深部大断面巷道交叉点围岩稳定性分析及控制技术

杨军辉1,蒋再胜2,谢生荣2

(1.冀中能源股份有限公司 邢东矿,河北 邢台 054000;2.中国矿业大学(北京) 能源与矿业学院,北京 100083)

摘 要:针对邢东矿-760 m水平大断面巷道交叉点顶板明显下沉、两帮剧烈收敛、底板强烈鼓起、柱墙岩体破碎松散等巷道变形破坏特征,采用理论分析、数值模拟、工程类比及现场观测等方法,针对性地提出了集多层次交错密集高强度锚杆(索)支护技术、多层混凝土喷层拱支护、壁后注浆加固拱和柱墙浇注混凝土加固于一体的锚喷网注联合支护技术,剖析了深部大断面交叉点具体支护方法的围岩控制机理。研究表明:①当锚杆安装越密集时,压应力叠加所形成承压拱的最小厚度越大,压力拱承载能力越强;②锚杆间距大于700 mm时,喷层结构最大承载力小于0.55 MPa,随着锚杆间距减小至 400 mm,喷层承载能力与锚杆间距呈类幂函数增长关系;③喷层结构承载能力与喷层厚度呈类线性关系,即喷层承载能力随喷层厚度增大而线性增大;④数值模拟结果表明围岩塑性破坏深度较大的区域位于顶部两肩窝处,且交叉点大部分塑性区深度小于2.4 m,锚杆长度确定为2.4 m时,能够使得锚杆锚固在岩体的弹性区内。基于以上研究,结合现场地质生产条件确定巷道交叉点围岩支护方案,并进行现场工程应用。工程实践表明,采用锚喷网注联合控制技术后,顶底板、两帮移近量最大分别为166、134 mm,移近速率最大分别为9.8、7.3 mm/d,巷道围岩总体收敛情况较好,有效控制了-760 m水平大断面巷道交叉点围岩变形。

关键词:深井软岩;巷道交叉点;大断面;围岩变形;围岩控制

0 引 言

随着浅部煤炭资源量的枯竭,井工开采的深度越来越大[1],采深的增加,使得地应力环境更为复杂、工程地质情况更加恶劣,浅部的支护方案已不再适应深井巷道围岩的支护。而对于深部巷道交叉点而言,其横截面沿巷道中心线变化,最大断面跨度超过8.5 m,所处位置赋有高构造应力,且深部岩体松散软易破碎,导致深部大断面交叉点围岩运用普通支护手段收效甚微[2-3]。近些年,我国科研人员在巷道交叉点围岩控制方面做出了有益探索,获得了诸多成果。何满潮等[4]针对深井巷道交叉点,提出了柔层桁架支护技术。韩贵雷等[5]提出了锚网喷一次支护,锚注与锚索结合二次加强支护的大断面巷道交叉点联合控制技术。姜玉连等[6]针对缩面期间巷道交叉点顶板支护问题,提出了在顶板采用加长锚索进行加强支护,同时采用单体液压支柱加强煤帮的联合支护技术。刘克功等[7]针对短壁开采大断面多交叉点煤巷支护,提出了主巷与支巷交叉口采用锚索加强、支巷与采硐交叉口采用“迈步抬棚”临时支护的控制技术。郝长胜等[8]认为与交叉点角度和侧压系数相比,围岩强度、埋深、开挖顺序对Y型交叉点的影响更为显著。且埋深和围岩强度对交叉点稳定性的影响均存在1个拐点,当参数大于拐点时交叉点围岩会产生较大破坏。而侧压系数主要影响交叉点的塑性区大小,并且波动范围不大。以上研究成果为巷道交叉点围岩控制奠定了良好基础,在此基础上,笔者对深部大断面巷道交叉点围岩承压拱及喷层拱支护机理进行了理论分析,针对性地提出了集多层次交错密集高强度锚杆(索)支护技术、多层混凝土喷层拱支护、壁后注浆加固拱和柱墙浇注混凝土加固于一体的锚喷网注联合控制技术,实现了深部大断面巷道交叉点的长期稳定,对类似工程地质条件下的围岩控制具有借鉴意义。

1 工程概况

邢东矿位于河北省邢台市东北方向,井田东西宽约4.0 km,南北长约4.1 km。矿井开拓方式为立井多水平开拓,一水平标高为-760 m,二水平标高为-980 m。目前,2号煤层为矿井主采煤层。

