煤矿井下无轨辅助运输巷道设计研究

王连柱,张燕滨

(山西天地煤机装备有限公司,山西 太原 030006)

摘 要:为了提高无轨辅助运输车辆在井工煤矿的适用性,基于对目前市场上各种无轨辅助运输车辆的研究和煤矿辅助运输巷道的现状,提出了对井下辅助运输巷道进行设计时,要从巷道的断面、路面、坡度、凸形变坡倒圆角、凹形变坡倒圆角、道岔加宽、不同巷道夹角的转弯倒圆角半径等方面进行系统性设计,以满足车辆在煤矿井下的运行环境要求。基于各种类型车辆的外形尺寸、转弯半径、离地间隙、轴距、接近角、离去角等参数,考虑车辆运行的安全间隙,推算出了不同类型车辆在不同巷道夹角处转弯时,巷道转弯处所需倒圆角半径的计算公式;不同车辆在经过凸形和凹形变坡时,变坡连接处所需的倒圆角半径计算公式。以山西天地煤机装备有限公司生产的运人车、运料车、铲板车、框架车为例,运用推导出的计算转弯倒圆角半径和变坡倒圆角半径公式,对巷道夹角为45°、90°和135°的情况下,各种车型所适用的倒圆角半径分别进行了测算,对凹形和凸形变坡角为18°、22°、24°、30°和40°的情况下,各种车型所适用的倒圆角半径进行了测算,计算结果很好地满足了车辆在转弯和变坡行驶时的运行条件。

关键词:无轨辅助运输;井巷设计;转弯半径;凸形变坡倒圆角;凹形变坡倒圆角

0 引 言

煤矿无轨辅助运输方式安全性高,运输效率高,机动灵活,能实现煤矿井下人员、设备、材料的机械化装载和卸载,尤其可以实现大型机电设备的点对点无转载整体性运输[1]。基于这些优点,目前,国内新建或辅助运输系统升级的煤矿,在地质条件容许的情况下,通常会优先选择无轨辅助运输方式[2]。无轨辅助运输方式多用于煤层埋深较浅,倾角不大的近水平巷道的矿井中[3],我国35%以上的的大中型煤矿均可采用无轨辅助运输系统。部分煤矿集团如神东、中煤、兖矿等都已经大规模使用了无轨胶轮车,积累了丰富的巷道设计和设备运行经验。单双向行驶巷道的宽度设计,各类辅助硐室设计,巷道路面设计等都已经有成熟的方案。但大部分煤矿因各种条件的限制,还无法采用此种先进的运输方式。且很多设计单位和煤矿对无轨辅助运输车辆本身以及它的运行环境的要求不是特别清楚[4],经常出现已经设计或改造完成的矿井又出现了局部巷道太窄或转弯半径太小,车辆无法通过,变坡倒圆角太小,导致车辆蹭底,坡度太大或太长,车辆爬坡困难等问题。通常要进行多次改造,才能最终完成。因此对车辆在煤矿井下巷道的适用性进行系统性研究非常有必要。

我国从20世纪90年代初开始引进无轨胶轮车辅助运输,经过10多年的摸索[5],已研制成功全系列无轨辅助运输车辆。大量的国产运人车、运料车、框架车等已经在全国各地的煤矿推广使用,改变了完全依赖进口的局面[6],运输效率大幅提升,车辆的性能也趋于稳定。但对无轨服务助运输系统的设计还不是很成熟,在充分考虑车型的各种性能参数的基础上,还要从巷道断面、坡度、转弯半径、变坡倒圆等方面进行设计,以下将从这些方面逐一介绍。

1 巷道断面的设计

目前,国内无轨辅助运输车辆的技术性能已经基本确定,短距离的最大爬坡能力为14°,长距离爬坡能力为6°,接近角和离去角16°~20°,离地间隙200 mm以上。大部分的小型运人、运料车长度在6~7 m,宽度约2 m,转弯半径8 m以内;大型车辆中,长度在10 m以内,宽度在3 m左右,离地间隙200 mm以上,转弯半径8 m以内。这里选一些比较有代表性车型进行介绍如图1—图4、表1所示。

