放顶煤工作面以孔代巷抽采管路连接方式优化研究

李润芝1,2 ,刘 浩1,2

(1.煤科集团沈阳研究院有限公司,辽宁 抚顺 113122; 2.煤矿安全技术国家重点实验室,辽宁 抚顺 113122)

摘 要:为解决放顶煤工作面生产期间上隅角瓦斯治理难题,提出采用大直径钻孔代替联络巷的方法抽采放顶煤工作面上隅角的瓦斯。通过Fluent软件模拟腾晖煤业2-105放顶煤工作面自然情况下采空区瓦斯浓度分布规律及不同管路连接方式对采空区瓦斯浓度分布规律的影响,确定合理的抽采管路连接方式。模拟结果表明:横向大直径钻孔可代替联络巷治理高瓦斯放顶煤工作面上隅角瓦斯问题;当抽采管路采用双孔双管路的连接方式时,上隅角的瓦斯体积分数为0.25%,瓦斯抽采效果最好。现场应用结果表明:1~6组大直径钻孔抽采纯量可达到的最大值分别为1.05、1.11、1.03、1.06、1.08、1.04 m3/min,满足霍州煤电集团腾晖煤业有限责任公司对上隅角瓦斯治理的预期要求;大直径钻孔抽采过程中上隅角瓦斯浓度均在可控范围内,上隅角瓦斯体积分数为0.32%~0.74%,当钻孔距离工作面20~25 m时,处于大直径钻孔对上隅角控制的薄弱时期,上隅角的瓦斯体积分数达到的最大值为0.74%;“以孔代巷”抽采技术可有效解决高瓦斯放顶煤工作面存在的瓦斯治理难题。

关键词:放顶煤工作面;以孔代巷;抽采管路连接方式;优化研究

0 引 言

上隅角瓦斯治理是高瓦斯矿井安全生产必不可少的重要环节,尤其在开采特厚煤层时,放顶煤工作面同比其他采煤工艺下的生产工作面存在上隅角瓦斯治理空间大、治理难度高的问题[1-3]。在2016年新版《煤矿安全规程》不再允许矿井设置专用排瓦斯巷的条例实行后,放顶煤工作面采用U型通风方式时,回采期间采空区瓦斯涌出量较大,上隅角瓦斯的管理尤为困难[4-9]

国内外专家、学者针对高瓦斯矿井上隅角瓦斯治理做了大量研究工作,提出的防治方法主要有:调整工作面通风方式、设置上隅角临时挡风帘、安设风水引射器、设置采空区风障及上隅角埋管抽采等方法[10-13],但这些方法均未真正意义上实现采空区大流量、低负压瓦斯抽采的理念。大直径钻孔治理采空区瓦斯的方法在国内外首次提出,即利用大直径钻机由施工地点垂直煤壁向工作面回风巷施工大直径钻孔,成孔后接入抽采系统,当钻孔进入采空区一段距离开始抽采,当钻孔深入采空区一定距离后,开启新钻孔代替旧钻孔发挥抽采作用,依次循环直到工作面回采结束。

笔者以先进的钻机设备为依托[14],采用大直径钻孔代替联络巷的方法治理放顶煤工作面上隅角瓦斯,并利用Fluent软件模拟霍州煤电集团腾晖煤业有限责任公司(以下简称腾晖煤业)2-105放顶煤工作面自然情况下采空区瓦斯浓度分布规律,以及不同管路连接方式对采空区瓦斯浓度分布规律的影响,并对腾晖煤业在大直径钻孔双孔双管路抽采情况下进行现场应用。

1 腾晖煤业2-105综放工作面采空区数值模拟

1.1 工作面概况

腾晖煤业位于山西省河津市,矿区面积约 6.53 km2,矿井生产能力为 1.20 Mt/a,矿井服务年限为 17.1 a,属高瓦斯矿井。2-105综放工作面主采2号煤层,煤层厚度为4.95~5.44 m,平均5.2 m;2-105工作面倾向长度为180 m;沿走向共布置3条巷道,分别为2-1051巷、2-1052巷和2-1053巷;2-1051巷走向长为788 m,巷道净断面积为16.3 m2,主要用于工作面进风、运料;2-1052巷走向长741 m,巷道净断面积为16.3 m2,主要用于工作面回风、出煤;2-1053巷是大直径钻孔的施工地点,巷道走向长771 m,巷道净断面积为12.9 m2,主要用于铺设大直径钻孔瓦斯抽采抽采管路,同时作为邻近工作面巷道使用。腾晖煤业2-105工作面采用放顶煤采煤方法,工作面回采期间存在上隅角瓦斯治理难度大的难题。

