房式采空区下近距离煤层开采支架工作阻力研究

许猛堂,徐佑林,金志远

(贵州理工学院 矿业工程学院,贵州 贵阳 550003)

摘 要:为研究房式采空区下近距离煤层开采支架合理支护阻力,基于石圪台煤矿实际地质条件,构建了房式采空区下关键层初次破断与周期性破断力学模型,得到了初次来压和周期来压步距表达式,并构建了对应的“支架-围岩”相互作用力学模型,获得了支架工作阻力的计算式。研究结果表明:房式采空区下煤层开采关键层破断步距主要特点有2个:①关键层初次破断及周期性破断步距与上覆留设煤柱应力集中程度密切相关;②破断步距大小受关键层前次破断位置影响较大。理论计算31201 综采工作面关键层初次来压步距为40.1 m,前3次周期来压步距分别为20.4、18.9、20.8 m。与均布载荷条件下相比,房式采空区下支架支护阻力的主要影响因素有2个,即关键层受上覆岩层集中力的位置和关键层初次破断结构形态。理论计算获得该工作面初次来压和前3次周期来压合理工作阻力分别为17 372、11 722、15 252、15 206 kN。结合工程实例,验证了理论推导的合理性,研究成果为房式采空区下近距离煤层开采液压支架选型提供了指导。

关键词:房式采空区; 近距离煤层; 破断步距; 应力集中; 支架工作阻力

0 引 言

我国西部矿区在开采初期多采用房式开采,随着开采规模的不断增大,下煤层普遍进行长壁工作面开采,上覆煤层采空区遗留的大量残余煤柱将形成应力集中区域,改变下煤层顶板应力环境,带来近距离煤层开采安全隐患问题。

国内众多学者对房式采空区下近距离煤层开采进行了大量的研究,主要包括矿山压力显现,留设煤柱稳定性以及支架工作阻力等方面。矿山压力显现方面,屠世浩等[1-2]对房柱式采空区下煤层开采引起覆岩与地表移动变形规律,压架机理以及上层煤柱下综放沿空回采巷道矿压规律研究进行了分析,并有针对性地提出了预防措施;解兴智[3-5]综合运用理论分析、现场实测和数值模拟等方法,得到了房柱式采空区留设煤柱对下层煤开采顶板稳定性及矿山压力显现的影响规律。留设煤柱失稳方面,王方田等[6-7]利用尖点突变理论建立了煤柱稳定性力学模型,并获得了遗留煤柱突变失稳规律;白庆升等[8]利用应变软化准则提出了煤柱受集中应力条件下的变形破坏机制;霍丙杰等[9]提出了房式采空区下煤层开采“高应力-煤柱-覆岩运动”联合作用动压机理;朱德福等[10]运用重整化群方法评价煤柱群的稳定性,得出了煤柱失稳临界概率;付兴玉等[11]分析了遗留煤柱保持稳定时的临界弹性核宽度,并指出工作面出集中煤柱期间易诱发动载矿压。支架工作阻力方面,朱卫兵等[12]通过相似材料物理模拟和数值模拟,对浅埋近距离煤层开采房式煤柱群动态失稳造成的工作面压架机理进行了分析,并指出上覆房采煤柱的破坏形式及其失稳次序同其与下层煤工作面相对位置密切相关;魏立科等[13]针对实体煤下、采空区下和过上覆留设煤柱下等3 种条件,分别提出了对应的覆岩错位砌体梁结构,并计算获得支架工作阻力;文献[14-15]建立了工作面过煤柱期间上覆岩层结构力学模型,揭示了动载条件下液压支架的压架机理。

目前房式采空区下煤层安全高效开采已经取得了较为丰硕的成果,但鲜有研究涉及集中载荷作用下关键层破断结构对工作面支架工作阻力的影响规律。基于此,笔者构建上覆煤柱集中应力条件下关键层初次破断与周期性破断力学模型,分析关键层初次来压和周期来压步距,并构建相应的“支架-围岩”相互作用力学模型,研究液压支架合理工作阻力,结合现场支架实际选型验证理论模型的可靠性。

