钻孔密封段异质结构变形破坏特征试验研究

杨伟东1,2,3,霍中刚2,3,舒龙勇2,3,郝晋伟2,3

(1.煤炭科学研究总院,北京 100013;2.煤炭科学技术研究院有限公司 安全分院,北京 100013;3.煤炭资源高效开采与洁净利用国家重点试验室,北京 100013)

摘 要:瓦斯抽采钻孔密封段是由煤-水泥-抽采管组成的异质结构体,为了研究钻孔密封段煤-水泥异质结构的变形破坏特征,采用Vallen AMSY-6 声发射信号采集系统和TAW-2000高温岩石三轴伺服试验机相结合的方法,对煤单体、水泥单体及煤-水泥组合试件进行了单轴载荷作用下的变形破坏全过程声发射试验。试验结果表明:煤-水泥组合试件的峰值应力介于煤单体试件和水泥单体试件之间,煤单体试件的强度是水泥单体试件强度的2.1倍;煤-水泥组合试件及煤单体试件的体应变突降点后伴随着声发射振铃计数的激增,而水泥单体试件的声发射指标增长较为平缓,且不同试件都在应力峰值处声发射指标达到最大值,煤-水泥组合试件的振铃计数峰值约为水泥单体试件振铃计数峰值的112倍;煤-水泥组合试件及煤单体试件的应力应变曲线表现出峰后的脆性变形特征,而水泥单体试件的应力应变曲线则表现出峰后的塑性变形特征,煤-水泥组合试件的破坏形态为剪切破坏,煤单体试件的破坏形态为“X”状共轭剪切破坏和拉伸破坏,水泥单体试件的破坏形态为拉伸破坏。现阶段我国煤矿瓦斯抽采钻孔封孔材料大多选取水泥基封孔材料,钻孔密封段煤-水泥异质结构的强度同时受到煤体和水泥材料性质的影响;井下水泥基封孔材料选取时,可优先选取凝固后与煤岩体强度差异较小的水泥基封孔材料。

关键词:抽采钻孔;钻孔密封段;声发射;异质结构;变形破坏

0 引 言

煤层瓦斯抽采是煤矿井下瓦斯灾害防治与煤层气开发的主要方式,钻孔瓦斯抽采由于其形式灵活、成本低等优点,是目前煤矿井下瓦斯抽采的主要方式,瓦斯抽采钻孔的密封性劣化导致抽采浓度快速衰减是目前的钻孔瓦斯抽采遇到的问题之一,钻孔密封段由煤-水泥-抽采管组成,煤与水泥材料的性质存在差异,水泥基材料凝固后与钻孔周围煤体形成煤-水泥异质结构,钻孔密封段异质结构在应力的作用下形成损伤裂隙是导致钻孔密封性降低的主要原因之一[1]。采用力学试验对煤-水泥组合试件的失稳破坏进行研究对于分析瓦斯抽采钻孔漏气导致的抽采浓度快速衰减具有重要作用。王其虎等[2]研究了非协调变形产生的剪应力环境下微裂隙扩展、贯通直至岩体整体失稳的动态过程。钱七虎等[3]讨论研究岩体非协调变形的重要性,阐述了岩体非协调变形和协调变形的基本不同点。赵毅鑫等[4]等研究了煤和岩体在2种组合模式下受压破坏过程中能量集聚与释放规律。黄龙琴[5]、李军[6]研究认为力学强度的差异性是导致新老路基不协调变形的主要原因。左建平等[7-8]、陈岩等[9-10]和王晓南[11]等研究了煤岩单体和组合体的破坏机制,并开展了系列的岩体、煤体和煤岩组合体受载破坏试验。刘晓云等[12]以水泥、砂和石膏为相似材料,制作由两种不同强度材料构成的复合试件,通过单轴压缩试验,分析相似材料强度比及较高强度材料体积占比对复合试件力学特性的影响。腾俊洋等[13]研究了6种不同组合方式的层状复合岩体在单轴压缩下的损伤破裂过程和声发射特征。舒龙勇等[14]、张浪等[15]和李杨杨等[16]对原煤单体和型煤单体试件以及原煤-型煤组合试件进行了单轴载荷作用下的变形破坏全过程声发射试验。段力群等[17]和高淳等[18]利用声发射技术对混凝土试样内部的损伤演变过程及声发射指标与应力之间的关系进行了研究。赵兴东等[19]研究了单轴加载条件下含不同预制裂纹的花岗岩样破裂失稳过程中其内部裂纹孕育、萌生、扩展、成核和贯通的三维空间演化过程。材料局部区域应力集中,快速释放能量并产生瞬态弹性波的现象称为声发射,材料在应力作用下变形与裂纹拓展是结构失效的重要机制[20]

