缓倾斜煤层沿含水采空区掘巷煤柱稳定性研究

刘少伟1,2,王 伟1,2,王 强3,蒋金华3,李海涛4,彭海斌4

(1.河南理工大学 能源科学与工程学院,河南 焦作 454000;2.煤炭安全生产协同创新中心,河南 焦作 454000;3.四川华蓥山龙滩煤电有限责任公司,四川 广安 638600;4.大同煤矿集团轩岗煤电有限责任公司 梨园河煤矿,山西 原平 034000)

摘 要:针对缓倾斜煤层含水采空区沿空掘巷存在围岩失稳和突水风险,为了分析和判断防水煤柱及其周围煤岩层的破坏规律和抗溃水能力与研究得出最优的沿空巷道支护控制技术,基于沿空掘巷的煤柱留设理论研究和现场实践,研究了沿含水采空区掘巷时护巷煤柱留设宽度的理论计算与无支护与有支护情况下护巷煤柱的流固耦合—力学反应,采用正交试验设计和FLAC3D数值模拟的方法综合分析了影响护巷煤柱稳定性的因素敏感性、不同护巷煤柱留设宽度下围岩的应力场、位移场、孔隙水压力的分布特征以及不同支护参数下的效果优化。研究结果表明:在煤柱宽度为12~18 m,水头压力为0~0.3 MPa,煤层倾角为2°~10°情况下,护巷煤柱稳定性影响因素的主次顺序为:水压>煤层倾角>煤柱宽度;在最大水头压力的作用下,护巷煤柱的合理宽度为12 m;确定了2214回风巷的最优支护参数。井下工业性试验验证了留设12 m宽度的护巷煤柱安全经济,采用主被动联合支护参数的沿空巷道的围岩表面位移均处于工程允许范围内。

关键词:沿空掘巷;流固耦合; 正交试验; 孔隙水压力

0 引 言

近年来,煤炭行业大力提倡综放沿空掘巷留设煤柱的开采技术,并且已取得了明显成效和大范围的推广[1-3]。对于缓倾斜煤层含水采空区沿空掘巷留设防水护巷煤柱宽度的设计,目前采用较多的仍是套用多年使用过的防隔水煤柱留设经验公式进行计算 [4],而用直观的方式模拟在应力场、流-固耦合作用下防水护巷煤柱变形破坏的相关研究还比较少[5]。沿空巷道的稳定与防水护巷煤柱的宽度有很大的关系[6-8]。于进广[9]对中等含水层下留设防砂煤柱的安全开采机理进行了研究;廖学东等[10]对松散含水层下采煤合理煤岩柱高度的确定进行了探讨;蔡荣[11]对水体下采煤岩层的移动与保护层理论及应用进行了研究;尹尚先[12]对防水煤柱留设对围岩变形的影响进行了数值模拟方面的研究;陈平等[13]以裂隙渗流理论和变形本构关系为基础进行了耦合分析;王媛[14]提出了四自由度全耦合分析方法,其基本思路是将裂隙岩体渗流场和应力场作为同一场进行考虑,联立裂隙岩体满足的渗流方程和应力方程,建立起同时以结点位移和节点渗流水压力为未知量的耦合有限元方程组,通过求解方程组,同时得到应力场和渗流场,这样避免了2个场之间的迭代。笔者以缓倾斜煤层开采为主的刘家梁煤矿2214综放工作面为研究对象,采用理论分析与数值模拟相结合的方法,确定2214回风巷沿空防水煤柱合理宽度及最优支护参数,对防水煤柱及其周围岩层的破坏规律以及防水煤柱的抗溃水能力进行分析和判断,为防水煤柱宽度及锚固设计提供科学依据。

1 工程概况

1.1 矿井概况

山西大同煤矿集团刘家梁煤矿2号煤层厚为5.8 m,工作面采用放顶煤一次采全高工艺,自然垮落法处理采空区顶板。工作面走向长681 m,倾向长133 m,煤层倾角2°~10°,平均倾角6°,2212工作面开采后采空区有大量积水。2214工作面标高为+790—+800 m,2214综放工作面回风巷(以下简称“2214回风巷”)拟采用小煤柱沿空掘进,如图1所示。

