煤矿机电与智能化
采煤机作为综采成套装备之一[1],长期处于高负载的恶劣环境,其健康状态变化与常用设备存在一定的差异[2-3]。研究采煤机退化数据,借助健康状态评估技术分析其健康状态变化,对提高设备可靠性及安全性,减低设备故障率具有重大意义[4]。近年国内外学者研究设备健康状态评估方法包括支持向量机、马尔科夫理论、神经网络、深度学习等[5-8]。文献[9]结合模糊最小二乘法与支持向量机建立低压微电网群运行状态实时评估模型,利用该模型对电网的实时运行状态进行评估,最终确定微电网群运行状态。文献[10]通过灰色关系(GR)模型定义和计算风力涡轮机叶片健康程度,以定量评估风力涡轮机叶片的健康状况。通过层次分析法和模糊(AHP-Fuzzy)决策方法确定决策目标和健康管理决策的权重。文献[11]根据模糊层次分析法提出一种变压器状态评估方法。该方法针对传统方法存在人为因素的问题,结合历史数据确定判断矩阵,计算权重并求加权和,最后确定设备状态。文献[12]提出了一种基于阶次熵权法的低压配电网健康状态评估方法。目前对设备健康状态评估主要应用于航空航天,电力领用,在煤矿领域应用较少。
综上所述,针对指标权重无法反映指标重要性及监测参数存在随机性和模糊性的问题,采用组合赋权法将2种单一赋权法结合,得到同时具有主观和客观意义的综合权重。针对模糊综合评价法存在不确定性和隶属度函数构造问题,采用基于中心点型的白化权函数构造隶属度函数解决灰类边界划分不清的问题,结合状态数据研究采煤机退化规律,完成底层指标的健康状态评估。
采煤机作为技术密集的复杂结构系统,由多个不同功能的子系统构成,且每个子系统对采煤机健康状态影响程度不同。受技术条件、环境等因素制约,准确完成评价因素的权重分配对评估采煤机健康状态至关重要。鉴于此,将采煤机视为一个灰色系统[13],从中获取反映健康状态本质属性的因素,结合灰色聚类法、模糊评价法及组合赋权法,完成对采煤机健康状态综合评估的目标。层次分析法与熵权法是解决权重分配问题的有效方法,层次分析法将专家思维科学层次化,根据专家经验将评判因子转换成评判矩阵,获得合理权重[14]。熵权法用于度量状态的不确定性,根据指标信息量确定客观权重[15]。由于层次分析法与熵权法各有利弊,无法同时反映主客观信息[16],因此,将2种单一赋权法结合,使得权重更科学合理。再通过灰色聚类法与模糊综合评价法完成采煤机的健康状态评估。采煤机健康状态综合评估流程如图1所示。
图1 采煤机健康状态综合评估流程
Fig.1 Comprehensive assessment process for health status of shearer
为全面反映采煤机健康状态,以状态数据为依据,对采煤机运行特点分析可知截割部、牵引部、液压部等为易发生故障的子系统。
根据专家经验与状态数据,整理影响健康状态的指标建立指标体系,指标体系由指标层和目标层构成。截割部、牵引部、液压部、变频器为影响采煤机健康状态关键因素,构成一级指标;截割部的评估指标为截割电动机电流、截割轴轴温、截割电动机振动、截割电动机温度;牵引部的评估指标为牵引电动机温度、牵引电动机电流、牵引电动机振动、牵引电动机转速;液压部评估指标为泵电流、泵工作转速、调高泵压力;变频器评估指标为变频器电流、温度、转速、转矩。构成底层指标,采煤机整体健康状态评估为目标层。采煤机指标体系如图2所示。
图2 采煤机健康状态指标体系
Fig.2 Indicator system of shearer health status
灰色聚类法是对评估对象定量描述其隶属某灰度的程度,根据被评估指标大小变化的关系[17]。笔者采用中心点型的三角白化权函数对设备进行健康状态评估[18]。具体计算步骤如下:
1)假设被评估的对象有n个,评估指标有m个。评估指标分成s个灰类,对应的i(i=1,2,…,m)指标取值范围也为s个灰类。设λk为第k个灰类的中心点,灰类k的取值范围为[λk-1,λk+1],k=1,2,…,s。对于首个灰类的左端点λ0和第s个灰类的右端点λs+1可分别将j指标向左右延伸。
2)同时连接点(λk-1,0),(λk,1),(λk+1,0),得到第j个对象的指标i关于灰类k的三角白化权函数,同理可得m个指标的关于s个灰类的三角白化权函数,如图3所示。