前人从复合岩体工程破岩、支护、煤与瓦斯突出及冲击地压灾害发生机制及预警的角度对复合岩体的破坏变形特征进行了研究,通过试验室试验对煤单体、型煤单体、岩石单体、煤-岩石组合体及其他典型的层状岩体的破坏失稳及其与声发射指标间的关系进行了广泛而深入的研究[4,8,11,14,21]。水泥基材料是目前瓦斯抽采钻孔封孔广泛使用的材料,针对钻孔密封段煤-水泥异质结构的损伤破坏特征试验研究较少。钻孔密封段煤-水泥异质结构是一种特殊的组合结构,两者之间存在一个明显的界面,界面两端的煤单体和水泥单体的材料特性存在差异,且煤-水泥组合试件与煤单体和水泥单体试件在相同应力作用下其破坏特征不同。煤体内部含有大量的节理、裂隙,封孔水泥中添加有膨胀剂,凝固后其内部存在孔洞气室。裂隙的起裂、扩展及贯通是造成试件发生破坏的主要原因。本文采用Vallen AMSY-6 声发射信号采集系统和TAW-2000高温岩石三轴伺服试验机相结合,对高河能源3号煤层采集制取的煤-水泥组合试件、煤单体和水泥单体试件进行单轴压缩试验,同时实时监测单轴荷载作用下不同试件破坏过程的声发射参数特征,研究煤-水泥组合试件、煤单体及水泥单体试件的失稳破坏特征及全过程声发射参数演化规律,这对进一步认识钻孔密封段的失稳破坏机制具有重要作用。

1 单轴压缩损伤试验方案

1.1 试件的制备

煤样试件制取所用的煤样采集自潞安集团高河能源3号煤层各个区域的煤块,水泥试件制取采用的原材料选取自高河能源现场瓦斯抽采钻孔封孔专用膨胀水泥。根据岩石力学试验规范,煤样试件采用直径5 cm的圆柱体,高径比为2±0.2;耦合试件采用模型浇筑法制成直径5 cm的圆柱体,高径比为2±0.2,其中上半部分5~10 cm为水泥,下半部分0~5 cm为原煤,制作的步骤为首先装配好模具,其中模具下半部分为高度为5 cm的煤样;然后将采集的水泥样品按照水灰比为1∶1.5的配比倒入烧杯并均匀搅拌,然后倒入准备好的磨具,磨具上方施加固定压力,使煤-水泥异质结构接触紧密;最后将模具放置在试验室干燥通风处,2天后待水泥凝固后拆去模具,取出制作的耦合试件。水泥试件采用模型浇筑法制成直径5 cm的圆柱体,高径比为2±0.2,制作过程和煤-水泥异质结构试件类似,不再赘述。煤单体及煤-水泥异质结构试件,如图1所示。

图1 部分试件实物

Fig.1 Part of the specimens

1.2 试验方案

试验时声发射传感器采用三维四点布置方式,试验时声发射传感器探头布置如图2所示。采用黄油作为耦合剂加强探头和试件之间的耦合性,同时使用橡皮筋固定声发射探头,减少声发射信号的衰减。

图2 声发射探头布置实物

Fig.2 Physical arrangement of acoustic emission probes

钻孔成孔后围岩中出现应力集中引起围岩变形,钻孔密封段异质结构受到应力作用产生损伤破坏。本次单轴压缩损伤试验采用载荷控制方式进行加载,经过调研得知,本次试验所使用的煤样和凝固后的水泥单体试样强度较低,选择使用10 N/min的加载速率至试件破坏,试件安装完毕后,预加载轴向压力500 N,保证试验机压头与试件紧密接触,加载的同时启动声发射工作站。

2 声发射演化特征分析

分别对煤-水泥组合试件及煤单体、水泥单体试件进行单轴压缩,同时获得试件在压缩过程中的全过程声发射特性,试件的基本特性及力学试验结果见表1。

表1 试件的基本参数

Table 1 Basic parameters of specimens

试件类型编号密度/(g·cm-3)峰值强度/MPa煤单体GH-M-11.3687.268GH-M-21.5376.670GH-M-31.3977.978水泥单体GH-C-11.0953.028GH-C-21.0093.405GH-C-31.1473.954煤-水泥组合体GH-Z-11.2095.063GH-Z-21.2376.159GH-Z-31.1846.864