1.2 采空区三维几何模型的建立及网格划分

根据腾晖煤业2-105工作面实际尺寸建立采空区物理模型(图1),设定采空区长260 m,采空区与工作面交界面长度为180 m,采空区高20 m,进风巷和回风巷断面均为长方形,长15 m,宽5.1 m,高3.2 m,采高5.2 m。

图1 采空区建模示意

Fig.1 Goaf modeling schematic

采用FLUENT软件自带的建模工具GAMBIT对物理模型进行网格划分(图2),采用非结构化网格划分技术,能自动生成四面体并且在局部复杂结构区域细化,越靠近工作面区域,网格划分越密集,越利于整个模型的迭代计算,将整个模型划分为456 400个网格单元。工作面的网格间距设定为3 m,采空区的网格间距设定为2 m。

图2 几何模型网格划分

Fig.2 Partition of geometric model grid

1.3 采空区瓦斯运移数学模型的建立

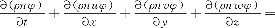
采空区中的气体流动属于渗流理论,采空区气体流动满足层流状态,并且与其他流体流动一样需要遵守基本的守恒定律:质量守恒定律、动量守恒定律。另外,由于采空区气体存在多种化学组分,每一种组分都要遵守组分质量守恒定律。采空区多组分控制方程组通用形式应同时满足以上定律,根据质量守恒定律、动量守恒定律和组分质量守恒定律的基本方程,所拟合出的采空区多组分控制方程为


(1)

式中:ρ为气体密度;φ为通用变量;n为多孔介质孔隙率;Γ为广义扩散系数;S为广义源项;t为时间;uvw分别为速度矢量在 xyz方向的分量。

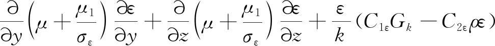
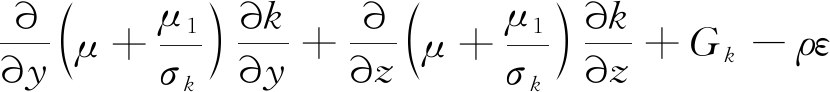
工作面湍流数学模型,模拟湍流流场过程的湍流模型主要有Reynolds应力模型和涡黏模型2种。在涡黏模型中,引入涡黏系数,而对Reynolds应力项不直接处理,是把湍流应力表示成涡黏系数的函数。依据确定μt的微分方程的数目把涡黏模型分为零方程模型、一方程模型、两方程模型。标准k-ε模型是在湍动能方程中引入湍动能耗散率的两方程模型。

工作面内为湍流流动区域,符合标准的 k-ε方程:


(2)


(3)

式中:k为湍动能;ε为湍动能耗散率;μ为气体动力黏滞系数;μ1为湍流动力黏滞系数;σk为湍动能产生的应力;σε为湍动能耗散所需的应力;Gk为由于平均速度梯度引起的湍动能k的产生项;cc分别为应变常数1、应变常数2。

1.4 边界条件设定

进风口边界条件设为速度入口,入口风速为2.8 m/s,且认为入口瓦斯体积分数为0,氧气占21%;回风口设为自由出口;大直径钻孔抽采口钻孔流量为155.2 m3/min,抽采口设为速度入口,入口风速为-7.8 m/s(速度为负值,依据抽采流量设定);工作面与采空区、抽采孔与采空区的交界处各设为一对内界面,其他面设置为墙体;采空区设为多孔介质区域并对孔隙率、黏性阻力系数、惯性阻力系数进行UDF编译,采空区瓦斯涌出量17.48 m3/min,假定瓦斯在各部分均匀涌出,其流动设定为PRESTO;考虑重力对瓦斯运移的影响,设为9.8 m/s2;工作面孔隙率设为0.95。

2 采空区数值模拟结果及分析

2.1 U型通风无抽采采空区模拟

参照前面的模型数据和所设定的边界条件进行数值模拟,模拟得出采空区瓦斯浓度分布图、上隅角瓦斯浓度局部放大图(二维图均为z=2 m时的截面云图),如图3和图4所示。

图3 采空区瓦斯浓度分布

Fig.3 Distribution map of gas concentration in goaf

图4 上隅角瓦斯浓度局部放大图

Fig.4 Local magnification diagram of gas concentration in upper corner

采空区数值模拟的结果显示:

