采空区煤体自燃温度场演变模拟试验研究

刘振岭,郑忠亚

(中国石化长城能源化工有限公司,北京 100020)

摘 要:为研究工作面采空区遗煤自燃过程中温度场的演变规律,基于几何相似原则及煤自燃原理,研发了采空区温度场分布规律相似模拟试验装置,将现场采集的大块煤样进行破碎后,选择粒径≤30 mm的混煤进行填充,设置热源和测点,模拟采空区煤自燃火源热传递过程,研究松散煤体内部温度场分布规律,热源温度对松散煤体热量传递规律的影响以及Y型通风采空区煤体温度场分布规律。试验结果表明:无对流条件下,热源向周围煤体的热量传递呈各向同性特征,随着热源温度的增加,热源在松散煤体内的热量传递能力以非线性的形式快速增加,增速越来越大;恒温热源周围某测点的温度与恒温热源的距离和时间的关系,在测点距离或加载时间小于抛物线对称轴数值时,符合二次函数关系,在测点距离或加载时间大于抛物线对称轴数值时,测点温度基本稳定;煤自燃过程中的高温点会以加速度方式向氧气富集区域迁移,受火风压吸风效果影响,火源上部区域迁移效果更加明显。

关键词:煤自燃;几何相似;温度场;恒温热源;热量传递

0 引 言

煤炭自燃的孕育和发展过程缓慢,火源常发生在人们难以到达的采空区或煤柱深部[1-2];目前国内外常见的测氡法、电阻率法、磁探测法等火源探测技术均存在技术或设备的缺陷,难以实现准确、快速的确定煤自燃隐蔽火源的位置和范围,从而拖延火灾处理时间,导致自燃火区逐渐发展,造成严重损失[3-5]

掌握松散煤体自燃高温热源热传递规律,对于研究如何在采空区或破碎煤柱中合理布置温度传感器并监测分析,进而研究煤自燃火源定位技术至关重要。对这方面的研究手段主要以计算机模拟为主,即对现场条件进行假设和简化,建立数学模型,对未来一段时期内的松散煤体温度场变化情况进行预测。但由于现场条件的复杂性,仍然需要现场实时测试数据来大致分析火源的位置[6-7]。实践证明,实验室模拟试验是弥补数值分析手段不足的有效方法,目前国内外学者对于松散煤体温度场分布规律方面的研究并不多,大都以研究松散煤体的氧化自热规律和煤炭自燃高温热源的形成进程为主[8-9]

针对这一难题,笔者建立相似模拟试验装置,以高河煤矿3号煤作为试验煤样,对煤体进行自然破碎,形成颗粒度不等(最大粒径≤30 mm)的松散煤体,并进行自然装填,具有自然堆积的固定空隙率,模拟火源自燃过程,测定松散煤体三维空间测点温度变化数据,研究在该模型条件下的火源的热量传递正演规律及温度场分布,即研究基于温度特征的火源演变规律,为隐蔽火源位置及燃烧程度的研究提供参考。

1 试 验

1.1 松散煤体热传递方式

热能的传递有3种基本方式,分别为热传导、热对流与热辐射[10-12]。煤矿采空区遗煤自燃火源的热量扩散过程,同样存在这3种方式;不同的是,松散煤体热能传递过程中,由于采空区漏风作用,热对流占据热能传递主要的作用;松散煤体存在约30%的孔隙,常温20 ℃时,空气的导热系数约为2.524×10-2 W/(m·℃),高河煤矿3号煤导热系数约0.26 W/(m·℃),因此,松散煤体的热传导能力大幅降低;辐射传热是在高温物体与周围环境温差很大的情况下才具有实际意义,除非采空区或煤柱中出现明火或火焰,研究煤炭处于阴燃时期的松散煤体温度场,辐射传热不起主导作用[13-14]