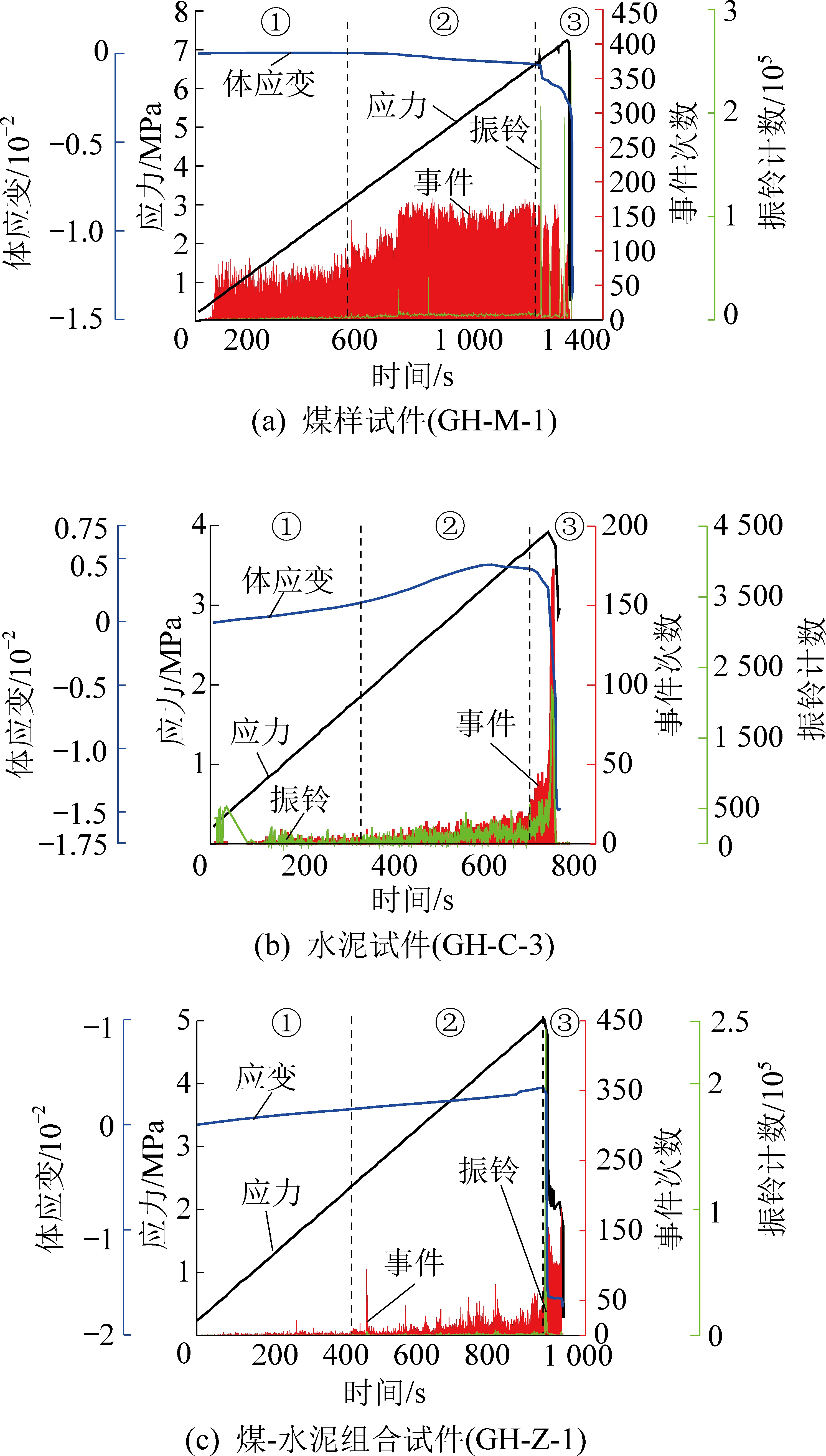
煤单体、水泥单体以及煤-水泥组合试件的声发射试验结果如图3所示(由于篇幅所限,仅列举煤样试件GH-M-1、水泥试件GH-C-3、煤-水泥组合试件Z-1的声发射试验结果)。由于本次试验采用的是负荷控制方式进行加载,峰后屈服阶段时间较短,失稳迅速,根据加载过程中体应变随时间的变化情况,将煤-水泥组合试件、煤单体以及水泥单体试件的加载破坏情况分为非裂纹发展阶段、裂纹稳定发展阶段、裂纹的非稳定发展阶段。