1 工程概况

石圪台2-2煤采用房式开采[15],煤房宽度和房间煤柱宽度均约为6 m,煤厚平均4.7 m ,下方34.7 m处赋存3-1煤,煤层厚度约4.1 m,煤层倾角1°~3°,为近水平煤层,31201 综采工作面倾斜长度为311 m,走向长度为1 865 m。直接顶为泥质砂岩,厚度为5.2 m,基本顶(关键层)为中粒砂岩,厚度为16 m,煤岩层岩性及厚度见表1。

表1 煤岩层岩性及厚度

Table 1 Lithology and thickness of coal rock stratum

序号岩层厚度/m累计厚度/m1流砂5.105.102中、细、粉粒砂岩及煤层64.0069.103粉砂岩7.6076.704中粒砂岩5.5082.205细粒砂岩12.6094.8062-2煤4.8699.667粉砂岩13.50113.168中粒砂岩16.00129.169砂质泥岩5.20134.36103-1煤4.18138.54

2 关键层破断力学模型构建

房式采空区下近距离煤层开采覆岩结构如图1所示,传统方法一般将关键层所受上覆岩层载荷简化为均布载荷,而房式采空区下煤层开采由于上覆留设煤柱的存在,关键层上存在应力集中现象,对下层煤开采的初次来压以及周期来压步距有较大影响,因此需要构建新的受力模型来研究关键层的破断形态。

图1 房式采空区下近距离煤层开采覆岩结构
Fig.1 Overburden structure of contiguous coal
seam mining under room-and-pillar gob

从矿压显现及采动支承压力分布特点来看,房柱受不均匀载荷,就单一煤柱而言,房柱所受载荷具有对称性,集中力位于煤柱中间,为了计算的简便,将房柱所受载荷假定为均布载荷,对下伏关键层破断步距影响较小。由此采用平面应力模型建立基本顶关键层简支梁模型,对房式采空区下关键层受力情况提出如下基本假设:①上覆岩层作用于留设煤柱上的集中载荷均匀分布于煤柱上方,且均匀垂直传递于下伏关键层上。②采空区下伏关键层上的载荷为关键层至上覆煤层层间岩层自重载荷。

2.1 关键层初次破断

当开切眼位于上覆留设煤柱下时(自右向左开采),关键层初次破断位置有2种情况:①位于上覆采空区下(位置一),受力如图2a所示;②位于上覆留设煤柱下(位置二),受力如图2b所示。

q1—上覆煤柱条件下关键层所受载荷;q2—上覆采空区条件下关键
层所受载荷;a—煤柱宽度;b—煤房宽度;N—关键层上方
留设煤柱数量;eN个煤柱以外的关键层长度
图2 关键层初次破断力学模型
Fig.2 Mechanical model of first break of key layer

由图2可得关键层破断的极限跨距lT

lT=Na+(N-1)b+e

(1)

由式(1)可得,要计算岩梁的极限跨距,须先计算Ne

1)N的计算。N的取值条件为,当工作面开采至N个煤柱时,关键层不会发生断裂,而当工作面开采至N+1个煤柱时,关键层必然发生断裂。根据两端简支的静定梁,计算梁破断前N的取值,其受载荷作用如图3所示。

图3 N值计算初次来压受力模型
Fig.3 First wighting force model of N calculation

因为该结构为对称静定结构,可得简支梁两端受力FAFB

(2)

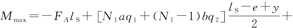
由此可计算出关键层所受最大弯矩Mmax

N为奇数时,

(3)

工作阻力 N为偶数时,

(4)

关键层所受最大拉应力σmax

σmax=6Mmax/h2

(5)

其中:h为关键层厚度。根据式(5)可得关键层所受最大拉应力σmax,令σTσmax(σT为关键层的抗拉强度),得出关键层破断前留设煤柱最大数量Nmax

Nmax=N

(6)

2)e的计算。以关键层破断位置位于采空区下(位置一)为例,关键层破断位置位于留设煤柱下(位置二)可相应求解。

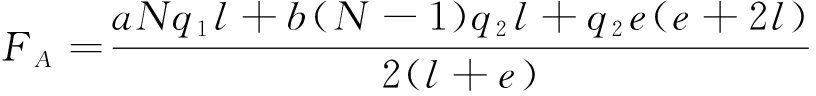
解图2a所示力学模型,令l=Na+(N-1)b可得左端FA

(7)