1.2 试验仪器

试验采用自主研发产品采空区温度场分布规律相似模拟试验装置,由主箱体、温控装置、温度纪录装置以及供风装置4个部分组成。主箱体以采空区自燃危险区域为模型,边缘为近似绝热的保温层,模型为长方体,尺寸为X×Y×Z=1 000 mm×600 mm×400 mm,最大容煤量200 kg;箱体共设计35个测点,考虑煤自燃向水平方向和上方发展的特点,将火源设置在底部中心位置28号点,其余为34个热源检测点;箱体另设置进、出风口。温控装置由热源及温控箱组成,热源由镍铬电阻丝通电发热的原理设计,内含温度传感器,温控箱用于控制热源的程序升温;温度纪录装置主要由温度传感器和无纸记录仪组成,共含34组温度传感器,无纸记录仪能够同时实现34路数据的同时读取、曲线分析和纪录。供风装置主要由空气泵、浮子流量计以及供气管路组成。试验箱体及测点布置如图1所示。

1—35为测点编号
图1 温度测点及热源布置示意
Fig.1 Schematic diagram of temperature measuring
point and heat source layout

1.3 试验方法

试验以研究松散煤体热量传递规律为目的,选取高河煤矿3号煤为研究对象;煤样运至实验室后,采用颚式破碎机将煤样自然破碎,选择粒径≤30 mm的混煤,最大程度接近于采空区遗煤的存在和自燃状态。

将试验设备和煤样全部接好以后,共分为3组试验,每次试验均以煤样常温15 ℃时为试验起点,快速到达试验温度并恒温。

1)松散煤体温度场分布规律试验。无供风条件下,热源恒温200 ℃,测定各测点温度变化,分析松散煤体内部温度场分布以及测点温度随时间和距离的关系。

2)热源温度对松散煤体热量传递规律的影响试验。无供风条件下,热源分别恒温100、300、400 ℃,测定测点温度变化,研究热源温度对松散煤体热量传递规律的影响。

3)Y型通风采空区松散煤体温度场分布规律试验。以高河煤矿W1310综采工作面Y型通风为模拟研究对象,模拟Y型通风方式进行通风,以400 ℃恒温热源进行加热,分析测点温度变化,研究Y型通风采空区松散煤体温度场分布规律。试验箱体布置如图2所示。

图2 试验模型形状及热源布置示意
Fig.2 Schematic diagram of test model
shape and heat source layout

2 松散煤体温度场分布规律

2.1 松散煤体内部温度场分布规律

中心热源以200 ℃的高温进行恒温加热,进行16 h后,试验箱体距离底板50 mm及100 mm高度平面测点温度分布如图3所示。

图3 XY平面测点16 h温度分布
Fig.3 Temperature at 16 h in XY plane

热源在较短时间内可引起附近松散煤体的温度缓慢上升,热源附近由近及远温差较大,随着热源恒温加热持续进行,16 h后附近测点的温度即不再发生大的变化,在水平距离200 mm的位置的23、27、29和33号测点,温度稳定在36~37 ℃。

由底板50 mm水平面温度分布可以明显看出,在热源同水平面,温度梯度的分布呈现各向同性;由于热源位于100 mm水平面的中心下方,测点中呈27 ℃倾角的6号及153 ℃倾角的16号测点温度上升速率较快,测点温度稳定在47~48 ℃,根据热源温度与测点直线距离的计算结果,认为热源在水平面以上同样呈现各向同性的特征。

2.2 松散煤体内部温度随时间变化关系

选取距离底板50 mm水平距离热源200 mm的23、27、29、33号测点,以及位于热源倾角上方距离112 mm的6号和16号测点数据进行分析,得到热源同水平距离200 mm的测点温度y随加载时间t的变化函数为y=-0.127 9t2+3.700 6t+11.467 0(t<14.5 h)。

与热源呈27 ℃及153 ℃倾角的上方,直线距离112 mm的测点温度随加载时间的变化函数为y=-0.126 4t2+4.240 1t+12.573 0(t<16.8 h)。