2.1 煤单体试件的声发射特征

根据图3a所示的煤单体试件的应变-时间曲线:①非裂纹发展阶段包括微裂隙压密和弹性变形阶段,微裂隙压密阶段试件受载后,内部已存在的裂隙受压闭合,部分粗糙面的滑动、咬合均会产生声发射现象,此阶段声发射振铃及事件计数均相对较小,主要是由于微裂纹的闭合和少量微裂纹的产生引起;在弹性变形阶段,原有裂隙继续被压密,此阶段声发射较为平稳。②裂纹的稳定发展阶段主要包括新裂隙的发生和扩展,随着轴向应力逐渐增大,大量新裂纹开始产生,煤体来到了塑性变形阶段,事件计数逐渐攀升,振铃计数也开始增大,期间有少量裂纹扩展贯通,振铃计数突变后又回归平稳,裂隙呈稳定状态发展。③裂纹的非稳定发展阶段,随着轴向载荷逐渐增大,试件的体应变-时间曲线开始出现转折,试件体积开始增大,在进入峰值应力之前煤单体试件开始进入非稳定发展阶段。此阶段振铃计数激增,事件计数维持峰值,在体应变转折点附近达到最大值。原因在于煤单体试件内裂隙扩展交接形成滑动面,导致了试件的完全破坏,此阶段微裂纹不稳定扩展并逐渐汇合形成宏观主裂纹,试件失稳破坏。

图3 不同试件单轴压缩破裂过程声发射参数演化特征

Fig.3 Evolution characteristics of AE parameters in the uniaxial compression fracture process of different specimens

2.2 水泥单体试件的声发射特征

本次试验采集制作的水泥单体试件的强度比煤单体试件低,煤单体试件的强度是水泥单体试件强度的2.1倍。在相同的加载作用下,破坏时间是煤单体试件的1/2,在较低的载荷作用下,试件呈现弹塑性破坏特征,与煤单体试件不同,水泥单体试件体积变形明显,体应变逐渐增大。根据图3b的水泥单体试件体应变-时间曲线:①非裂纹发展阶段水泥单体试件变形破坏过程中声发射保持相对稳定且较低水平,事件及振铃计数变化不大且保持稳定,水泥单体试件由于在浇筑过程中空气混入,试件的内部分布着孔洞气室,此阶段以孔洞气室的压密为主,孔洞气室的壁面接触摩擦,会产生声发射现象。②裂纹的稳定发展阶段,此阶段试件中部分孔洞气室逐渐被压密,随着轴向应力逐渐增大,试件中的新裂纹开始萌生扩展。事件及振铃计数呈现“爬坡式逐渐增大”,体应变在此阶段达到峰值。③裂纹的非稳定发展阶段,随着载荷的逐渐增大,体应变-时间及应力-时间曲线均发生转折,并在转折点处事件及振铃计数达到最大,试件失稳破坏。另外煤单体试件和水泥单体试件的振铃计数存在量级差异,煤单体试件的振铃计数峰值约为水泥单体试件振铃计数峰值的122倍,这是因为煤体结构存在大量的层理,煤体微裂隙发育,而水泥单体的凝固后其结构内部除孔洞气室外,结构稳定,随着载荷的增加,煤单体试件在破坏前可以明显的听到“噼啪声”,而水泥单体试件声响并不明显。