图1 WC20R运人车
Fig.1 WC20R humanvehicles

图2 WC8E运料车
Fig.2 WC8E material vehicles

图3 WC40E铲板车
Fig.3 WC40E shovel platevehicles

图4 WC40Y框架车
Fig.4 WC40Y framework support vehicles

表1 典型无轨辅助运输车辆的基本参数

Table 1 Basic parameters of typical trackless
auxiliary transport vehicles

运输车辆代表车型外形尺寸/(m×m×m)转弯半径/m运人车WC20R5.7×2.0×2.25.6/7.5运料车WC8E7.2×2.0×2.14.0/6.5铲板车WC40E10.0×2.6×2.03.7/6.8框架车WC40Y9.5×3.5×1.72.6/6.6

注:转弯半径为最小内转弯半径/最小外转弯半径。

无轨辅运大巷要长期服务于整个煤矿的人员、材料、设备的运输,其断面尺寸必须满足车辆安全运行的要求[7]。车辆单向行驶的巷道,净宽应满足车辆两侧至巷道壁突出部分或排水沟的间距不少于0.3 m。车辆双向行驶的巷道,净宽还应满足错车间距不少于0.3 m。

1.1 单向行驶的巷道断面设计

车辆单向行驶的巷道断面,除应考虑车辆行驶时的安全间隙,还应设置人行道,一般人行道的宽度不小于0.8 m。当设置人行道时,巷道净宽B

B=a+b+d

(1)

式中:a为人行道宽度;b为车辆边缘至巷道壁突出物最小距离;d为车辆宽度。

巷道净高H

H=h+e

(2)

式中:h为车辆满载高度;e为车辆满载最高点至巷道顶板吊挂物的最小距离,取0.3 m。

以WC40Y框架车搬运ZY11000/25.5/55D支架为例(图5),将表1中的车辆参数代入式(1)和式(2),可知:巷道净宽B不得小于4.6 m,净高H不得小于3.1 m。

图5 单向行驶的矩形巷道
Fig.5 Rectangular roadway in one way

1.2 双向行驶的巷道断面设计

车辆双向行驶的巷道,人行道可根据需要进行设置,如图6所示。双向行驶巷道净宽的计算公式为

图6 双向行驶的矩形巷道
Fig.6 Rectangular roadway in two way

B=a+b+c+d1+d2

(3)

式中:c为两车的错车间距;d1为第1台车宽度;d2为第2台车宽度。

巷道净高的计算与单向行驶的巷道计算方法一致。以WC20R运人车为例,将表1中车辆参数代入式(2)和式(3),可计算出巷道的净宽B不得小于5.4 m,巷道净高H不得小于3.1 m。

2 巷道路面设计

巷道路面应达到普氏系数f≥4或底板比压大于0.10~0.25 MPa[8],并要保持干燥、平整,不得有大的凸起物和凹坑。在辅助运输大巷和采区主要准备巷道最好采用厚300 mm、强度为C30的混凝土铺设,综采工作面搬家通道、区段巷道等路面可铺设厚150~200 mm C20混凝土。

若巷道有底鼓现象,在硬化时将螺纹钢筋硬化在混凝土中,可在一定程度上减小底鼓现象。若巷道局部底鼓严重,可用石子或三七灰土做地基夯实,车行至该路段时,缓慢通过,一旦路面车辙过深,影响车辆行驶时,要立即进行修整。也可在地面局部铺设钢板,并进行防滑处理,以抵抗底鼓带来的不便。

3 巷道坡度设计

车辆的动力特性和地面的附着力极限决定了其不适合在长距离大坡度的情况下使用。大部分车辆生产企业提供的车辆最大爬坡角度为14°,但这不是正常的运行坡度,而是极限坡度。一般来说车辆的经济运行纵向坡度为6°以下,即只有在6°以下才能充分体现出无轨辅助运输的效率[9]。矿井的地质条件、煤层倾角、巷道情况千差万别,巷道坡度都在6°以下的矿井极少,因此必须找到6°~14°时,车辆可适应坡度与连续运行距离的关系,才能进一步促进车辆在大坡度多变坡矿井的推广使用。依据车辆动力特性以及实际使用经验,车辆连续爬坡的能力如图7所示。