图1 巷道布置与采空区关系

Fig.1 Relationship of roadway Layout and goaf

2号煤层直接顶为灰色砂质泥岩,平均厚度3.16 m,抗压强度43.5 MPa;基本顶为灰白色中粗粒石英砂岩,平均厚度8.46 m,抗压强度63.7~122.6 MPa;直接底为深灰色中细粒砂岩,平均厚度4.57 m,抗压强度70.6 MPa,煤层顶底板情况如图2所示。

图2 2214回风巷煤岩层综合柱状

Fig.2 Comprehensive histogram of coal and rock strata in No.2214 return airway

1.2 问题描述

2214综放工作面与2212工作面采空区之间留设的煤柱不但要承受2214综放工作面采空区覆岩残余压力、自身工作面回采动压的影响,还承受采空区积水压力的作用,该矿其他工作面的回采巷道在留设大煤柱(20 m)时均存在围岩淋水情况。因此,预先研究2214工作面回风巷防水煤柱的稳定性意义重大。

2 流固耦合作用下沿空掘巷窄煤柱留设

2.1 采空水与煤柱体流固耦合机理

2214回风巷沿空防水煤柱可视为上覆岩层载荷与2212采空区水压力作用下的地下结构物。由于煤岩体为一种可变形多孔介质,煤柱存在大量导水裂隙和孔隙,老空水沿着这些导水通道渗入到煤柱内部一定深度,在孔隙水压力作用下,煤柱强度和变形性质将发生变化,即使上覆岩层载荷与2212采空区水压力不变,煤柱内渗水区域及煤柱变形都将随时间变化,当满足一定条件时,煤柱将突然破坏而发生突水,防水煤柱失稳破坏。流固耦合效应如图3所示。

图3 防水煤柱流固耦合效应示意

Fig.3 Schematic of fluid-solid coupling effect of waterproof coal pillar

2.2 沿空防水煤柱稳定主控影响因素分析

影响沿空防水煤柱稳定的因素主要包括以下方面:①煤柱宽度越大(小),煤柱体中心弹性核区越大(小),抵御变形破坏能力越强(弱);②煤层倾角变化使得煤柱应力偏心程度和老空水头压力发生变化,从而影响煤柱承载强度;③老空水含量及压力是不断变化的,研究得到使煤柱发生破坏的临界水压尤为重要。

2.3 考虑水压时沿空护巷煤柱尺寸理论分析

2212含水采空区与2214回风巷之间煤柱受采空区和采动共同作用影响,煤柱部分宽度为屈服区,在采空区水作用下成为强渗透区,隔水能力弱,真正起隔水作用的是煤柱中间的弹性核区。因此煤柱宽度大于等于两端屈服区(L1L3)和中间弹性核区(L2)之和,结构示意图如图4所示。

图4 煤柱空间结构与计算

Fig.4 Calculation and structure of waterproof coal pillar

1)两侧屈服区宽度计算。煤柱屈服区宽度计算公式[ 15 ]

(1)

式中:M为煤层厚度,取5.8 m;d为开采扰动因子,取2.8;φ0为煤体内摩擦角,取29.8°;β为屈服区与弹性核区界面处的侧压力系数,取0.27;C0为煤层顶板接触面的黏聚力,取2.0 MPa;σs为煤柱极限抗压强度,取10 MPa;F为煤壁的侧向约束力,取0。

2212工作面含水采空区一侧的煤柱屈服区宽度为5.0 m;因2214回风巷尺寸较小,所以该侧煤柱的屈服区宽度L1取1.0 m。

2)煤柱弹性核区宽度计算。采用《煤矿防治水规定》提供经验公式计算,即

(2)

式中:K为安全系数,取2~5;P为水头压力,即P=ρghρ为水的密度,g为重力加速度,h为最大水头高度,取23 m;σt为煤层抗拉强度,取1.0 MPa。

K=2时,L2=4.82 m;K=5时,L2=12.05 m。因此,当该矿2212工作面采空区积水最大水头高度为23 m时,与之相邻的2214回风巷沿空掘巷留设的最小防水煤柱宽度为10.82 m,安全防水煤柱宽度为18.05 m。