用截面法分析Mmax,当截面上剪切力Fs为0时,关键层岩梁所受弯矩达到最大值,此时弯矩最大截面也存在2种情况:一种位于上覆煤柱q1载荷下,一种位于上覆采空区q2载荷下。以位于上覆采空区载荷下为例求解,受力模型如图4所示。

lSA端至关键层弯矩最大值截面处的距离;y—右端采空区q2
载荷分布宽度;N1—弯矩最大处至A端上层煤留设煤柱数目
图4 关键层弯矩最大时受力模型
Fig.4 Stress model of key layer subjected to
maximum bending moment

由此可得FA与上覆岩层载荷之间的关系为

FA=eq2+N1q1+(N1-1)q2+yq2

(8)

由式(8)可得N1y关于e的表达式,由此可以计算关键层所受最大弯矩为

(9)

根据式(5)求得σmax,令σT=σmax可求得e,若0<e<b,则取解,否则舍去。

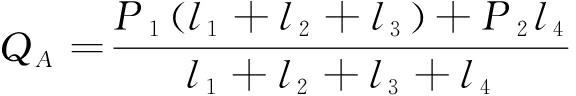
2.2 关键层周期性破断

关键层周期性破断和初次破断位置密切相关,关键层初次破断位置同样可分为在上覆采空区条件下和上覆煤柱条件下2种情况,力学模型如图5所示。以初次破断位于采空区下为例分析周期来压步距,令l′=Na+(N-1)b+c′,关键层周期性破断呈悬臂梁结构,受不均匀载荷作用,根据破断位置的不同存在图5所示2种情况。

c′—右端采空区下关键层长度;e′—l′以外的关键层长度
图5 关键层周期性破断力学模型
Fig.5 Mechanical model of periodic breaking of key layer

由此可得关键层周期性破断的极限跨距

(10)

同理,要计算岩梁的极限跨距,须计算Ne

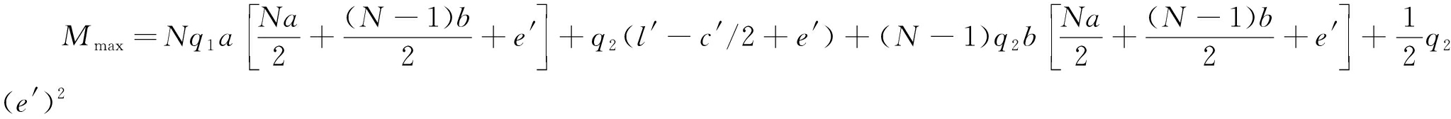
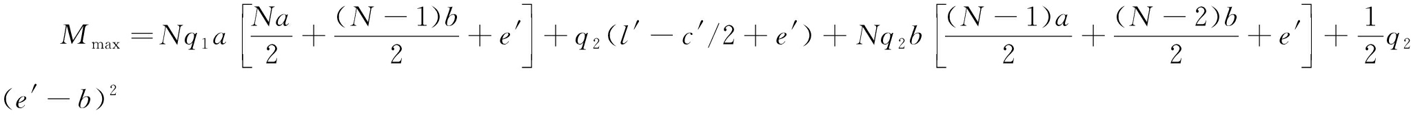
1)N的计算。周期来压受力模型,如图6所示,由模型可得Mmax

图6 N值计算周期来压受力模型
Fig.6 Periodic weighting force model of N calculation

(11)

根据式(11)悬臂梁弯矩最大值的计算,端部的最大拉应力σmax可采用式(5)获得,令σmaxσT,可以解得N

2)e′的计算。图5a中关键层所受弯矩最大值为

(12)

图5b中关键层所受弯矩最大值为

(13)

同样根据式(5)求得σmax,令σT=σmax,方程为一元二次方程,可以求出e′。

2.3 上覆岩层载荷的确定

1)煤柱下岩层载荷确定。由于浅埋深且覆岩裂隙发育充分,部分覆岩位于垮落带形成松散岩体,这种岩体松散条件下围岩应力计算符合普氏理论的基本假设,而岩柱理论、应力传递理论及太沙基理论一般只适用于浅埋(一般小于50 m)条件下,对于深部煤层开采围岩压力计算误差较大,故采用普氏理论计算条带开采下煤层开采工作面围岩应力,如图7所示。

c1—工作面长度的1/2;c2—自然平衡拱最大跨度的1/2;
d—自然平衡拱的最大高度;m—采高;
φ—岩石的内摩擦角;Q—覆岩载荷
图7 工作面倾向应力计算模型
Fig.7 Calculation model of pressure in working
face dip direction