-760 m水平巷道交叉点埋深800 m以上,位于2号煤层底板中。巷道交叉点揭露工程岩组主要有2号煤、细粒砂岩、粉砂岩,交叉点区域2号煤层结构简单,赋存稳定,属气肥煤类,厚度为4.4~4.8 m,平均厚度4.7 m,煤层平均倾角8°;直接顶为厚5 m的粉砂岩,裂隙较发育,岩体强度差;基本顶为厚8 m的细粒砂岩,灰色厚层状,细粒结构,钙质胶结,具平行层理和交错层理;底板为厚10 m的粉砂岩,裂隙较发育,富含植物根部化石。交叉点平面如图1所示,研究对象为图1中AA剖面的巷道交叉点。

图1 -760 m水平巷道交叉点

Fig.1 -760 m level roadway intersection

2 深部巷道交叉点锚喷网注联合控制技术及机理

2.1 密集高强锚杆(索)支护技术及机理

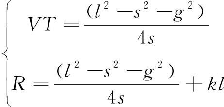
承压拱形成的机理如图2所示 。单根锚杆(长度为l)的锚固范围可近似为一段圆弧,圆弧圆心在V点,圆弧半径设为R,最大锚固范围系数设为k(图2a)。根据图2b锚杆相互作用原理,当以较小锚杆间距s安装锚杆群后,相邻锚杆形成的压应力相互影响、叠加,形成一个连贯的压应力带,即承压拱[9](图2c),压应力叠加形成承压拱的最小厚度为g,即图2b中EJ段长度。

图2 锚杆承压拱支护机理

Fig.2 Diagram of supporting mechanism of bolt bearing arch

如图2b所示,根据直角三角形勾股定理,存在以下关系:

(1)

VG=VE=VD=R,VC=VT+0.5s

解方程组可得:

(2)

解以上方程组可得:

(3)

可得:

其中:l为锚杆长度。由上式可知,当锚杆间距s越小时,压应力叠加所形成承压拱的最小厚度g越大,压力拱承载能力越强。如图2c所示,高强锚杆密集支护形成的高应力承压拱厚度显然大于常规锚杆支护形成的低应力承压拱厚度。当高强锚杆分层次交错布置时,邻近锚杆所产生的压应力大面积叠加,从而形成力学性能优良、抗弯能力更强的承压拱结构,更利于提高拱内岩体残余强度。

2.2 多层混凝土喷层拱支护技术及机理

锚喷支护作为巷道围岩控制的重要手段,对于维持巷道围岩的稳定具有重要重用[10-12]。然而常规锚喷支护技术存在围压不均、受力不合理以及效能低下等缺陷[13],难以维持深部巷道交叉点的稳定。结合隧道工程中钢筋混凝土衬砌施工经验,提出多层混凝土喷层拱支护技术。即在巷道交叉点扩断面后及时喷浆以封堵围岩,安装第1层锚杆并挂网,再进行第2次喷浆,然后安装第2层锚杆与加强锚索并挂网,并进行最后一次喷浆,最终形成强度高、抗弯抗裂能力强、受力合理的多层混凝土喷层结构(图3)。

图3 多层混凝土喷层拱结构

Fig.3 Multilayer shotcrete layer arch structure

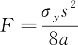
混凝土喷层深处的岩体随围岩变形的进一步发展将产生应力重分布,进而形成一个拱结构的压应力区[14],如图4a所示。由于交叉点典型区域断面顶部弧形曲率较小,为近水平层状结构,为便于研究喷层结构所受最大变形压力,力学模型(图4)特做出以下假设[15]:①相邻锚杆间多层混凝土喷层结构简化为直墙结构进行计算。②AB两端处锚杆的约束为固定约束。

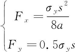
F—拱结构顶截面的水平推力;a—拱结构的高度;σy—拱结构后侧所受的均布载荷;s—相邻锚杆间距;FxFyB端约束反力;d—3层喷射混凝土厚度;b—岩体高度;σp—喷层结构所承受的压力

图4 多层混凝土喷层结构力学模型

Fig.4 Mechanical model for multilayer shotcrete layer structure

当混凝土喷层结构形成后,在巷道围岩某一深处,锚杆间的拱结构受力如图4a所示,坐标原点设在相邻锚杆中点。由于锚杆支护结构与荷载具有对称性,故对拱结构左半部分进行受力分析。对图4b中B点取力矩有:

Fa-σy×0.5s×0.25s=0

(4)

解式(4)可得

(5)

对图4b列静力平衡方程得:

(6)

将式(5)代入方程组(6)可得:

(7)

B点处有:

(8)

式中:φ为岩体的内摩擦角。

如图4c,当时,高度为b的岩体与喷层结构形成组合梁结构[16],其抗弯截面系数W

(9)

由材料力学可知组合梁中最大弯矩Mmax

(10)

为保证巷道围岩稳定,组合梁结构最大应力须小于喷层结构的许用应力,因此组合梁结构要想维持其稳定性必须满足下式[16]

(11)

(12)

式中:Q为深井软岩巷道增大系数;A为单位长度钢筋总截面积;σm为钢筋设计抗拉强度;Rm为混凝土抗拉强度;n为钢筋网层数;c为钢筋网间距;e为钢筋网直径。

由式(10)—式(12)可得:

结合实际工程情况,喷层结构承载能力所用参数为:Q=3.2, e=8 mm, c=110 mm,σm=245 MPa,Rm=1.2 MPa。采用控制变量法研究锚杆间距以及喷层厚度对喷层承载能力的影响情况。当研究锚杆间距对喷层承载能力的影响情况时,喷层厚度d= 180 mm,当研究喷层厚度对喷层承载能力的影响情况时,锚杆间距s = 700 mm。得出喷层结构承载压力与混凝土喷层厚度及相邻锚杆间距的关系如图5所示。

图5 喷层承载压力与喷层厚度、锚杆间距的关系

Fig.5 Relationship between bearing pressure of shotcrete layer and thickness of shotcrete layer as well as spacing of bolt

由图5可知:喷层结构承载能力与喷层厚度呈类线性关系,即喷层承载能力随喷层厚度增大而线性增大。混凝土喷层厚度由25 mm增加到350 mm的过程中,喷层的承载能力由0.23 MPa增加到0.78 MPa,然而考虑到经济的合理性,喷层厚度也不宜过大。另外,当锚杆间距大于700 mm时,喷层结构最大承载力小于0.55 MPa,随着锚杆间距减小至400 mm,喷层承载能力与锚杆间距呈类幂函数增长关系。间距由1 000 mm减小到700 mm的过程中,喷层的承载能力由0.32 MPa增加到0.51 MPa,增幅仅60%;间距由700 mm减小到400 mm的过程中,喷层的承载能力由0.51 MPa增加到1.1 MPa,增幅达116%。可见,锚杆间距小于700 mm时更有利于喷层高性能发挥。

由2.1与2.2节理论分析可知,高强锚杆分层次交错密集布置和增加混凝土喷层厚度有利于深井大断面巷道交叉点围岩应力改善及表面位移控制。考虑到-760 m水平巷道交叉点生产地质条件,同时结合工程类比、经济成本、施工效率等情况,最终确定采用3层喷浆、2层挂网、2层高强锚杆交错布置的联合控制技术。同一层高强锚杆间排距为700 mm×700 mm,不同层锚杆在空间上有效配合,最终形成锚杆间排距为350 mm×350 mm,喷层厚度为180 mm的多层次交错密集高强度锚杆支护及多层混凝土喷层支护。经计算,采用上述支护形式后,喷层结构承载能力高达1.5 MPa,可有效改善围岩受力状态,实现交叉点长期稳定。

2.3 壁后注浆加固拱支护技术及机理

邢东矿-760 m水平巷道交叉点埋深大、跨度大、服务时间长,且巷道历经数次扰动,导致裂隙发育至围岩较深区域[17]。注浆具有封闭围岩裂隙、增加岩块间黏聚力的作用,使得深部本来松软破碎的围岩黏结成整体,围岩抵抗动压的能力和围岩的整体性得到提高[18]。同时,注浆锚杆将多层次密集高强度锚杆形成的承压拱、多层混凝土喷层拱以及壁后注浆加固拱形成一个整体性的支护体系,共同抵抗深部恶劣应力场的作用。