图3 中心点型三角白化权函数
Fig.3 Center point type triangle whitening weight function
针对采煤机,根据专家经验划分健康状态等级,并确定相应的白化权函数范围(表1),将采煤机健康状态分为O={O1,O2,O3,O4,O5}={故障,劣化,一般,良好,健康},健康状态等级与对应白化权函数见表1。
表1 健康状态等级和白化权函数
Table 1 Health status level and whitening weight function
健康等级运行情况危害程度白化权函数故障监测值达到或超出阈值,设备无法正常运行即将或已经发生故障[-0.05,0.15,0.35]劣化监测值与阈值很接近,设备运行异常发生故障的可能性很大[0.15,0.35,0.55]一般监测值与阈值比较接近,设备运行不良发生故障可能性在可接受范围内[0.35,0.55,0.75]良好监测数据未达到警告值,设备运行良好发生故障的可能性较小[0.55,0.75,0.95]健康监测数据远离警告值,设备运行状态很好发生故障的可能性很小[0.75,0.95,1.15]
注:表中故障状态的白化权函数对应图3中的λ0、λ1、λ2,劣化状态的白化权函数对应图3中的λ1、λ2、λ3,以此类推得出每种状态的白化权函数。
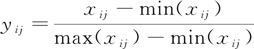
1)样本数据无量纲处理。根据状态评估指标体系收集m个底层指标数据X={xij},对指标数据进行无量纲处理,方法如下:
正向指标xij,令
(1)
逆向指标xij,令
(2)
适度型指标xij,令
(3)
其中:xij为每i行、第j列的待量化指标数据;yij为无量纲处理后的第i行、第j列的指标数据。
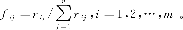
2)底层指标权重计算。熵权法确定客观权重,对原始数据进行无量纲处理得到矩阵R=(rij)mn,式中:m为评估指标个数,n为评估对象个数,第i个评估指标的信息熵为
(4)
式中,![]()
当fij=0时,ln fij=0。第i个指标的熵向量为
(5)
根据熵权法式(4)、式(5)得到客观权重向量V1=(v1,v2,…,vm)。
层次分析法确定指标主观权重,由专家判定同一层次的指标重要性,判断矩阵采用1~9标度法,两两比较构建判别矩阵,矩阵定义如下:
其中:判别矩阵A中各元素aij为i行指标相对j列指标的重要性比较值,aij>0,aii=1,aji=1/aij。对矩阵A的各列向量几何平均,求行和归一化后得到的列向量是权重向量,权重计算与一致性判断过程如下:
每行元素乘积:
(6)
Mi的n次方根:
(7)
对向量
归一化,得到指标的权重向量为
(8)
计算最大特征根:
(9)
检验一致性:
(10)
其中:RI查表可得。当CR<0.1时,认为判断矩阵具有一致性。否则需调整矩阵并使其满足一致性。
利用式(8)并检验一致性后得到主观权重向量wi=(w1,w2,…,wm)。
组合赋权法求综合权重,设wi、Vi分别是层次分析法与熵权法求得的权重向量,组合权重向量为
(11)
根据式(11)得到底层指标的组合权重向量W1=(w1,w2,…,wm)。
3)底层指标灰色聚类评估。设Xi是某个指标的监测值,则其隶属度为
(12)
通过式(12)得到Xi对s个灰类的符合度向量为
(13)
通过式(13)计算出所有指标的监测值对s个灰类的符合度向量,得到符合度矩阵为
(14)
根据式(14)构造对s个灰类的符合度矩阵F,得综合评估向量为
(15)
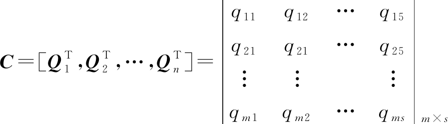
将Wi与F代入式(15)中,得到底层指标的灰色聚类评估向量BT=(q1,q2,…,qs)T与评估矩阵C。
(16)
式中:m为指标数量。
4)计算一级指标综合权重。利用式(4)、式(5)得到客观权重向量V2=(v1,v2,...,vm),利用式(8)得到主观权重向量
根据式(11)得到组合权重向量W2=(w1,w2,…,wm)。
5)整机健康状态综合评估。根据模糊综合评价法[20]计算设备健康状态评估向量为