可求得自然平衡拱的最大高度为

d=c2/f

(14)

式中: f 为岩体的坚固系数。

c2=c1+mtan(45°-φ/2)

(15)

通常情况下工作面长度2c1应远大于采高m,可认为c2c1

由式(14)与式(15)可知下伏关键层上覆自然平衡拱高度随着工作面长度的增加而增加,工作面长度为关键层所受载荷计算中的关键因素之一,求得自然平衡拱内最大围岩压应力pmax

pmax=c1γ/f

(16)

式中:γ为覆岩的平均容重。

为了简化计算,同时找到最危险的位置,将最大围岩压应力作为关键层上覆载荷,根据假设集中应力在煤柱上方均匀分布,则q1值为

(17)

2)采空区下岩层载荷确定。根据假设可知采空区下载荷q2为两煤层间岩层作用于下伏关键层上的载荷,其值大小为层间岩层自重(包括关键层自重),可得:

q2=γh1

(18)

式中:h1为上煤层至关键层下部的距离。

2.4 关键层初次来压与周期性来压步距实例

由地质条件可知,下伏3-1煤层工作面倾斜长度为311 m,煤房宽a=6 m,煤柱宽b=6 m,令岩体坚固系数f=12,抗拉强度σT=5 MPa,基岩容重γ=22 kN/m3,关键层厚度为16 m,由式(17)、式(18)以及表1可得载荷q1q2分别为1.896、0.649 MPa。可得关键层初次来压与周期来压步距,见表2(序号0为初次来压,1为第1次周期来压,2为第2次周期来压,3为第3次周期来压)。

表2 关键层来压步距

Table 2 Breaking step of key layer

序号来压步距/ml或l'/me或e'/mc'/m040.13010.1—120.4126.51.9218.9121.45.5320.8610.24.6

由表2可得,关键层初次破断及周期性破断步距不仅与上覆煤柱应力集中程度以及采空区下岩层载荷密切相关,还受关键层前次破断位置影响。若煤柱集中载荷超过其极限承载能力,则集中载荷q1将向两侧转移,从而造成q1降低,q2增高,使得下伏关键层所受载荷趋于均匀,在一定程度上减小了关键层在上覆煤柱下的破断概率,将有利于工作面顶板控制。

3 液压支架合理支护阻力确定

液压支架合理支护阻力能够避免关键层块体发生滑落失稳,防止顶板沿煤壁切落出现台阶式下沉而发生压垮型事故,构建关键层初次破断及周期性破断结构力学模型[16-17],如图8所示。

l1l2l3l4—块体受集中力至左右两端距离;T—水平力;
QAQBAB处所受支撑力;a—端头挤压面积;
P1P01P2P02—集中力;R2—采空区岩体对块体Ⅱ的支撑力;
W1W2—下沉量;θ1θ2—回转角
图8 关键层破断结构受力模型
Fig.8 Mechanical model of key layer breaking structure

关键层不发生滑落失稳的条件为

Ttan φ+RQA

(19)

其中:R为单位宽度液压支架提供的支护力。支架提供的支撑基本顶的支护阻力Pm由作用于支架的直接顶的重力W和关键层滑落失稳时传递至支架上的压力RD组成:

Pm=W+RD

(20)

W=lkkγh2

(21)

式中:lk为工作面控顶距;k为液压支架宽度;h2 为直接顶厚度。

关键层岩梁滑落失稳传递至支架上的压力为

RD=kR

(22)

考虑液压支架的支护效率μ,确定工作面液压支架合理工作阻力PG

(23)

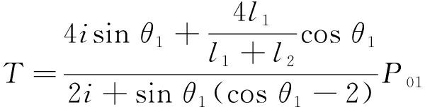
3.1 初次来压合理支护阻力

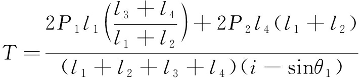
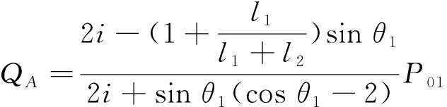
根据图8a中力学模型,由文献[18-20]可知,a=(h-lsin θ1)/2,l=l1+l2,同时令h/l=i,可得TQA的表达式为

(24)

(25)