2.4 柱墙浇注混凝土加固技术及机理

柱墙作为交叉点围岩的天然承载结构,具有限制巷道交叉点顶板下沉以及跨度增大的作用。因此除了对巷道交叉点本身要做好支护措施外,还需要对柱墙进行加固。由于柱墙岩体受力状态因工程开挖由三向受力变为单向受力,极容易引起柱墙侧向受压挤出,因此必须在柱墙水平方向施加侧向约束以改善柱墙的力学性能。对柱墙浇注混凝土,封堵了柱墙中的裂纹和裂隙,将原本破碎的柱墙胶结成一个整体,在此情况下对柱墙施打加强锚索,使柱墙处于整体性的受压状态,柱墙的整体性得到进一步提高,有效地控制了柱墙的变形。

3 巷道交叉点围岩数值模拟分析

3.1 模型的建立与模拟方案

根据邢东矿-760 m水平交叉点地质情况,采用FLAC3D软件建立交叉点开挖模型,研究交叉点开掘后围岩塑性区特征及围岩应力分布规律。模型尺寸为50 m × 20 m × 48 m,模拟交叉点断面为直墙拱形,如图6所示。模型上部边界施加垂直载荷19 MPa,水平压力系数设为1.2。限制模型侧面边界沿水平方向的位移以及底部边界沿垂直方向的位移,上部边界为应力边界,材料破坏准则符合Mohr-Coulomb准则。

图6 数值模型

Fig.6 Numerical model

3.2 数值模拟结果分析

模拟结果如图7所示。由图7a可知,围岩应力在交叉点开掘后重新分布。巷道开挖后,应力首先集中在巷道表面,特别是巷道底角,当应力达到岩石极限强度时,围岩发生破坏,导致浅部围岩应力和承载能力降低。应力集中进一步向深部围岩扩散(距拱角约2 m位置处应力集中现象明显,达40 MPa),最终导致巷道周围出现较大的应力松弛区。

由图7b可知,围岩塑性破坏深度较大的区域位于顶部两肩窝处,深2.8 m,交叉点顶板中部、两帮及底板塑性区破坏深度分别为2.0、1.5、1.5 m。交叉点大部分塑性区深度小于2.4 m,即当锚杆长度选2.4 m时,能够锚固在岩体的弹性区内,充分发挥锚杆锚固作用,使得巷道周围岩体自身承载能力大幅加强,从而减小交叉点变形与破坏。

图7 围岩应力场和塑性区分布

Fig.7 Distribution nephogram of stress field, plastic zone of surrounding rock

4 工程应用

4.1 深部巷道交叉点支护方案

通过理论分析、数值模拟、工程类比及现场观测等方法[19-20],确定了集多层次交错密集高强度锚杆(索)支护技术、多层混凝土喷层拱支护、壁后注浆加固拱和柱墙浇注混凝土加固于一体的锚喷网注联合支护技术,如图8所示。

巷道支护施工工序分为4个阶段进行。

第1阶段为初喷、初锚。巷道整修扩断面到所要求的方案尺寸后,即刻喷射厚度为80 mm的第1层混凝土,施工第1层锚杆并挂网,随后复喷厚度为50 mm的第2层混凝土。第1阶段所采用的锚杆为高强度锚杆,其规格为GM22/2400,间排距为700 mm×700 mm,预紧转矩大于300 N·m。混凝土喷层采用水泥(425号水泥)∶黄砂(中粒)∶石子(米石)=1∶2∶2的比例。

图8 深部大断面巷道交叉点支护方案

Fig.8 Support scheme for intersection of deep large section roadway

第2阶段为卸压。在第1阶段的支护完成3 d后进行卸压,卸压槽形状为矩形,其尺寸为:净宽×净高=400 mm×400 mm。

第3阶段为复喷、复锚。首先在第2层混凝土喷层上安装第2层锚杆,第2层锚杆与第1层锚杆交错布置,随后再次进行挂网且安装加强锚索,最后喷射厚度为50 mm 的第3层混凝土。第3阶段所采用的锚索为19股钢绞线锚索,其尺寸为:ø21.8 mm×8 500 mm,排距为1 600 mm,布置方式为五花眼布置,预紧力120 kN。

第4阶段为注浆锚杆的安装。设置注浆孔并安装注浆锚杆,其尺寸为ø22 mm×2 000 mm,间排距为1 500 mm×1 500 mm,外露长度为50 mm。1根注浆锚杆使用3卷水泥药卷,注浆用425号水泥,水灰比为0.7~1.0,注浆压力为1.5~2.5 MPa。

此外,为了限制柱墙变形,还需加固交叉点柱墙,具体方法为:对柱墙浇注混凝土,同时打双控锚索,迈步式布置,柱墙牛鼻子正中锚索加强支护,2排锚索分别距底0.5 m和1.5 m,间距为800 mm。

