时的浆体中夹杂有气(汽)泡。浆体中存在的这些具有弹性的气(汽)泡,在不同的管道位置,具有相当于此处有效压头的压力,在流动过程中,压力和体积均是连续变化的,从而引起流动的不稳定。当混有弹性气(汽)泡的浆体从充填管道出口喷出时,剩余压力还会使空气膨胀,产生出料的脉动和轰鸣声,引起水平管道的振动,并很容易造成出口处管道的破坏。

4)管道淤堵。由于空管段的存在,充填泵对于空管段及其后的管道浆体近似于失压状态,充填泵无法有效发挥泵压作业,极易造成矸石浆体的垂直钻孔管底部发生淤积堵塞。

5)损害充填泵。空管段气(汽)泡的弹性特征,将导致充填泵工作状态的频繁波动,对充填泵的性能造成损害。

因此,为了避免不满管流状态对充填管道输送的危害,充填作业要确保满管流输送。

3 不满管流输送状态的防治方法分析

3.1 影响管道输送状态的因素

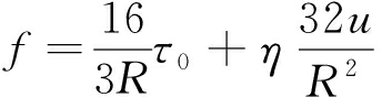
式(7)和式(8)表明,影响充填料浆输送状态的主要参量:LBEH0ρfw,其中的fw为考虑沿程阻力和局部阻力的摩擦阻力系数,fw=1.1f

高浓度充填料浆的流型接近于宾汉塑性体,在管道输送中,其管路摩擦阻力系数可由下式计算[19-20]

(9)

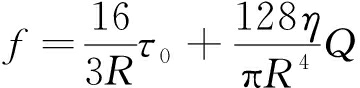
代入公式(9)得到:

(10)

式中:R为管道内径,m;u为浆体在管道内平均流速,m/s ;Q为充填流量,m3/s;τ0为浆体屈服应力,Pa;η为浆体塑性黏度,Pa·s。

上式表明,影响f的参量包括:充填流量Q、管道内径R和料浆流变参数τ0η

综上分析,影响充填料浆输送状态的因素:①充填流量Q;②管道参量:LBEH0R;③料浆特性参量:τBηρ

3.2 避免不满管流输送状态的方法

3.2.1 充填管路建设要合理确定垂直钻孔位置

由满管流输送状态判别式(7)可以得到:

(11)

在图1中, LBD=H+LCD,则式(11)可变为

(12)

从式(12)可以看出,在图1中,当钻孔高度H一定,在充填泵出口和井下管路出口位置保持不变的情况下,即当LAB+H+LCD不变情况下,垂直钻孔靠近充填泵,即减小地面管道长度:LAB=LAB-s,增大井下管道长度:LCD=LCD+s,则更能有利于式(12)成立,即更能保证充填输送满管流状态。由图1输送模型优化得到的输送模型如图3所示。

图3 充填管路输送优化模型
Fig.3 Optimization model of filling pipeline transportation

反之,若垂直钻孔远离充填泵,即地面管路LAB较长,井下管路LCD较小,则容易造成不满管流现象的发生。

3.2.2 适当调整料浆浓度和管道内径

在管道长度一定的情况下,由式(7)可以看出,提高fw也就是提高摩擦阻力系数 f值有利于实现满管流状态。式(10)表明,影响f的参量包括:充填流量Q、管道内径R和料浆流变参量τ0η。对于已建成运行的充填系统,料浆制备和泵送设备等决定了充填流量Q不宜改变。但可以适当调整料浆参数和管径来提高f

1)提高料浆质量浓度。从式(10)可以看出,f随着τ0η的增大而增大。τ0η是充填料浆的流变参数,反映充填料浆流动性,主要与充填材料特性、充填料配比和料浆浓度相关。一般地,充填材料特性、充填料配比基本不变,τ0η随着料浆浓度的提高而增大。因此,在可能发生不满管流输送状态下,可以适当提高料浆浓度以增大τ0η,从而增大摩擦阻力系数f值来实现满管流输送状态。

2)减小非主干管道的内径。式(10)表明,f随着管径的减小而增大。现场实践中,包括垂直钻孔在内的主干管道的内径R不宜变动,但可以适当减小非主干管道的内径(如:工作面充填管道的内径)以增大f,尽可能实现满管流输送状态。