即热源同水平测点和侧上方测点在15 h之内,温度逐渐上升,且上升速率由快逐渐减慢,呈现二次函数特征,至15 h以后,测点温度将达到一个稳定的状态,此时,可以理解为该测点能量的输入和输出呈现一个动态平衡的状态。

即在加载恒定热源,无对流影响条件下,松散煤体的热传导呈各向同性。测点温度随时间的变化规律与测点的距离,方位角均无关。通过试验参数测定及数据拟合,可以得出,当加载时间t<-b/2a时,测点温度y随加载时间t的变化符合二次函数规律,即:y=at2+bt+c(abc为系数,a为负值);当时间t>-b/2a时,测点温度基本稳定。

2.3 松散煤体温度与距热源距离的关系

以距离底板50 mm水平面所有测点数据为出发点,当试验装置内温度分布达到平衡后,得到热源同水平距离的测点温度y随与热源距离x的变化函数为y=2×10-4x2-0.200 7x+67.435(x<501.8 mm)。

即随着测点与热源的距离逐渐增加,测点温度迅速下降,且下降速率由大逐渐变小,当距离接近501.8 mm时,测点温度接近于环境温度,当距离大于501.8 mm时,松散煤体的温度几乎不受热源的影响。测点温度随热源距离增加的曲线函数符合二次函数规律,即y=ax2+bx+c(abc为系数,a为正值,b为负值),当距离x>-b/2a时,测点温度接近于环境温度。

3 热源温度对松散煤体热量传递规律的影响

松散煤体的火源温度是影响其热量传递速度的主要因素[15-16],当温度变化时松散煤体的导热能力会随着温度的变化而变化。

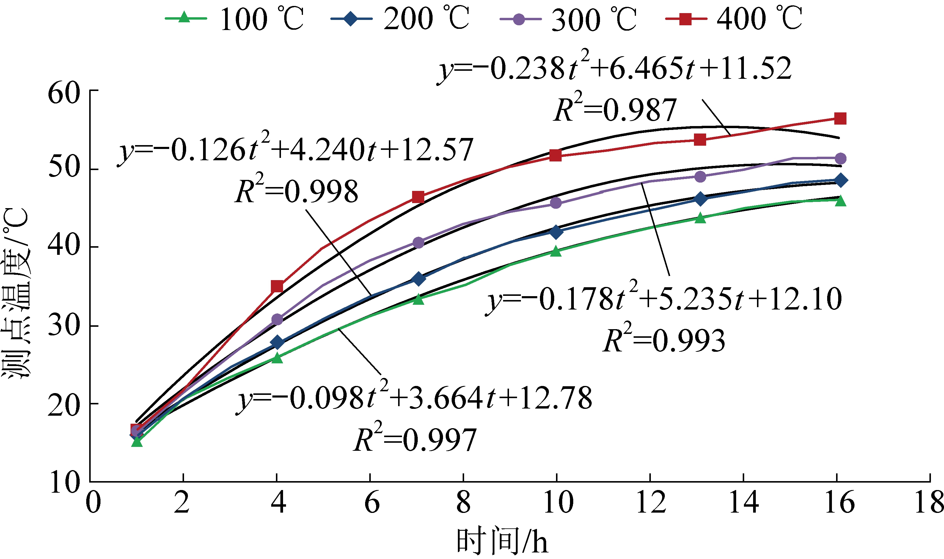
以相同点热源不同功率对采空区温度场分布规律相似模拟试验装置内试验煤样进行加热试验,记录6号测点升温及稳定温度数据,试验时常均为16 h,试验温度分别为100、300、400 ℃,并保持恒温,结合试验中以200 ℃温度测定试验数据,分析研究松散煤体热源温度对其热量传递的影响。不同热源测点温度曲线及试验数据分别如图4和表2所示。

图4 不同热源加载测点温度随时间变化的曲线
Fig.4 Curves of temperature at measuring points under
different heat sources over time