4.2 现场应用效果

为了解整修扩断面后深部大断面巷道交叉点支护效果,在邢东矿-760 m水平巷道交叉点设置巷道变形监测断面,对交叉点围岩变形量进行监测,结果如图9所示。

图9 -760 m水平巷道交叉点表面位移曲线

Fig.9 Surface displacement curves of -760 m level roadway intersection

由图9可知,交叉点整修52 d后围岩变形趋于稳定,围岩总体变形较小,顶板、两帮移近量最大分别为166、134 mm,移近速率最大分别为9.8、7.3 mm/d。监测结果表明,采用锚喷网注联合控制技术后,支护效果显著提高,实现了对深部大断面巷道交叉点的有效控制。巷道交叉点于2010年进行整修,历经近10年时间巷道保持完好。

5 结 论

1)针对邢东矿-760 m水平大断面巷道交叉点矿山压力显现明显,地质环境恶劣的情况,提出了集多层次交错密集高强度锚杆(索)支护技术、多层混凝土喷层拱支护、壁后注浆加固拱和柱墙浇注混凝土加固于一体的锚喷网注联合支护技术,实现了巷道交叉点的长期稳定。

2)多层次密集高强锚杆交错布置形成的厚度更大、抗弯能力更强的高压应力连续承压拱结构以及3次喷射混凝土形成的受力合理、抗弯抗裂能力强的多层混凝土喷层结构,大幅改善了锚固范围内受力环境,进一步限制了巷道围岩变形。

3)锚、注一体化的方式将多层次交错密集高强度锚杆形成的承压拱、多层混凝土喷层拱以及壁后注浆加固拱形成一个整体性的支护体系,共同抵抗深部异常地应力场的作用,保持了巷道交叉点的长期稳定。

4)柱墙结构受力状态因工程开挖变为单向受压状态,极容易引起柱墙侧向受压挤出。对柱墙浇注混凝土并工锚索加固,为其提供水平方向的约束力,有效地抑制了柱墙的变形。

5)采用锚喷网注联合控制技术后,顶板、两帮最大移近量分别为166、134 mm,最大移近速率分别为9.8、7.3 mm/d,巷道总体收敛情况良好,有效地解决了深部大断面巷道交叉点控制难题。

参考文献(References):

[1] 周宏伟,谢和平,左建平.深部高地应力下岩石力学行为研究进展[J].力学进展,2005,35(1):91-99.

ZHOU Hongwei, XIE Heping, ZUO Jianping.Developments in researches on mechanical behaviors of rocks under the condition of high ground pressure in the depths[J]. Advances in Mechanics, 2005,35 (1):91-99.

[2] 马念杰,侯朝炯.采准巷道矿压力论及应用[M].北京:煤炭工业出版社,1995.

[3] 何满潮,胡永光,郭志飚,等.大断面软岩巷道耦合支护技术研究[J].矿山压力与顶板管理,2005,22(4):1-3,142.

HE Manchao, HU Yongguang, GUO Zhibiao, et al. Research on technology of coupling support in large section soft rock tunnel[J]. Ground Pressure and Strata Control, 2005,22(4):1-3,142.

[4] 何满潮,李国峰,刘 哲,等.兴安矿深部软岩巷道交叉点支护技术[J].采矿与安全工程学报,2007,24(2):127-131.

HE Manchao,LI Guofeng, LIU Zhe, et al. Countermeasures aiming at the support for crossing roadway of deeply buried soft rocks in xing'an coal mine[J]. Journal of Mining & Safety Engineering, 2007,24(2):127-131.

[5] 韩贵雷,贾玉琴.大断面巷道交叉点破坏机理分析及支护研究[J].矿业研究与开发,2009,29(4):27-30.

HAN Guilei, JIA Yuqin. Study on failure mechanism and support of cross roadway with large span[J]. Mining Research and Development, 2009,29(4):27-30.

[6] 姜玉连,潘 军,贺永强,等.大断面巷道交叉点缩面期间顶板控制技术[J].采矿与安全工程学报,2013,30(1):19-22.

JIANG Yulian, PAN Jun, HE Yongqiang,et al. Roof control technology of the intersection of large section roadway during shrinking face[J]. Journal of Mining & Safety Engineering, 2013,30(1):19-22.