3 沿空掘巷无支护煤柱稳定性数值分析

3.1 数值试验正交设计

根据沿含水采空区防水煤柱的稳定性影响因素与考虑水压时沿空护巷煤柱的尺寸留设理论分析,FLAC3D数值模拟的主控因素定为煤柱宽度、煤层倾角以及水头压力,采用正交试验设计方法,进而确定各主控影响因素的水平值,具体见表1。

表1 各主要影响因素的水平值

Table 1 Level values of major influencing factors

因素水平1234A:煤柱宽度/m12141618B:煤层倾角/(°)26810C:水压/MPa00.10.20.3

在考虑煤柱宽度、煤层倾角、水压对煤柱稳定影响敏感度时,不考虑各因素水平间的相互作用。为此,采用3因素4水平的正交表L16(43)进行方案设计(表2)。表2中因素下的数值表示该因素所取的第几种水平,以此为依据建立各主控因素的模拟试验方案。

表2 试验方案正交表L16(43)

Table 2 Test plan orthogonal table L16 (43)

试验方案因素水平ABC11112122313341445212622172348243931310324113311234213414144231543216441

3.2 流-固耦合数值建模及参数

3.2.1 流-固耦合计算模型

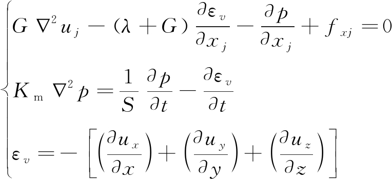
FLAC3D软件在模拟煤岩体和水的耦合作用时,视煤岩体为多孔介质,水在孔隙介质中的流动符合Darcy定律,同时满足Biot流固耦合方程,其偏微分方程[16]

(3)

式中:λ、G为第一、二Lame常数;p为孔隙压力;εv为体应变;xjujfxj分别为j向的坐标、位移及体积力;Km为渗透系数;为拉普拉斯算子;S为弹性释水系数;∂p/∂xj反映渗流场对煤岩体影响,是水流动时产生的孔隙压力影响煤岩体有效应力而产生变形破坏;∂εv/∂t项反映煤岩体体积变形对渗流场的影响。

3.2.2 数值模型建立及参数

根据2214回风巷的实际地质条件,通过采用FLAC3D数值模拟软件中内置的Mohr-Coulomb弹-塑性模型和流-固耦合模型(图5),来分别对应力场和渗流场进行耦合数值计算,数值模型中各部分的物理力学参数均来自工程现场所取的实际煤、岩样本的力学实验测试结果,各岩层力学参数见表3。

图5 沿含水采空区掘巷FLAC3D数值模型

Fig.5 Numerical model of FLAC3D excavation along water-bearing goaf

表3 各岩层力学参数

Table 3 Mechanical parameters of each rock layer

岩层体积模量/GPa剪切模量/GPa密度/(kg·m-3)内摩擦角φ/(°)黏聚力C/MPa抗拉强度/MPa渗透系数/(nm·s-1)孔隙率粗砂岩11.21.72 6303513.830.80.8000.50砂质泥岩1 3.11.72 5803511.213.70.0060.35粗砂岩21.01.62 6303612.510.00.0060.50砂质泥岩21.01.72 6003812.713.49.0000.35中粒砂岩1.11.72 5803511.213.70.0060.45粉砂岩1.91.32 463263.23.950.0000.40细砂岩2.82.32 570263.43.70.0060.30粗砂岩22.72.32 630212.72.70.8000.50砂质泥岩32.62.42 600191.61.60.8000.352煤0.50.11 39029.82.01.00.5000.50中细砂岩1.81.42 580224.34.365.0000.35泥岩1.71.32 416257.57.365.0000.403煤1.11.61 390363.12.880.0000.50

数值模型中,2214综放工作面倾向与+x方向呈6°,2214回风巷沿+y方向进行掘进,+z方向竖直向上。数值模型的两侧、底部以及前后界面均进行位移和应力边界约束,在顶部界面施加垂直载荷σz=γH=16.9 MPa,两侧界面施加水平应力载荷σx=σy=18.59 MPa;防水煤柱靠2212工作面采空区一侧、顶部和底部界面设置孔隙水压均为0。