由图4可以看出,随着热源的加载,测点温度初期上升速率较快,后慢慢趋于稳定,整体呈二次项曲线规律。

当热源温度分别为100、200、300、400 ℃时,6号测点均表现出温度初期上升速率较快,后逐渐趋于稳定的特征,但温度趋于稳定的时间不同,分别为18.7、16.8、14.7、13.6 h,说明了热源温度越高,其热量传递的速度越快,与热源同距的测点的热量输入和输出趋于平衡的时间越短。

6号测点温度y与随加载时间t函数的拟合曲线为y=at2+bt+c(abc为系数,a为负值),当时间t>-b/2a时,测点温度基本稳定。

自热源加载开始至加载时间t<-b/2a之前的某同一时刻,热源分别为100、200、300、400 ℃时,6号测点温度不同,其差值同样呈现递增趋势。选择4、8、12、16 h时刻,分析6号测点温度之间的差值与递增热源、加载时间的关系,见表1。

自热源加载的初始时刻开始计算,4 h时,6号测点在100、200、300、400 ℃的不同热源加载时的温度不同,且其温度之间的差值呈递增趋势,其余8、12、16 h的数值呈现同样的规律,说明随着热源温度的增加,热源在松散煤体内的热量传递能力以非线性的形式快速增加,增速越来越大。

表1 不同热源、不同时间时6号测点温差
Table 1 Temperature difference of No.6 measuring
point at different heat source and time

时间/h不同热源下的温差/℃100~200 ℃200~300 ℃300~400℃41.53.14.083.44.55.3122.33.44.8162.43.14.8

当热源分别为100 ℃和200 ℃,随着热量传递时间的递增,6号测点在4、8、12、16 h时的温度差值呈现先增再减最后平衡的现象,在热源分别为200 ℃和300 ℃,300 ℃和400 ℃时,规律相同。说明高热源相较于低热源,由于其与周围松散煤体的温差较大,其温度传递的加速度较大,低热源的热量传递相对平缓。但只要热源温度不变,测点的温度将最终趋于稳定。

因此,根据上述研究结果对比分析煤自然发火的热量传递规律,煤自然发火存在一个温度呈指数规律逐渐上升的过程,分为潜伏期、自热期以及燃烧期3个阶段,其中潜伏期最长,燃烧期最短,潜伏期煤自燃氧化速率较慢、释放热量较低,热量继续困难,燃烧期煤氧反应进入激烈氧化反应阶段,而迅速达到燃烧[17-18]。通过本试验研究,潜伏期时间最长、燃烧期最短存在另外一种因素,即:煤在低温阶段的热量传递能力同样较弱,不利于煤自燃的快速发展。

4 Y型通风采空区松散煤体温度场分布规律

高河煤矿W1310工作面采用全风压Y型通风方式,进风巷配风量为660 m3/min,风速0.6 m/s,运输巷配风量3 010 m3/min,风速2.7 m/s,回风巷风量3 580 m3/min,风速2.91 m/s。以几何相似原则,模拟高河煤矿W1310综采工作面布置及通风参数,如图2所示。即坐标(x=0,y=0)处进风口风量为187 mL/min,坐标(x=60,y=0)处进风口风量为847 mL/min,进风口为圆形,直径60 mm,断面由几何相似参数对比确定;在靠近YZ平面一侧布置一样管路作为回风用,同时将位于YZ平面坐标(X=0,Y=900,Z=100)处的10号测点以束管引出,将废气引至室外。

试验准备完成后,启动点热源升温试验,将热源在60 s内升温至400 ℃稳定并开始记录分析,试验持续32 h。随着恒温热源持续加载,热源与同水平面测点的温差逐渐减小,该水平面松散煤体温度整体呈现上升趋势,如图5、图6所示。

0~4 h时热源附近测点升温速度较快,靠近坐标原点布置1条回风管路处(即模拟沿空留巷)测点温度较高,温度为27 ℃,较之进风量较大侧高2 ℃,说明在出现隐蔽火源及火源发展初期,热量能否蓄积起到重要的作用,因风量较大侧松散煤体渗流速度较大,能够带走部分热量,在微弱风流侧,氧气供给充足,且热量不易扩散,对煤自燃的过程起到促进的作用。