代入式(23)可得初次来压支架合理支护阻力。

3.2 周期来压合理支护阻力

根据图8b中力学模型,此时岩块Ⅱ基本处于压实状态,可近似认为R2=P02[20],可得TQA

(26)

(27)

代入式(25)可得周期来压支架合理支护阻力。

3.2 液压支架支护阻力计算实例

计算液压支架支护阻力需先计算关键层破断结构参数,根据关键层初次破断以及周期性破断规律,可得关键层破断参数l1l2l3l4、块体受集中力以及i具体取值,见表3(序号0为初次来压,1为第1次周期来压,2为第2次周期来压,3为第3次周期来压)。

表3关键层初次及周期性破断结构参数

Table 3 Structural parameters of initial and
cycle breaking of key layer

序号l1/ml2/ml3/ml4/m块Ⅰ受集中力/kN块Ⅱ受集中力/kNi09.6911.049.999.3822.9722.690.772110.559.859.6911.0420.3222.970.78429.709.2010.559.8521.9620.320.84739.7111.099.709.2022.1021.960.769

支架宽度k=2 m,控顶距lk=4.8 m,直接顶厚度h2=5.2 m,取支架支护效率μ=0.95,tan φ=0.5,可得关键层来压期间液压支架合理支护阻力:初次来压液压支架合理支护阻力PG0≥17 372 kN/架;第1次周期来压液压支架合理支护阻力PG1≥17 372 kN/架;第2次周期来压液压支架合理支护阻力PG2≥17 372 kN/架;第3次周期来压液压支架合理支护阻力PG3≥17 372 kN/架。

石圪台31201综采工作面液压支架型号为Z18000kN/25/45D,支护阻力为18 000 kN,满足计算要求,且工作面在上覆房式采空区下开采过程中未发生压架事故。

4 结 论

1)结合房式采空区下工作面开采矿压显现及采动支承压力分布特点,构建了房式采空区下关键层初次破断和周期性破断力学模型,并得到了初次来压和周期来压步距表达式。

2)运用普式理论,确定了留设煤柱下和采空区下关键层所受的上覆岩层载荷,其中工作面长度为载荷确定的主要影响因素之一。

3)理论推导出房式采空区下近距离煤层开采支架工作阻力的解析计算式。与均布载荷条件下相比,得出影响房式采空区下支架工作阻力大小的2个主要因素:①关键层受上覆岩层集中力的位置;②关键层初次破断结构形态。结合工程实例,验证了理论推导的合理性。

参考文献(References):

[1] 屠世浩,窦凤金,万志军,等.浅埋房柱式采空区下近距离煤层综采顶板控制技术[J].煤炭学报,2011,36(3):366-370.

TU Shihao,DOU Fengjin,WAN Zhijun,et al.Strata control technology of the fully mechanized face in shallow coal seam close to the above room and pillar gob[J].Journal of China Coal Society,2011,36(3):366-370.

[2] 屠世浩,王方田,窦凤金,等.上层煤柱下综放沿空回采巷道矿压规律研究[J].中国矿业大学学报,2010,39(1):1-5.

TU Shihao,WANG Fangtian,DOU Fengjin,et al.Fully mechanized top-coal caving:underground stress at gateways under barrier pillars of an upper coal seams[J].Journal of China University of Mining and Technology,2010,39(1):1-5.

[3] 解兴智.浅埋煤层房柱式采空区顶板-煤柱稳定性研究[J].煤炭科学技术,2014,42(7):1-4,9.

XIE Xingzhi.Study on stability of roof-coal pillar in room and pillar mining goaf in shallow depth seam[J].Coal Science and Technology,2014,42(7):1-4,9.

[4] 解兴智.房柱式采空区下长壁工作面覆岩宏观变形特征研究[J].煤炭科学技术,2012,40(4):23-25.

XIE Xingzhi.Study on micro deformation features of overburden strata above longwall coal mining face under goaf of room and pillar mining[J].Coal Science and Technology,2012,40(4):23-25.

[5] 解兴智.浅埋煤层房柱式采空区下长壁开采矿压显现特征[J].煤炭学报,2012,37(6):898-902.

XIE Xingzhi.Study on the characteristics of strata behavior in shallow seam longwall mining under the room-and-pillar mining goaf[J].Journal of China Coal Society,2012,37(6):898-902.