4 工程应用

某矿采用矸石粉煤灰似膏体泵送充填技术开采公路下压煤,充填流量Q=90 m3/h,管道内径R=170 mm,其管路布置如图4所示。随着充填工作面的变动,管路长度最长2 318 m,最短1 185 m,充填系统管段长度见表1。

图4 充填管路布置示意
Fig.4 Schematic of filling pipeline layout

表1 充填管段参数
Table 1 Backfill pipe section parameters

管段最远充填点最近充填点长度/m垂高/m长度/m垂高/mAB600600BC433433433433CD1 825166925合计2 3184491 185438

料浆质量分数选用78%和79%。试验测试得到的料浆流变参数、密度及由式(10)计算得到的摩擦阻力系数f,见表2,并且如前所述fw=1.1f

表2 似膏体充填料浆的特征参数值
Table 2 Characteristic parameter values of paste-likebackfill slurry

项 目不同料浆质量分数下的特征参数值78%79%屈服应力τ0/Pa78.4112.7塑性黏度η/(Pa·s)2.762.93料浆密度ρ/(kg·m-3)1 9001 930摩擦阻力系数f/(103Pa·m-1)5.83 7.11 fw/(103Pa·m-1)6.41 7.82

1)远距离充填方案。对于远距离充填,特别是最远充填点,LBD=2 558 m,H0=449 m。料浆质量分数选用78%,相应的特征参数见表2。则由式(6)可以得到

p1=fwLBD-ρgH0=6.32×103 Pa

因此,在垂直管顶部,p1>0,表明管路系统处于满管流输送状态。

2)近距离充填方案。当井下充填管线比较短时,特别是在最近充填点时,LBD=1 125 m,H0=438 m。由式(6)可以计算得

此时,p1<0,说明垂直管上部会出现空管,管道输送处于不满管流状态。

为了避免不满管流状态的发生,料浆质量分数由78%提高到79%,相应的特征参数见表2。则由式(6)可以得到

p1>0,因此,当井下充填管线比较短时,料浆质量分数由78%提高到79%,整个充填管路仍保持满管流输送状态。

5 结 论

1)影响充填料浆输送状态的参量包括:充填流量Q,管道参量LBEH0R,料浆特性参量τ0ηρ;充填料浆及输送参量匹配不合理将导致管道输送不满管流状态及垂直管上部空管段的发生。

2)不满管流输送状态恶化了充填管路输送的稳定性,会对管路输送产生明显的影响和危害:“水锤”冲击作用、对管壁的冲蚀磨损、水平管道振动、料浆发生淤积堵塞、损害充填泵。

3)实际充填过程中,应避免不满管流输送状态的发生,主要的防治途径包括:充填管路建设要合理确定垂直钻孔位置;在可能发生不满管流输送状态下,可以通过适当提高料浆浓度,从而增大管道摩擦阻力来实现满管流输送状态;适当减小非主干管道的内径(如:工作面充填管道的内径)以增大管道摩擦阻力,尽可能实现满管流输送状态。

参考文献(References):

[1] 刘建功,李新旺,何 团.我国煤矿充填开采应用现状与发展[J].煤炭学报,2020,45(1):141-145.

LIU Jiangong,LI Xinwang,HE Tuan.Application status and prospect of backfill mining in Chinese coal mines [J].Journal of China Coal Society,2020,45(1):141-150.

[2] 孙希奎,赵庆民,施现院.条带残留煤柱膏体充填综采技术研究与应用[J].采矿与安全工程学报,2017,34(4):650-654.

SUN Xikui,ZHAO Qingmin,SHI Xianyuan.Research and application on the technology of paste backfilling fully mechanized in residual strip pillar[J].Journal of Mining & Safety Engineering,2017,34(4):650-654.

[3] 贺 龙.煤矿充填采煤方法的应用与分析[J].能源与节能,2016(9):183-184.

HE Long.Application andanalysis of filling mining methods of coal mines [J].Energy and Energy Conservation,2016 (9):83-184.

[4] 张兆威.基于绿色部分充填采煤的保水开采技术研究[J].煤炭工程,2018,50(1):105-108.

ZHANG Zhaowei.Research and application of water conservation mining technology based on partial filling green coal mining [J].Coal Engineering,2018,50(1):183-184.