1)高浓度瓦斯分布一般位于采空区深部范围,随着采空区往深部延伸,瓦斯浓度越来越大。原因是处于重新压实区,采空区深部基本上不受风流影响,瓦斯易积聚。

2)在无抽采影响下,上隅角瓦斯浓度处于超限状态,此时上隅角的瓦斯体积分数为2.35%,由于2-105工作面采用放顶煤采煤方法,加快了上隅角附近的高浓度瓦斯向上隅角扩散的速度,同时回采期间的放顶煤工作面瓦斯释放量远大于其他采煤方法的瓦斯释放量,因此使得放顶煤工作面比其他采煤方法的生产工作面存在上隅角瓦斯治理难度大的问题。笔者主要考察模拟腾晖煤业2-105放顶煤工作面抽采情况下,采空区瓦斯浓度分布规律及不同管路连接方式对采空区瓦斯浓度分布规律的影响。

2.2 不同管路连接方式对大直径钻孔抽采的影响

当矿井的瓦斯泵站抽采泵的选型、抽采管路管径的选型,管路敷设路线、敷设长度一定时;工作面合理的抽采管路连接方式对瓦斯抽采效果有直接影响。根据腾晖煤业2-105工作面周期来压和现场实际情况,腾晖煤业2-105工作面每隔25 m布置1处钻孔施工地点,每处施工地点可布置1~2个大直径钻孔,由此2-105工作面大直径钻孔可选择单孔单管路、双孔单管路(2个抽采孔共用1个抽采管路)或双孔双管路(2个抽采孔对应2趟抽采管路)的管路连接方式。当大直径钻孔与工作面的距离为25 m时,此时处于大直径钻孔抽采较困难时期,此时大直径钻孔已深入采空区对上隅角的控制作用有所减弱,而后续钻孔没有开始发挥作用。参照前面的模型数据和所设定的边界条件,对大直径钻孔与工作面的距离为25 m时,大直径钻孔3种管路连接方式的抽采情况进行数值模拟,并将三者的模拟结果进行对比分析,如图5—图7所示。

图5 单孔单管路抽采

Fig.5 Single borehole and single pipeline extraction

图6 双孔单管路抽采

Fig.6 Double borehole and single pipeline extraction

图7 双孔双管路抽采

Fig.7 Double borehole and double pipeline extraction

模拟结果表明:单孔单管路、双孔单管路、双孔双管路抽采时上隅角的瓦斯体积分数分别为0.56%、0.72%、0.25%,上隅角瓦斯浓度均控制在安全允许值的范围内,大直径钻孔可代替联络巷治理腾晖煤业2-105工作面上隅角瓦斯问题。双孔双管路抽采时,上隅角的瓦斯浓度最低,此时大直径钻孔的瓦斯抽采效果最好。分析其原因为单孔单管路连接时,抽采负压最大,但受钻孔抽采流量的影响,单孔抽采流量远低于双孔时的抽采流量,因此尚未达到最佳抽采效果;双孔单管路连接时,尽管钻孔抽采流量有所提高,但由于抽采管路同时连接2个大直径钻孔,导致钻孔抽采负压无法集中,因此大直径钻孔抽采强度不足致使瓦斯抽采效果有待提高。双孔双管路连接方式下,既能满足大直径钻孔抽采负压的要求,还能保障大直径钻孔的抽采流量。双孔双管路是大直径钻孔与抽采管路的最佳连接方式。

3 大直径钻孔抽采采空区瓦斯治理技术方案

3.1 大直径抽采钻孔施工参数设计

大直径钻孔的直径取决于钻机型号,钻孔直径为550 mm,垂直于保护煤柱施工,钻孔的开孔高度为固定值,开孔高度为1 600 mm。钻孔长度取决于两巷帮与帮的距离,2-1053巷与2-1052巷帮与帮间距为16 m,因此大直径钻孔的钻孔长度为16 m。钻孔倾角取决于煤层倾角,以现场放线为准,钻孔施工完成采用聚氨酯封孔。具体钻孔参数见表1,钻孔施工如图8所示。