[6] 王方田.浅埋房式采空区下近距离煤层长壁开采覆岩运动规律及控制[D].徐州:中国矿业大学,2012:29-51.

WANG Fangtian.Overlying strata movement laws and ground control of the longwall face mining in a shallow depth seam in proximity beneath a room mining goaf[D].Xuzhou:China University of Mining and Technology,2012:29-51.

[7] 王方田,屠世浩,李召鑫,等.浅埋煤层房式开采遗留煤柱突变失稳机理研究[J].采矿与安全工程学报, 2012,29(6):770-775.

WANG Fangtian,TU Shihao,LI Zhaoxin,et al.Mutation instability mechanism of the room mining residual pillars in the shallow depth seam [J].Journal of Mining & Safety Engineering,2012,29(6):770-775.

[8] 白庆升,屠世浩,王方田,等.浅埋近距离房式煤柱下采动应力演化及致灾机制[J].岩石力学与工程学报, 2012,31(S2):3772-3778.

BAI Qingsheng,TU Shihao,WANG Fangtian,et al.Stress evolution and induced accidents mechanism in shallow coal seam in proximity underlying the room mining residual pillars [J].Chinese Journal of Rock Mechanics and Engineering,2012,31(S2):3772-3778.

[9] 霍丙杰,范张磊,谢 伟,等.浅埋近距离房式采空区下应力场分析及动压机理研究[J].煤炭科学技术,2019,47(1):179-186.

HUO Bingjie,FAN Zhanglei,XIE Wei, et al. Stress field analysis and study on dynamic mechanism under goaf of shallow depth and closed distance room and pillar mining [J].Coal Science and Technology,2019,47(1):179-186.

[10] 朱德福,屠世浩,王方田,等.浅埋房式采空区煤柱群稳定性评价[J].煤炭学报,2018,43(2):390-397.

ZHU Defu,TU Shihao,WANG Fangtian,et al.Stability evaluation on pillar system of room and pillar mining in goaf at shallow depth seam[J].Journal of China Coal Society,2018,43(2):390-397.

[11] 付兴玉,李宏艳,李凤明,等.房式采空区集中煤柱诱发动载矿压机理及防治[J].煤炭学报,2016,41(6):1375-1383.

FU Xingyu,LI Hongyan,LI Fengming,et al.Mechanism and prevention of strong strata behaviors induced by the concentration coal pillar of a room mining goaf[J].Journal of China Coal Society,2016,41(6):1375-1383.

[12] 朱卫兵,许家林,陈 璐,等.浅埋近距离煤层开采房式煤柱群动态失稳致灾机制[J].煤炭学报, 2019, 44(2):358-366.

ZHU Weibing,XU Jialin,CHEN Lu,et al.Mechanism of disaster induced by dynamic instability of coal pillar group in room-and-pillar mining of shallow and close coal seams[J].Journal of China Coal Society,2019,44(2):358-366.

[13] 魏立科,张 彬,付兴玉,等.房式采空区下特殊岩梁结构支架工作阻力分析[J].岩石力学与工程学报, 2015,34(10):2142-2147.

WEI Like,ZHANG Bin,FU Xingyu,et al.Support resistance analysis for special roof structures under room mining goaf [J].Chinese Journal of Rock Mechanics and Engineering,2015,34(10):2142-2147.

[14] 秦 凯,王健达,李宏艳,等.集中煤柱诱发下伏近距离煤层异常矿压及机理研究[J].煤炭科学技术,2019,47(8):102-107.QIN Kai,WANGJianda,LIHongyan,etal.Study on abnormal mine pressure and mechanism of near-distance coal seam induced by concentrated coal pillar[J].Coal Science and Technology,2019,47(8):102-107.

[15] 李浩荡,杨汉宏,张 斌,等.浅埋房式采空区集中煤柱下综采动载控制研究[J].煤炭学报,2015,40(S1):6-11.

LI Haodang,YANG Hanhong,ZHANG Bin,et al.Control study of strong strata behaviors during the fully mechanized working face out of concentrated coal pillar in a shallow depth seam in proximity beneath a room mining goaf[J].Journal of China Coal Society,2015,40( S1):6-11.

[16] 王旭锋.冲沟发育矿区浅埋煤层采动坡体活动机理及其控制研究[D].徐州:中国矿业大学,2009:99-118.