3.3 数值试验结果分析

3.3.1 因素敏感性分析

巷道侧煤柱拉破坏深度SP测试试验方案及结果见表4。

表4 试验方案及数据分析

Table 4 Test plan and data analysis

模拟实验方案因素及水平ABCSp/m11(12)1(2)1(0)4.5212(6)2(0.1)6.1313(8)3(0.2)7.2414(10)4(0.3)7.052(14)126.462213.672347.382437.193(16)136.3103247.0113315.0123426.8134(18)147.0144236.4154326.3164413.4K124.824.216.5K224.423.125.6K325.125.827.0K423.124.328.3K12615.0585.6272.3K22595.4533.6655.4K32630.0665.6729.0K42533.6590.5800.9T=97.4T2=9 486.8C=592.9Sj0.61.021.5ST—23.1—Se—1.0—

注:Ki(i=1,2,3,4)为各因素同一水平试验指标之和(n=16);Tn个试验方案的试验指标之和;C为矫正数,C=T2/nSj为某j因素平方和(SASBSC),Sj=(K12+ K22+ K32+ K42)/4-CST为总偏差平方和,为误差偏差平方和,Se= ST- SA - SB

不同煤层倾角对应不同水头压力,倾角越大,水头压力越大,模拟不同煤柱宽度、倾角、水压作用下对煤柱破坏的影响,模拟计算得到各方案下沿空巷道侧煤柱破坏深度(表4)。

运用方差分析法对模拟数据分析处理,将各因素的平均偏差平方和与误差平均偏差平方和比值,记作F值,该值反应各因素对试验结果影响程度的大小,计算公式为

(4)

其中:Sjfj为各因素偏差平方和、自由度;Sefe为试验误差偏差平方和、自由度。由式(4)得各因素F值见表5。

表5 方差分析结果

Table 5 Variance analysis results

方差来源偏差平方和自由度均偏差平方和FFn显著性A0.630.200.60B1.030.330.99C21.537.2021.60F0.05(3,6)**误差e1.030.33—误差e△2.060.33—

注:查表① F0.01(3,6)=9.78,F0.05(3,6)=4.53;②当Sj<2Se时,可将因素或交互作用的偏差平方和、自由度并入误差的偏差平方和、自由度,记为误差e,使得误差的偏差平方和、自由度增大,提高了F检验的灵敏度;③F>F0.01(fjfe),该因素高度显著,以**表示;④ F0.05(fjfe)<F<F0.01(fjfe),该因素显著,以*表示;⑤F<F0.05(fjfe),该因素不显著。

敏感性分析表明:在煤柱宽度12~18 m,水压0~0.3 MPa,煤层倾角2°~10°时,因素C高度显著,因素A与因素B不显著,因素主次顺序为C—B—A,即敏感性顺序为水压>煤层倾角>煤柱宽度,因此,考虑水头压力和煤层倾角2个因素对煤柱的破坏作用是很有必要的。

3.3.2 不同煤柱宽度垂直应力特征分析

沿各留设宽度煤柱水平中心线提取煤柱内垂直应力,分布特征如图6所示。由图6可知,4种宽度煤柱垂直应力分布曲线均呈双峰形分布特征,两垂直应力峰值间出现弹性核区。其中,4种宽度煤柱均存在应力相对稳定区域,且每种宽度煤柱垂直应力分布曲线峰值点距曲线边界(即煤柱屈服区)基本一致,随煤柱宽度增加稳定区域有所增加。煤柱宽度为12 m仍存在应力相对稳定区域,说明12 m煤柱满足防水要求,且较其他宽度煤柱最为经济。

图6 不同宽度煤柱垂直应力分布

Fig.6 Vertical stress distribution of coal pillars with different widths

3.3.3 不同煤柱宽度时水平位移峰值规律

根据数值计算结果,得出不同宽度煤柱向巷道侧、采空区侧水平位移峰值SH,1SH,2分布规律如图7所示。

图7不 同宽度煤柱向两侧水平位移峰值分布

Fig.7 Peak distribution of horizontal displacement of coal pillars with different widths

煤柱巷道侧水平位移峰值SH,1整体趋势随煤柱宽度增加,曲线突然上升,至平缓,后急剧上升。煤柱宽度12~18 m时,位移峰值由77 mm急剧增加至123 mm,后又急剧增加至212 mm。因此,12 m煤柱宽度时位移最小。