[5] 范超军,李 胜,海 龙,等.矸石-粉煤灰充填采煤覆岩结构与变形规律[J].地下空间与工程学报,2018,14(1):117-123.

FAN Chaojun,LI Sheng,HAI Long,et al.Structure and deformation law of overlying strata for waste rock-fly ash backfilling mining [J].Chinese Journal of Underground Space and Engineering,2018,14(1):117-123.

[6] 简 勇,王 超,周 油,等.含水层下综放开采膏体充填技术与应用[J].煤矿安全,2020,51(1):84-88.

JIAN Yong,WANG Chao,ZHOU You,et al.Paste filling technology and its application in fully mechanized caving mining under aquifer [J]. Safety in Coal Mines,2020,51(1):84-88.

[7] 胡炳南.我国煤矿充填开采技术及其发展趋势 [J].煤炭科学技术,2012,40(11):1-5.

HU Bingnan.Backfill mining technology and development tendency in china coal mine [J].Coal Science and Technology,2012,40 (11):1-5.

[8] 张华兴.对“三下”采煤技术未来的思考[J].煤矿开采,2011,98(1):1-3.

ZHANG Huaxing.Thinking on the technology of coal mining under buildings,railways and water-body in future[J].Coal Mining Technology,2011,98(1):1-3.

[9] 郭惟嘉,张新国,史俊伟,等.煤矿充填法开采技术研究现状及应用前景 [J].山东科技大学学报(自然科学版),2010,29(4):24-29.

GUO Weijia,ZHANG Xinguo,SHI Junwei,et al.Present situation of research on backfilling mining technology in mines and its application prospect [J].Journal of Shandong University of Science and Technology (Natural Science),2010,29 (4):24-29.

[10] 黄玉诚,武 洋,常 军.似膏体巷式充填采煤技术及应用[J].煤炭科学技术,2014,42(1):37-40.

HUANG Yucheng,WU Yang,CHANG Jun.Application of the technology of coal mining with paste-like roadway filling [J].Coal Science and Technology,2014,42(1):37-40.

[11] 韩兴华,梁卫国,张建功.特殊膏体材料充填对开采沉陷控制的数值分析[J]. 地下空间与工程学报,2015,11(3):788-795.

HAN Xinghua,LIANG Weiguo,ZHANG Jiangong.Numerical analysis of mining subsidence control by special paste material backfill [J].Chinese Journal of Underground Space and Engineering,2015,11(3):788-795.

[12] 董 羽.强含水层下巷式充填开采覆岩移动及影响研究[D].北京:中国矿业大学(北京),2015.

[13] 唐维军,孙希奎,王 恒,等.膏体充填开采条带煤柱覆岩稳定效应研究[J].煤炭科学技术,2017,45(7):109-114.

TANG Weijun,SUN Xikui,WANG Heng,et al.Study on effect of overlying strata stability during strip coal pillar excavation with paste backfilling [J].Coal Science and Technology,2017,45(7):109-114.

[14] 孙凯华,刘鹏亮,孙万明,等.风积沙似膏体煤矿充填材料的研究及应用[J].金属矿山,2016(4):172-176.

SUN Kaihua1,LIU Pengliang1,SUN Wanming,et al.Research and application on aeolian sand paste-like stowing material for mine [J].Metal Mine,2016(4):172-176.

[15] 黄玉诚.矿山充填理论与技术 [M].北京:冶金工业出版社,2014.

[16] 吴再海,李成江,齐兆军,等.减水剂在膏体充填管道输送的研究分析 [J].矿业研究与开发,2020,40(3):145-148.

WU Zaihai,LI Chengjiang,QI Zhaojun,et al.Research and analysis of water reducing agent in pipeline transportation of paste filling [J].Mining Research & Development,2020,40 (3):145-148.

[17] 赵卫强,黄玉诚,卓同超.似膏体充填管路振动特性有限元分析 [J].煤炭工程,2014,46 (6):106-108.

ZHAO Weiqiang,HUANG Yucheng,ZHU Tongchao.Finite element analysis on vibration characteristics of paste-like filling pipeline [J].Coal Engineering 2014,46 (6):106-108.

[18] 黄卫星,陈文梅.工程流体力学[M].北京:化学工业出版社,2001.