2.3 煤-水泥组合试件的声发射特征

根据表1可知,煤-水泥组合试件的峰值强度介于水泥单体和煤单体试件之间。根据图3c的煤-水泥组合试件体应变-时间曲线:①非裂纹发展阶段,载荷作用初期,此阶段声发射指标保持在较低水平,在组合试件中,水泥强度较低,组合试件首先表现出弹塑性变形特征,煤体结构中的微裂隙受压闭合,粗糙面滑动,但由于受到水泥结构的影响,事件及振铃计数保持较低数值,由于水泥和煤体的强度存在差异,在单轴压缩作用下,煤-水泥结构存在一个不协调变形的过程,在试件的单轴压缩过程中水泥结构的塑性变形明显。②裂纹的稳定发展阶段,此阶段异质结构试件的声发射计数开始逐渐增大,这是由于水泥结构中的孔洞气室被逐渐压密,随着载荷的增加,煤体结构中的微裂隙开始萌生扩展,而且受到组合试件中煤体和水泥的不协调变形影响,事件计数出现突变,短时间又回归缓慢增长的趋势,和煤单体及水泥单体试件不同的是,此阶段组合试件的体应变和应力同时达到峰值。③裂纹的非稳定发展阶段,此阶段应力-时间及体应变-时间曲线同时出现转折,事件及振铃计数激增,煤-水泥组合试件的主要振铃计数受到煤体结构的影响,振铃计数峰值约为水泥单体试件振铃计数峰值的112倍。组合试件首先从强度较低的水泥结构开始破坏,裂纹在水泥结构中逐渐发育,之后破坏延伸至煤体结构,此时事件计数再一次增大,组合试件整体失稳破坏。

3 不同试件的变形破坏特征分析

在单轴压缩作用下,煤单体、水泥单体、煤-水泥组合试件将产生轴向压缩变形以及横向扩张变形。当应力达到某一强度时,试样开始出现微裂隙,而后随着应力逐渐增大,微裂隙逐渐扩展、贯通;当应力达到试件的最大承载强度时,试样开始破坏。单轴载荷作用下,从图4a中可以看出煤单体试件的破坏形态为“X”状共轭剪切破坏和拉伸破坏。从图4b可以看出煤单体试件在峰前均表现出弹塑性体特性,试验采用负荷控制方式加载,峰后屈服阶段较短,GH-M-1和GH-M-3试件表现出脆性破坏特征,有明显的应力跌落,应力峰值对应着较小的轴向应变,GH-M-2试件屈服阶段较长,应力峰值对应较大的轴向应变,且表现出塑性破坏特征。

图4 煤单体试件的应力应变曲线和破坏形态

Fig.4 Stress strain curve and failure pattern of single coal specimen

从图5a可以看出水泥单体试件的破坏形态以拉伸破坏为主,裂纹的发育形态平行于轴向应力的方向,这是由于在轴向应力的作用下,试件横向产生拉应力,横向拉应力超过抗拉极限引起了试件破坏。从图5b可以看出水泥单体试件在峰后表现出明显的塑性变形特征,应力峰值对应着较大的轴向应变,这是由于水泥单体试件中分布着孔洞气室,试件中的孔洞气室在应力作用下逐渐被压实。从图6a可以看出煤-水泥组合试件的破坏形态以剪切破坏为主,破坏裂纹贯穿整个试件,由于煤单体试件的强度较水泥单体试件大,所以在煤-水泥组合试件中,裂纹的扩展和延伸首先从水泥结构中开始,且水泥裂纹的快速扩展释放出大量能量,裂纹延交界面扩展到煤体结构中,最终导致煤-水泥组合试件整体失稳。从图6b可以看出煤-水泥组合试件的应力跌落明显,表现为脆性破坏,表明煤-水泥组合试件在峰值应力之前积聚了大量的能量。

图5 水泥单体试件的应力-应变曲线和破坏形态

Fig.5 Stress-strain curve and failure pattern of cement monomer specimen

图6 煤-水泥组合试件的应力-应变曲线和破坏形态

Fig.6 Stress-strain curves and failure modes of coal-cement composite specimen

由上述分析可知煤单体、水泥单体及煤-水泥组合试件的受载破坏过程及声发射特征存在显著差异。煤-水泥组合试件的峰值强度介于煤单体及水泥单体试件之间,煤体及水泥材料的性质共同影响了煤-水泥组合试件的强度。目前瓦斯抽采钻孔封孔使用最为广泛的仍然是水泥基类材料,其封孔条件下瓦斯抽采钻孔密封段受力环境的变化易形成损伤裂隙,从而造成其密封性降低,钻孔瓦斯抽采效率低下。钻孔成孔后,围岩应力发生变化,围岩应力以集中的方式在钻孔围岩中重新分配,封孔后钻孔密封段受力环境的改变会导致密封段煤-水泥异质结构超过其强度极限而发生损伤破坏,钻孔密封段煤-水泥异质结构的损伤破坏是导致瓦斯抽采钻孔浓度衰减的原因之一。瓦斯抽采钻孔理想密封条件下,凝固后水泥基密封材料与钻孔煤壁紧密贴合,水泥密封介质对抽采钻孔提供一定的支护力,为了提高瓦斯抽采钻孔密封段的强度,可考虑选取凝固后和煤岩体强度差异较小的水泥基类封孔材料。