5~10 h时靠近进风量较大侧温度偏高,为43.3 ℃,较之风量较小侧(即模拟沿空留巷)温度高处3.3 ℃,随后两侧温度同时上升,温差仍保持在3 ℃左右;说明此时煤氧复合反应逐渐增速,煤自燃对氧气的需求量快速增大,在进风量较大侧,氧气供给充足,煤氧化的散热量已远大于因风流而导致的热量散失,则温度上升较快,火源逐渐偏向于进风侧。

20~32 h时高温区域范围变大,整个区域向风量较大侧移动明显,运输巷一侧温度高于进风巷侧,采空区温度逐渐向配风量较大的运输巷侧延伸,且上部水平测点温升速率比之热源同水平测点大。即在采空区Y型通风、热传导和对流共同作用下,煤自燃已处于激烈氧化燃烧阶段,放热量巨大,此时,氧气的供给量是最为重要的,火源会快速向氧气富集的侧移动;受火风压[19-20]的影响,煤的氧化燃烧由被动的空气动力供给转变为主动吸风,空气由四周而来并向上运动,火源同样沿风流的方向向上运动,最终发展为大面积、多高温点、立体的火区。

图5 XY平面(Z=50 mm)温度分布
Fig.5 Temperature distribution in XY plane (Z=50 mm)

图6 XY平面(Z=100 mm)温度分布
Fig.6 Temperature distribution in XY plane (Z=100 mm)

5 结 论

1)恒温热源周围某测点的温度与恒温热源的距离和时间的关系,在测点距离或加载时间小于抛物线对称轴数值时,符合二次函数关系,在测点距离或加载时间大于抛物线对称轴数值时,测点温度基本稳定。

2)当恒温热源分别为100、200、300、400 ℃时,同测点温度趋于稳定不变的时间逐渐缩短,且在某时刻的测点温差逐渐增大,即随着热源温度递增,在松散煤体内的热量传递能力以非线性的形式快速增加,且增速越来越大。

3)Y型通风试验初期,热量易蓄积区域温度偏高,随着煤氧复合反应逐渐发展,火源移动方向指向氧气富集区,后期受火风压影响,煤的氧化燃烧由被动的空气动力供给转变为主动吸风,火源沿风流的方向向上运动,最终发展为大面积、多高温点、立体火区。

参考文献(References):

[1] 徐精彩.煤层自燃危险区域判定理论[M].北京:煤炭工业出版社,2001:11-45.

[2] 张建明.中国地下煤火研究与应用[M].北京:煤炭工业出版社,2008:123-134.

[3] 陆新晓,赵鸿儒,朱红青.氧化煤复燃过程自燃倾向性特征规律[J].煤炭学报,2018,43(10):2809-2816.

LU Xinxiao,ZHAO Hongru,ZHU Hongqing,Characteristics of spontaneous combustion tendency in the process of reburning oxidized coal[J].Journal of China Coal Society,2018,43(10):2809-2816.

[4] 张嬿妮,刘春辉,宋佳佳,等. 长焰煤低温氧化主要官能团迁移规律研究[J].煤炭科学技术,2020,48(3):188-196.

ZHANG Yanni, LIU Chunhui, SONG Jiajia, et al. study on transfer law of main functional groups in low temperature oxidation of long flame coal[J]. Coal Science and Technology,2020,48(3):188-196.

[5] 疏义国,赵庆伟,郁亚楠.易自燃煤层预测预报气体指标体系研究[J].煤炭科学技术,2019,47(10):229-234.

SHU Yiguo,ZHAO Qingwei,YU Yanan.Study on gas index system for prediction and prediction of coal seam prone to spontaneous combustion[J].Coal Science and Technology,2019,47(10):229-234.

[6] 程方明,常助川,李 贝,等.基于热棒降温技术的自燃煤堆热迁移行为数值模拟[J].西安科技大学学报,2019,39(4):581-588.