煤柱采空区侧水平位移峰值SH,2分布整体趋势为随煤柱宽度增加,曲线先降低再急剧上升,后又降低。煤柱宽度12~14 m范围内,位移峰值由1 400 mm减小至最小值1 300 mm,煤柱宽度为14~18 m时,位移峰值由最小值急剧增加至1 600 mm,后又减小至1 500 mm,煤柱宽度为12 m时的水平位移峰值仅高于最小值1 00 mm。

3.3.4 不同水压下合理煤柱塑性区特征

为验证煤柱宽度12 m时抵御各种水压情况下的防溃性能,在煤柱宽度、煤层平均倾角分别为12 m,6°条件下,设定采空区水压分别为0、0.10、0.23、0.30 MPa,分析不同水压对煤柱的影响。如图8所示。

图8 计算结束后FLAC3D数值模型

Fig.8 FLAC3D numerical model after calculation

图7数值模型Y=2.0 m剖面内所框选区域的局部切片放大图如图9、图10所示。

图9 无水时塑性区分布

Fig.9 Distribution of plastic zone in the absence of water

图10 不同水压作用下孔隙水压及塑性区分布

Fig.10 Pore water pressure and plastic zone distribution under different water pressures

由图9与图10a—图10c可知,孔隙水压力在煤柱中心区域达到所施加水压的峰值压力后,逐渐向四周成梯度减小分布。水压为0.23 MPa时,煤柱附近孔隙水压力在0.18~0.21 MPa,理论计算最大水头压力与数值计算结果基本吻合。回风巷围岩和煤柱产生的塑性区域明显随水压升高而逐步扩大(图9,图10)中自由曲线框选部分)。2212采空区无水时,煤柱仅在应力场作用下产生破坏,塑性区域很小,煤柱在该纵向剖面内未产生塑性破坏的区域面积SP1(以下不同水压时用SP,ii=2,3,4进行表示)为39.1 m2,占煤柱体纵向剖面总面积的56.0%,此时煤柱体非塑性区域大于塑性区域,煤柱宽度留设12 m安全有效;2212采空区含水时,所施加水压分别为0.10、0.23(最大水头压力)、0.30 MPa时,煤柱在该纵向剖面内未产生塑性破坏的区域面积分别为,SP2=33.2 m2SP3=25.5 m2SP4=20.4 m2,占煤柱纵向剖面总面积的比例分别为47.4%、36.4%、29.1%,其中,水压0.1 MPa时,非塑性区域略小于塑性区域,煤柱未产生涌水通道,仍具有较强防溃水能力;水压0.23 MPa时,煤柱塑性区分布范围较广但不连续,可视为临界状态;水压0.3 MPa,即超过理论最大水头压力值的极端情况时,煤柱大部分区域已经处于塑性区范围内,但这只能说明煤柱有塑性破坏的趋势,并未进入完全塑性状态。因此,在不同老空区水压作用下,煤柱留设宽度12 m可行。

4 沿空掘巷有支护煤柱稳定性数值分析

4.1 支护参数初步设计

由以上各节分析结果,2214回风巷采用的初步支护方案如下:

断面尺寸(上宽×下宽×高)/mm×mm×mm4 075×4 600×3 000锚杆规格(数量×直径×长度)/根×mm×mm顶板5×ø20×2 400两帮8×ø20×2400间排距/mm×mm顶板800×800两帮800×800锚索规格(数量×直径×长度)/根×mm×mm(3-2-3)×ø17.8×7 300间排距/mm×mm1 600×800工字钢规格(类型×排距)/型号×mmI-22B型×1 600钢筋梯子梁规格(直径×长度×宽度)/mm×mm×mmø14×2 500×100“W”型钢带规格(宽度×厚度)/mm×mm220×2.5预紧力要求/kN顶锚杆≥50帮锚杆≥50锚索≥200

4.2 工字钢支架的精细化模拟

4.2.1 Beam屈服的实现

FLAC3D中,Beam单元是一种各向同性、无轴向屈服的线弹性材料。由于没有轴压屈服点,Beam单元的轴力可一直增大,至无限大。当工字钢支架荷载较高时,Beam单元的轴力可能会远大于工字钢支架的实际屈服和极限荷载,宏观上产生变形但并没有达到屈服,使工字钢支架对围岩的支护作用被放大,导致模拟结果失真。