[7] 刘克功,徐金海.短壁开采大断面多交叉点煤巷支护技术[J].矿山压力与顶板管理,2005,22(1):73-75,118.

LIU Kegong, XU Jinhai. Support technology of large section and multicrossing roadway in short wall mining[J]. Ground Pressure and Strata Control, 2005,22(1):73-75,118.

[8] 郝长胜,杨永杰,刘 瑞,等.大断面Y型拱形巷道交叉点稳定性数值分析[J].煤矿安全,2014,45(3):179-182,185.

HAO Changsheng, YANG Yongjie, LIU Rui,et al. Numerical simulation analysis of the stability of large cross- section y- arched roadway crossing point[J]. Safety in Coal Mines, 2014,45(3):179-182,185.

[9] 谢生荣,谢国强,何尚森,等.深部软岩巷道锚喷注强化承压拱支护机理及其应用[J].煤炭学报,2014,39(3):404-409.

XIE Shengrong, XIE Guoqiang, HE Shangsen,et al. Anchor-spray-injection strengthened bearing arch supporting mechanism of deep soft rock roadway and its application[J]. Journal of China Coal Society, 2014,39(3):404-409.

[10] 李海燕,张红军,李术才,等.新型高预应力锚索及锚注联合支护技术研究与应用[J].煤炭学报,2017,42(3):582-589

LI Haiyan, ZHANG Hongjun, LI Shucai, et al. Research and application on new high pre-stressed anchor cable with bolt-grouting comprehensive support technology[J]. Journal of China Coal Society, 2017, 42(3):582-589.

[11] 赵 科,张 剑.厚煤层大断面巷道支护技术研究[J].煤炭科学技术,2019,47(3):101-105.

ZHAO Ke,ZHANG Jian.Study on support technology of large cross section gateway in thick seam[J].Coal Science and Technology,2019,47(3):101-105.

[12] 宋卫华,史苗壮,赵春阳,等.大断面矩形巷道采动条件下过断层组破碎带研究[J].煤炭科学技术,2018,46(10):117-124.

SONG Weihua,SHI Miaozhuang,ZHAO Chunyang,et al.Study on fracture zone of cross fault group in large section rectangular roadway under mining conditions[J].Coal Science and Technology,2018,46(10):117-124.

[13] 袁 亮,薛俊华,刘泉声,等.煤矿深部岩巷围岩控制理论与支护技术[J].煤炭学报,2011,36(4):535-543.

YUAN Liang, XUE Junhua, LIU Quansheng, et al. Surrounding rock stability control theory and support technique in deep rock roadway for coal mine[J]. Journal of China Coal Society, 2011,36(4):535-543.

[14] 涂兵雄,贾金青,王海涛,等.预应力锚杆柔性支护喷射混凝土面层上的土压力[J].岩土力学,2013,34(12):3567-3572,3579.

TU Bingxiong, JIA Jinqing, WANG Haitao, et al. Earth pressure on shotcrete of flexible retaining method with prestressed anchor[J]. Rock and Soil Mechanics, 2013,34(12):3567-3572,3579.

[15] 何富连,张广超.深部破碎软岩巷道围岩稳定性分析及控制[J].岩土力学,2015,36(5):1397-1406.

HE Fulian, ZHANG Guangchao. Analysis and control of stability of the fractured soft rock surrounding a deep roadway[J]. Rock and Soil Mechanics, 2015,36(5):1397-1406.

[16] 王焕文,王继良.锚喷支护[M]. 北京: 煤炭工业出版社, 1989.

[17] 朱 杰,汪仁和,林 斌.深埋巷道围岩多次破裂现象与裂隙张开度研究[J],煤炭学报,2010,35(6):887-890.

ZHU Jie, WANG Renhe, LIN Bin. Research on the phenomenon of multiple fracturing and fracture apertures of surrounding rock mass in deep roadway[J]. Journal of China Coal Society, 2010,35(6):887-890.

[18] 赵万里,杨战标.深部软岩巷道强力锚注支护技术研究[J].煤炭科学技术,2018,46(12):92-97.

ZHAO Wanli,YANG Zhanbiao.Study on strong anchor support technology in deep soft rock roadway[J].Coal Science and Technology,2018,46(12):92-97.

[19] 余伟健,吴根水,刘 海,等.薄煤层开采软弱煤岩体巷道变形特征与稳定控制[J].煤炭学报,2018,43(10):2668-2678.