WANG Xufeng.Study on mining-induced slope activity mechanism and its control of shallow coal seam in gully-growth-wide mining area [D].Xuzhou:China University of Mining and Technology,2009:99-118.

[17] JIN Zhiyuan,ZHANG Dongsheng,MA Liqiang,et al.Breaking mechanism of longwall mining face roof under room-and-pillar goaf of shallow-buried short distance coal seams and its control [J].Disaster Advances,2013,6(S5):208-215.

[18] 钱鸣高,缪协兴,何富连.采场“砌体梁”结构的关键块分析[J].煤炭学报,1994,19(6):557-563.

QIAN Minggao,MIAO Xiexing,HE Fulian. Analysis of key block in the structure of voussoir beam in longwall mining[J].Journal of China Coal Society,1994,19(6):557-563.

[19] 黄庆享,石平五,钱鸣高.老顶岩块端角摩擦系数和挤压系数实验研究[J].岩土力学,2000,21(1):60-63.

HUANG Qingxiang,SHI Pingwu,QIAN Minggao.Experiment study on the coefficients of friction and inserting of main roof block corner [J].Rock and Soil Mechanics,2000,21(1):60-63.

[20] 黄庆享,钱鸣高,石平五.浅埋煤层采场老顶周期来压的结构分析[J].煤炭学报,1999,24(6):581-585.

HUANG Qingxiang,QIAN Minggao,SHI Pingwu. Structural analysis of main roof stability during periodic weighting in longwall face [J].Journal of China Coal Society,1999,24(6):581-585.

Research on support resistance of contiguous coal seam mining under room-and-pillar gob

XU Mengtang,XU Youlin,JIN Zhiyuan

(Institute of Mining EngineeringGuizhou Institute of Technology,Guiyang 550003,China)

Abstract:In order to study the reasonable support resistance of contiguous coal seam mining under room-and-pillar gob,based on the actual geological conditions of Shigetai Coal Mine,the mechanical models of primary and periodic breakage of key layers under room-and-pillar gob were constructed to obtain the initial and periodic weighting intervals,and the corresponding “support-rock” interaction mechanical models were constructed to calculate the working resistance of the support.The results of the study indicate that there are two main features of the key strata breaking step under room-and-pillar gob mining:① The first breaking and periodic breaking step of the key layer are closely related to the stress concentration degree of the coal pillars left above; ② The breaking step size is greatly affected by the location of the key layer’s previous break.The initial striking step of the key stratum of the No.31201 fully-mechanized coal mining face is 40.1 m by theoretical calculation,and the striking step of the first three cycles is 20.4 m,18.9 m,and 20.8 m.Compared with the uniform load condition,there are two main influencing factors for the determination of the support resistance under room-and-pillar gob mining:The position where the key layer is concentrated by the overlying rock layer;The structural form of the first break of the key layer.Theoretical calculations show that the reasonable working resistances during the first weighting and the first three periodic weighting are 17 372 kN,11 722 kN,15 252 kN and 15 206 kN.The rationality of the theoretical derivation is verified by engineering example,and the research results provide guidance for the selection of hydraulic supports of contiguous coal seam mining under room-and-pillar gob.

Key words:room-and-pillar gob; contiguous coal seam; breaking step; stress concentration; working resistance of support

中图分类号:TD355

文献标志码:A

文章编号:0253-2336(2020)08-0063-07

收稿日期:2020-02-25责任编辑:朱恩光

基金项目:国家自然科学基金资助项目(51764010,51874109);安全生产重大事故防治关键技术科技资助项目(guizhou-0004-2017AQ);贵州省科学技术基金资助项目(黔科合基础[2020]1Y215)

作者简介:许猛堂(1986—),男,江苏连云港人,副教授,博士。Tel:0851-88211029,E-mail:xmtcumt@126.com

移动扫码阅读

许猛堂,徐佑林,金志远.房式采空区下近距离煤层开采支架工作阻力研究[J].煤炭科学技术,2020,48(8):63-69.doi:10.13199/j.cnki.cst.2020.08.007

XU Mengtang,XU Youlin,JIN Zhiyuan.Research on support resistance of contiguous coal seam mining under room-and-pillar gob[J].Coal Science and Technology,2020,48(8):63-69.doi:10.13199/j.cnki.cst.2020.08.007