针对此情况,笔者通过Fish语言编写了设定工字钢支架屈服荷载的程序,对Beam单元进行了修正,使Beam单元所受内力(轴力N和弯矩M)超过设定的屈服荷载时,工字钢支架产生屈服。

4.2.2 I-22B型工字钢支架屈服判据

工字钢支架在围岩压力作用下,内力状态主要为偏心受压。因此,所述屈服判据应当是工字钢截面的压弯极限承载力判据。采用等效工字钢截面的方法[17-20],可得到矿用I-22B型工字钢压弯屈服判据为

n′≤0.4时,有

m=1-1.485n

(5)

n′>0.4时,有

m=1-0.126n2-1.09n′+0.217

(6)

(7)

式中:n′为轴力系数;N为轴力,N;Nu为极限轴力,取1 083.7 kN;m为弯矩系数;M为弯矩kN·m;Mu为极限弯矩,取71.3 kN·m。

4.2.3 效果验证

调整前、后工字钢支架各单元平均轴力和弯矩与轴向位移的变化曲线如图11所示。

由图10可知,对Beam单元内力屈服极限处理前,工字钢支架轴力在轴向位移2.5 mm处达到最大值4 850 kN,约为给定I-22B型工字钢支架屈服轴力Nu的5倍,并且,虽然工字钢支架逐步产生弯曲,弯矩M达到71.3 kN·m并且屈服,但轴力N上升的速率没有明显变化,处理前原始模型仅产生弯曲行为,并没有压缩变形屈服点。原始模型的承载能力明显夸张而且不适合安全设计。

处理后的工字钢支架轴力最大值约为1 191 kN,基本接近I-22B型工字钢支架的真实屈服轴力。可见,调整后的工字钢支架性能更符合实际。

图11 工字钢支架内力-位移分布对比曲线

Fig.11 Comparison curve of internal force-displacement distribution of I-Beam bracket

4.3 不同参数巷道围岩塑性区分布对比

图12 2种支护参数下巷道围岩塑性区分布

Fig.12 Distribution of plastic zone around the surrounding rock under two support parameters

2214回风巷围岩塑性区分布如图12b和图12c所示,且为图7中的Y=2.0 m剖面内框选区域放大图。

由图12可知,主动支护参数和主被动支护参数下煤柱塑性区范围分别占2214回风巷煤柱侧围岩范围的62.1%和54.0%,2种支护参数下煤柱塑性区域比例柱状对比如图12a所示,沿空巷道在主动支护参数时的塑性区范围较主被动支护参数时大。

4.4 不同支护参数下巷道围岩变形对比

基于改进的工字钢支架Beam单元的巷道主被动联合支护及主动支护模拟结果,分别从2214回风巷顶底板和两帮中心提取8 m范围内围岩变形量,得到12 m宽度煤柱巷道围岩位移分布特征,如图13所示。

由图13可知,主被动联合支护时2214回风巷围岩位移值远小于主动支护情况。最大值分别降低了37.8%(顶板)、26.7%(底板)、34.6%(实体煤帮)和72.2%(煤柱帮)。

图13 2种支护参数下巷道围岩变形分布

Fig.13 Distribution of surrounding rock deformation of roadway under two kinds of support parameters

5 工业性试验

综合以上分析,2214回风巷采用表6中的主被动联合支护参数进行现场应用。在沿空掘巷期间共布置4个测站,测站4至巷道1 240 m,测站3、测站2、测站1依次间隔40 m布设,各测站处设置的顶板、两帮多基点位移计如图14所示。

图14 2214回风巷监测设备安装

Fig.14 Monitoring equipment installation in No.2214 return airway

以沿空掘巷后支护完成时刻为时间起点,得到监测期内巷道围岩变形曲线如图15所示。

从图15可得,2214回风巷在掘进后90 d左右巷道表面变形位移量达到峰值并基本保持稳定,图14a中表明巷道顶煤的最大下沉量为95 mm,两帮的最大移近位移量为156 mm,综合来看,巷道变形位移量处于工程允许的范围内,通过后期持续的现场监测,表明2214综放工作面沿空掘巷留设12 m煤柱安全经济,沿空巷道所采用的围岩支护控制技术安全经济合理。