表1 钻孔施工参数

Table 1 Borehole construction parameters

钻孔间距方位角/(°)倾角/(°)钻孔长度/m开孔高度/m钻孔直径/mm2590以现场放线为准161.6550

注:终孔位置为距2-1052巷道顶板1.0~1.5 m范围内。

3.2 抽采管路连接

2-105工作面大直径钻孔采用双孔双管路的连接方式(图9),2-1053巷道内共布置2趟抽采管路及附属设备,1号抽采管路分别连接各施工地点的1号钻孔,2号抽采管路分别连接各施工地点的2号钻孔,钻孔施工完成后不需要及时连接抽放管路,钻孔初始处于敞口状态,待工作面推进至距钻孔走向间距还有5 m时,将大直径钻孔并入抽采管路上;待工作面推过钻孔走向位置且与钻孔的走向间距为5 m时,打开抽采管路上的阀门,此时该钻孔开始发挥作用,为保证抽采效果,大直径钻孔终孔位置距离顶板1 m。

图8 钻孔施工示意

Fig.8 Schematic of borehole construction

图9 双孔双管路的连接方式

Fig.9 Connection mode of double hole and double pipe

附属装置主要为放水器、计量装置、排渣器、绝缘材料等。其中放水器可以采用自动放水器或是加工人工放水器,必要时连接装置上也可设放水阀门。计量装置用于观测抽采钻孔及管路的抽放浓度、抽放压力、抽放流量等参数,计量装置可采用原有管路的孔板流量计。

3.3 大直径钻孔瓦斯抽采效果分析

通过对1~6组大直径钻孔的抽采情况进行连续观测,观测结果表明:6组钻孔的抽采负压分别为8、7、8、8、9、7 kPa;抽采期间流量达到的最大值分别为106.48、114.88、105.39、108.4、107.68、108.65 m3/min;抽采体积分数变化范围为0.85%~1.02%;抽采纯量达到的最大值分别为1.05、1.11、1.03、1.06、1.08、1.04 m3/min。大直径钻孔抽采能量变化如图10所示:随着工作面的推进,当钻孔距离工作面5 m时,即开通抽采,随着工作面与钻孔距离增加,钻孔内瓦斯纯量呈逐渐增高的趋势,在工作面与钻孔距离20 m后,钻孔抽采纯量开始趋于稳定;在工作面与钻孔距离30 m左右时,打开新钻孔,此时尽管后方钻孔的抽采纯量仍然维持稳定,但后方钻孔对上隅角瓦斯控制效果开始减弱;当工作面与后方钻孔距离30~40 m时,工作面与新钻孔的距离为10~15 m,此时新钻孔开始逐渐发挥作用,为保证过渡期上隅角抽采强度,暂不关闭后方钻孔;当工作面与后方钻孔距离40 m后,新钻孔抽采纯量开始稳定发挥作用,此时关闭后方钻孔,以免造成抽采对釆空区风流的影响。

大直径钻孔抽采下上隅角瓦斯浓度变化如图11所示:上隅角瓦斯浓度与回风流瓦斯浓度随工作面的推进呈缓慢上升的趋势;当工作面推进50 m时(第1组钻孔进入采空区5 m),大直径钻孔开始抽采,此时上隅角瓦斯浓度与回风流瓦斯浓度有明显的下降趋势;大直径钻孔抽采期间,随着抽采位置向采空区内转移,大直径钻孔对上隅角的控制减弱,上隅角瓦斯浓度逐渐增大;当钻孔距离工作面20~25 m时,上隅角的瓦斯体积分数最大可达到0.74%,当钻孔距离工作面达到30 m时,此时新钻孔开始逐渐发挥作用,上隅角瓦斯浓度进一步呈减小的趋势。

图10 大直径钻孔抽采纯量变化

Fig.10 Variation of large diameter borehole extraction volume

图11 大直径钻孔抽采下上隅角瓦斯浓度变化

Fig.11 Variation of gas concentration in upper corner of large diameter borehole

但整个过程中上隅角瓦斯浓度在可控范围内,上隅角瓦斯体积分数为0.32%~0.74%;大直径钻孔抽采技术以有效、成本低廉的手段解决了2-105工作面放顶煤工艺下面临的瓦斯难题。