(d1,d2,…,ds)
(17)
根据得到的评估向量依最大隶属度原则确定采煤机健康状态。
基于威布尔分布规律仿真采煤机状态变化得到采煤机运行状态数据,根据仿真数据完成算例分析。由于篇幅有限且模型求解过程相同,以采煤机截割部为例完成算例分析。
根据采煤机截割部状态数据,根据式(1)—式(3)对5组原始数据进行无量纲处理,无量纲结果见表2。
表2 截割部相关指标5组无量纲数据
Table 2 Five sets of dimensional data of relevant indicators for cutting unit
指标5组无量纲数据第1组第2组第3组第4组第5组截割电动机电流0.827 10.821 50.818 40.833 70.783 1截割轴轴温0.901 50.925 60.913 20.903 10.895 7截割电动机振动0.953 70.947 50.925 30.961 50.932 7截割电动机温度0.877 30.845 90.853 50.830 20.862 1
1)综合权重确定。由专家对采煤机截割部指标进行两两比较打分,见表3。
构造出判别矩阵A,根据式(6)—式(10)得出权重向量为
wi=(0.059 7,0.196 1,0.635 6,0.108 6)
表3 采煤机截割部指标判断矩阵构建
Table 3 Score of shearer cutting unit
指标指标重要程度得分截割电动机电流截割轴轴温截割电动机振动截割电动机温度截割电动机电流11/51/71/3截割轴轴温511/53截割电动机振动7516截割电动机温度31/31/61
根据计算得CR<0.1,判断矩阵满足一致性检验,具有满意一致性。
根据表3构建采煤机截割部无量纲矩阵为
由式(4)得出信息熵为
E(i)UI=(0.513 0,0.276 8,0.168 3,0.418 8)
由式(5)得出熵向量为
V(i)UI=(0.185 4,0.276 8,0.316 8,0.221 0)
由式(11)得到指标综合权重向量为
Wi=(0.038 1,0.186 7,0.692 6,0.082 6)
2)底层指标聚类评估计算。根据式(12)—式(14)求得采煤机截割部指标的状态数据对应健康等级的符合度矩阵为
将符合度矩阵F与组合权重向量Wi代入式(15)得到综合评估向量Q=(0,0,0,0.098 7,0.889 1),根据最大隶属度原则确定采煤机截割部处于健康状态。同理可得采煤机其他关键部件健康状态评估向量,见表4。
根据部件健康状态评估结果建立整体健康状态评估矩阵C为
表4 采煤机关键部件评估向量
Table 4 Evaluation vector of shearer key component
部件采煤机运行状态故障劣化一般良好健康截割部0000.098 70.889 1牵引部000.020 50.661 70.317 8变频器000.016 90.361 60.291 4液压部000.006 10.171 70.823 2
由式(4)得出信息熵为
E(i)=(0.206 9,0.445 6,0.638 5,0.306 8)
由式(5)得出熵向量为
V(i)=(0.330 1,0.230 8,0.150 5,0.288 6)
由层次分析法的式(6)—式(10)得到权重向量为
w(i)=(0.542 8,0.275 9,0.065 6,0.115 7)
由式(15)得到指标综合评估向量为
Q=(0.624 3,0.225 3,0.034 2,0.116 2)
根据式(17)计算得出采煤机综合评估向量为(0,0,0.005 9,0.243 0,0.732 3),根据最大隶属度原则得知采煤机处于健康状态,发生故障概率很小。将该状态数据以本文评估方法完成状态评估,将监测时间内采煤机健康状态变化趋势绘制如图4所示。
图4 采煤机健康状态变化趋势
Fig.4 Change trend of shearer health status
以300组健康状态数据作为验证数据,分别使用层次分析法、熵权法、组合赋权法确定权重并计算健康状态,结果见表5。由表可知采用组合赋权法评估健康状态的准确率高于单一赋权法,验证了该方法的准确性。