CHENG Fangming,CHANG Zhuchuai,LI Bei,et al. Numerical simulation of heat transfer behavior of spontaneous combustion coal reactor based on hot rod cooling technology[J].Journal of Xi'an University of Science and Technology,2019,39(4):581-588.

[7] 徐友友,郭广礼,李怀展.乌达煤田自燃煤炭损失量的估算方法[J].煤炭科学技术,2018,46(11):88-92.

XU Youyou,GUO Guangli,LI Huaizhan,et al.Method to estimate coal loss of spontaneous combustion in Wuda Coalfield[J].Coal Science and Technology,2018,46(11):88-92.

[8] 朱树来.防治煤自燃的泡沫凝胶防灭火特性研究[J].煤炭科学技术,2019,47(10):223-228.

ZHU Shulai. Study on characteristics of foam gel for prevention and control of coal spontaneous combustion[J].Coal Science and Technology,2019,47(10):223-228.

[9] 邢旭东,王继仁,郝朝瑜,等.抑制煤自燃的脱氧剂耗氧与阻化效果试验研究[J].煤炭科学技术,2018,46(4):158-163.

XING Xudong,WANG Jiren,HAO Chaoyu,et al.Experimental study on oxygen consumption and inhibition effect of deoxidizer for inhibiting spontaneous combustion of coal[J].Coal Science and Technology,2018,46(4):158-163.

[10] 刘鹏亮.胶结充填体水化温度场特征及对煤自燃特性的影响[J].煤炭科学技术,2017,45(11):74-80.

LIU Pengliang.Hydration temperature field characteristics of cemented backfill and its influence on spontaneous combustion characteristics of coal[J].Coal Science and Technology,2017,45(11):74-80.

[11] 陈清华,孙美华,苏国用.重力热管对煤堆内部温度场的影响研究[J].煤矿安全,2018,48(11):211-214.

CHEN Qinghua,SUN Meihua,SU Guoyong.Study on the influence of gravity heat pipe on the internal temperature field of coal pile[J].Safety in Coal Mines,2018,48(11):211-214.

[12] 马冬娟,唐一博.高地温对不同变质程度煤自燃微观结构影响试验研究[J]. 煤炭科学技术,2019,47(12):109-115.

MA Dongjuan,TANG Yibo.Experimental investigation on microstructure influence of high temperature on spontaneous combustion of coal with different ranks[J].Coal Science and Technology,2019,47(12):109-115.

[13] YANG Fuqiang, QIU Dongyang.Exploring coal spontaneous combustion by bibliometric analysis[J].Process Safety and Environmental Protection,2019(12):1-10.

[14] 张小翌,王德明,杨雪花,等.古书院矿郭山排矸场火区快速治理技术[J].煤矿安全,2019,49(7):96-99.

ZHANG Xiaoyi,WANG Deming,YANG Xuehua,et al.Rapid management technology of fire area in guoshan outlying gangue field in ancient shuyuan mine[J].Safety in Coal Mine,2019,49(7):96-99.

[15] 黎经雷,牛会永,鲁 义,等.风速对近距离煤层采空区漏风及煤自燃影响研究[J].煤炭科学技术,2019,47(3):156-162.

LI Jinglei,NIU Huiyong,LU Yi,et al.Study on effect of wind speed to air leakage and spontaneous combustion in goaf of contiguous seams[J].Coal Science and Technology,2019,47(3):156-162.

[16] 颜 磊.高温深井上行开采工作面采空区自然发火防治技术 [J].煤炭科学技术,2013,43(S2):10-13.

YAN Lei.Prevention and control technology of spontaneous combustion in goaf on upland mining face of high temperature deep well [J].Coal Science and Technology,2013,43(S2):10-13.

[17] 杜云峰.ZHJ型矿井防灭火地面注浆系统[J].煤矿安全,2017,47(3):92-98.

DU Yunfeng.Type ZHJ mine fire prevention ground grouting system[J].Safety in Coal Mines,2017,47(3):92-98.