图15 2214回风巷变形-时间曲线

Fig.15 Deformation-time curves of No.2214 return airway

6 结 论

1)基于正交试验分析,煤柱宽度12~18 m,水压0~0.3 MPa,煤层倾角2°~10°条件下,因素主次顺序为水压>煤层倾角>煤柱宽度。

2)结合理论计算结果与数值计算对比分析,确定具有防溃水能力的合理煤柱宽度为12 m。

3)在煤柱宽度12 m,煤层平均倾角6°,最大水头压力0.23 MPa情况下,确定2214回风巷最优支护参数为主被动联合支护参数。

4)工业性试验表明:2214回风巷在最优支护参数下,巷道围岩变形量处于工程允许范围之内,满足正常生产需求,留设12 m煤柱安全经济,本文可为考虑流固耦合作用下防水煤柱留设提供参考。

参考文献(References):

[1] 侯朝炯,李学华.综放沿空掘巷围岩大、小结构的稳定性原理[J].煤炭学报,2001,26(1):1-7.

HOU Chaojiong,LI Xuehua.Stability principle of big and small structures of rock surrounding roadway driven along goaf in fully mechanized top coal caving face [J].Journal of China Coal Society,2001,26(1):1-7.

[2] 柏建彪.沿空掘巷围岩控制[M].徐州:中国矿业大学出版社,2006:13-62.

[3] 毕宣可,战玉宝,王 玉.护巷小煤柱留设的可行性研究[J].中国矿业,2007(9):53-56.

BI Xuanke,ZHAN Yubao,WANG Yu.Feasibility study on the retention of small coal pillars in the lanes[J].China Mining Magazine,2007(9):53-56.

[4] 刘 波,贺 雷,罗立平.流-固耦合作用下防隔水煤柱留设的数值模拟[J].采矿与安全工程学报,2009,25(4):445-449.

LIU Bo,HE Lei,LUO Liping.Numerical modeling on fluid-solid coupling for the water proof coal pillar design [J].Journal of Mining & Safety Engineering,2009,25(4):445-449.

[5] 煤炭工业部.矿井水文地质规程:试行[M] .北京:煤炭工业出版社,1984.

[6] 李学华,姚强岭,丁效雷.护巷煤柱沿空掘巷围岩稳定原理与技术[J].煤矿支护,2008(2):1-9.

LI Xuehua,YAO Qiangling,DING Xiaolei.Stability principle and technology of narrow coal pillar surrounding rock of roadway driving along goaf [J].Mining Support,2008(2):1-9.

[7] 钱鸣高,石平五.矿山压力与岩层控制[M].徐州:中国矿业大学出版社,2003:218-226.

[8] 杨吉平.沿空掘巷合理护巷煤柱宽度确定与围岩控制技术[J].辽宁工程技术大学学报,2013,32(1):39-43.

YANG Jiping.Rational width of narrow coal pillar and control technology of surrounding strata at roadway driven along goaf [J].Journal of Liaoning Technical University,2013,32(1):39-43.

[9] 于进广.中等含水层下留设防砂煤柱的安全开采机理[J].淮南工业学院学报,2001(2):15-17.

YU Jinguang.Safe mining mechanism of sand control coal pillars under medium aquifer[J].Journal of Huainan Institute of Technology,2001(2):15-17.

[10] 廖学东,疏开生.松散含水层下采煤合理煤岩柱高度的确定[J].淮南矿业学院学报,1998,8(2):29-33.

LIAO Xuedong,SHU Kaisheng.Determination of reasonable coal pillar height for coal mining under loose aquifer [J].Journal of Huainan Mining Institute,1998,8(2):29-33.

[11] 蔡 荣.水体下采煤岩层的移动与保护层理论及应用[D].徐州:中国矿业大学,2003.

[12] 尹尚先.陷落柱防水煤柱留设对围岩变形影响的数值模拟[J].煤炭学报,2006,34(2):179-182.

YIN Shangxian.Numerical simulation of influence of water barrier pillars for subsided column on rock failure in mining process[J].Journal of China Coal Society,2006,34(2):179-182.

[13] 陈 平,张有天.裂隙岩体渗流与应力耦合分析[J].岩石力学与工程学报,1994,13(4):299-308.

CHEN Ping,ZHANG Youtian.Coupling analysis of seepage and stress in fractured rock mass[J].Chinese Journal of Rock Mechanics and Engineering,1994,13(4):299-308.