图7 车辆对纵向坡度的适应性曲线
Fig.7 Adaptability curve of vehicle to longitudinal gradient

在干硬水泥或混凝土路面上,当坡度小于6°时,一般对巷道无特殊要求;当坡度在6°~14°,且持续距离过长时,则每隔一定的距离应设置20 m左右的水平缓冲段,以防止车辆在长距离、大载荷爬坡时产生高温现象,当坡度大于14°时,则巷道不适合无轨车辆的直接运行。

4 巷道变坡处倒圆角设计

车辆在井下运行时,难免会遇到变坡的情况,需要足够大的倒圆角,车辆才能安全通过。经测算,在通过凸形坡时,路面所需倒圆角半径与凸形变坡角、车辆的轴距、离地间隙等有关,变坡参数如图8所示。

D—车辆的轴距;n—车辆离地间隙;θ1—巷道凸
形变坡角;Rv—凸形变坡倒圆角半径
图8 巷道凸型变坡参数
Fig.8 Parameters of convex slopes of roadway

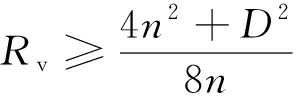
当巷道凸形变坡角θ1≤2arctan (2n/D)时,路面不需要倒圆角,车辆即可通过。

θ1≥4arctan (2n/D)时,路面的倒圆角半径必须满足式 (4),车辆才可通过,即

(4)

θ1在2arctan2n/D1<4arctan2n/D时,路面的倒圆角半径必须满足式 (5),车辆才可通过。

(5)

车辆通过凹型坡时,路面所需倒圆角与巷道突变角度和车辆的轴距、接近角、离去角等有关,各参数示意如图9所示。

θ2—凹形变坡角;β1—车辆接近角;
β2—车辆离去角;Rc—凹形变坡倒圆角半径
图9 巷道凹型变坡参数
Fig.9 Parameters of concave slopes of roadway

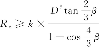
当巷道凹形变坡角θ2β时(β取车辆接近角β1与离去角β2的较小者),车辆可直接通过。当巷道凹形变坡角θ2β<θ2<2β之间时,依据经验,当车辆后轮处于倒圆角圆弧的2/3处时,车尾底部最易碰到地面,基于此考虑,巷道路面的倒圆角半径必须满足式(6),方可安全通过。

(6)

式中:k为调整系数,取0.3。

当巷道凹形变坡角θ2≥2β时,巷道路面倒圆角半径须满足式(7),方可安全通过。

(7)

以WC20R与WC8E为例,依据表2中车辆的相关参数,将其代入式(4)—式(7),得到车辆安全通过不同凸形和凹形变坡角路面时,所需倒圆角半径,计算结果见表3和表4。

表2 变坡倒圆角计算所需参数

Table 2 Parameters for calculating fillet
of convex and concave slope

车型离地间隙n/m轴距D/m接近角β1/(°)离去角β2/(°)WC20R0.203.31616WC8E0.213.61616

表3 不同凸形变坡倒圆角半径

Table 3 Fillet radius of different convex slopes

车型倒圆角半径/mθ1≤θ'θ1=18°θ1=22°θ1=26°θ1=30°θ1≥θ'WC20R(D)0(θ'=12°)5.06.76.86.97(θ'=27°)WC8E(B)0(θ'=14°)6.27.77.87.98(θ'=26°)

注:θ′为巷道凸形变坡角的某一角度。

表4 不同凹形变坡倒圆角半径

Table 4 Fillet radius of different concave slopes

车型倒圆角半径/mθ2≤16°θ2=18°θ2=22°θ2=26°θ2=30°θ2≥32°WC20R03.57.08.59.09.1WC8E04.28.410.210.710.8

5 巷道交岔点设计

为使车辆在岔道口能够自如的转弯,主巷和岔巷侧应适当加宽0.5 m左右。加宽范围可依据主巷和岔巷夹角大小来确定,从两巷道中心线交点起算的加宽段长度建议参考表5,巷道中心线倒圆角半径应为5 m左右[10],巷道交岔点加宽如图10所示。