[19] 吴爱祥,艾纯明,王贻明,等.泵送剂改善膏体流变性能试验及机理分析[J].中南大学学报(自然科学版),2016,47(8):2752-2758.

WU Aixiang,AI Chunming,WANG Yiming,et al.Test and mechanism analysis on improving rheological property of paste with pumping agent[J].Journal of Central South University(Science and Technology),2016,47(8):2752-2758.

[20] 李 帅,王新民,张钦礼,等.超细全尾砂似膏体长距离自流输送的时变特性[J].东北大学学报(自然科学版),2016,37(7):1045-1049,1060.

LI Shuai,WANG Xinmin,ZHANG Qinli,et al. Time-varying characteristic of paste-like super-fine unclassified tailings in long self-flowing transportation [J].Journal of Northeastern University (Natural Science),2016,37(7):1045-1049,1060.

Research on non-full pipeline flow transportation and prevention method of coal gangue cemented backfill

HUANG Yucheng,DUAN Xiaobo,WANG Yumin,LUO Haotian,HAO Yuxin

(School of Energy and Mining Engineering,China University of Mining & Technology-Beijing,Beijing 100083,China)

Abstract:The coal gangue cemented backfill slurry has high quality concentration.If the pipeline layout and transportation parameters are unreasonable,non-full pipeline flow and pipeline transportation failures are likely to occur during the backfilling process.In order to clarify the causes and hazards of non-full pipeline flow of coal gangue cemented backfill pipelines,corresponding prevention measures are proposed,combined with the practice of gangue high-concentration backfill slurry pipeline transportation,a pump-backfill pipeline transportation model is established.Based on the basic theory of slurry pipeline transportation,the causes of the non-full pipeline flow are studied,and the theoretical discriminant of the dissatisfied pipe flow state is proposed.According to the movement characteristics of the slurry in the process of dissatisfied pipe flow,the effect of dissatisfied pipe flow on the pipeline transportation system was discussed.Combining case analysis,the prevention and treatment methods of the non-full pipeline flow status are analyzed and proposed.The results show that the main factors affecting the transport state of the filling slurry are the backfill flow rate,the geometric parameters and layout of the pipeline,the rheological properties and density of the slurry.During the transportation process,the filling slurry and the transportation parameters are unreasonably matched.At the top of the vertical drilled pipe,the high-concentration slurry will break off and change from one continuum to a discontinuity,resulting in a non-full pipeline flow status in pipeline transportation.With the further development of the slurry pull-off zone,an empty pipe section appears on the upper part of the vertical drilled pipe and presents a certain degree of vacuum,which is in a negative pressure state.The backfill slurry changes from a solid,liquid two-phase flow state to solid,liquid and gas three-phase flow state.The change of the slurry state deteriorates the stability of the filling pipeline transportation,and has obvious impact and harm on the pipeline transportation system,including "water hammer" impact,erosion and wear on the pipe wall,horizontal pipeline vibration,slurry siltation clogging,and filling pump damage.In order to avoid the occurrence of pipeline flow dissatisfaction,the vertical drilling position should be selected reasonably during the pipeline construction.In the actual filling work,the slurry concentration can be appropriately increased or the inner diameter of the non-main pipeline can be reduced to increase the friction resistance of the pipeline to maintain the state of full pipe flow of slurry.

Key words:coal gangue; backfill mining; pipeline transportation; dissatisfied pipeline flow;slurry concentration

中图分类号:TD823TD323

文献标志码:A

文章编号:0253-2336(2020)09-0117-06

移动扫码阅读

黄玉诚,段晓博,王瑜敏,等.煤矸石胶结充填管路输送不满管流及其防治方法研究[J].煤炭科学技术,2020,48(9):117-122.doi:10.13199/j.cnki.cst.2020.09.014

HUANG Yucheng,DUAN Xiaobo,WANG Yumin,et al.Research on non-full pipeline flow transportation and prevention method of coal gangue cemented backfill[J].Coal Science and Technology,2020,48(9):117-122.doi:10.13199/j.cnki.cst.2020.09.014

收稿日期:2020-05-10 责任编辑:李金松

基金项目:国家重点研发计划资助项目(2018YFC0808403)

作者简介:黄玉诚(1966—),男,安徽巢湖人,教授,博士生导师,博士。E-mail:hyc@cumtb.edu.cn