4 结 论

1)对不同试件进行单轴加载试验得知,煤-水泥异质结构试件的峰值应力介于煤单体试件和水泥单体试件之间,煤单体试件的强度是水泥单体试件强度的2.1倍。

2)通过分析不同试件变形破坏的体应变-时间曲线可得,煤单体及煤-水泥异质结构试件在体应变突降之前为较平滑的直线形态,而水泥单体试件的体应变-时间曲线在体应变突降之前为曲线形态,煤-水泥组合、煤单体及水泥单体试件体应变的突降都伴随着声发射事件及振铃计数的激增,但煤-水泥组合试件、煤单体试件及水泥单体试件的振铃计数存在量级差异,煤-水泥组合试件的振铃计数峰值约为水泥单体试件振铃计数峰值的112倍。

3)分析了不同试件的应力应变曲线,煤-水泥组合及煤单体试件的应力应变曲线在峰后表现出脆性变形特征,应力跌落明显,而水泥单体试件的应力应变曲线在峰后表现出塑性变形特征,应力峰值对应着较大的轴向应变;煤-水泥组合试件的破坏形态为剪切破坏,煤单体试件的破坏形态为“X”状共轭剪切破坏和拉伸破坏,水泥单体试件的破坏形态为拉伸破坏。

4)钻孔密封段煤-水泥异质结构的损伤导致的漏气是瓦斯抽采钻孔浓度衰减的原因之一,钻孔密封段煤-水泥异质结构的强度受到煤体及水泥结构材料特性的影响,为了提高瓦斯抽采钻孔密封段的强度,井下封孔时可选取凝固后和煤岩体强度差异较小的水泥基封孔材料。

参考文献(References):

[1] 郝晋伟,舒龙勇,齐庆新,等.钻孔密封段异质结构变形损伤及影响因素分析[J].煤矿安全,2019,50(6):172-175,180.

HAO Jinwei,SHU Longyong,QI Qingxin,et al. Deformation damage and influencing factors analysis of heterogeneous structure in borehole seal section [J]. Safety in Coal Mines,2019,50(6):172-175,180.

[2] 王其虎.地下开采中接触带复合岩体非协调变形及控制研究[D].武汉:武汉科技大学,2015.

WANG Qihu.Study on contact zone composite rock mass incompatible deformation and control in underground mining [D].Wuhan:Wuhan University of Science and Technology,2015.

[3] 钱七虎,周小平.岩体非协调变形对围岩中的应力和破坏的影响[J].岩石力学与工程学报,2013,32(4):649-656.

QIAN Qihu,ZHOU Xiaoping.Effects of Incommpatible deformation on failure mode and stress field of surrounding rock mas[J].Chinese Journal of Rock Mechanics and Engineering,2013,32(4):649-656.

[4] 赵毅鑫,姜耀东,祝 捷,等.煤岩组合体变形破坏前兆信息的试验研究[J].岩石力学与工程学报,2008,27(2):339-346.

ZHAO Yixin,JIANG Yaodong,ZHU Jie,et al.Experimental study on precursory information of deformations of coal-rock composite samples before failure[J].Chinese Journal of Rock Mechanics and Engineering,2008,27(2):339-346.

[5] 黄琴龙,凌建明,唐伯明,等.新老路基不协调变形模拟试验研究[J].公路交通科技,2004(12):18-21.

HUANG Qinlong,LING Jianming,TANG Boming,et al.Influence of pavement under discrepant deformationafter construction between existingsubgrade and that to be widened [J].Journal of Highway and Transportation Research and Developrment,2004(12):18-21.

[6] 李 军.新老路基相互作用及其处治技术分析[J].贵州工业大学学报:自然科学版,2008,37(6):106-108.

LI Jun.Analysis of new and old roadbed interaction and treatment technology[J].Journal of Guizhou University of Technology:Natural Science Edition,2008,37 (6) :106-108.

[7] 左建平,裴建良,刘建锋,等.煤岩体破裂过程中声发射行为及时空演化机制[J].岩石力学与工程学报,2011,30(8):1564-1570.