表5 采煤机健康状态结果
Table 5 Healthstatus results of shearer
方法样本数正确数准确率/%层次分析法30022474.67熵权法30024180.52组合赋权法30025384.33
1)结合熵权法与层次分析法,得到同时具有主观与客观意义综合权重,避免了层次分析法确定指标权重所造成的人为因素影响较大的问题。
2)研究结果表明:采用不同赋权法分配权重,采煤机健康状态评估结果不同,基于组合赋权法分配权重得到的评估结果准确率更高。
3)提出一种采煤机健康状态评估新方法,充分考虑权重分配的合理性,解决了采煤机健康状态评估难的问题,对煤矿企业及时掌握采煤机健康状态、制定合理维护策略、提高采煤机运行寿命具有重大意义。
[1] 刘长钊,秦大同,廖映华.采煤机截割部机电传动系统动力学特性分析[J].机械工程学报,2016,52(7):14-22.
LIU Changzhao,QIN Datong,LIAO Yinghua. Analysis of dynamic characteristics of electromechanical transmission system of shearer cutting section[J]. Journal of Mechanical Engineering,2016,52(7):14-22.
[2] 邓 超,王远航,吴 军,等.机电装备性能退化建模与健康状态评估方法[J].计算机集成制造系统,2018,24(9):2279-2287.
DENG Chao,WANG Yuanhang,WU Jun,et al. Performance degradation modeling and health state assessment method for electromechanical equipment[J].Computer Integrated Manufacturing Systems,2018,24(9):2279-2287.
[3] 张 强,顾颉颖,刘峻铭,等.基于小波包与SOM神经网络的截齿磨损状态识别[J].煤炭学报,2018,43(7):2077-2083.
ZHANG Qiang,GU Yuying,LIU Junming,et al. Identification of pick wear based on wavelet packet and SOM neural network[J].Journal of China Coal Society,2018,43(7):2077-2083.
[4] 年夫顺.关于故障预测与健康管理技术几点认识[J].仪器仪表学报,2018,39(8):1-14.
NIAN Fushun. Some understandings about fault prediction and health management technology[J]. Chinese Journal of Scientific Instrument,2018,39(8): 1-14.
[5] RANAA S,THOMAS M S,SENROY N.Reliability evaluation of WAMS using Markov-based graph theory approach[J].Iet Generation Transmission & Distribution,2017(11):2930-2937.
[6] 宣金泉,王晓红,陆大伟,等.HHT和SVM在机械安全评估与预测中的应用研究[J].中国安全科学学报,2017,27(2):58-63.
XUAN Jinquan,WANG Xiaohong,LU Dawei,et al.Application of HHT and SVM in mechanical safety assessment and prediction[J].China Safety Science Journal,2017,27(2):58-63.
[7] 赵东明,程焱明,曹 明.基于卷积神经网络的柴油发电机健康评估[J].计算机科学,2018,45(S2):152-154.