YU Weijian, WU Genshui, LIU Hai,et al. Deformation characteristics and stability control of soft coal-rock mining roadway in thin coal seam[J]. Journal of China Coal Society, 2018,43(10):2668-2678.

[20] 罗生虎,伍永平,刘孔智,等.大倾角大采高综采工作面煤壁非对称受载失稳特征[J].煤炭学报,2018,43(7):1829-1836.

LUO Shenghu, WU Yongping, LIU Kongzhi, et al. Asymmetric load and instability characteristics of coal wall at large mining height fully-mechanized face in steeply dipping seam[J]. Journal of China Coal Society, 2018,43(7):1829-1836.

Stability analysis and control technology of surrounding rocks at deep large cross-section roadway

YANG Junhui1, JIANG Zaisheng2, XIE Shengrong2

(1. Xingdong Coal Mine, Jizhong Energy Group Co., Ltd., Xingtai 054000, China; 2. School of Energy and Mining Engineering,China University of Mining and Technology-Beijing, Beijing 100083, China)

Abstract:In view of the deformation and damage characteristics of the -760 m level large cross-section roadway in Xingdong Coal Mine, such as obvious subsidence of roof, sharp convergence of two sides, strong heave of floor, broken and loose of pillar wall of rock mass, the combined control technology of bolt-shotcrete-net-grouting, which integrates high strength anchor bolts (cables) support technology with multi-level interleaving, multi-layer concrete spray layer arch support, reinforcement arch with grouting behind segment and reinforcement by pouring concrete into the column wall, is put forward in this paper by methods of theoretical analysis, numerical simulation, engineering analogy and on-site observation. The combined support technology of bolting shotcrete and net injection analyzes the surrounding rock control mechanism of the specific support method of the deep large cross section intersection. The results shows that: ①when the boltsare installed more densely, the minimum thickness of the pressure arch formed by the superposition of compressive stress is greater, and the bearing capacity of the pressure arch is stronger;②when the bolt spacing is more than 700 mm, the maximum bearing capacity of the spray layer structure is less than 0.55 MPa. As the bolt spacing decreases to 400 mm, the bearing capacity of the sprayed layer increases and the spacing of the bolt show apower-like function growth relationship; ③the bearing capacity of the sprayed layer structure and the thickness of the shotcrete layer show a kind of “linear” relationship, that is, the bearing capacity of the spray layer structure has a linear relationship with the thickness of the sprayed layer; ④the numerical simulation results show that the area with the greater plastic failure depth of the surrounding rock is located at the top two shoulder sockets, and most of the plastic zone depth of the intersection is less than 2.4 m. When the length of the bolt is determined to be 2.4 m, the bolt can be anchored in the elastic zone of the rock mass. Based on the above research, combined with the on-site geological production conditions, the surrounding rock support scheme of the roadway intersection is determined, and the field engineering application is carried out. The field engineering practice shows that after the joint control technology of bolting shotcrete and net injection is applied,the maximum approaching distance between the top and bottom plates and the two sides are 166 and 134 mm respectively, and the maximum approaching rates are 9.8 and 7.3 mm/d respectively. The convergen cecondition of surrounding rock in roadway is good. The deformation of the surrounding rock at the intersection of the - 760 m level large section roadway is effectively controlled.

Key words:soft rock in deep mine; roadway intersections; large section;surrounding rock deformation; surrounding rock control

中图分类号:TD353

文献标志码:A

文章编号:0253-2336(2020)06-0049-08

移动扫码阅读

杨军辉,蒋再胜,谢生荣.深部大断面巷道交叉点围岩稳定性分析及控制技术[J].煤炭科学技术,2020,48(6):49-56.doi:10.13199/j.cnki.cst.2020.06.005

YANG Junhui, JIANG Zaisheng, XIE Shengrong.Stability analysis and control technology of surrounding rocks at deep large cross-section roadway[J].Coal Science and Technology,2020,48(6):49-56.doi:10.13199/j.cnki.cst.2020.06.005

收稿日期:2019-12-21责任编辑:朱恩光

基金项目:国家自然科学基金资助项目(51504259);中国矿业大学(北京)“越崎青年学者”资助计划项目(800015Z1104);中央高校基本科研业务费专项资金资助项目(2010QZ06)

作者简介:杨军辉 (1979—),男,河北邢台人,高级工程师,现任冀中能源股份有限公司邢东矿总工程师。E-mail:xdyjh2004@tom.con