ZUO Jianping,PEI Jianliang,LIU Jianfeng,et al.Investigation on acoustic emission behavior and its time-space evolution mechanism in failure process of coal-rock combined body [J].Chinese Journal of Rock Mechanics and Engineering,2011,30 (8) :1564-1570.

[8] 左建平,谢和平,吴爱民,等.深部煤岩单体及组合体的破坏机制与力学特性研究[J].岩石力学与工程学报,2011,30(1):84-92.

ZUO Jianping,XIE Heping,WU Aimin,et al.Investigation on failure mechanisms and mechanical behaviors of deep coal-rock single body and combined body[J].Chinese Journal of Rock Mechanics and Engineering,2011,30(1):84-92.

[9] 陈 岩,左建平,宋洪强,等.煤岩组合体循环加卸载变形及裂纹演化规律研究[J].采矿与安全工程学报,2018,35(4):826-833.

CHEN Yan,ZUO Jianping,SONG Hongqiang,et al.Deformation and crack evolution of coal-rock combined body under cyclic loading-unloading effects [J].Journal of Mining and Safety Engineering,2008,35(4):826-833.

[10] 陈 岩,左建平,魏 旭,等.煤岩组合体破坏行为的能量非线性演化特征[J].地下空间与工程学报,2017,13(1):124-132.

CHEN Yan,ZUO Jianping,WEI Xu,et al.Energy nonlinear evolution characteristics of the failure behavior of coal - rock combined body[J].Chinese Journal of Underground Space and Engineering,2017,13(1):124-132.

[11] 王晓南,陆菜平,薛俊华,等.煤岩组合体冲击破坏的声发射及微震效应规律试验研究[J].岩土力学,2013,34(9):2569-2575.

WANG Xiaonan,LU Caiping,XUE Junhua,et al.Experimental research on rules of acoustic emission and microseismic effects of burst failure of compound coal-rock samples[J].Rock and Soil Mechanics,2013,34(9):2569-2575.

[12] 刘晓云,叶义成,王其虎,等.单轴压缩下不同强度组合复合岩体相似材料试件力学特性研究[J].岩土力学,2017,38(S2):183-190.

LIU Xiaoyun,YE Yicheng,WANG Qihu,et al.Mechanical properties of similar material specimens of composite rock masses with different strengths under uniaxial compression [J].Rock and Soil Mechanics,2017,38(S2):183-190.

[13] 腾俊洋,唐建新,王进博,等.层状复合岩体损伤演化规律及分形特征[J].岩石力学与工程学报,2108,37(S1):3263-3278.

TENG Junyang,TANG Jianxin,WANG Jinbo,et al.Damage process and characteristics of layered water-bearing shale under uniaxial compression[J].Chinese Journal of Rock Mechanics and Engineering,2108,37(S1):3263-3278.

[14] 舒龙勇,王 凯,张 浪,等.突出煤体受载变形破坏声发射行为演化特征[J].采矿与安全工程学报,2018,35(3):589-597.

SHU Longyong,WANG Kai,ZHANG Lang,et al.Investigation on acoustic emission behaviour evolution characteristics of outburst coal under uniaxial compression [J].Journal of Mining and Safety Engineering,2008,35(3):589-597.

[15] 张 浪.突出煤体变形破坏过程声发射演化特征综合分析[J].煤炭学报,2018,43(S1):130-139.

ZHANG Lang.Comprehensive analysis of acoustic emission evolution characteristics during deformation and failure process of outburst coal [J].Journal of China Coal Society,2018,43(S1):130-139.

[16] 李杨杨,张士川,文志杰,等.循环载荷下煤样能量转化与碎块分布特征[J].煤炭学报,2019,44(5):1411-1420.

LI Yangyang,ZHANG Shichuan,WEN Zhijie,et al.Energy conversion and fragment distribution characteristics of coal sample under uniaxial cyclic loading [J].Journal of China Coal Society,2019,44(5):1411-1420.

[17] 段力群,董 璐,马林建,等.泡沫混凝土单轴压缩下声发射特征试验研究[J].中国矿业大学学报,2018,47(4):742-747.

DUAN Liqun,DONG Lu,MA Linjian,et al.Experimental staudy of acoustic emission characteristics of foamed concerete under uniaxial compression [J].Journal of China University of Mining and Technology,2008,47(4):742-747.

[18] 高 淳.孔隙类岩石单轴受压的声发射研究[C]//北京力学会.北京力学会第二十五届学术年会会议论文集,北京:北京力学会,2019:3.