表5 不同岔巷夹角的加宽段长度

Table 5 Length of widening section of different
roadway intersection

岔巷与主巷夹角γ90°75°60°45°加宽段长度L/m9.58.57.56.5

图10 巷道交岔点加宽示意
Fig.10 Widening of roadway intersection

6 巷道转弯倒圆角的设计

车辆在转弯时,车身外侧与巷道壁最小距离一般不少于0.5 m(图11),不同巷道宽度、不同巷道夹角时,对转弯处的倒圆角要求不同,其计算公式为

(8)

式中:R为巷道转弯处设置倒圆角半径;b为车辆边缘至巷道壁突出物最小距离;R1为车辆的最小外转弯半径;R2为车辆的最小内转弯半径;R3为车辆尾部最突出部分的最小转弯半径;B为巷道的宽度;θ为转弯巷道的夹角。

图11 车辆转弯各参数示意
Fig.11 Diagram of parameters of vehicle turning

由式(8)可得,转弯倒圆角与车辆的内外转弯半径、车尾最小转弯半径、巷道夹角及宽度有关系。将表6中各车辆的参数代入式(6),可分别计算出WC20R、WC8E、WC40E与WC40Y通过不同巷道夹角时所需的最小转弯倒圆角,如图12及表7所示。这里假设巷道净宽4.5 m,WC40Y车身较宽,速度较慢,可适度放宽安全间隙。WC40Y边缘至巷道壁突出物最小距离b取0.2 m,其余车型取0.5 m。

表6 各车辆的转弯半径参数及安全间距

Table 6 Turning radius and safety spacing of vehicles

车型R1/mR2/mR3/mb/mWC20R7.54.26.40.5WC8E7.94.66.90.5WC40E6.83.76.80.5WC40Y6.82.86.50.2

图12 不同巷道夹角车辆转弯
Fig.12 Vehicle turning at different roadway angles

表7 车辆转过不同巷道夹角时所需倒圆角半径

Table 7 Radius of fillet when vehicle turning different
roadway angles

车型倒圆角半径/mθ=45°θ=90°θ=135°θ≥θ″WC20R2.81.80无要求(θ″=112°)WC8E3.21.90无要求(θ″=100°)WC40E2.72.00无要求(θ″=100°)WC40Y6.82.80无要求(θ″=112°)

注:θ″为转弯巷道夹角的某一角度。

7 结 论

1)巷道断面一定要满足车辆运行的安全间隙0.3 m,经济运行坡度一般是6°,坡度14°时连续爬坡距离不得超过50 m。

2)通过分析各种类型车辆的外形尺寸参数、技术性能参数和煤矿巷道的尺寸,得出巷道转弯处倒圆角的大小与车辆的外形尺寸、转弯半径、巷道的夹角大小等有关系,并推导出了相应的公式。

3)巷道凸形和凹形变坡连接处的倒圆角大小与车辆的轴距、离地间隙、接近角和离去角等有关系。推导出了通用于各种车型的巷道转弯倒圆角半径计算公式、凹形变坡连接处倒圆角计算公式、凸形变坡连接处倒圆角计算公式。

参考文献(References):

[1] 姜汉军.矿井辅助运输设备[M].徐州:中国矿业大学出版社,2008:1-10.

JIANG Hanjun.Auxiliary transportation equipment in coal mine[M].Xuzhou:China University of Mining and Technology Press,2008:1-10.

[2] 李红军.无轨胶轮车辅助运输系统在缓倾斜煤层中的应用[J].煤炭科技,2012(2):55-56.

LI Hongjun.Application of trackless rubber tyred vehicle auxiliary transportation system in gently inclined coal seam[J].Coal Science and Technology Magaine,2012,(2):55-56.

[3] 杜卫刚,袁秀坤.我国煤矿无轨运输设备的发展[J].煤矿机械,2012,33(6):9-10.

DU Weigang,YUAN Xiukun.Development of coal railless tansport equipment in China[J].Coal Mine Machinery,2012,33(6):9-10.

[4] 赵巧芝.我国煤矿无轨及输送机运输设备现状及发展趋势[J].煤炭工程,2012(1):120-122.