[14] 王 媛.裂隙岩体渗流及其与应力的全耦合分析[D].南京:河海大学,1995.

[15] 刘 波,韩彦辉.FLAC 原理、实例与应用指南[M].北京:人民交通出版社,2005.

[16] 贝 尔.多孔介质流体动力学[M].北京:中国建筑工业出版社,1983:61-95.

[17] 陈 魁.试验设计与分析[M].北京:清华大学出版社,2005.

[18] 尤春安.巷道金属支架的计算理论[M].北京:煤炭工业出版社,2000:51-70.

[19] FU Mengxiong,LIU Shaowei.An experimental study of the vibration of a drill rod during roof bolt installation[J].International Journal of Rock Mechanics and Mining Sciences,2018,104:20-26.

[20] KANG Yongshui,LIU Quansheng,XI Hailong,et al.Improved compound support system for coal mine tunnels intensity faulted zones:a case study of China′s Huainan Coalfield[J].Engineering Geology,2018,240:10-20.

Study on stability of coal pillars of roadway excavated along gob with water in gently inclined coal seam

LIU Shaowei1,2,WANG Wei1,2,WANG Qiang3,JIANG Jinghua3,LI Haitao4,PENG Haibin4

(1.School of Energy Science and Engineering,Henan Polytechnic University,Jiaozuo 454000,China;2.Collaborative Innovation Center for Coal Safety Production,Jiaozuo 454000,China;3.Sichuan Huayingshan-Longtan Coal Power Co.,Ltd.,Guangan 638600,China; 4.Liyuanhe Coal Mine,Xuangang Coal and Electricity Co.,Ltd.,Datong Coal Mine Group,Yuanping 034000,China)

Abstract:In view of the risk of instability of surrounding rock and water inrush along the roadway excavated in water-bearing gob in gently inclined coal seams,and in order to analyze and evaluate the damage laws and anti-water rupture capabilities of the waterproof coal pillars and surrounding coal seams,the optimal support control technology for roadway along gob was obtained.Based on the theoretical research and field practice of coal pillar retention along roadway excavation,the theoretical calculation of the width of coal pillar retention in roadway excavation along water-bearing gob was studied and the fluid-solid coupling-mechanical reaction of the coal pillars in roadway protection was analyzed comprehensively by using orthogonal test design and FLAC3D numerical simulation method.The sensitivity of factors affecting the stability of roadway pillars and the width of coal pillars in different roadways were analyzed.The distribution characteristics of stress field,displacement field,pore water pressure of surrounding rock and their effects were optimized under different supporting parameters.The research results show that: under the situation of coal pillars with a width of 12 to 18 m,a head pressure of 0 to 0.3 MPa,and a coal seam inclination of 2° to 10°,the primary and secondary order of the factors affecting the stability of coal pillars in roadway protection is: water pressure>coal seam dip angle>coal pillar width; under the action of the maximum head pressure,the reasonable width of the coal pillar for protecting the roadway is 12 m; the optimal support parameters of No.2214 return air roadway are determined.Underground industrial tests have verified the safety and economy of retaining coal pillars with a width of 12 m.The displacement of surrounding rock surface along empty roadways with active and passive combined support parameters is within the allowable range of the project.

Key words:roadway driving along the gob; fluid-structure coupling; orthogonal test; pore water pressure

中图分类号:TD322.4

文献标志码:A

文章编号:0253-2336(2020)06-0078-10

移动扫码阅读

刘少伟,王 伟,王 强,等.缓倾斜煤层沿含水采空区掘巷煤柱稳定性研究[J].煤炭科学技术,2020,48(6):78-87.doi:10.13199/j.cnki.cst.2020.06.009

LIU Shaowei,WANG Wei,WANG Qiang,et al.Study on stability of coal pillars of roadway excavated along gob with water in gently inclined coal seam[J].Coal Science and Technology,2020,48(6):78-87.doi:10.13199/j.cnki.cst.2020.06.009

收稿日期:2019-10-25责任编辑:曾康生

基金项目:国家自然科学基金资助项目(51274087,51674098);河南省高校创新人才资助项目(19HASTIT048)

作者简介:刘少伟(1977—),男,辽宁锦州人,教授,博士生导师,博士。E-mail:lswxll@126.com