[19] 赵兴东,李元辉,袁瑞甫,等.基于声发射定位的岩石裂纹动态演化过程研究[J].岩石力学与工程学报,2007,26(5):944-950.

ZHAO Xingdong,LI Yuanhui,YUAN Ruifu,et al..Study on crack dynamic propagation process of rock samples based on acoustic emission location [J].Journal of Rock Mechanics and Engineering,2007,26(5):944-950.

[20] 腾山邦久.声发射(AE)技术的应用[M].冯夏庭,译.北京:冶金工业出版社,1996:46-50.

KUNIHISA Hatakeyama.Application of acoustic emission (AE) technology [M].FENG Xiating,Translated.Beijing:Metallurgical Industry Press,1996:46-50.

[21] 舒龙勇,王 凯,齐庆新,等.煤与瓦斯突出关键结构体致灾机制[J].岩石力学与工程学报,2017,36(2):347-356.

SHU Longyong,WANG Kai,QI Qingxin,et al.Key structural body theory of coal and gas outburst [J].Chinese Journal of Rock Mechanics and Engineering,2017,36(2):347-356.

Experimental study on deformation and failure characteristics of heterostructure in borehole sealing section

YANG Weidong1,2,3,HUO Zhonggang2,3,SHU Longyong2,3,HAO Jinwei2,3

(1.China Coal Research Institute,Beijing 100013,China; 2.Mine Safety Technology BranchChina Coal Research InstituteBeijing 100013,China;3.State Key Lab of Coal Resources High Efficient Mining and Clean UtilizationBeijing 100013,China)

Abstract:Gas drainage borehole sealing section is a heterostructure composed of coal-cement-extraction pipes. In order to study the deformation and failure characteristics of the coal-cement heterostructure in borehole sealing section, the combination of Vallen AMSY-6 acoustic emission signal acquisition system and TAW-2000 high temperature rock triaxial servo testing machine were used to conduct acoustic emission tests of deformation and failure of coal monomer, cement monomer and coal-cement composite specimen under uniaxial load. The test results show that the peak stress of the coal-cement composite specimen is between the coal monomer specimen and the cement monomer specimen, and the strength of the coal monomer specimen is 2.1 times that of the cement monomer specimens. The coal-cement strain composite specimen and the body strain drop point of the coal monomer specimens are accompanied by a sharp increase in the ringing count of acoustic emission, while the acoustic emission index of the cement monomer specimen increases more gently, and the different specimens are at the peak stress. The acoustic emission index reaches the maximum value, and the peak ringing count of the coal-cement composite specimen is about 112 times of the cement monomer test piece; the stress-strain curves of the coal-cement combination test piece and the coal monomer test piece show brittle deformation characteristics after the peak, while the stress-strain curve of the cement monomer specimens show plastic deformation characteristics after the peak. The failure mode of the coal-cement heterostructure specimen is shear failure, and the failure mode of the coal monomer specimen is "X"-shaped conjugate shear failure and tensile failure. The failure mode of the cement monomer specimen is tensile failure. At present, most of the hole sealing materials for coal mine gas drainage in China are cement-based sealing materials. The strength of the coal-cement heterogeneous structure in the borehole sealing section is affected by both the properties of coal body and cement materials. In the selection of underground cement-based sealing materials, the cement-based sealing materials with a small difference in strength from coal and rock after solidification can be selected preferentially.

Key words:drainage borehole; borehole sealing section; acoustic emission; heterostructure; deformation and failure

中图分类号:TD713

文献标志码:A

文章编号:0253-2336(2020)06-0122-07

移动扫码阅读

杨伟东,霍中刚,舒龙勇,等.钻孔密封段异质结构变形破坏特征试验研究[J].煤炭科学技术,2020,48(6):122-128.doi:10.13199/j.cnki.cst.2020.06.015

YANG Weidong,HUO Zhonggang,SHU Longyong,et al.Experimental study on deformation and failure characteristics of heterostructure in borehole sealing section[J].Coal Science and Technology,2020,48(6):122-128.doi:10.13199/j.cnki.cst.2020.06.015

收稿日期:2019-08-23责任编辑:杨正凯

基金项目:国家自然科学基金面上基金资助项目(51874178);国家自然科学基金青年基金资助项目(51704164);煤科院技术创新基金资助项目(2018CX05)

作者简介:杨伟东(1994—),男,陕西富平人,硕士研究生。E-mail:308719203@qq.com