ZHAO Dongming,CHENG Yuming,CAO Ming. Health assessment of diesel generator based on convolutional neural network[J]. Computer Science,2018,45(S2): 152-154.
[8] TRIPATHIB K.On the complex domain deep machine learning for face recognition[J].Applied Intelligence,2017,47(3):1-15.
[9] 陈卫东,梁 朔,肖园园,等.基于模糊最小二乘法支持向量机的微电网群状态评估方法[J].电力系统自动化,2019,43(2):76-82.
CHEN Weidong,LIANG Shuo,XIAO Yuanyuan,et al. State evaluation method of microgrid group based on fuzzy least squares support vector machine[J]. Automation of Electric Power Systems,2019,43(2): 76-82.
[10] BAIX,AN Z,HOU Y,et al. Health assessment and management of wind turbine blade based on the fatigue test data[J]. Microelectronics Reliability,2017,75: 205-214.
[11] ZHANG Jingjing,XU Xiule,DING Ming,et al. A condition assessment method of power transformers based on fuzzy analytic hierarchy process[J].Power System Protection and Control,2017,75(3):75-81.
[12] 宋人杰,刘瑞英,刘耀伟,等.基于层次灰关联分析的变压器状态评估关键指标体系构建及应用[J].高电压技术,2018,44(8):2509-2515.
SONG Renjie,LIU Ruiying,LIU Yaowei,et al. Construction and application of key indicator system for transformer state assessment based on hierarchical grey relational analysis[J].High Voltage Technology,2018,44(8):2509-2515.
[13] 张 强,王 禹,王琛淇.基于PNN神经网络的掘进机截齿磨损程度识别研究[J].煤炭科学技术,2019,47(6):37-44.
ZHANG Qiang,WANG Yu,WANG Chenqi.Research on identification of pick wear degree of roadheader based on PNN neural network[J].Coal Science and Technology,2019,47(6):37-44.
[14] 王心义,赵 伟,刘小满,等.基于熵权-模糊可变集理论的煤矿井突水水源识别[J].煤炭学报,2017,42(9):2433-2439.
WANG Xinyi,ZHAO Wei,LIU Xiaoman,et al.Identification of water inrush from coal mine water based on entropy weight-fuzzy variable set theory[J].Journal of China Coal Society,2017,42(9) :2433-2439.
[16] MA J,LIU X. Evaluation of health status of low-voltage distribution network based on order relation-entropy weight method[J].Power System Protection & Control,2017,45(6):87-93.
[17] 宁树正,韩 亮,朱世飞,等.基于AHP的灰色聚类法的煤中铝、镓资源评价体系[J].煤炭学报,2016,41(2):316-323.
NING Shuzheng,HAN Liang,ZHU Shifei,et al. Evaluation system of aluminum and gallium resources in coal based on AHP-based grey clustering method[J].Journal of China Coal Society,2016,41(2) :316-323.
[18] 蔡金锭,祝顺才.基于灰色聚类-集合赋权法的变压器油纸绝缘状态评估[J].高电压技术,2018,44(3):765-771.
CAI Jinding,ZHU Shuncai. Evaluation of transformer oil-paper insulation state based on grey clustering-set weighting method[J].High Voltage Technology,2018,44(3):765-771.
[19] 禹建兵,刘 浪.路基砂土液化势的灰色三角白化权函数聚类方法[J].中南大学学报:自然科学版,2014,45(1):269-275.
YU Jianbin,LIU Lang.A Grey triangle whitening weight function clustering method for subgrade liquefaction potential[J].Journal of Central South University: Science and Technology,2014,45(1):269-275.
[20] 杜毅博.液压支架支护状况获取与模糊综合评价方法[J].煤炭学报,2017,42(S1):260-266.
DU Yibo. Method for obtaining and fuzzy comprehensive evaluation of hydraulic support support[J]. Journal of China Coal Society,2017,42(S1): 260-266.