[18] 杨 漪,邓 军,张阓妮.煤氧化特性的STA-FTIR试验研究[J].煤炭学报,2018,43(4):1031-1040.

YANG Yi,DENG Jun,ZHANG Huini.STA-FTIR experimental study of coal oxidation characteristics [J].Journal of China Coal Society,2018,43(4):1031-1040.

[19] 张骁博,赵 虹,杨建国,等.不同粒径煤粉煤质变化及燃烧特性研究[J].煤炭学报,2011,36(6):999-1002.

ZHANG Xiaobo,ZHAO Hong,YANG Jianguo,et al.Study on coal quality and combustion characteristics of pulverized coal with different particle size [J].Journal of China Coal Society,2011,36(6):999-1002.

[20] 程卫民,张孝强,王 刚,等.综放采空区瓦斯与遗煤自燃耦合灾害危险区域重建技术[J].煤炭学报,2016,41(3):662-671.

CHENG Weimin,ZHANG Xiaoqiang,WANG Gang,Reconstruction technology of coupled natural gas and coal spontaneous combustion in fully mechanized caving goaf[J].Journal of China Coal Society,2016,41(3):662-671.

[21] 邓 军,雷昌奎,曹 凯.采空区煤自燃预测的随机森林方法[J].煤炭学报,2018,43(10):2800-2808.

DENG Jun,LEI Changkui,CAO Kai.Random forest method for coal spontaneous combustion prediction in goaf[J].Journal of China Coal Society,2018,43(10):2800-2808.

Simulation test study on temperature field evolution of coal spontaneous combustion in gob

LIU Zhenling, ZHENG Zhongya

(Sinopec Greatwall Energy and Chemical Co.,Ltd.,Beijing 100020,China)

Abstract:In order to study the evolution law of temperature field during spontaneous combustion process of coal in gob of rhe working face, based on geometric similarity and the principle of coal spontaneous combustion, a similar simulation test device for the temperature field distribution in the gob was developed.After crushing the large lump coal samples collected on site, the mixed coal with particle size less than 30 mm were selected for filling. Heat sources and measuring points were set up to simulate the heat transfer process of coal spontaneous combustion in gob, and the distribution law of temperature field inside loose coal body, the effect of heat source temperature on the heat transfer law of loose coal body, and the distribution law of temperature field of Y-shaped ventilated gob were studied. The test results show that under the condition of no convection, the heat transfer from the heat source to the surrounding coal body is isotropic.With the increase of the heat source temperature, the heat transfer capacity of the heat source in the loose coal rapidly increases in a non-linear form, and increase rate is getting larger and larger. The relationship between the temperature of a measuring point around the constant temperature heat source and the distance and time of the constant temperature heat source is that, when the distance or time is less than the value of parabolic symmetry axis, it conforms to the quadratic function relationship, and when the value is greater than the value of parabolic symmetry axis, the temperature of the measuring point is basically stable. In the process of coal spontaneous combustion, the high temperature point in the spontaneous combustion process of coal will migrate to the oxygen enrichment area in an accelerated manner. Affected by the pressure and suction effect of the fire wind, the migration effect of the upper area of the fire source is more obvious.

Key words:coal spontaneous combustion; geometric similarity; temperature field; constant temperature heat source; heat transfer

中图分类号:TD75

文献标志码:A

文章编号:0253-2336(2020)08-0114-07

收稿日期:2020-04-25责任编辑:杨正凯

作者简介:刘振岭(1974—),男,河北故城人,高级工程师。E-mail:lzl9498@126.com

移动扫码阅读

刘振岭,郑忠亚.采空区煤体自燃温度场演变模拟试验研究[J].煤炭科学技术,2020,48(8):114-120.doi:10.13199/j.cnki.cst.2020.08.014

LIU Zhenling, ZHENG Zhongya.Simulation test study on temperature field evolution of coal spontaneous combustion in gob[J].Coal Science and Technology,2020,48(8):114-120.doi:10.13199/j.cnki.cst.2020.08.014