4 结 论

1)模拟结果表明:大直径钻孔可代替联络巷治理腾晖煤业2-105工作面上隅角瓦斯问题。单孔单管路、双孔单管路、双孔双管路抽采时上隅角的瓦斯体积分数分别为0.56%、0.72%、0.25%,上隅角瓦斯体积分数均控制在安全允许值的范围内,双孔双管路连接方式抽采效果最理想。

2)腾晖煤业2-105工作面1~6组大直径钻孔的抽采纯量达到的最大值范围为1.03~1.11 m3/min;大直径钻孔抽采过程中上隅角瓦斯浓度均在可控范围内,上隅角瓦斯体积分数为0.32%~0.74%,“以孔代巷”抽采技术有效解决腾晖煤业2-105放顶煤工作面存在的瓦斯治理难题。

参考文献(References):

[1] 张 浪,范喜生,蔡昌宣,等.U型通风上隅角瓦斯浓度超限治理理论与模拟[J].煤炭科学技术,2013,41(8):129-132.

ZHANG Lang,FAN Xisheng,CAI Changxuan,et al.Theory and simulation on over limit control of gas concentration in upper corner of U type ventilation in underground mine[J].Coal Science and Technology,2013,41(8):129-132.

[2] 李英明,杨明东,付永刚.U型工作面上隅角埋管瓦斯抽采数值模拟研究[J].中国安全生产科学技术,2013,9(12):16-22.

LI Yingming,YANG Mingdong,FU Yonggang.Numerical simulation on gas drainage with buried pipe in upper corner of U-type working face[J].Journal of Safety Science and Technology,2013,9(12):16-22.

[3] 吴 兵,雷柏伟,华明国,等.回采工作面上隅角瓦斯拖管抽采技术参数研究[J].采矿与安全工程学报,2014,31(2):315-321.

WU Bing, LEI Baiwei,HUA Mingguo,et al.Parameters of gas tube extraction technology in the upper corner of working face[J].Journal of Mining & Safety Engineering,2014,31(2):315-321.

[4] 陈 赟.综放工作面瓦斯涌出特点及应对措施研究[J].煤矿现代化,2019(3):57-59,62.

CHEN Yun.Research on gas gush characteristics and countermeasures in full-mechanized caving faces[J].Coal Mines Moderni-zation,2019(3):57-59,62.

[5] 李 杰.特厚煤层综放工作面地面钻孔抽采治理瓦斯技术[J].煤炭科学技术,2019,47(3):150-155.

LI Jie.Gas control technology of ground drilling extraction in fully-mechanized caving face of extra thick coal seam[J].Coal Science and Technology,2019,47(3):150-155.

[6] 孟宪锐,张文超,贺永强.高瓦斯综放面瓦斯涌出特征研究[J].采矿与安全工程学报,2006,23(4):419-422.

MENG Xianrui,ZHANG wenchao,HE Yongqiang.Study of gas emission characteristic in long-wall top coal caving face with a high gas content[J].Journal of Mining & Safety Engineering,2006,23(4):419-422.

[7] 戴广龙,储方健.综采放顶煤工作面瓦斯涌出规律的分析[J].煤矿安全,2005,36(8):55-57.

DAI Guanglong,CHU Fangjian.Analysis of the gas gush law of the coal face of the integrated mining roof[J].Coal mines in Safety,2005,36(8):55-57.

[8] 刘振明,年 军,吕晓波,等.斜沟煤矿高位钻孔合理终孔位置模拟与试验研究[J].煤炭科学技术,2018,46(5):120-124,129.

LIU Zhenmin,NIAN Jun,LYU Xiaobo,et al.Numerical and experimental study on reasonable bottom location of high level boreholes in Xiegou Mine[J].Coal Science and Technology ,2018,46(5):120-124,129.

[9] 吕晓波,李润芝,曹文梁.厚煤层大采高工作面高位钻孔终孔层位合理性研究[J].煤炭技术,2019,38(1):39-41.

LYU Xiaobo, LI Runzhi,CAO Wenliang.Rationality Study of Range of final hole high borehole in large mining height working face of thick coal seam[J].Coal Technology,2019,38(1):39-41.

[10] 张传喜,马丕梁.浅析采煤工作面上隅角瓦斯超限的几种处理方法[J].煤矿安全,2008,39(3):78-81.

ZHANG Chuanxi, MA Piliang.Analysis of several treatment methods for over-limiting gas on coal mining surface[J].Coal Mines in Safety,2008,39 (3):78-81.