ZHAO Qiaozhi.Present status and development tendency of mine trackless and conveyer transportation equipment in China[J].Coal Engineering,2012(1):120-122.

[5] 刘海平.无轨辅助运输技术在老矿井应用的尝试[J].煤炭工程,2012(10):41-47.

LIU Haiping.Application of trackless auxiliary transportation technology in old mine.[J].Coal Engineering,2012(10):41-47.

[6] 张伟伟,郭 卫.煤矿井下无轨胶轮电动车技术进展.[J].煤矿机械,2012,33(6):1-3.

ZHANG Weiwei,GUO Wei.Trend of mine trackless rubber tyre electric vehicle.[J].Coal Mine Machinery,2012,33(6):1-3.

[7] 黄福昌,倪兴华.兖矿集团矿井辅助运输技术规范[M].北京:煤炭工业出版社,2008:1-30.

HUANG Fuchang,NI Xinghua.Auxiliary transportation technical specification of Yankuang Group[M].Beijing:Coal Industy Press,2008:1-30.

[8] 张正龙.泊江海子矿立井连续辅助运输系统设计[J].煤炭工程,2012(6):16-18.

ZHANG Zhenglong.Design on continued auxiliary transportation system in mine shaft in Pojianghaizi mine[J].Coal Engineering,2012(6):16-18.

[9] GB 50533—2009,煤矿井下辅助运输设计规范[S].北京:中国人民出版社,2009.

[10] GB 50419—2007,煤矿巷道断面和交岔点设计规范[S].北京:中国计划出版社,2007.

Design and research of roadway for trackless auxiliary transportation system in underground coal mine

WANG Lianzhu,ZHANG Yanbin

(Shanxi Tiandi Coal Mine Machinery Company Ltd.,Taiyuan 030006,China)

Abstract:In order to improve the applicability of trackless auxiliary transportation vehicles in underground coal mines, based on the research of various trackless auxiliary transportation vehicles in the current market and the status quo of the auxiliary transportation roadways in coal mines, it is proposed that when designing the auxiliary transportation roadway in the coal mine, the design of underground auxiliary transportation roadways should be based on the systematic design of cross section, pavement, slope, convex variable slope rounding, concave-shaped variable slope rounding, turnout widening, turning and rounding radius of different roadway angles, etc., in order to meet operating environment of vehicles in coal mines.In this paper, based on the parameters of various types of vehicles, various turning radius, ground clearance, wheelbase, approach angle departure angle and other parameters, considering the safe clearance of vehicle operation, the author puts forward the calculation formula of the radius of the fillet required when different types of vehicles turn at different roadway angles,the calculation formula for the rounding radius required at the turning of the roadway and the calculation formula for the rounding radius required at the variable slope connection when different vehicles pass through convex and concave variable slopes. Taking the human carrier,material carrier,shovel truck,framework support carrier produced by Shanxi Tiandi Coal Machinery Equipment Co., Ltd. as an example, using the derived formulas for calculating the corner radius of the turning and the variable slope radius when the angle of the roadways is 45°, 90° and 135°and the applicable rounding radii of various models have been calculated respectively, the angles of the concave and convex slopes are 18°, 22°, 24°, 30° and 40°. The rounding radii applicable to various vehicle types have been measured and calculated, and the calculation results have well met the operating conditions of the vehicle when turning and changing slopes.

Key words:trackless auxiliary transportation; shaft design; turning radius; convex variable slope rounding; concave variable slope rounding

中图分类号:TD263

文献标志码:A

文章编号:0253-2336(2020)08-0070-07

收稿日期:2020-02-09责任编辑:朱恩光

作者简介:王连柱(1980—),男,山西榆次人,工程师,硕士。E-mail:gillar@163.com

移动扫码阅读

王连柱,张燕滨.煤矿井下无轨辅助运输巷道设计研究[J].煤炭科学技术,2020,48(8):70-76.doi:10.13199/j.cnki.cst.2020.08.008

WANG Lianzhu,ZHANG Yanbin.Design and research of roadway for trackless auxiliary transportation system in underground coal mine[J].Coal Science and Technology,2020,48(8):70-76.doi:10.13199/j.cnki.cst.2020.08.008