[11] 王 凯,蒋曙光,马小平,等.引流器与尾巷治理上隅角瓦斯的数值模拟及应用实践[J].采矿与安全工程学报,2015,32(5):864-870.

WANG Kai,JIANG Shuguang,MA Xiaoping,et al.Numerical simulation and application of controlling gas accumulation in upper corner of drainage instrument and tail roadway[J].Journal of Mining & Safety Engineering,2015,32(5):864-870.

[12] 年 军,李润芝,刘 浩,等.腾晖煤业采空区顶板超长定向钻孔模拟与应用研究[J].中国安全生产科学技术,2019,15(7):87-93.

NIAN Jun,LI Runzhi,LIU Hao,et al.Study on simulation and application of roof super-long directional borehole in goaf of Tenghui coal industry[J].Journal of Safety Science and Technology,2019,15(7):87-93.

[13] 毕慧杰,邓志刚,赵善坤,等.高瓦斯综采工作面定向高位钻孔瓦斯抽采技术研究[J].煤炭科学技术,2019,47(4):134-140.

BI Huijie,DENG Zhigang,ZHAO Shankun,et al.Research on gas drainage technology of directional high-level borehole in high gassy fully-mechanized mining face[J].Coal Science and Technology,2019,47(4):134-140.

[14] 年 军,高 巍,李润芝,等.以孔代巷瓦斯抽采布孔间距模拟及试验研究[J].中国安全科学学报,2019,29(5):117-123.

NIAN Jun,GAO Wei,LI Runzhi,et al.Simulation and experimental study on space between boreholes for gas drainage instead of roadway[J].China Safety Science Journal,2019,29(5):117-123.

Research on optimization of extraction pipeline connection mode of replacing roadway with borehole in top coal caving face

LI Runzhi1,2,LIU Hao1,2

(1.Shenyang Research InstituteChina Coal Technology and Engineering CroupFushun 113122, China;2.State Key Laboratory of Coal Mine Safety TechnologyFushun 113122, China)

Abstract:In order to solve the problem of gas management in upper corner of caving coal face during production,a method of replacing connecting roadway with large diameter drilling hole is proposed to extract gas in the corner of caving coal face.Fluent software is used to simulate the distribution rule of gas concentration in goaf under natural conditions and the influence of different pipeline connection methods on the distribution rule of gas concentration in goaf of No.2-105 top coal caving face of Tenghui Coal Industry,so as to determine the reasonable connection mode of extraction pipeline.The simulation results show that the large diameter horizontal drilling can replace the contact roadway to control the gas problem in the corner of the working face of the top coal caving with high gas content.The gas concentration in the upper corner is 0.25% when the drainage pipe is connected with double hole and double pipe,and the gas drainage effect is the best.The field application results show that the maximum value of extraction purity of 1~6 groups of large-diameter boreholes is 1.05,1.11,1.03,1.06,1.08 and 1.04 m3/min,respectively,which meet the expected requirements of tenghui Coal Industry on gas management in upper corner.In the process of large diameter drilling,the gas concentration in the upper corner is all within controllable range.The gas concentration in the upper corner is 0.32%~0.74%.When the drilling is 20~25 m away from the working face,the gas concentration in the upper corner is in the weak period of controlling the upper corner by large diameter drilling.The technique of "replacing the roadway with the hole" can effectively solve the difficult problem of gas management in high gas caving coal face.

Key words:top coal caving face;replacing roadway with borehole;connection mode of extraction pipeline;rationality research

中图分类号:TD41;X936

文献标志码:A

文章编号:0253-2336(2020)06-0129-06

移动扫码阅读

李润芝,刘 浩.放顶煤工作面以孔代巷抽采管路连接方式优化研究[J].煤炭科学技术,2020,48(5):129-134.doi:10.13199/j.cnki.cst.2020.06.016

LI Runzhi LIU Hao.Research on optimization of extraction pipeline connection mode of replacing roadway with borehole in top coal caving face[J].Coal Science and Technology,2020,48(6):129-134.doi:10.13199/j.cnki.cst.2020.06.016

收稿日期:2019-10-12责任编辑:赵 瑞

基金项目:国家自然科学基金资助项目(51774165)

作者简介:李润芝(1991—),男,辽宁沈阳人,硕士。E-mail:369710751@qq.com